Next Article in Journal
Effect on the Growth and Photosynthetic Characteristics of Anthurium andreanum (‘Pink Champion’, ‘Alabama’) under Hydroponic Culture by Different LED Light Spectra
Next Article in Special Issue
Effect of Fruit Weight and Fruit Locule Number in Bell Pepper on Industrial Waste and Quality of Roasted Pepper
Previous Article in Journal
Study on the Application of Electronic Nose Technology in the Detection for the Artificial Ripening of Crab Apples
Previous Article in Special Issue
Metabolic Profiling of Organic Acids Reveals the Involvement of HuIPMS2 in Citramalic Acid Synthesis in Pitaya
 
 
Font Type:
Arial Georgia Verdana
Font Size:
Aa Aa Aa
Line Spacing:
Column Width:
Background:
Article

Effects of Girdling and Foliar Fertilization with K on Physicochemical Parameters, Phenolic and Volatile Composition in ‘Hanxiangmi’ Table Grape

1
College of Biological and Environmental Sciences, Zhejiang Wanli University, Ningbo 315100, China
2
State Key Laboratory for Quality and Safety of Agro-Products, Institute of Plant Virology, Ningbo University, Ningbo 315211, China
3
Cixi Forestry Technology Extension Centre of Zhejiang Province, Ningbo 315300, China
4
School of Life Sciences, University of Dundee, Dundee DD1 5EH, UK
*
Authors to whom correspondence should be addressed.
These authors contributed equally to this work.
Horticulturae 2022, 8(5), 388; https://doi.org/10.3390/horticulturae8050388
Submission received: 8 April 2022 / Revised: 23 April 2022 / Accepted: 26 April 2022 / Published: 28 April 2022
(This article belongs to the Collection Advances in Fruit Quality Formation and Regulation)

Abstract

:
Aroma is one of the most important indicators of grape quality. Girdling and foliar fertilization with K (K2O) are common agronomic practices applied to improve berry quality in grape production. However, little is known about its effect on the accumulation and biosynthesis of the entire aromatic profile. Our study was aimed to explore the influences of girdling and foliar fertilization with K (alone or in combination) on the general properties, phenolic composition, volatile free aroma compounds, spatial and temporal expression of terpene-related genes and sensory properties in ‘Hanxiangmi’ table grape. In this study, we found that girdling and foliar fertilization with K (alone or in combination) facilitated fruit enlargement and increased the accumulation of phenolic compounds in skin. The combination treatment of girdling and foliar fertilization with K significantly promoted the concentrations of total soluble solids (TSS) in the pulp and proanthocyanidins in the berry skin, and had a lower titratable acidity (TA) compared to those of the control. In contrast, girdling treatment alone increased the concentrations of titratable acidity. Volatile free aroma composition analysis revealed that the combination treatment increased the volatile compounds and concentrations significantly, most notably in terpenes, such as nerol, citronellol and linalool. Spatial and temporal expression analysis showed that the expression level of VvDXS was significantly correlated with linalool and total terpenes concentrations, as a result of which, we speculated that VvDXS is the candidate gene for the regulation of important grape terpenes. We hope that our results can direct farmers to better apply girdling and foliar fertilization with K in grape production.

1. Introduction

Grape (Vitis vinifera L.) is a non-climacteric fruit, and based on its distinctive appearance and flavor, it is one of the most popular fruits consumed worldwide [1,2]. Flavor and aroma are important characteristics that directly affect grape quality and consumers’ acceptance [3,4]. More than 800 volatile compounds have been identified in table grapes and wines [5]. Among them, terpenes and esters are known to contribute to floral and fruity flavors [6,7], while alcohols and C6-aldehydes provide herbaceous aroma characters [8].
Grape volatile compounds are secondary metabolites, which are mainly determined by variety and may be influenced by agronomic practices and vineyard management [9]. Agronomic practices can influence the content and profile of secondary metabolites through direct and indirect ways [10]. Agronomic practices such as training systems [11], leaf-removal [12], irrigation [13], and bunch-thinning [14] have a great impact on volatile composition. Girdling is also a commonly used horticultural intervention in grape production. This practice interrupts the phloem transport from the leaf to the root, thus increasing photosynthetic assimilate availability to the canopy, which ultimately increases fruit set, fruit size, yield and quality [15,16,17]. Foliar fertilization is a supplementary fertilization strategy, that is often used after girdling, which can deliver nutrients directly to the target root from aerial plant parts and reduces the trunk and root damage from girdling [18]. K+-based fertilizers are commonly used to improve fruit quality and are widely used in foliar fertilization. Previous studies have found that foliar fertilization with sulfur and nitrogen can increase berry thiols, which then enhance the aroma quality of the wine after fermentation [19]. Many other foliage spray agents also can influence aroma composition, such as methyl jasmonate [20], triazole-based fungicide [21] and Ozone [22].
‘Hanxiangmi’, a progeny obtained from ‘Fredonia’ and ‘Black Monukka’, is regarded highly due to the presence of an excellent rose aroma and is widely cultivated in South China. To obtain high quality grapes with desirable flavors and an attractive appearance, the combination of girdling and foliar fertilization with K is an efficient and common agronomic practice used in table grape cultivation. However, little is known about their effects on grape berry quality, and they may have a tremendous impact on volatile aroma composition. Our studies were mainly aimed to explore and demonstrate the influences of girdling and foliar fertilization with K (alone or in combination) on the accumulation of volatile compounds throughout the entire ripening period of ‘Hanxiangmi’ table grape, as well as the changes in the physicochemical parameters, phenolic compounds and the expression of representative genes of the 2-C-methyl-d-erythritol-4-phosphate pathway (MEP). The objectives of these studies are to provide the basis for an improved strategic use of girdling and foliar fertilization with K in table grape vineyard practices to enhance the sensory properties of the produce.

2. Material and Method

2.1. Plant Materials

The experiments were performed with table grape cultivar ‘Hanxiangmi’ between May 2021 and June 2021 in an irrigated vineyard at Cixi, Zhejiang, China (30°16′6.59″ N, 121°25′2.18″ E). The physical and chemical properties of the soils were as follows: soil type, clayey soil; pH, 6.4; soil depth, 102 cm; total organic matter content, 25 g/kg; basic nitrogen, 202 mg/kg; available phosphorus, 35 mg/kg; available potassium, 114 mg/kg; soil bulk density, 112.3 g/cm; groundwater level, 55–60 cm. Thirty-six uniform vines planted in 2010 were cultivated under the rain-shelter cultivation greenhouse, were randomly selected and grouped into four treatments: control (CK), girdling treatment (G), foliar fertilization treatment with K (F), and the combination treatment of girdling and foliar fertilization with K (GF). At 42 days after anthesis (DAA) (one week before véraison, 27 May), the trunk of each vine in the G and GF groups were girdled by removing a 7 mm ring of back using a girdling knife. The foliar fertilization treatment with K was applied to the grapevine twice in F and GF groups at 42 DAA and 49 DAA (véraison). For each application, 200 mL of 7.35 mM K2O was sprayed over the leaves of each plant. During the experimentation period, other nutrients have not been applied in grape plants, and the meteorological conditions were listed in Table S1. Field management and plantation protected, including irrigation and pest control, followed the normal agricultural practice. Berries were harvested weekly from 49 DAA to 77 DAA. For each biological replicate, 100 berries were randomly collected at each sampling date and half the berries were randomly chosen for physicochemical analysis. The remaining berries were frozen in liquid nitrogen and stored at −80 °C for subsequent analysis of aroma composition and RNA extraction.

2.2. Measurement of General Properties

Total soluble solids (TSS; Brixo) was determined using a portable refractometer (ATAGO, Guangzhou, China). Titratable acidity (TA; mmol/100 g) was determined by acid-base neutralization and titration. The berry fresh weight (FW; g) of 20 berries for each biological replicate were determined using an electronic balance.

2.3. Extraction and Determination of Phenolic Composition and Concentrations

Grape skins were separated from the pulp and thoroughly washed using deionized water. The collected skins were dried at 45 °C to a constant weight, ground to a fine powder, and then sieved (30–50 mesh). The skin powder was stored in a desiccator at 4 °C before extraction.
For the extraction of total phenolics (TP), 0.1 g dried skin powder was immersed in 2.5 mL of 60% (v/v) ethanol and the mixture was sonicated using an intermittent sonication mode (5-s on and 8-s off) in an ultrasonic cell-crushing device (Xinyi, Ningbo, China) at 60 °C for 30 min before centrifugation at 12,000 rpm to collect the supernatant. The TP content of the extracts was measured using the tungsten molybdic acid reagent assay [23]. The absorbance of the reaction mixture was measured at 760 nm in a 96-well microplate reader (Molecular Devices, Shanghai, China). TP was expressed as mg gallic acid equivalent/g dry skin powder.
Proanthocyanidin (PA) was extracted from 0.1 g skin powder in 1 mL 50% (v/v) acetic acid. The mixture was maintained on ice and sonicated intermittently. The proanthocyanidin in the extracts was measured using the modified vanillin-acetic acid assay [24]. A total of 40 µL extract solution was pipetted into each well of a 96-well microplate, and 160 µL of a vanillin working reagent was added. The reaction mixture absorbance was measured at 500 nm. PA was expressed as mg catechin equivalent/g dry skin powder.
The dried skin powder’s polymeric tannin (PT) was tested with a tannin test kit (Solarbio, Beijing, China). 1 mL of extract solution was added to 0.1 g of dried skin powder, and tannins were extracted at 70 °C for 30 min. The activated carbon was used to specifically adsorb tannin. The absorbance of the reaction mixture was measured at a wavelength of 275 nm. PT was expressed as mg tannic acid/g dry skin powder.

2.4. Aroma Compounds Extraction and Analysis by GC-MS

Extraction and analysis of aromatic compounds were performed as described in [25] with slight modifications. A total of 50 g berries were ground in liquid nitrogen, centrifuged and filtered to acquire a clear juice. Grape juice (6 mL) was transferred to a 20 mL glass vial (Agilent Technologies, Santa Clara, USA) with 1.5 g NaCl. 2-octanol added into pulp juice as an internal standard to quantify aroma compound. The sample vial was equilibrated at 50 °C for 10 min. Then, solid phase microextraction fiber (SPME, 50/30 μm DVB/CAR/PDMS, Supelco, Bellefonte, USA) was used to extract volatile aroma compounds at 50 °C for 30 min. The fiber was then immediately inserted into the gas chromatograph (Agilent 8890 GC, Agilent Technologies) injection port for desorption at 260 °C for 3 min in the splitless mode and equipped with a 5977 mass-selective detector (Agilent Technologies). The volatile aroma compounds were separated in a HP-Innowax column (30 mm × 0.25 mm × 0.25 μm; Agilent Technologies). The temperature program was as follows: 40 °C for 5 min, increased to 240 °C at a rate of 5 °C/min and then increased to 260 °C at 20 °C/min before being held for 5 min. The flow rate of helium as a carrier gas was 1 mL/min. The mass spectrometry (MS) transfer line and ionization source temperature were 260 °C and 230 °C, respectively. Electron impact mass spectrometric data from 20–400 m/z were collected at 70 eV ionization voltages.
The volatiles aroma compounds were identified via comparing their mass spectral with those from the NIST14 mass spectral library. The concentrations of volatile aroma compounds were estimated using the following equation:
C S C = A S C / A I S × C I S × V I S V S
where A S C is the peak area of a specific compound; A I S is the peak area of an internal standard; C S C is the concentration of a specific compound; C I S is the concentration of the internal standard; V S is the volume of samples; V I S is the volume of an internal standard.

2.5. RNA Extraction and qRT-PCR

The total RNA for each berry sample was extracted using the HipPure Plant RNA Mini Kit (Magen, Guangzhou, China) and first-strand cDNA was synthesized using First-Strand cDNA Synthesis SuperMix (Novoprotein, Suzhou, China). Six genes, including VvDXR (VIT_17s0000g08390) [26], VvDXS (VIT_05s0020g02130) [27], VvHDR (VIT_03s0063g02030) [26], VvCCD (VIT_13s0064g00840) [28], VvGPPS (VIT_15s0024g00850) [26] and VvCSLinNer (VIT_00s0271g00060) [26], were determined using CFX96 (Bio-Rad, Hercules, CA, USA) and SYBR qPCR SuperMix Plus (Novoprotein). The primers were designed using Primer 5 software (Premier Biosoft, Palo Alto, CA, USA), and the sequences of each primer are listed in Table S2. The 2−ΔΔCT method was used to calculate the relative expression levels.

2.6. Sensory Evaluation

Sensory evolution was performed as described in [29]. An untrained panel of 20 people consisting of 8 women and 12 men aged 25–60 years who were engaged in horticulture work for a long time were recruited from Cixi Forestry Technology Extension Centre (Ningbo, China). The sensory parameters, including sweetness, sourness, astringency, flavor and overall acceptance, were evaluated using a seven-point scale [30]. The average scale of each parameter was rounded up and rounded down.

2.7. Statistical Analysis

All tests were performed in triplicates and repeated three times. Statistical analysis was performed by one-way analysis of variance and analyzed further by Duncan’s multiple range test. Pearson’s correlation coefficient analysis was performed using SPSS statistics 25 (IBM, Armonk, NY, USA). The histograms were drawn using GraphPad Prism8 software (Harvey Motulsky, Santiago, CA, USA). The heatmap was drawn using TBtool v1.098696 (CJ-Chen, China). The radar chart was drawn using Origin 2019 (OriginLab, Northampton, MA, USA).

3. Result

3.1. General Properties of Different Treatments

The visual appearances of ‘Hanxiangmi’ grapes acquired in response to the different treatments are shown in Figure 1. We found that the skin color of G (girdling treatment) and GF (the combination girdling and foliar fertilization with K treatments) was significantly deeper compared with the control (Figure 1). The effects of different treatments on total soluble solids (TSS), titratable acidity (TA) and 20 berries weight are shown in Figure 2. We found that GF was able to increase TSS considerably compared with other treatments, especially 77 days after anthesis (at harvest), whereas there was no significant difference among CK, G and F treatments at the harvest stage. Girdling was able to increase TA. However, when grape plants were treated with both girdling and foliar fertilization with K, TA was significantly decreased. Additionally, the weight of 20 berries was affected significantly by G, F and GF in each period.

3.2. Phenolic Compound and Concentration

The effect of girdling and foliar fertilization with K on the composition and concentration of phenolic compounds in ‘Hanxiangmi’ grape skin are shown in Figure 3. We found that GF, G and F treatments were able to improve total phenolic concentration (TP) and polymeric tannin concentration (PT) compared with the control. Additionally, GF significantly increased the accumulation of proanthocyanidins (PA) in berry skins, which was 9.61, 2.97 and 7.10-fold than the control, G and F treatments, respectively.

3.3. Volatile Free Aroma Composition

The effects of girdling and foliar fertilization with K on the profiles of free volatile aroma composition of ‘Hanxiangmi’ grapes are presented in Figure 4 and Table 1. The odor threshold of partial aroma compounds is shown in Table 2. A total of 40 free volatile aroma compounds, including 10 alcohols, 11 terpenes, 10 esters, 3 acids and 6 aldehydes were identified by GC-MS analysis. Regarding C6 aldehydes at harvest, (E)-2-hexenal and hexanal were the most abundant volatile aldehydes and were active odorants in all the sample groups due to their low odor threshold, which were accumulated at higher levels in GF and G relative to the control. Similarly, G, F and GF had positive effects on the contents of alcohols compared to the control, with 1-octen-3-ol, 1-heptanol, 2-ethyl hexanol and octanol. Two C6 alcohols, including hexanol and (Z)-3-hexen-1-ol, constituting the majority of the total alcohol concentration. In aromatic compounds, esters contribute greatly to fruity and sweet characters [31,32]. We found that girdling and foliar fertilization had negative effects on the contents of ethyl butanoate. Ethyl butanoate was one of the most abundant esters in each treatment group. However, it made almost no contribution to the aroma due to its high threshold. Two esters were only detected in the GF group among four treatments, indicating that GF was able to increase the number of ester aromatic compounds. Three acids were detected but made little contribution to aroma owing to their high thresholds. Although octanal, nonanal and benzaldehyde compounds were present only at low levels, these are all aroma active compounds and are expected to contribute significantly to the aroma owing to their low odor thresholds, especially nonanal (1 μg/L in water).
Terpenes, such as nerol, linalool, citronellol and geraniol, are the major aroma compounds responsible for floral flavors [33,34], and these free terpene compounds increase during the development and ripening of the grape [35]. Due to the pleasant Muscat flavor of the ‘Hanxiangmi’ grape, mainly contributed from grape terpene contents, the impacts of girdling and foliar fertilization with K (alone or in combination) were focused on terpenes throughout the ripening period (Table 1). We found that the berries of the control accumulated more linalool than GF, G and F at the beginning of véraison until 56 DAA. However, between 70 DAA and grape harvest, the concentration of linalool in the control group was significantly lower than that in the GF, G and F groups, indicating that girdling and foliar fertilization with K can facilitate linalool accumulation in the later stages of berry maturation. The 4-Terpineol accumulation in the control was much higher than after G, F and GF treatments, indicating that girdling and foliar fertilization with K can inhibit 4-Terpineol synthesis. Nerol was not detected in the four treatment groups at 49 DAA, and nerol accumulation in the GF treatment group was significantly higher compared to the control throughout the ripening period. Similarly, this was also true for the other aroma active compounds, such as geraniol and citronellol. Furthermore, myrcenol, hotrienol, phellandrene and α-thujene in the berries of the GF group accumulated 1.08, 1.36, 1.49 and 2.72-fold compared with those of the control group at harvest, respectively.
By counting the number of volatile compounds of different treatments at harvest (Table 3), we found that GF treatment was able to increase the complexity of volatile composition significantly, most notably in terpene and ester compounds. The opposite phenomenon was observed after G treatment, where the number of acid, ester and alcohol compounds was decreased compared with CK. Additionally, the effect of each treatment was unobvious in the number of aldehyde, acid and alcohol compounds. By comparing the sum of the various types of substances in the four treatment groups (Table 4), we found that the F treatment can promote the accumulation of esters and alcohols, and that the G treatment only increased the accumulation of aldehydes compared to the control, but that the combined GF treatment increased the concentrations of all aroma substance categories. Additionally, the total concentrations of aroma compounds after G, F and GF treatments were all higher relative to the control (Table 4), which were mainly contributed due to the increase in aldehydes. Taken together, the data indicated that the different treatments had significant but differential effects on the aroma characteristics of table grapes at harvest.

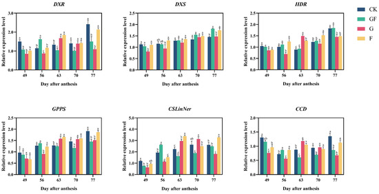
3.4. Spatial and Temporal Expression Analysis of Terpene-Related Genes

The spatial and temporal expression analysis of terpene-related genes, including 1-deoxy-D-xylulose 5-phosphate reductoisomerase (DXR), 1-deoxy-d-xylulose-5-phosphate synthase (DXS), 4-hydroxy-3-methylbut-2-enyl-diphosphate reductase (HDR), geranyl diphosphate synthase (GPPS), (3S)-linalool/(E)-nerolidol synthase (CSLinNer) and carotenoid cleavage dioxygenase (CCD), was determined by qRT-PCR (Figure 5). By comparing DXR and CSLinNer expressions over the ripening period, we found that the expression levels of CSLinNer in four treatments were completely consistent with DXR in every period. For example, DXR expression in the F group was the lowest of the four treatments at 56 DAA, which was also true for CSLinNer. CCD is the key gene of carotenoid cleavage, leading to the production of several aroma-active norisoprenoids [46]. However, we found that there was no obvious expression trend for CCD during the ripening period in any of the four treatment groups.
By Pearson’s correlation analysis, we found that only the expression level of VvDXS was significantly correlated with linalool and terpene concentrations in four treatments throughout the entire ripening period (Table 5), which indicated that VvDXS may play important roles in terpene biosynthesis. Interestingly, the expression levels of DXR, GPPS and CCD in CK were higher than that in G, F and GF treatments at harvest (77 DAA), which indicated that girdling and foliar fertilization with K inhibited the expression of these genes.

3.5. Sensory Properties

The effects of girdling and foliar fertilization with K on the sensory properties are shown in Figure 6. Girdling and foliar fertilization with K gained higher scores for sweetness than the control group. Girdling can improve the sourness of ‘Hanxiangmi’ table grapes, and the trend of sourness scores was similar to that of TA. Additionally, we found that girdling and foliar fertilization with K improved grapes’ astringency. The flavor score was higher in GF, which is consistent with the results of our previous analysis in Section 3.3. The overall acceptance scores were the highest in GF, the lowest in G, CK and F were in between.

4. Discussion

Girdling is a commonly used horticultural procedure in grape production to improve plant flowering and fruit size, advance maturity and reduce the number of harvests. Nonetheless, girding also presents several potential hazards to the vines. Girdling can weaken the ability of root absorption and interception of nutrients and water, and even severely damage plants by restricting root growth and promoting excess flower bud differentiation [47]. Therefore, foliar fertilization with K is often used after girdling to reduce the tissue damage, which is caused by girdling. However, little is known about the influence of foliar fertilization with K on grape aroma composition and other qualities, in combination with girdling or otherwise.
The quality of table grape mainly depends on cluster shape and size, berry size, sugar/acidity ratio, color and aroma [48]. Previous reports have suggested that girdling after full bloom (30–35 days) and fertilization with K can accelerate the accumulation of sugars and anthocyanins [49,50,51]. In our study, the results showed that the skin color of G, F and GF treatments were much deeper than the control group (Figure 1). Additionally, the weight of 20 berries was affected significantly by G, F and GF in each period, indicating that girdling and foliar fertilization with K can facilitate fruit development and enlargement. Among the four treatments, the combination of girdling and foliar fertilization with K had the most notable effects on berry weight, grape skin TSS and TA contents (Figure 2). Proanthocyanidins are a group of biologically active polyphenols, which are the most potent antioxidants and free radical scavengers identified to date [52]. In our study, GF significantly increased the accumulation of proanthocyanidins in berry skin (Figure 3). Tyagi et al. [53] found that total grape proanthocyanidin contents at both 7 and 9 weeks after girdling was almost 1.8-fold higher than ungirdled ‘Sable’ vines. Our results are in agreement with that study, but also indicated that adding foliar fertilization with K following girdling can further increase grape proanthocyanidin content.
In our study, the volatile aroma composition in four treatments throughout fruit development were determined by GC-MS analysis. Our results showed that girdling and foliar fertilization with K led to different effects on volatile aroma composition (Figure 4 and Table 1). A previous study showed that the total level of terpenes was reduced by 1.6-fold after girdling in ‘Sable’ vines [53]. In agreement, our study also indicated a significant decrease in the accumulation of terpenes and other volatile compounds after girdling, except for aldehydes. In the four treatment groups, the effect of combined girdling and foliar K fertilization was most striking, where the accumulation of the majority of volatile compounds was significantly enhanced, including 1-heptanol, (E)-2-hexenal, hexanal, nerol and geraniol, all of which have a low odor threshold. Previous studies have demonstrated that the concentrations of volatile free aroma compounds, especially monoterpenes, increased with positive correlation with soluble solids [54,55]. We suggest that the higher aroma accumulation in the GF group might be the consequence of achieving higher TSS.
There are a large number of terpene compounds produced in plants with extensive variation in their structure and functionalities. All terpene compounds in plants are synthesized from their isoprenoid precursors, which are derived from the common precursor isopentenyl diphosphate (IPP) formed in the plastidial MEP and the cytoplasmic mevalonate (MVA) pathways [56]. IPP and dimethylallyl pyrophosphate (DMAPP) are further catalyzed to form geranyl diphosphate (GPP), famesyl diphosphate (FPP) and geranylgeranyl diphosphate (GGPP). FPP (MVA pathway) is further processed into sesquiterpenes while GPP and GGPP (MEP pathway) are the immediate precursors for mono- and di-terpene synthesis, respectively. It has been reported that terpene accumulation in grapevine and other plants is correlated with MEP pathway gene expression [3], such as DXS, DXR, HDR and GPPS [26,57,58]. In this present study, we found that the expression levels of CSLinNer in four treatments were completely consistent with DXR in every period. We suggest that DXR and CSLinNer expressions are also somehow linked in grape terpene biosynthesis. Additionally, we found that only VvDXS was significantly correlated with linalool and total terpene concentrations, while the expression of other terpene-related genes were apparently uncorrelated with terpene accumulation in general (Figure 5). DXS is the first enzyme involved in the MEP pathway of isopentenyl-5-pyrophosphate (IPP) biosynthesis [59]. Our observation of the correlation between grape linalool content and VvDXS expression is in agreement with Battilana et al. [57] and Emanuelli et al. [60] (Table 5), who demonstrated the colocalization of VvDXS with the major QTL for monoterpene content positioned on chromosome 5, and indicating that VvDXS is a candidate gene for the regulation of these important grape monoterpenes.
Regarding the sensory properties, the phenolic compounds are the major ingredients linked to food astringency, especially for tannins [61]. We found that girdling and foliar fertilization with K improved grapes’ astringency, which was attributed to higher phenolic accumulation in G, F and GF treatments. It was assumed that the low overall acceptance score of G treatment could be attributed mainly to the higher score in astringency. The overall acceptance was affected by a combination of attributes. We concluded that the sensory property of GF is the best, and G is the worst, CK and F ranged between.

5. Conclusions

In this study, we found that girdling and foliar fertilization with K (alone or in combination) all facilitated fruit enlargement and deepened the skin color. The combination treatment of girdling and foliar fertilization with K decreased the titratable acidity, promoted the concentrations of total soluble solids in the pulp and proanthocyanidins in the berry skin, and increased the volatile compounds significantly compared with the control group. Girdling treatment alone increased the concentrations of titratable acidity, and was disadvantageous for volatile compound accumulation, except for aldehyde compounds. Foliar fertilization with K treatment alone had positive effects on the accumulation of esters and alcohols compared with the control. Additionally, spatial and temporal expression analysis showed that the expression of VvDXS was significantly correlated with linalool and total terpene concentrations, indicating that it is the candidate gene for the regulation of grape terpenes. Regarding the sensory properties, the combination treatment is the best, and girdling treatment alone is the worst, with CK and foliar fertilization with K treatment alone ranged between. In summary, our results can provide a new idea for improving sensory properties of table grape and direct farmers to better apply girdling and foliar fertilization with K in grape production.

Supplementary Materials

The following are available online at https://www.mdpi.com/article/10.3390/horticulturae8050388/s1, Table S1: The weather conditions during the experiments; Table S2: The primer sequences for qRT-PCR.

Author Contributions

T.C. and T.X. participated in writing the manuscript; Y.W., J.Y., Z.C. and L.W. were involved in the experimental design. T.C., T.X., L.S. and T.Z. were involved in the collection and analysis of data. All authors have read and agreed to the published version of the manuscript.

Funding

This research was funded by the Key Research and Development Program of Zhejiang Province (2021C02053), 2025 Major Science and Technology Innovation Special Project of Ningbo (2019B10015) and 2021 Planted Talent Plan of Zhejiang Province (2021R420020).

Institutional Review Board Statement

Not applicable.

Informed Consent Statement

Not applicable.

Data Availability Statement

Not applicable.

Conflicts of Interest

The authors declare that they have no conflict interest.

References

  1. Wang, W.; Feng, J.; Wei, L.; Khalil-Ur-Rehman, M.; Nieuwenhuizen, N.J.; Yang, L.; Zheng, H.; Tao, J. Transcriptomics Integrated with Free and Bound Terpenoid Aroma Profiling during “Shine Muscat” (Vitis labrusca × V. vinifera) Grape Berry Development Reveals Coordinate Regulation of MEP Pathway and Terpene Synthase Gene Expression. J. Agric. Food Chem. 2021, 69, 1413–1429. [Google Scholar] [CrossRef] [PubMed]
  2. Chen, T.; Xu, T.; Zhang, T.; Liu, T.; Shen, L.; Chen, Z.; Wu, Y.; Yang, J. Genome-Wide Identification and Characterization of DnaJ Gene Family in Grape (Vitis vinifera L.). Horticulturae 2021, 7, 589. [Google Scholar] [CrossRef]
  3. Li, X.; He, L.; An, X.; Yu, K.; Meng, N.; Duan, C.; Pan, Q.-H. VviWRKY40, a WRKY Transcription Factor, Regulates Glycosylated Monoterpenoid Production by VviGT14 in Grape Berry. Genes 2020, 11, 485. [Google Scholar] [CrossRef] [PubMed]
  4. Mariño, N.C.; Tamames, E.L.; Jares, Y.C.G. Contribution to the Study of the Aromatic Potential of Three Muscat Vitis Vinifera Varieties: Identification of New Compounds. Food Sci. Technol. Int. 1995, 1, 105–116. [Google Scholar] [CrossRef]
  5. Rocha, S.; Rodrigues, F.; Coutinho, P.; Delgadillo, I.; Coimbra, M.A. Volatile composition of Baga red wine: Assessment of the identification of the would-be impact odourants. Anal. Chim. Acta 2004, 513, 257–262. [Google Scholar] [CrossRef]
  6. Fenoll, J.; Manso, A.; Hellin, P.; Ruiz, L.; Flores, P. Changes in the aromatic composition of the Vitis vinifera grape Muscat Hamburg during ripening. Food Chem. 2009, 114, 420–428. [Google Scholar] [CrossRef]
  7. Capone, S.; Tufariello, M.; Siciliano, P. Analytical characterisation of Negroamaro red wines by “Aroma Wheels”. Food Chem. 2013, 141, 2906–2915. [Google Scholar] [CrossRef]
  8. Kalua, C.M.; Boss, P.K. Evolution of Volatile Compounds during the Development of Cabernet Sauvignon Grapes (Vitis vinifera L.). J. Agric. Food Chem. 2009, 57, 3818–3830. [Google Scholar] [CrossRef]
  9. Alem, H.; Rigou, P.; Schneider, R.; Ojeda, H.; Torregrosa, L. Impact of agronomic practices on grape aroma composition: A review. J. Sci. Food Agric. 2018, 99, 975–985. [Google Scholar] [CrossRef]
  10. Ojeda, H.; Andary, C.; Kraeva, E.; Carbonneau, A.; Deloire, A. Influence of Pre- and Postveraison Water Deficit on Synthesis and Concentration of Skin Phenolic Compounds during Berry Growth of Vitis vinifera cv. Shiraz. Am. J. Enol. Vitic. 2002, 53, 261–267. [Google Scholar]
  11. Fragasso, M.; Antonacci, D.; Pati, S.; Tufariello, M.; Baiano, A.; Forleo, L.R.; Caputo, A.R.; La Notte, E.; Hirson, G.D.; Heymann, H.; et al. Influence of Training System on Volatile and Sensory Profiles of Primitivo Grapes and Wines. Am. J. Enol. Vitic. 2012, 63, 477–486. [Google Scholar] [CrossRef]
  12. Cincotta, F.; Verzera, A.; Prestia, O.; Tripodi, G.; Lechhab, W.; Sparacio, A.; Condurso, C. Influence of leaf removal on grape, wine and aroma compounds of Vitis vinifera L. cv. Merlot under Mediterranean climate. Eur. Food Res. Technol. 2021, 248, 403–413. [Google Scholar] [CrossRef]
  13. Buesa, I.; Intrigliolo, D.S.; Castel, J.R.; Vilanova, M. Influence of water regime on grape aromatic composition of Muscat of Alexandria in a semiarid climate. Sci. Hortic. 2021, 290, 110525. [Google Scholar] [CrossRef]
  14. Kok, D. Influences of pre- and post-veraison cluster thinning treatments on grape composition variables and monoterpene levels of Vitis vinifera L. cv. Sauvignon Blanc. J. Food Agric. Environ. 2011, 9, 22–26. [Google Scholar]
  15. Reynolds, A.G.; De Savigny, C. Influence of Girdling and Gibberellic Acid on Yield Components, Fruit Composition, and Vestigial Seed Formation of ‘Sovereign Coronation’ Table Grapes. HortScience 2004, 39, 541–544. [Google Scholar] [CrossRef] [Green Version]
  16. Roper, T.R.; Williams, L.E. Net CO2 Assimilation and Carbohydrate Partitioning of Grapevine Leaves in Response to Trunk Girdling and Gibberellic Acid Application. Plant Physiol. 1989, 89, 1136–1140. [Google Scholar] [CrossRef] [Green Version]
  17. El-Otmani, M.; Ait-Oubahou, A.; Zacarías, L. 21-Citrus spp.: Orange, mandarin, tangerine, clementine, grapefruit, pomelo, lemon and lime. In Postharvest Biology and Technology of Tropical and Subtropical Fruits; Yahia, E.M., Ed.; Woodhead Publishing: Cambridge, UK, 2011; pp. 437–516. [Google Scholar]
  18. Niu, J.; Liu, C.; Huang, M.; Liu, K.; Yan, D. Effects of Foliar Fertilization: A Review of Current Status and Future Perspectives. J. Soil Sci. Plant Nutr. 2020, 21, 104–118. [Google Scholar] [CrossRef]
  19. Song, C.-Z.; Liu, M.-Y.; Meng, J.-F.; Shi, P.-B.; Zhang, Z.-W.; Xi, Z.-M. Influence of foliage-sprayed zinc sulfate on grape quality and wine aroma characteristics of Merlot. Eur. Food Res. Technol. 2015, 242, 609–623. [Google Scholar] [CrossRef]
  20. Garde-Cerdán, T.; Gamboa, G.G.; Baroja, E.; Rubio-Bretón, P.; Pérez-Álvarez, E.P. Influence of methyl jasmonate foliar application to vineyard on grape volatile composition over three consecutive vintages. Food Res. Int. 2018, 112, 274–283. [Google Scholar] [CrossRef]
  21. Martins, V.; Teixeira, A.; Gerós, H. Changes in the volatile composition of wine from grapes treated with Bordeaux mixture: A laboratory-scale study. Aust. J. Grape Wine Res. 2015, 21, 425–429. [Google Scholar] [CrossRef]
  22. Río Segade, S.; Vilanova, M.; Giacosa, S.; Perrone, I.; Chitarra, W.; Pollon, M.; Torchio, F.; Boccacci, P.; Gambino, G.; Gerbi, V.; et al. Ozone Improves the Aromatic Fingerprint of White Grapes. Sci. Rep. 2017, 7, 16301. [Google Scholar] [CrossRef] [Green Version]
  23. Wang, Y.; Gao, S.; He, X.; Li, Y.; Zhang, Y.; Chen, W. Response of total phenols, flavonoids, minerals, and amino acids of four edible fern species to four shading treatments. PeerJ 2020, 8, e8354. [Google Scholar] [CrossRef]
  24. Woo, A.; Lindsay, R. Method for the Routine Quantitative Gas Chromatographic Analysis of Major Free Fatty Acids in Butter and Cream. J. Dairy Sci. 1980, 63, 1058–1064. [Google Scholar] [CrossRef]
  25. Xi, X.; Zha, Q.; He, Y.; Tian, Y.; Jiang, A. Influence of cluster thinning and girdling on aroma composition in ‘Jumeigui’ table grape. Sci. Rep. 2020, 10, 1–10. [Google Scholar] [CrossRef] [Green Version]
  26. Martin, D.M.; Chiang, A.; Lund, S.T.; Bohlmann, J. Biosynthesis of wine aroma: Transcript profiles of hydroxymethylbutenyl diphosphate reductase, geranyl diphosphate synthase, and linalool/nerolidol synthase parallel monoterpenol glycoside accumulation in Gewürztraminer grapes. Planta 2012, 236, 919–929. [Google Scholar] [CrossRef]
  27. Battilana, J.; Emanuelli, F.; Gambino, G.; Gribaudo, I.; Gasperi, F.; Boss, P.K.; Grando, M.S. Functional effect of grapevine 1-deoxy-D-xylulose 5-phosphate synthase substitution K284N on Muscat flavour formation. J. Exp. Bot. 2011, 62, 5497–5508. [Google Scholar] [CrossRef] [Green Version]
  28. Mathieu, S.; Terrier, N.; Procureur, J.; Bigey, F.; Günata, Z. A Carotenoid Cleavage Dioxygenase from Vitis vinifera L.: Functional characterization and expression during grape berry development in relation to C13-norisoprenoid accumulation. J. Exp. Bot. 2005, 56, 2721–2731. [Google Scholar] [CrossRef]
  29. Choi, K.-O.; Im, D.; Park, S.J.; Lee, D.H.; Kim, S.J.; Hur, Y.Y. Effects of Berry Thinning on the Physicochemical, Aromatic, and Sensory Properties of Shine Muscat Grapes. Horticulturae 2021, 7, 487. [Google Scholar] [CrossRef]
  30. Granato, D.; Masson, M.L.; Ribeiro, J.C.B. Sensory acceptability and physical stability evaluation of a prebiotic soy-based dessert developed with passion fruit juice. Food Sci. Technol. 2012, 32, 119–126. [Google Scholar] [CrossRef] [Green Version]
  31. Ji, X.-H.; Wang, B.-L.; Wang, X.-D.; Liu, F.-Z.; Wang, H.-B. Differences of aroma development and metabolic pathway gene expression between Kyoho and 87-1 grapes. J. Integr. Agric. 2021, 20, 1525–1539. [Google Scholar] [CrossRef]
  32. Wu, Y.; Duan, S.; Zhao, L.; Gao, Z.; Luo, M.; Song, S.; Xu, W.; Zhang, C.; Ma, C.; Wang, S. Aroma characterization based on aromatic series analysis in table grapes. Sci. Rep. 2016, 6, 31116. [Google Scholar] [CrossRef] [Green Version]
  33. Lee, M.; Yang, H.; Kim, D.; Yang, M.; Park, T.H.; Hong, S. Human-like smelling of a rose scent using an olfactory receptor nanodisc-based bioelectronic nose. Sci. Rep. 2018, 8, 13945. [Google Scholar] [CrossRef] [Green Version]
  34. Choi, K.-O.; Lee, D.H.; Park, S.J.; Im, D.; Hur, Y.Y.; Kim, S.J. Changes in Biochemical and Volatile Flavor Compounds of Shine Muscat at Different Ripening Stages. Appl. Sci. 2020, 10, 5661. [Google Scholar] [CrossRef]
  35. Gunata, Y.; Bayonove, C.; Baumes, R.; Cordonnier, R. The aroma of grapes I. Extraction and determination of free and glycosidically bound fractions of some grape aroma components. J. Chromatogr. A 1985, 331, 83–90. [Google Scholar] [CrossRef]
  36. Genovese, A.; Lamorte, S.A.; Gambuti, A.; Moio, L. Aroma of Aglianico and Uva di Troia grapes by aromatic series. Food Res. Int. 2013, 53, 15–23. [Google Scholar] [CrossRef]
  37. Guth, H. Identification of Character Impact Odorants of Different White Wine Varieties. J. Agric. Food Chem. 1997, 45, 3022–3026. [Google Scholar] [CrossRef]
  38. Genovese, A.; Dimaggio, R.; Lisanti, M.T.; Piombino, P.; Moio, L. Aroma Composition of Red Wines by Different Extraction Methods and Gas Chromatography-SIM/Mass Spectrometry Analysis. Ann. Chim. 2005, 95, 383–394. [Google Scholar] [CrossRef]
  39. Moyano, L.; Zea, L.; Moreno, J.; Medina, M. Analytical Study of Aromatic Series in Sherry Wines Subjected to Biological Aging. J. Agric. Food Chem. 2002, 50, 7356–7361. [Google Scholar] [CrossRef]
  40. Pino, J.A.; Mesa, J. Contribution of volatile compounds to mango (Mangifera indica L.) aroma. Flavour Fragr. J. 2006, 21, 207–213. [Google Scholar] [CrossRef]
  41. Franco, M.; Peinado, R.A.; Medina, A.M.; Moreno, J. Off-Vine Grape Drying Effect on Volatile Compounds and Aromatic Series in Must from Pedro Ximénez Grape Variety. J. Agric. Food Chem. 2004, 52, 3905–3910. [Google Scholar] [CrossRef]
  42. Du, X.; Finn, C.E.; Qian, M.C. Volatile composition and odour-activity value of thornless ‘Black Diamond’ and ‘Marion’ blackberries. Food Chem. 2010, 119, 1127–1134. [Google Scholar] [CrossRef]
  43. Yang, C.; Luo, L.; Zhang, H.; Yang, X.; Lv, Y.; Song, H. Common aroma-active components of propolis from 23 regions of China. J. Sci. Food Agric. 2010, 90, 1268–1282. [Google Scholar] [CrossRef]
  44. Pino, J.A.; Queris, O. Analysis of volatile compounds of mango wine. Food Chem. 2011, 125, 1141–1146. [Google Scholar] [CrossRef]
  45. Jiang, B.; Zhang, Z. Volatile Compounds of Young Wines from Cabernet Sauvignon, Cabernet Gernischet and Chardonnay Varieties Grown in the Loess Plateau Region of China. Molecules 2010, 15, 9184–9196. [Google Scholar] [CrossRef] [Green Version]
  46. Meng, N.; Wei, Y.; Gao, Y.; Yu, K.; Cheng, J.; Li, X.-Y.; Duan, C.-Q.; Pan, Q.-H. Characterization of Transcriptional Expression and Regulation of Carotenoid Cleavage Dioxygenase 4b in Grapes. Front. Plant Sci. 2020, 11, 483. [Google Scholar] [CrossRef]
  47. McFadyen, L.; Robertson, D.; Sedgley, M.; Kristiansen, P.; Olesen, T. Effects of girdling on fruit abscission, yield and shoot growth in macadamia. Sci. Hortic. 2013, 164, 172–177. [Google Scholar] [CrossRef]
  48. García-Pastor, M.E.; Zapata, P.J.; Castillo, S.; Martínez-Romero, D.; Valero, D.; Serrano, M.; Guillén, F. Preharvest Salicylate Treatments Enhance Antioxidant Compounds, Color and Crop Yield in Low Pigmented-Table Grape Cultivars and Preserve Quality Traits during Storage. Antioxidants 2020, 9, 832. [Google Scholar] [CrossRef]
  49. Topalović, A.; Slatnar, A.; Štampar, F.; Knežević, M.; Veberič, R. Influence of Foliar Fertilization with P and K on Chemical Constituents of Grape cv. ‘Cardinal’. J. Agric. Food Chem. 2011, 59, 10303–10310. [Google Scholar] [CrossRef]
  50. Koshita, Y.; Yamane, T.; Yakushiji, H.; Azuma, A.; Mitani, N. Regulation of skin color in ‘Aki Queen’ grapes: Interactive effects of temperature, girdling, and leaf shading treatments on coloration and total soluble solids. Sci. Hortic. 2011, 129, 98–101. [Google Scholar] [CrossRef]
  51. Zhu, M.; Yu, J.; Xu, Y.; Yang, G. Effect of Girdling on Anthocyanin Content and Quality of Spine Grape Berries. J. Plant Growth Regul. 2021, 41, 65–73. [Google Scholar] [CrossRef]
  52. Zhong, H.; Xue, Y.; Lu, X.; Shao, Q.; Cao, Y.; Wu, Z.; Chen, G. The Effects of Different Degrees of Procyanidin Polymerization on the Nutrient Absorption and Digestive Enzyme Activity in Mice. Molecules 2018, 23, 2916. [Google Scholar] [CrossRef] [PubMed] [Green Version]
  53. Tyagi, K.; Maoz, I.; Lewinsohn, E.; Lerno, L.; Ebeler, S.E.; Lichter, A. Girdling of table grapes at fruit set can divert the phenylpropanoid pathway towards accumulation of proanthocyanidins and change the volatile composition. Plant Sci. 2020, 296, 110495. [Google Scholar] [CrossRef] [PubMed]
  54. Reynolds, A.; Schlosser, J.; Sorokowsky, D.; Roberts, R.; Willwerth, J.; de Savigny, C. Magnitude of Viticultural and Enological Effects. II. Relative Impacts of Cluster Thinning and Yeast Strain on Composition and Sensory Attributes of Chardonnay Musque. Am. J. Enol. Vitic. 2007, 58, 25–41. [Google Scholar]
  55. Boss, P.K.; Böttcher, C.; Davies, C. Various Influences of Harvest Date and Fruit Sugar Content on Different Wine Flavor and Aroma Compounds. Am. J. Enol. Vitic. 2014, 65, 341–353. [Google Scholar] [CrossRef]
  56. Rohmer, M.; Knani, M.; Simonin, P.; Sutter, B.; Sahm, H. Isoprenoid biosynthesis in bacteria: A novel pathway for the early steps leading to isopentenyl diphosphate. Biochem. J. 1993, 295, 517–524. [Google Scholar] [CrossRef] [PubMed]
  57. Battilana, J.; Costantini, L.; Emanuelli, F.; Sevini, F.; Segala, C.; Moser, S.; Velasco, R.; Versini, G.; Grando, M.S. The 1-deoxy-d-xylulose 5-phosphate synthase gene co-localizes with a major QTL affecting monoterpene content in grapevine. Theor. Appl. Genet. 2008, 118, 653–669. [Google Scholar] [CrossRef]
  58. Li, Y.; He, C.; Yu, X.; Zhou, J.; Ntezimana, B.; Yu, Z.; Chen, Y.; Ni, D. Study on improving aroma quality of summer-autumn black tea by red-light irradiation during withering. LWT 2021, 154, 112597. [Google Scholar] [CrossRef]
  59. Morcia, C.; Tumino, G.; Raimondi, S.; Schneider, A.; Terzi, V. Muscat Flavor in Grapevine: A Digital PCR Assay to Track Allelic Variation in VvDXS Gene. Genes 2021, 12, 747. [Google Scholar] [CrossRef]
  60. Emanuelli, F.; Battilana, J.; Costantini, L.; Le Cunff, L.; Boursiquot, J.-M.; This, P.; Grando, M.S. A candidate gene association study on muscat flavor in grapevine (Vitis vinifera L.). BMC Plant Biol. 2010, 10, 241. [Google Scholar] [CrossRef] [Green Version]
  61. Soares, S.; Soares, S.; Brandão, E.; Guerreiro, C.; Mateus, N.; De Freitas, V. Oral interactions between a green tea flavanol extract and red wine anthocyanin extract using a new cell-based model: Insights on the effect of different oral epithelia. Sci. Rep. 2020, 10, 1–16. [Google Scholar] [CrossRef]
Figure 1. Effects of girdling and foliar fertilization with K on the visual appearances of ‘Hanxiangmi’ table grapes at harvest. CK: the control; G: girdling treatment; F: foliar fertilization treatment of K; GF: both of girding and foliar fertilization treatments.
Figure 1. Effects of girdling and foliar fertilization with K on the visual appearances of ‘Hanxiangmi’ table grapes at harvest. CK: the control; G: girdling treatment; F: foliar fertilization treatment of K; GF: both of girding and foliar fertilization treatments.
Horticulturae 08 00388 g001
Figure 2. Effects of girdling and foliar fertilization with K on total soluble solids, titratable acidity and 20 berries weight of ‘Hanxiangmi’ table grapes. The different lowercase letters above the bars indicate a significant difference (p < 0.05).
Figure 2. Effects of girdling and foliar fertilization with K on total soluble solids, titratable acidity and 20 berries weight of ‘Hanxiangmi’ table grapes. The different lowercase letters above the bars indicate a significant difference (p < 0.05).
Horticulturae 08 00388 g002
Figure 3. Effect of girdling and foliar fertilization with K on the concentration of phenolic compounds in ‘Hanxiangmi’ grape skin. The different lowercase letters above the bars indicate a significant difference (p < 0.05). TP, total phenolic concentration (mg/g); PT, polymeric tannin concentration (mg/g); PA, proanthocyanidin concentration (mg/g).
Figure 3. Effect of girdling and foliar fertilization with K on the concentration of phenolic compounds in ‘Hanxiangmi’ grape skin. The different lowercase letters above the bars indicate a significant difference (p < 0.05). TP, total phenolic concentration (mg/g); PT, polymeric tannin concentration (mg/g); PA, proanthocyanidin concentration (mg/g).
Horticulturae 08 00388 g003
Figure 4. Concentrations (μg/L) of volatile compounds determined under girdling and foliar fertilization with K treatments in the pulp juice of ‘Hanxiangmi’ table grape at harvest.
Figure 4. Concentrations (μg/L) of volatile compounds determined under girdling and foliar fertilization with K treatments in the pulp juice of ‘Hanxiangmi’ table grape at harvest.
Horticulturae 08 00388 g004
Figure 5. Spatial and temporal expression analysis of terpene-related genes throughout the entire ripening period in ‘Hanxiangmi’ table grape. a, b, c, d on the bar chart denotes a significant difference (p < 0.05).
Figure 5. Spatial and temporal expression analysis of terpene-related genes throughout the entire ripening period in ‘Hanxiangmi’ table grape. a, b, c, d on the bar chart denotes a significant difference (p < 0.05).
Horticulturae 08 00388 g005
Figure 6. Effects of girdling and foliar fertilization with K on the sensory properties of ‘Hanxiangmi’ table grapes.
Figure 6. Effects of girdling and foliar fertilization with K on the sensory properties of ‘Hanxiangmi’ table grapes.
Horticulturae 08 00388 g006
Table 1. Concentrations (μg/L) of terpene compounds determined under girdling and foliar fertilization with K treatments in the pulp juice of ‘Hanxiangmi’ table grape during berry development. N.D: not detected. Different letters within the same row indicate significant differences at p < 0.05.
Table 1. Concentrations (μg/L) of terpene compounds determined under girdling and foliar fertilization with K treatments in the pulp juice of ‘Hanxiangmi’ table grape during berry development. N.D: not detected. Different letters within the same row indicate significant differences at p < 0.05.
CompoundsDAATreatment
CKGFGF
Nerol49N.DN.DN.DN.D
56N.D0.0997 ± 0.0150N.DN.D
63N.D0.4667 ± 0.0632 a0.2206 ± 0.0349 b0.1361 ± 0.0145 b
700.2813 ± 0.0079 b0.7899 ± 0.0455 a0.2143 ± 0.0167 c0.2745 ± 0.0147 b
770.5610 ± 0.0292 b1.1219 ± 0.0942 a0.3800 ± 0.0530 c0.3708 ± 0.0560 c
Linalool490.3869 ± 0.0420 a0.2228 ± 0.0162 d0.3005 ± 0.0280 b0.2858 ± 0.0297 b
560.4724 ± 0.0551 a0.3936 ± 0.0288 a0.4582 ± 0.0129 a0.4341 ± 0.0560 a
630.9081 ± 0.0793 a0.7322 ± 0.0318 b0.9479 ± 0.0519 a0.7878 ± 0.0155 b
700.7761 ± 0.1207 b1.1705 ± 0.0115 a0.8042 ± 0.0933 b1.0628 ± 0.0660 a
771.5796 ± 0.1439 a b1.8683 ± 0.1646 a1.2967 ± 0.1013 b1.7188 ± 0.1798 a
Myrcenol490.3359 ± 0.0468 b0.8604 ± 0.1113 aN.DN.D
565.1900 ± 0.2021 b5.5554 ± 0.2781 b5.2314 ± 0.3910 b6.8505 ± 0.2181 a
635.5970 ± 0.1675 d8.2370 ± 0.3866 b6.4270 ± 0.3199 c9.3834 ± 0.5000 a
709.2388 ± 0.3783 c14.4505 ± 0.7998 a7.3326 ± 0.3538 d10.6854 ± 0.6543 b
7714.0684 ± 0.4185 a15.2128 ± 0.5467 a12.4245 ± 1.0899 b11.5641 ± 0.8580 b
Hotrienol49N.DN.DN.DN.D
56N.DN.DN.DN.D
63N.DN.DN.DN.D
70N.DN.DN.DN.D
770.8900 ± 0.0521 b1.2072 ± 0.0844 a0.4167 ± 0.0053 c0.8986 ± 0.0565 b
4-Terpineol49N.DN.DN.DN.D
56N.DN.DN.DN.D
63N.DN.DN.DN.D
704.0766 ± 0.1007 a3.8199 ± 0.1371 b1.5359 ± 0.0817 c1.5628 ± 0.0481 c
775.2349 ± 0.0887 a5.0718 ± 0.1418 a1.6770 ± 0.1033 b1.7623 ± 0.0588 b
Cineole49N.DN.DN.DN.D
56N.DN.DN.DN.D
63N.DN.DN.DN.D
700.3215 ± 0.0134N.DN.DN.D
770.6350 ± 0.0220 c0.3371 ± 0.0181 d1.6611 ± 0.0766 a1.1865 ± 0.0054 b
Geraniol49N.DN.DN.DN.D
56N.DN.DN.DN.D
63N.DN.DN.DN.D
701.1726 ± 0.0529 b1.3391 ± 0.0250 a0.8352 ± 0.0333 c1.1490 ± 0.0812 b
771.3768 ± 0.0582 b1.5375 ± 0.1008 a0.9769 ± 0.0851 c1.4495 ± 0.0464 a b
Citronellol49N.DN.DN.DN.D
56N.DN.DN.DN.D
63N.DN.DN.DN.D
70N.DN.DN.DN.D
771.9764 ± 0.1442 b2.4003 ± 0.0496 a1.4818 ± 0.1188 c1.7002 ± 0.0714 d
Phellandrene490.0486 ± 0.0037 b0.0434 ± 0.0058 b0.0399 ± 0.0039 b0.0672 ± 0.0064 a
560.0983 ± 0.0150 a0.0681 ± 0.0103 b0.0732 ± 0.0041 b0.0822 ± 0.0051 a b
630.1173 ± 0.0138 a0.0627 ± 0.0010 b0.0755 ± 0.0091 b0.1269 ± 0.0184 a
700.1826 ± 0.0086 a0.1104 ± 0.0131 b0.0753 ± 0.0056 c0.1759 ± 0.0038 a
770.1949 ± 0.0109 c0.2912 ± 0.0082 a0.1124 ± 0.0150 d0.2222 ± 0.0073 b
α-Thujene49N.DN.DN.DN.D
56N.DN.DN.DN.D
63N.DN.DN.DN.D
70N.DN.D0.1042 ± 0.0091 a0.1160 ± 0.0090 a
770.1042 ± 0.0086 c0.3875 ± 0.0537 a0.1320 ± 0.0092 c0.1888 ± 0.0165 b
Geranic acid49N.DN.DN.DN.D
56N.DN.DN.DN.D
63N.DN.DN.DN.D
70N.DN.DN.DN.D
77N.D0.2152 ± 0.0055 a0.0297 ± 0.0007 bN.D
Table 2. Odor threshold (μg/L) and odorant series of partial aroma compounds. Odorant series: 1, herbaceous; 2, floral; 3, fruity; 4, spicy; 5, sweet; 6, fatty; 7, roasty; 8, earthy. a: determined in water solution. b: determined in ethanol-water solution.
Table 2. Odor threshold (μg/L) and odorant series of partial aroma compounds. Odorant series: 1, herbaceous; 2, floral; 3, fruity; 4, spicy; 5, sweet; 6, fatty; 7, roasty; 8, earthy. a: determined in water solution. b: determined in ethanol-water solution.
CompoundsOdor ThresholdOdorant SeriesCompoundsOdor Threshold Odorant Series
C6 compounds Esters
Hexanal16b [36]1Ethyl isobutyrate15b [37]3
3-Hexenal0.25a [38]1Ethyl butanoate600b [39]5
(E)-2-Hexenal17a [36]1Butyl acetate66a [40]3
Hexanol1300b [36]1, 2Ethyl Hexanoate100b [39]3
(Z)-3-Hexen-1-ol400b [36]1, 6Hexyl acetate670b [41]1, 2, 3
(E)-2-Hexen-1-ol400b [36]1Ethyl heptanoate300b [39]3
Alcohols Methyl salicylate40a [42]1, 4
1-Octen-3-ol1a [43]8Terpenes
2-Heptanol70a [42]3Nerol500b [36]1, 2
2-Ethyl hexanol270a [44]2Linalool15b [36]2, 3, 5
Octanol120b [45]2Geraniol30b [36]2
Nonanol1000a [42]2Citronellol100b [39]2
Phenylethyl Alcohol1100a [6]24-Terpineol500b [41]1
Aldehydes Acids
Octanal50b [39]1, 2, 3, 6Hexanoic acid8500b [39]6
Nonanal1a [45]1, 3Octanoic acid10,000b [41]5, 6
Benzaldehyde2000b [45]2, 3, 5, 7
Table 3. The effect of the different treatments on the number of volatile aroma compounds in the ‘Hanxiangmi’ table grape at harvest.
Table 3. The effect of the different treatments on the number of volatile aroma compounds in the ‘Hanxiangmi’ table grape at harvest.
TreatmentsAldehydesAcidsEstersAlcoholsTerpenesTotal
CK63810835
GF6310101140
G6279933
F63810835
Table 4. Total concentrations (μg/L) of each aroma compound in grapes at harvest from plants subject to the four different treatments.
Table 4. Total concentrations (μg/L) of each aroma compound in grapes at harvest from plants subject to the four different treatments.
TreatmentsAldehydesAcidsEstersAlcoholsTerpenesTotal
CK149.92524.474354.784531.401226.6212267.2065
GF209.53174.870756.232542.389129.6508342.6749
G176.43242.413046.020226.021420.5888271.4758
F143.26344.415859.453449.953121.0618278.1475
Table 5. The Pearson’s correlation coefficients between linalool concentrations and gene expression levels for six genes in ‘Hanxiangmi’ table grape. * and ** indicate significance at p < 0.05 and p < 0.01, respectively.
Table 5. The Pearson’s correlation coefficients between linalool concentrations and gene expression levels for six genes in ‘Hanxiangmi’ table grape. * and ** indicate significance at p < 0.05 and p < 0.01, respectively.
GeneLinaloolTotal Terpenes
CKGFGFCKGFGF
DXR0.8600.1810.5360.8680.8030.1660.2420.838
DXS0.936 *0.997 **0.889 *0.981 **0.939 *0.994 **0.886 *0.991 **
HDR0.8260.899 *0.891 *0.8050.911 *0.882 *0.6670.927 *
GPPS0.929 *0.6090.8690.8540.979 **0.6040.7260.935 *
CS0.7350.5120.5850.7810.8280.5480.4050.813
CCD0.421−0.3600.2660.6640.3530.005−0.0690.508
Publisher’s Note: MDPI stays neutral with regard to jurisdictional claims in published maps and institutional affiliations.

Share and Cite

MDPI and ACS Style

Chen, T.; Xu, T.; Shen, L.; Zhang, T.; Wang, L.; Chen, Z.; Wu, Y.; Yang, J. Effects of Girdling and Foliar Fertilization with K on Physicochemical Parameters, Phenolic and Volatile Composition in ‘Hanxiangmi’ Table Grape. Horticulturae 2022, 8, 388. https://doi.org/10.3390/horticulturae8050388

AMA Style

Chen T, Xu T, Shen L, Zhang T, Wang L, Chen Z, Wu Y, Yang J. Effects of Girdling and Foliar Fertilization with K on Physicochemical Parameters, Phenolic and Volatile Composition in ‘Hanxiangmi’ Table Grape. Horticulturae. 2022; 8(5):388. https://doi.org/10.3390/horticulturae8050388

Chicago/Turabian Style

Chen, Tianchi, Tao Xu, Leyi Shen, Tianye Zhang, Liru Wang, Zhihui Chen, Yueyan Wu, and Jian Yang. 2022. "Effects of Girdling and Foliar Fertilization with K on Physicochemical Parameters, Phenolic and Volatile Composition in ‘Hanxiangmi’ Table Grape" Horticulturae 8, no. 5: 388. https://doi.org/10.3390/horticulturae8050388

APA Style

Chen, T., Xu, T., Shen, L., Zhang, T., Wang, L., Chen, Z., Wu, Y., & Yang, J. (2022). Effects of Girdling and Foliar Fertilization with K on Physicochemical Parameters, Phenolic and Volatile Composition in ‘Hanxiangmi’ Table Grape. Horticulturae, 8(5), 388. https://doi.org/10.3390/horticulturae8050388

Note that from the first issue of 2016, this journal uses article numbers instead of page numbers. See further details here.

Article Metrics

Back to TopTop