Effects of Mulching on Early-Spring Green Asparagus Yield and Quality under Cultivation in Plastic Tunnels
Abstract
:1. Introduction
2. Materials and Methods
2.1. Plant Material and Growth Conditions
2.2. Mulching Treatments
2.3. Harvest and Sample Analysis
2.4. Determination of Nutritional Compositions
2.5. Statistical Analysis
3. Results and Discussion
3.1. Soil Temperature
3.2. Yield and Economic Benefits
3.3. Commodity-Related Traits of Asparagus Spears in Early Spring
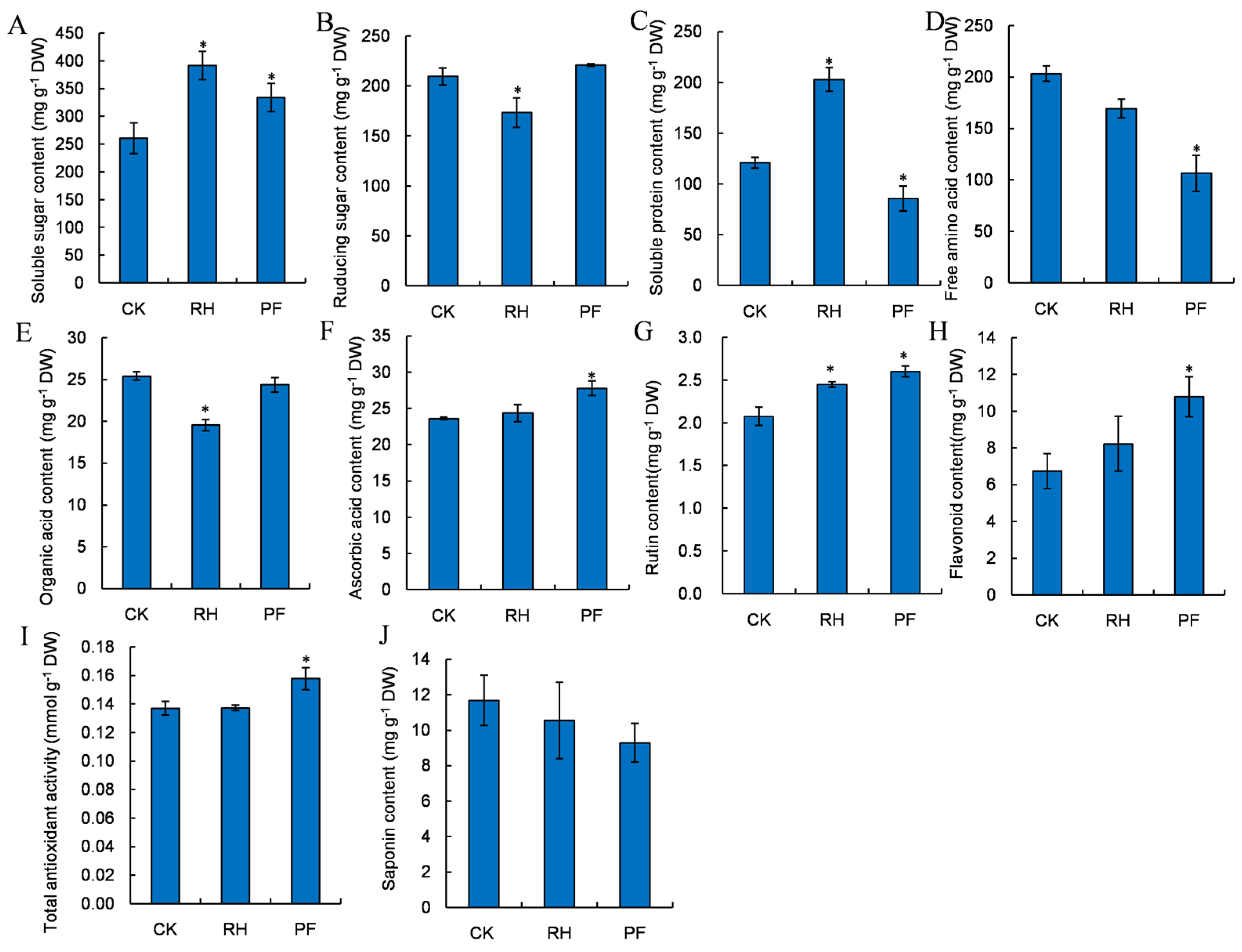
3.4. Nutritional Quality of Asparagus Spears in Early Spring
3.5. Changes in Flavonoid Content, Antioxidant Activity, and Saponin Content in Asparagus Organs/Tissues
4. Conclusions
Author Contributions
Funding
Institutional Review Board Statement
Informed Consent Statement
Data Availability Statement
Acknowledgments
Conflicts of Interest
References
- Pegiou, E.; Mumm, R.; Acharya, P.; de Vos, R.; Hall, R.D. Green and white asparagus (Asparagus officinalis): A source of developmental, chemical and urinary intrigue. Metabolites 2019, 10, 17. [Google Scholar] [CrossRef] [PubMed]
- Li, S.F.; Lv, C.C.; Lan, L.N.; Jiang, K.L.; Zhang, Y.L.; Li, N.; Deng, C.-L.; Gao, W.J. DNA methylation is involved in sexual differentiation and sex chromosome evolution in the dioecious plant garden asparagus. Hortic. Res.-Engl. 2021, 8, 198. [Google Scholar] [CrossRef] [PubMed]
- Faostat. Available online: http://www.fao.org/faostat/zh/#data/QC (accessed on 16 December 2021).
- Yi, T.G.; Yeoung, Y.R.; Choi, I.Y.; Park, N.I. Transcriptome analysis of Asparagus officinalis reveals genes involved in the biosynthesis of rutin and protodioscin. PLoS ONE 2019, 14, e0219973. [Google Scholar] [CrossRef] [PubMed] [Green Version]
- Hamdi, A.; Jaramillo-Carmona, S.; Rodríguez-Arcos, R.; Jiménez-Araujo, A.; Guillén-Bejarano, R. Chapter 8—Asparagus. In Nutritional Composition and Antioxidant Properties of Fruits and Vegetables; Jaiswal, A.K., Ed.; Phytochemicals and Food Quality Group, Instituto de la Grasa (CSIC): Seville, Spain, 2020; pp. 121–140. [Google Scholar]
- Chin, C.K.; Garrison, S.A.; Shao, Y.; Wang, M.; Simon, J.; Ho, C.T.; Huang, M.T. Functional elements from asparagus for human health. Acta Hort. 2002, 776, 233–241. [Google Scholar] [CrossRef]
- Alam, A.K.M.S.; Matsui, T.; Ikeuchi, T. Changes in acid invertase activity and sugar distribution in asparagus spears harvested in autumn. Jpn. J. Trop. Agric. 1998, 42, 257–262. [Google Scholar]
- Srivastava, P.L.; Shukla, A.; Kalunke, R.M. Comprehensive metabolic and transcriptomic profiling of various tissues provide insights for saponin biosynthesis in the medicinally important Asparagus racemosus. Sci. Rep. 2018, 8, 9098. [Google Scholar] [CrossRef]
- Hoberg, E.; Ulrich, D.; Gottwald, J.; Rosen, A. Environmental influences on the sensory quality of Asparagus officinalis L. Acta Hort. 2003, 604, 395–401. [Google Scholar] [CrossRef]
- Heißner, A.; Schmidt, S.; Schonhof, I.; Feller, C.; Schreiner, M. Spear yield and quality of white asparagus as affected by soil temperature. Eur. J. Agron. 2006, 25, 336–344. [Google Scholar] [CrossRef]
- Shou, S.; Lu, G.; Huang, X. Seasonal variations in nutritional components of green asparagus using the mother fern cultivation. Sci. Hort. 2007, 112, 251–257. [Google Scholar] [CrossRef]
- Deng, B.; Li, W.; Lu, H.; Zhu, L. Film mulching reduces antibiotic resistance genes in the phyllosphere of lettuce. J. Environ. Sci.-China 2022, 112, 121–128. [Google Scholar] [CrossRef]
- Dyduch, J.; Mysiak, B.; Rodkiewicz, T. Yielding of white and green asparagus in the open field and in the tunnel in the first two years of harvest. Acta Sci. Pol. Hortorum Cultus 2014, 13, 107–115. [Google Scholar]
- Ramadhan, M.N. Yield and yield components of maize and soil physical properties as affected by tillage practices and organic mulching. Saudi J. Biol. Sci. 2021, 28, 7152–7159. [Google Scholar] [CrossRef]
- Zhang, L.; Qin, R.; Wei, H.; Zhang, K.; Yu, C.; Li, F.M.; Zhang, F. Optimum plastic mulching application to reduce greenhouse gas emissions without compromising on crop yield and farmers’ income. Sci. Total Environ. 2021, 809, 151998. [Google Scholar] [CrossRef] [PubMed]
- Wang, L.; Li, X.G.; Guan, Z.H.; Jia, B.; Turner, N.C.; Li, F.M. The effects of plastic-film mulch on the grain yield and root biomass of maize vary with cultivar in a cold semiarid environment. Field Crop. Res. 2018, 216, 89–99. [Google Scholar] [CrossRef]
- Dudaš, S. Effect of mulch in the cultivation of Asparagus officinalis L. J. Glasnik Zaštite Bilja 2009, 32, 22–32. [Google Scholar]
- Wang, Z.; Li, M.; Flury, M.; Schaeffer, S.M.; Chang, Y.; Tao, Z.; Jia, Z.; Li, S.; Ding, F.; Wang, J. Agronomic performance of polyethylene and biodegradable plastic film mulches in a maize cropping system in a humid continental climate. Sci. Total Environ. 2021, 786, 147460. [Google Scholar] [CrossRef]
- Luo, L.; Hui, X.; He, G.; Wang, S.; Wang, Z.; Siddique, K.H.M. Benefits and limitations to plastic mulching and nitrogen fertilization on grain yield and sulfur nutrition: Multi-site field trials in the semiarid area of china. Front. Plant. Sci. 2022, 13, 799093. [Google Scholar] [CrossRef]
- Zhang, K.; Li, Y.; Wei, H.; Zhang, L.; Li, F.M.; Zhang, F. Conservation tillage or plastic film mulching? A comprehensive global meta-analysis based on maize yield and nitrogen use efficiency. Sci. Total Environ. 2022, 831, 154869. [Google Scholar] [CrossRef]
- Knaflewski, M.; Krzesinski, W. Results of investigations on timing asparagus production in a temperate climate. Acta Hort. 2002, 589, 73–79. [Google Scholar] [CrossRef]
- Nie, L.C.; Wang, M.; Liu, Y. Effects of different mulch methods on growth and early yield of green asparagus. J. Inn. Mong. Agric. Univ. 2007, 28, 59–61. [Google Scholar]
- Chen, Z.; Han, Y.; Ning, K.; Luo, C.; Sheng, W.; Wang, S.; Fan, S.; Wang, Y.; Wang, Q. Assessing the performance of different irrigation systems on lettuce (Lactuca sativa L.) in the greenhouse. PLoS ONE 2019, 14, e0209329. [Google Scholar] [CrossRef] [PubMed] [Green Version]
- Mastropasqua, L.; Tanzarella, P.; Paciolla, C. Effects of postharvest light spectra on quality and health-related parameters in green Asparagus officinalis L. Postharvest Biol. Technol. 2016, 112, 143–151. [Google Scholar] [CrossRef]
- Bhowmik, P.K.; Matsui, T.; Ikeuchi, T.; Suzuki, H. Changes in storage quality and shelf life of green asparagus over an extended harvest season. Postharvest Biol. Technol. 2002, 26, 323–328. [Google Scholar] [CrossRef]
- Li, S.; Wang, J.; Yu, Y.; Wang, F.; Dong, J.; Huang, R. D27E mutation of VTC1 impairs the interaction with CSN5B and enhances ascorbic acid biosynthesis and seedling growth in Arabidopsis. Plant Mol. Biol. 2016, 92, 473–482. [Google Scholar] [CrossRef]
- Lowell, C.A.; Tomlinson, P.T.; Koch, K.E. Sucrose metabolizing enzymes in transport tissue and adjacent sink structures in developing citrus fruit. Plant Physiol. 1989, 90, 1394–1402. [Google Scholar] [CrossRef] [Green Version]
- King, G.A.; Woollard, D.C.; Irving, D.E.; Borst, W.M. Physiological changes in asparagus spear tips after harvest. Physiol. Plant 1990, 80, 393–400. [Google Scholar] [CrossRef]
- Wu, J.M.; Jiang, Z.S.; Tang, Y.S. Analysis of total flavonoid and rutin content in bamboo. J. Zhejiang Univ. 1998, 24, 425–428. [Google Scholar]
- Shao, Y.; Poobrasert, O.; Kennelly, E.J.; Chin, C.K.; Ho, C.T.; Huang, M.T.; Garrison, S.A.; Cordell, G.A. Steroidal saponin from asparagus of ficinalis and their cytotoxic activity. Planta Med. 1997, 63, 256–262. [Google Scholar] [CrossRef]
- Benzie, I.F.F.; Strain, J.J. Ferric reducing ability of plasma (FRAP) as a measure of antioxidant power: The FRAP assay. Anal. Biochem. 1996, 239, 70–76. [Google Scholar] [CrossRef] [Green Version]
- Kwabiah, A.B. Growth and yield of sweet corn (Zea mays L.) cultivars in response to planting date and plastic mulch in a short-season environment. Sci. Hort. 2004, 102, 147–166. [Google Scholar] [CrossRef]
- Frenz, F.W.; Munz, R. The influence of plastic covering of asparagus ridges on soil temperature and yield. Acta Hort. 1968, 9, 139–146. [Google Scholar] [CrossRef]
- Makus, D.J.; Gonzalez, A.R. Production and quality of white asparagus grown under opaque row covers. Hort. Sci. 1991, 26, 374–377. [Google Scholar]
- Jakše, M.; Maršić, N.K. Comparison of asparagus (Asparagus officinalis L.) cultivars and the effect of covering beds. Acta Agric. Slov. 2005, 85, 313–320. [Google Scholar]
- Ajibola, O.V.; Amujoyegbe, B.J. Effect of seasons, mulching materials, and fruit quality on a Cucumber (Cucumis sativus L.) variety. Asian J. Agric. Res. 2019, 3, 1–11. [Google Scholar] [CrossRef]
- Li, Y.; Zhang, Z.; Wang, J.; Zhang, M. Soil aeration and plastic film mulching increase the yield potential and quality of tomato (Solanum lycopersicum). Agriculture 2022, 12, 269. [Google Scholar] [CrossRef]
- Huang, X.F.; Lin, Y.Y.; Kong, L.Y. Steroids from the roots of Asparagus officinalis and their cytotoxic activity. J. Integra. Plant Biol. 2008, 50, 717–722. [Google Scholar] [CrossRef]
- Fuentes-Alventosa, J.M.; Jaramillo-Carmona, S.; Rodríguez-Gutiérrez, G.; Guillén-Bejarano, R.; Jiménez-Araujo, A.; Fernández-Bolaños, J.; Rodríguez-Arcos, R. Preparation of bioactive extracts from asparagus by-product. Food Bioprod. Process. 2013, 91, 74–82. [Google Scholar] [CrossRef]
- Kohmura, H.; Watanabe, Y.; Muto, H. Polyphenol content, antioxidant activity and surface color of asparagus spears cultivated under different conditions of sunlight. Acta Hort. 2008, 776, 255–260. [Google Scholar] [CrossRef]
- Makris, D.P.; Rossiter, J.T. Domestic processing of onion bulbs (Allium cepa) and asparagus spears (Asparagus officinalis): Effect of flavonol content and antioxidant status. J. Agric. Food Chem. 2001, 49, 3216–3222. [Google Scholar] [CrossRef]
- Guillén, R.; Rodríguez, R.; Jaramillo, S.; Rodríguez, G.; Espejo, J.A.; Fernandez-Bolaños, J.; Heredia, A.; Jiménez, A. Antioxidant from asparagus spear: Phenolics. Acta Hort. 2008, 776, 247–254. [Google Scholar] [CrossRef]
- Kulczyński, B.; Kobus-Cisowska, J.; Kmiecik, D.; Gramza-Michałowska, A.; Golczak, D.; Korczak, J. Antiradical capacity and polyphenol composition of asparagus spears varieties cultivated under different sunlight conditions. Acta Sci. Pol. Technol. Aliment. 2016, 15, 267. [Google Scholar] [CrossRef] [PubMed] [Green Version]
- Fuentes-Alventosa, J.M.; Jaramillo-Carmona, S.; Rodríguez-Gutiérrez, G.; Rodríguez-Arcos, R.; Fernández-Bolaños, J.; Guillén-Bejarano, R.; Espejo-Calvo, J.A.; Jiménez-Araujo, A. Effect of the extraction method on phytochemical composition and antioxidant activity of high dietary fiber powders obtained from asparagus by-products. Food Chem. 2016, 116, 484–490. [Google Scholar] [CrossRef]
- Dai, J.; Mumper, R.J. Plant phenolics: Extraction, analysis and their antioxidant and anticancer properties. Molecules 2010, 15, 7313. [Google Scholar] [CrossRef] [PubMed]




| Treatment | Date of First Harvest | Yield (kg·ha−1) | Gross Income (USA $·ha−1) | |||
|---|---|---|---|---|---|---|
| Early (1.20–3.10) | Middle (3.11–4.30) | Late (7.1–10.30) | Total | |||
| CK | 5 February | 4575 b | 8835 ab | 15,065 a | 28,475 a | 51,157 b |
| RH | 5 February | 3840 c | 8070 b | 14,625 a | 26,535 a | 46,862 c |
| PF | 20 January | 5790 a | 9015 a | 13,725 a | 28,530 a | 62,324 a |
| Treatment | Marketable Spears (×1000/ha) | Spear Length (mm) | Mean Spear Weight (g) | Spear Diameter (mm) | Water Content (%) |
|---|---|---|---|---|---|
| CK | 96.6 b | 228.9 ± 34.4 b | 38.1 ± 1.2 ab | 13.1 ± 2.0 b | 92.0 ± 0.4 a |
| RH | 78.0 c | 225.0 ± 24.0 b | 36.7 ± 0.6 b | 13.2 ± 1.5 b | 92.4 ± 1.6 a |
| PF | 115.8 a | 244.8 ± 21.9 a | 41.5 ± 1.0 a | 15.0 ± 2.2 a | 92.3 ± 0.3 a |
Publisher’s Note: MDPI stays neutral with regard to jurisdictional claims in published maps and institutional affiliations. |
© 2022 by the authors. Licensee MDPI, Basel, Switzerland. This article is an open access article distributed under the terms and conditions of the Creative Commons Attribution (CC BY) license (https://creativecommons.org/licenses/by/4.0/).
Share and Cite
Chen, L.; Zhu, X.; Chen, J.; Wang, J.; Lu, G. Effects of Mulching on Early-Spring Green Asparagus Yield and Quality under Cultivation in Plastic Tunnels. Horticulturae 2022, 8, 395. https://doi.org/10.3390/horticulturae8050395
Chen L, Zhu X, Chen J, Wang J, Lu G. Effects of Mulching on Early-Spring Green Asparagus Yield and Quality under Cultivation in Plastic Tunnels. Horticulturae. 2022; 8(5):395. https://doi.org/10.3390/horticulturae8050395
Chicago/Turabian StyleChen, Lifei, Xiangfei Zhu, Jingli Chen, Jie Wang, and Gang Lu. 2022. "Effects of Mulching on Early-Spring Green Asparagus Yield and Quality under Cultivation in Plastic Tunnels" Horticulturae 8, no. 5: 395. https://doi.org/10.3390/horticulturae8050395
APA StyleChen, L., Zhu, X., Chen, J., Wang, J., & Lu, G. (2022). Effects of Mulching on Early-Spring Green Asparagus Yield and Quality under Cultivation in Plastic Tunnels. Horticulturae, 8(5), 395. https://doi.org/10.3390/horticulturae8050395

