Next Article in Journal
Kaffir Lime Essential Oil Variation in the Last Fifty Years: A Meta-Analysis of Plant Origins, Plant Parts and Extraction Methods
Previous Article in Journal
Effect of Fertilization Combined with Shading on Growth and Aromatic Constituents of Niamhom (Strobilanthes nivea Craib) Using an Internet of Things (IoT) Controlled Irrigation System
 
 
Font Type:
Arial Georgia Verdana
Font Size:
Aa Aa Aa
Line Spacing:
Column Width:
Background:
Article

Cold Climate during Bud Break and Flowering and Excessive Nutrient Inputs Limit Apple Yields in Hebei Province, China

1
National Academy of Agriculture Green Development, Department of Plant Nutrition, College of Resources and Environmental Sciences, China Agricultural University, Beijing 100193, China
2
State Key Laboratory of Crop Biology, College of Horticulture Science and Engineering, Shandong Agricultural University, Tai’an 271018, China
*
Author to whom correspondence should be addressed.
Horticulturae 2022, 8(12), 1131; https://doi.org/10.3390/horticulturae8121131
Submission received: 14 November 2022 / Revised: 26 November 2022 / Accepted: 30 November 2022 / Published: 1 December 2022

Abstract

Apples have become a major source of income for smallholder farmers in Bohai Bay. However, the annual productivity of apples in the area is relatively low and the interannual yield gap varies drastically. Identifying the apple yield gap and interannual production constraints can potentially promote the sustainable development of apple production. Based on track monitoring data of 45 smallholder farmers from 2016 to 2018, the yield gap and constraint factors were determined by adopting boundary analysis methodology. The results showed that the yield potential of apples during 2016–2018 was 75, 108, and 87 t ha−1, and actual yields were 36.8, 52.3, and 35.2 t ha−1, respectively. The explainable yield gaps were 40.5, 56.9, and 55.1 t ha−1. Soil, management, and climatic factors limit apple yield improvement. Among these, low temperatures during the bud break and flowering periods can induce yield losses. Soil nutrient content and fertilizer management are also important limiting factors that have polynomial relationships with yield. Too much fertilizer and high levels of nutrients in the soil have already caused yield losses in some fields. Sound scientific guidance to help farmers adopt reasonable management techniques adapted to climate change is necessary to close the yield gap.

Graphical Abstract

1. Introduction

Apples (Malus domestica Borkh.) are a popular fruit worldwide and are one of the most common fruits in many countries [1]. China is, by far, the largest apple producer worldwide, the planting area and total yield for apples were 2.22 million hectares and averaged ca. 41 mil tons, respectively, by the end of 2017, accounting for 47.1% and 49.4% of the total global production, ranking first worldwide [2]. However, the yield per unit area of 18.6 t ha−1 is far below the average for the top ten apple-producing countries (43.4 t ha−1) [2]. Moreover, apple yield varies greatly between farmers and cultivation years, contributing to a large yield gap in China (17.2 t ha−1 in 2016 and 18.9 t ha−1 in 2018) [3]. In China, the average planting scale is still less than 8.3 acres. Therefore, small farmers are the most fundamental production unit in China’s agriculture at the current stage [4], and as smallholder farmers are the drivers of sustainable development, meeting the basic needs of smallholder farmers is key [5]. Especially in horticultural production, which is highly labor-dependent, how to narrow the yield gap and increase production is a matter of small farmers’ livelihood [6]. Apple cultivation is the dominant source of income for many smallholder farmers living in favorable areas for apple production, such as Bohai Bay in China. However, low yield per unit area and low price affect the income of smallholder farmers [7]. Therefore, closing the yield gap is an urgent requirement for sustainable agricultural systems.
The apple was originally a temperate tree, growing where winters are cold (with average temperatures of −5 °C) and summers are mild (with average temperatures of 15 °C) [8], which is adapted to a wide range of climates ranging from 25° to 52° latitude (Chile) [9]. In China, these dominant climate factors can affect the potential distribution of apple, i.e., mean annual temperature 7–14 °C, annual precipitation 400–800 mm, annual sunshine hours 2000–2500 h [10]. ‘Fuji’ apple is one of the main varieties of late-ripening apples in China, accounting for 72.7% of China’s total apple production [11]. Understanding the constraint factors in the apple yield gap thus has a high priority. Apple yield can be limited by meteorological (temperature, precipitation, chilling, and heat requirements) [12,13], soil (soil total organic carbon, pH, available P, and exchangeable K) [14], and management factors (cultivar, tree age, density, coverage years, diseases and insect pests, number of pesticide sprays, irrigation, pruning, number of bags per tree, fertilization, rootstock, crop load, and culture system) [15,16,17,18,19,20,21]. However, the factors affecting apple yields differ across regions. For example, Li et al., analyzed the link between fruit yield and climatic factors using data from 28 apple-producing counties in Shaanxi Province, Northwest China, and showed that the main meteorological factors affecting annual apple yield were total solar radiation from April to October, precipitation in April and from June to August, and minimum temperature in mid-April [12]. However, Shen et al., found that the main climatic factors affecting apple yield in the different apple-producing areas of Shanxi Province were temperature conditions during the bud break, flowering, and fruiting stages [22]. However, in Shaanxi Province, the main factors affecting apple yield were tree load and number of pesticide sprays, whereas planting density and planting experience had little impact [23]. Additionally, some studies have revealed different factors that limit the apple yield in different years in the same region. For example, in Luochuan County, Northwest China, Xia et al., indicated that tree age and planting density were the main limiting factors for apple yield in 2017 [24], while Zhang et al., found that crop load, number of pesticide sprays, and base fertilizer N were the three main constraints for apple production in 2016 [23].
Yield constraints are also very complex across regions, farmers, and years, owing to the wide variation in the level of smallholder management and interannual climatic conditions in China [25]. Previous studies have often focused solely on the regional scale; however, few studies have assessed site characteristics considering the heterogeneity of small farmers, thereby failing to propose effective practices for apple yield enhancement. Furthermore, most current studies are qualitative, lacking quantitative research on yield-limiting factors, not allowing the accurate identification of key limitations. Therefore, continuous tracking research at the scale of individual farmers is important to identify key factors that affect the yield gap for developing countermeasures.
In China, villages are the smallest farming communities, however, there are still differences in soil and farmer management techniques, and climatic conditions across different years. Most importantly, village-scale research results can easily be translated into guidelines for farmers. Therefore, this study conducted continuous tracking for a group of farmers in one village, monitoring the soil conditions, climate changes, and management practices of farmers. This study aimed to evaluate (I) the yield gap and its variation among different farmers and years, (II) the key limitations for the interannual yield gap, and (III) appropriate solutions for closing the yield gap in small farming systems.

2. Materials and Methods

2.1. Site Description

The study was conducted in Beiquan Village, Luannan County, Hebei Province, part of the Bohai Bay apple-producing region. The village is located at 39°24′55″ N and 118°41′05″ E, with an average altitude of 39 m above sea level. The area has a warm temperate semi-humid continental monsoon climate, with a frost-free period of 186 days. The annual average temperature, precipitation, and sunshine hours are 10.6 °C, 658 mm, and 2853 h, respectively. The soil type in apple orchards in this area is sandy loamy (the proportion of clay is about 40%), studies have pointed out that more than 70% of the soil types in Hebei orchards are sandy loam soils [26], presenting suitable climate and soil conditions for apple production. The village had 130 apple growers (90% of total farmers) during the study period, and the planting area was approximately 150 ha, accounting for 60% of the village’s cultivated land area. The dominant apple cultivar in the area was Fuji, the growth of which was evaluated in this study. Small and scattered plots were the main modes of apple production in this village. Each apple-producing family has an orchard area of approximately 0.13–0.53 ha.

2.2. Data Collection and Processing

This study investigated the status of mature orchards over three consecutive years using the fixed-point tracking method. In 2016, we randomly selected 45 among the 130 families of fruit farmers in the village according to a list of names. If the selected farmer had more than one orchard, the largest orchard was selected. All selected orchards were mature orchards, with tree ages between 5 and 20 years. The distributions of tree age in sampled orchards are shown in Table 1. In-person survey questionnaires were administered to families that were sampled in October 2016, 2017, and 2018. The following information was collected from the survey questionnaires: apple yield during the study years (t ha−1, because farmers could not store apples without cold storage facilities, the actual harvest yield was the yield sold in the current year), single fruit weight (g), fruit size (mm, transverse diameter of fruit), irrigation times (number, irrigation frequency per year), number of pesticide sprays (number, frequency of pesticide spraying per year), pruning times (number, frequency of pruning per year), tree age (years), and fertilization (types, input amount of different periods). The following information was collected at each location: density (plant ha−1, calculated by row × column distance per tree), average number of diseases and insect pests per tree (number for randomly selected apple trees with consistent growth in an apple orchard), and number of bags per tree (loading per tree, 10 randomly selected apple trees with consistent growth in an apple orchard).
To evaluate fertilization management parameters, the following indicators were adopted: basal and total fertilizer nitrogen (N), phosphate (P2O5), and potassium (K2O) (kg ha–1, which was calculated according to the amount of fertilizer applied by farmers and the N, P2O5, and K2O contents of different fertilizers), N/P (the ratio of total fertilizer nitrogen and phosphate input by farmers), N/K (the ratio of total fertilizer nitrogen and potassium input by farmers), P/K (the ratio of total fertilizer phosphate and potassium input by farmers), and the ratio of basal to top dressing of NPK (the ratio of basal fertilizer input and top dressing input of N, P2O5, and K2O). Basal fertilizer refers to the amount of fertilizer input during the basal fertilizer period, total fertilizer refers to the amount of fertilizer input for the entire apple growing season. In addition, tree structure and orchard coverage were evaluated using the following indicators: rootstock type (arbor stock and dwarf stock), tree shape (spindle shape, the shape of central leader, and open-center shape), and orchard coverage (orchard covered with grasses or straw).
Meteorological data from 2016 to 2018 were obtained from the Luannan County Meteorological Bureau, including the daily average temperature, daily maximum temperature, daily minimum temperature, daily rainfall, and sunshine hours. Detailed meteorological conditions for the three years are listed in Table 2, meteorological data were also collected for the key growth period of Fuji apples (Table 3).
In addition, soil samples were collected from 45 orchards in 2016. To ensure the accuracy of data, soil samples were collected in September each year (before fertilization of the orchards in autumn) to prevent external nutrient input from interfering with the actual data. As the main soil nutrients did not considerably change over the study period, the soil data in 2016 were used for all three years. Five trees and three soil samples per tree were randomly selected from each sampled orchard using the crown projection sampling method [27]. The soil sample was collected from near the drip line of the vertical projection of the canopy [27]. The soil sampling depth was 0–30 cm. Following thorough mixing, samples were selected according to the quartering method, and soil samples were air-dried, sieved (2 mm), and retained for analysis. Soil measurement indicators included total nitrogen, organic matter, available phosphorus, available potassium, and pH. Soil total nitrogen was determined using the Kjeldahl method (HX-KN1000, Shandong, China); organic matter was determined by the potassium dichromate capacity method, the content of organic matter was calculated by Equation (1); soil available phosphorus was determined by 0.5 M dm−3 NaHCO3 (sodium bicarbonate) extraction-molybdenum antimony photometry (DR3900, Hach, Washington, DC, USA); soil available potassium (quick-acting potassium) was measured using 1.0 M dm−3 NH4Ac (ammonium acetate) extraction-flame photometry (FP-640, Beijing, China), and soil pH was measured using a pH meter (SevenExcellence S400-Basic, Shanghai, China) (water–soil ratio of 1:2.5) [28]. Detailed information on the soil conditions is presented in Table 4.
SOM (%) = (c × 5/V0) × (V0 − V) × 10−3 × 3 × 1.1/m × 100 × 1.724
where c is the concentration of the standard solution of potassium dichromate (1/6K2Cr2O7) with a value of 0.8, the value 5 indicates the volume of the standard solution of potassium dichromate used (mm3), V0 is the volume of ferrous sulfate used for the blank titration (mm3), V is the volume of ferrous sulfate used for the sample titration (mm3), the value 3 is the molar mass of a quarter of a carbon atom (g M−1), the value 1.1 is the oxidation correction factor, m is the mass of stoving soil (g), the value 1.724 is the average conversion factor for conversion of soil organic carbon to soil organic matter.

2.3. Statistical Analysis

Boundary line analysis [29] was originally used for the analysis of biological experiments. Recently, it has often been used to evaluate the relationship between crop yield gaps and production constraints [30,31] and to quantify the contribution of individual constraints to the apple yield gap [23]. Additional operational details of the boundary line method analysis are described as follows:
(a)
Scatter analysis. A series of scattering analyses were carried out on all the production constraints and actual yield of apples.
(b)
Determination of attainable production. The attainable yield (Yatt) refers to the highest yield obtained from the surveyed households.
(c)
Determination of the boundary point. The boundary point was obtained using boundary line analysis combined with the modeled relationships between yield and production factors.
(d)
Fitting boundary points and boundary lines.
The boundary lines were established for production constraints significantly related to yield (p ≤ 0.05). Boundary lines were also established for other production conditions related to yield. For boundary points that showed positive relationships (i.e., soil organic matter), sigmoidal regression analysis was used [30] as follows:
Yp = Yatt / {1 + [aexp(–bx)]}
where Yp is the maximum yield predicted by the boundary line analysis, x is the independent variable, and a and b are constants. For other constraints that showed negative relationships (i.e., with the increase in production constraints, the trend first increases and then decreases), polynomial (quadratic) regression lines [32] were fitted through the boundary points with the following model:
Yp = a1x2 + a2x + b1
where Yp is the maximum predicted yield for each production constraint by boundary line analysis, x is the independent variable, and a1, a2, and b1 are constants. The boundary line was used to obtain the Yp for each factor. All boundary lines were fitted to achieve the highest coefficient of determination (R2).
The yield gap between Yatt and Yp for each apple-growing household was calculated for each factor and subsequently expressed as a percentage of Yatt. According to von Liebig’s law of minimum [33], the minimum predicted yield (Ymin) of Yp was identified to be the most important limiting factor. The explainable yield gap was defined as the difference between Yatt and Ymin, and the unexplained yield gap was defined as the difference between Ymin and the actual yield of individual apple producers.
Means of apple yield and production constraints were compared among years using analysis of variance and mean comparisons, performed using SPSS (IBM Statistics 20) for Windows and Microsoft Office 2010 (Microsoft), and figures were drawn using Sigmaplot 12.5 (Systat Software, Bengaluru, India). All results obtained in this study were considered statistically significant at p ≤ 0.05.

3. Results

3.1. Apple Yield and Yield Gap

Apple (cv. ‘Fuji’) yield varied widely, from 0 to 75 t ha−1, 10 to 108 t ha−1, and 13.5 to 87 t ha−1 in 2016, 2017, and 2018, respectively. The average yield of sampled orchards was 36.8, 52.3, and 35.2 t ha−1 in 2016, 2017, and 2018, respectively. Biennial bearings of the same apple variety showed significantly higher yields in 2017 than in 2018, whereas apple yield did not show a significant difference between 2016 and 2018 (Figure 1a). Similarly, the proportion of yields of less than 20 t ha−1 in 2017 was lower than that in 2016 and 2018, and the proportion of yields over 60 t ha−1 was higher than that in 2016 and 2018 (Figure 1b). For the other biennial bearing features, the load of fruit trees in 2017 also was significantly higher than in 2018. However, the fruit size and single fruit weight in 2017 were only 74.3 mm and 175.3 g, lower than 79.9 mm and 206.1 g in 2018 (Figure 1c). The explainable yield gap (the gap between the minimum predicted yield and maximum yield obtained by farmers) was 40.5, 56.9, and 55.1 t ha−1 in 2016, 2017, and 2018, respectively (Figure 2), indicating that farmers realized only 46.0%, 47.3%, and 36.7% of their yield potential in 2016, 2017, and 2018, respectively.

3.2. Yield-Related Climatic Factors in Apple Production

Climatic conditions have a considerable impact on apple yield. Temperature affects the length of the apple flowering period and fruit expansion, sunshine hours can affect the accumulation of photosynthetic products, and rainfall can affect the growth of branches and fruit development. In the present study, we found that there was no obvious difference among the main climatic indicators between the three years (2016–2018), except for annual rainfall (Table 2). However, the climatic conditions during the key growth period of apples showed relatively large variations (Table 3). For example, the rainfall in 2017 was lower than that in the other two years (2016 and 2018) during the flowering period, fruit expansion period, and over the entire growing season. Irrigation time was increased to compensate for the lower rainfall in 2017, thus satisfying the water demand for apples (irrigation was performed 5 times in 2017, significantly higher than that in 2016 and 2018) (Table 5). Additionally, significant variation was found in sunshine hours between different years at the flowering (from 486.0 to 580.7 h) and the fruit expansion stages (from 587.3 to 691.2 h).
From Figure 3a, the number of days with daily average temperatures below 0 °C was one in 2016, zero in 2017, and six in 2018 before and after apple bud break. It is likely that this was the main factor leading to the comparatively lower yield in 2018. Furthermore, long-term low temperatures can cause frost damage to young shoots, delay bud breakage, and lead to flowering failure. The accumulated temperature conditions from bud break to the flowering period (considering that fruit trees began to sprout on March 10 and began to bear fruit on May 20) were 241.9, 280.3, and 243.0 °C in 2016, 2017, and 2018, respectively (Figure 3b), indicating relatively sound temperature conditions in 2017. Alternatively, conditions with an accumulated temperature above 10 °C in the flowering period (the whole flowering period of fruit trees) were 418.3, 452.1, and 421.3 °C in 2016, 2017, and 2018, respectively (Figure 3b), indicating that the accumulated temperature conditions in 2017 were suitable for apple blooming. Apple flowers are highly susceptible to low temperatures. In 2016, 2017, and 2018, the number of days with minimum temperatures below 0 °C from bud break to flowering was 8, 6, and 11 days, respectively (Figure 3c), indicating that apple flowers in 2018 were substantially affected by low temperatures.

3.3. Yield-Related Soil Factors in Apple Production

The influence of five soil factors on apple yield, namely soil organic matter (SOM), soil pH, soil total nitrogen (Ntot), soil available phosphorus (Pav), and soil available potassium (Kav), showed great variations. The SOM, soil pH, soil total N, soil available P, and soil available K ranged from 0.2 to 1.9%, 5.1 to 7.5, 0.6 to 2.2 g kg−1, 28.1 to 320.8 mg kg−1, and 69.5 to 362.7 mg kg−1, respectively (Table 4).
The increase in five soil factors, including soil Ntot, Pav and Kav, and soil pH, showed that apple yield increased until the greatest attainable yield was reached and subsequently declined. The threshold values of these soil indices corresponding to the maximum yield were as follows: 6.5 for pH, 1.4 g kg−1 for soil Ntot, 160 mg kg−1 for soil Pav, and 300 mg kg−1 for soil Kav (Figure 4). For SOM, the boundary line was linear with an eventual plateau, and the yield increased until the maximum attainable yield was reached and subsequently plateaued. The SOM threshold value corresponding to the maximum yield was 1.2% (Figure 4). The results showed that excess nitrogen, phosphorus, and potassium in the soil inhibited the increase in yield for some farmers. If management technologies are improved, these critical values are likely to change, especially considering the decrease in the phosphate and potassium contents.

3.4. Management Factors

3.4.1. Yield-Related Management Factors in Apple Production

Among the 20 management factors, such as variety, tree age, density, nutrient management, irrigation times, number of pesticide sprays, pruning times, diseases and insect pests, and the number of bags per tree, related to yield gap, 19 factors showed great variations among farmers (Table 5). On average, the material inputs for fertilizer (1717.19 kg ha−1 average total NPK), irrigation (5.5 times), and pesticides (10.6 times) were relatively high. Over the study period, tree age showed an increasing trend, which indicated that no old trees were cut down or new trees were planted; therefore, there was no difference in density among the years. The input amounts of nitrogen (N), phosphorus (P2O5), and potassium (K2O) to the basal fertilizer showed a continuous decreasing trend (detailed discussion below). The ratios of the basal fertilizer to the topdressing of N, P2O5, and K2O did not show significant changes (Table 5). Furthermore, 11 factors, including the amount of fertilizer input (total fertilizer N, P2O5, and K2O), the ratios of different macronutrients (the ratio of total fertilizer nitrogen and phosphate (N/P), the ratio of total fertilizer nitrogen and potassium (N/K), the ratio of total fertilizer phosphate and potassium (P/K)), irrigation times, number of pesticide sprays, pruning times, diseases and insect pests, and number of bags per tree, showed irregular variations, indicating inefficient management practices by farmers.

3.4.2. Yield-Related Management Factors and Their Contributions to the Yield Gap

Apart from apple variety that did not change among farmers, the 19 management factors were considered as yield-related constraints, and their relationships with apple yield were evaluated based on the boundary line methodology. Polynomial curves were established for all 19 factors, indicating that the yield increased until the attainable yield was reached and subsequently declined (Figure 5). We found that the threshold values of nine indices corresponding to the maximum yield in the three years were consistent, including basal nitrogen fertilizer (350–400 kg ha−1), basal phosphorus fertilizer (400–600 kg ha−1), ratio of basal-to-topdressing of phosphorus fertilizer (1.2–1.6), N/K (0.8–1), P/K (0.8–1), irrigation times (6–7), number of pesticide sprays (10–11), no diseases and insect pests (0), and number of bags per tree (500–600).
However, inconsistent threshold values were obtained for the other 10 management factors, including total nitrogen input, total phosphorus input, total potassium input, basal potassium input, N/P, ratio of basal-to-topdressing of nitrogen fertilizer, ratio of basal-to-topdressing of potassium fertilizer, pruning times, tree age, and density. For example, in 2017, the yield decreased when the total nitrogen input exceeded 600 kg ha−1, whereas in 2016 and 2018, the yield decreased when the total nitrogen input exceeded 1200 kg ha−1. The threshold value for N/P was 1 in 2017, whereas it was 1.4 in 2016 and 2018. The threshold value for the basal-to-topdressing ratio of potassium fertilizer was 0.6 in 2016, whereas it was 1.2 in 2017 and 2018. The threshold value for pruning times was 5–6 in 2016 and 2018, and 1 in 2017. The threshold value for density was 600 plants ha−1 in 2016 and 675 plants ha−1 in 2017; however, there was no threshold value for density in 2018. In addition, the tree age corresponding to the highest yield in different years did not show a particular pattern, which may be because only mature fruit trees were investigated in this study.
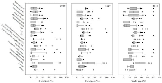
The contribution of each factor to the interannual yield gap according to the boundary line model showed that, in 2016, the yield gap was mostly explained by the number of bags per tree (47.3%), followed by N/P (21.2%), the ratio of basal K2O to topdressing (19.8%), density (17.8%), total fertilizer K2O input (16.3%), and total fertilizer P2O5 input (15.9%) (Figure 6). In 2017, the yield gap was mostly explained by the number of bags per tree, accounting for 41.9% of the total N fertilizer input (31.4%), N/K (26.1%), N/P (24.0%), and basal N fertilizer input (21.8%). In 2018, the yield gap was mostly explained by the number of bags per tree (56.3%), followed by N/K (41.9%), N/P (41.5%), ratio of basal K2O to topdressing (37.7%), and ratio of basal N to topdressing (37.5%). In summary, the number of bags per tree was the primary factor explaining the observed yield gap, whereas fertilizer management was the second most important factor. Other management factors, such as irrigation times, number of pesticide sprays, pruning times, tree age, and diseases and insect pests, had a comparatively lower impact on the explained yield gap.

4. Discussion

4.1. Apple Yield Gap

Based on a survey of 45 fruit farmers over three consecutive years, the average apple yield of smallholders was 41.4 t ha−1, which is much higher than the average apple yield in China (18.9 t ha−1 in 2018) [3] and similar to that in some major apple-producing provinces (e.g., 36.9 t ha−1 in Shandong Province in 2018). However, it is still lower than that for other major apple-producing countries (e.g., apple yield in Chile was 48.9 t ha−1 in 2018). In addition, in the horticultural crop system dominated by small-scale farmers [4], there is a large yield gap among smallholder farmers. The yield gap between the maximum attainable yield and actual average yield was 38.2 t ha−1 in 2016, 55.7 t ha−1 in 2017, and 51.8 t ha−1 in 2018. Interannual climatic changes, unreasonable agricultural inputs, and unbalanced soil nutrients have a considerable impact on the yield gap.

4.2. Key Factors in Apple Production

Climatic factors. Climate factors, such as precipitation, temperature, and light intensity, greatly affect apple yield [34,35,36]. The annual sunshine hours in different years were sufficient to meet the requirements of apple growth and development (i.e., the suitable sunshine hours for Fuji apple growth are 2000–2500 h, as indicated by Qu and Zhou [10]), therefore, this factor did not affect the yield. The annual precipitation in major apple-producing areas worldwide is approximately 500–800 mm [37]. In the present study, the annual rainfall was 662.2, 510.6, and 606.5 mm in 2016, 2017, and 2018, respectively. Nearly 70% of the rainfall was concentrated from June to September (the fruit expansion period), indicating that the annual rainfall in this area could meet the demands for apple growth (Table 2 and Table 3). In addition, owing to the convenient irrigation conditions in this area (4–7 times per year), water limitations were negligible. In 2017, farmers increased irrigation, probably because of the relatively low rainfall. Previous research has shown that with an increase in irrigation, yield increased gradually; however, the yield decreased with an excessive water supply [38], which is consistent with the results of this study. In the present study, excessive irrigation led to yield losses in 35.6% of the orchards.
An appropriate temperature ensures the normal growth and development of flower buds and fruits. Li et al. showed that the change in climatic conditions in spring had a greater influence on apple production than that in other seasons [39]. Average temperature, maximum temperature, wind speed, and evaporation in April had substantial effects on the start time and duration of flowering and pollination. In contrast, our findings revealed that the temperature change in March (especially the days when the temperature was below 0 °C) affected the budbreak of fruit trees. If the budbreak of fruit trees is poor, subsequent flowering and pollination are also affected. In addition, the authors found that precipitation in May helped increase the number of young apples. However, no such relationship was observed in this study, mainly because irrigation conditions varied at different research sites (including poor irrigation in northwest China and good irrigation in north China). Taglienti et al., found that when temperatures were lowered after flowering, the effective pollination period was prolonged, leading to better fruiting [40]. However, this result was not observed in the present study.
The presence of low temperatures during flowering not only predisposes flowers to freezing, it also leads to pollination failure, such as the low temperatures during flowering in 2018. In addition to the effects of low temperatures, cumulative temperature conditions are crucial for the normal flowering of apples. It was found that normal flowering requires a temperature accumulation (above 10 °C) of 240 °C or more from the bud break stage to the flowering stage [41]. Our study showed that the temperature accumulation for the three consecutive years met the requirements for normal apple flowering, the cumulative temperature conditions were relatively good in 2017, and that the good cumulative temperature conditions ensured normal apple flowering. The high accumulated temperature (above 10 °C) and few low temperature days (below 0 °C) allowed the increased yield in 2017. Good climatic conditions are conducive to the presence of bees and pollination of flowers, and encourage flowers to bear fruit, which likely resulted in a higher amount of bagging in 2017, which led to a higher yield. However, the contribution of each climatic factor to the yield gap was not quantified in this study because of the limitations of the boundary line method, presenting a new research question for yield gap analysis.
Soil condition factors. Appropriate soil characteristics are the basis for apple yield [42]. The soil contains various nutrients required for apple growth [43,44]. Soil nutrient content and a reasonable ratio of each nutrient are important factors affecting the quality and yield of apple orchards [45]. However, because of the effects of nutrients stored in apple trees, the growth and yield of fruit trees in the current year are not entirely dependent on soil nutrient status in the current season [46]. Some studies have shown that the yield of apple orchards with 10–20 years-old trees reached the highest level of soil available phosphorus and potassium at 150 and 250 mg kg−1, respectively, and when this threshold was exceeded, the apple yield tended to decrease [47]. In the present study, it was also found that high contents of soil total nitrogen, available phosphorus, and available potassium (in addition to organic matter) limited the increase in yield because of the antagonistic effects of different elements. For example, a higher potassium content affects the absorption of calcium and magnesium, and a higher available soil phosphorus inhibits the absorption of zinc and magnesium, which indirectly causes the yellowing of leaves, resulting in decreased photosynthesis and the lower production of photosynthetic products. Notably, the soil available P and K were much higher than those in cereal cropping systems (10.9–21.4 mg kg−1 for soil Olsen-P, [48]) and much higher than the environmental risk threshold (30–50 mg kg−1 for soil available phosphorus, [49]). Higher total soil nitrogen was also a limiting factor for yield because it allows trees to produce growing roots and fewer absorbing roots, inducing the branches and leaves to grow vigorously, thus limiting the apple yield.
Orchard management factors. In China, apple bagging is an essential management practice that can prevent diseases and pests, help reduce pesticide residues, and improve peel surface finish. The practical number of bags for a higher yield is approximately 500–600 per tree, and too many bags per tree can cause competition for nutrients between fruits and affect fruit expansion. However, approximately half of the farmers used too few or too many bags (for example, the number of bags below 300 was 35.6% and above 600 was 11.1% in 2017). To ensure a certain amount of bagging, management during the budbreak period should be strengthened to prevent the adverse effects of low temperatures on apple flower buds. In orchard management, growing grasses or straw mulching is an important technical measure that can help fruit trees avoid freezing damage. Studies have shown that the growing grasses in an orchard can increase the canopy temperature by 0.2–0.3 °C, in addition to forming an underlying surface of ‘soil–grass–atmosphere’ that slows down the drastic change in temperature [50]. However, in this village, only 17.8% of farmers adopted mulching technologies, which reduced interannual yield variation.
Fertilization is another important limiting factor [51]. Previous studies have primarily focused on the role of single nutrients, i.e., nitrogen and phosphorus, and have usually found nutrient deficiency constraints [52,53]. In the present study, nutrient deficiency was not the main limiting factor; however, over-application resulted in yield losses in some orchards. Other studies have also shown that the highest apple yield is achieved when the basal application of nitrogen fertilizer is 700–800 kg ha−1, basal application of phosphorus fertilizer is 500 kg ha−1, basal application of potassium fertilizer is 900–1000 kg ha−1, total nitrogen input is 1000–1100 kg ha−1, total phosphorus input is 900–1000 kg ha−1, total potassium input is 1300–1500 kg ha−1, and there are no pests or diseases [23]. The index thresholds were consistent with those in our study, except that the thresholds for basal nitrogen and basal potassium fertilization differed significantly from those in our study. When fertilizer inputs are excessive, the uptake of other elements by the root system may be hindered, and the soil may be harmed (e.g., compact soil structure and reduced microbial activity), resulting in lower yields. Notably, we found lower fertilizer input thresholds corresponding to the highest yields in 2017 than those in 2016 and 2018. The reason for this phenomenon could be that fertilizer inputs were applied, and the location of fertilizer inputs was more reasonable in 2017.
In addition to the amount of nutrients applied, the proportion of nutrient input is equally important for increasing the apple yield. During the apple growth process, there are differences in the nutrient requirements of apples during different fertility periods. For example, nitrogen fertilization is required mainly during the basal fertilization period. Following apple harvest (basal fertilizer period), the tree needs to urgently regain its potential to maintain apple growth and development for the next year; therefore, a large amount of nitrogen fertilizer is required. The application of phosphorus fertilizer can promote root growth to maintain the tree’s potential, and simultaneously promote flowering bud differentiation of the fruit tree; therefore, the appropriate ratio of basal to topdressing fertilizer input needs consideration. Potassium fertilizer is primarily added as topdressing, and a high potassium fertilizer input during the fruit expansion period ensures fruit expansion and improves apple quality. Regional recommendations for the basal-to-topdressing ratio are generally 2:1 for N, 4:6 for P2O5, and 2:8 for K2O [54]. Similar results were not observed in our study, mainly because smallholders ignored the importance of nutrient ratios during fertilizer application, which led to low yield levels in orchards. Moreover, the input ratio for the different elements is also a concern. It has also been found that when the ratio of nitrogen to potassium input is 1:1, tree growth and development, fruit quality, and nutrient use efficiency significantly improve [55]. A nitrogen to phosphorus ratio of 1.5:1 can improve the effectiveness of soil phosphorus and promote the uptake of phosphorus by the root system [55]. Jiang et al., found that the NPK ratio (ratio of nitrogen, phosphorus and potassium) required for apple growth was 1:0.5:1 [54]. However, the present study found that NPK input ratio was 1:0.79:0.99, 1:0.85:1.05, and 1:0.71:0.89 in 2016, 2017, and 2018, respectively. Integrated and precise nutrient management is thus a key management practice, which includes balancing input with output and balancing different nutrients at different stages of apple development.
Studies have shown that pests and diseases seriously restrict the increase in apple yields [56,57]. In this study, to avoid the occurrence of a large number of diseases and insect pests, farmers applied pesticides 10–12 times per year. Thus, there were relatively few diseases and insect pests in the orchard, except for apple tree canker (Valsa mali Miyabe et Yamada.), which has a comparatively low restrictive effect on apple yield. The highest yields were achieved when the number of pesticide applications was 10, and studies have indicated that higher yields can be achieved with more than 8 pesticide applications [23]. In 2016, the number of pesticides sprayed was lower than that in the other two years, and the types and occurrence of diseases and insect pests increased significantly, whereas the occurrence of diseases and insect pests decreased significantly with the increase in pesticide application frequency in 2017 and 2018 (Table 5). The effects of multiple management methods (e.g., tree age, density, and fruit tree pruning) on apple yield have been studied [23,58], such as spring pruning, which favors the development of vegetative and reproductive shoots. This treatment also improves fruit yield in the following season compared with summer pruning [58]. No such pattern was observed in our interannual study, thus indicating the requirement for further analysis and discussion.
In conclusion, owing to the absence of scientific guidance, careless inputs and extremely high variations in the management strategies of farmers were observed in the studied village. There is a specific relationship between the output and management measures of farmers, however, it is difficult to establish a systematic management index system. In particular, several management practices should be adapted to changes in climate and soil conditions. The present study found that only eight farmers used orchard mulching with grass to cope with temperature changes.

5. Conclusions

In this study, the village-scale yield gap and limiting factors were studied using boundary line methodology for three consecutive years. The results showed that smallholder farmers only achieved 36.7–46.3% of the yield potential in Beiquan village. Three limiting factors, climate, soil, and management, contributed to the yield gap. Changes in climatic factors during the key growth season, such as temperature during apple budbreak and flowering periods, are a critical component of yield variations between different years. Soil nutrient content and fertilizer management are also important limiting factors that have polynomial relationships with yield. Too much fertilizer and excessive nutrient accumulation in the soil have resulted in yield losses in some fields. Therefore, sound scientific guidance to help farmers adopt reasonable management strategies adapted to climate change is necessary for closing the yield gap.

Author Contributions

Conceptualization, Z.D., Y.J. and W.Z.; investigation, Z.D. and C.Z.; data collection, Z.D. and S.Z.; formal analysis, Z.D. and S.Z.; methodology, Z.D., C.Z. and S.Z.; funding acquisition, W.Z.; project administration, W.Z.; validation, Y.J. and W.Z.; writing—original draft preparation, Z.D., T.F. and T.M.; writing—review and editing, Y.J. and W.Z.; supervision, W.Z. All authors have read and agreed to the published version of the manuscript.

Funding

This research was supported by the National Key R&D Program of China (Grant No. 2016YFD0201303).

Data Availability Statement

Not applicable.

Acknowledgments

We thank Luannan Science and Technology Backyard for its support for farmers’ investigation and monitoring of climate conditions. Thanks to the local farmers for their cooperation in the research.

Conflicts of Interest

The authors declare no conflict of interest.

References

  1. Ozcatalbas, O.; Turhanogullari, Z.; Kutlar, I. The developments and situation of world apple production sector. Tarim Bilim. Derg. 2019, 2, 139–144. [Google Scholar]
  2. FAO (Food and Agriculture Organization). Online Statistical Database: Crop. FAOSTAT. 2017. Available online: https://www.fao.org/faostat/en/#data (accessed on 28 November 2017).
  3. FAO (Food and Agriculture Organization). Online Statistical Database: Crop. FAOSTAT. 2018. Available online: http://www.fao.org/faostat/en/#data (accessed on 30 December 2018).
  4. Wang, X.L.; Sarkar, A.; Wang, H.Y.; Zhang, F.H. Does Participation in Agricultural Value Chain Activities Influence Smallholder Fruit Grower Production Performance? A Cross-Sectional Study of Apple Farmers in Shandong, China. Horticulturae 2021, 7, 153. [Google Scholar] [CrossRef]
  5. Terlau, W.; Hirsch, D.; Blanke, M. Smallholder farmers as a backbone for the implementation of the Sustainable Development Goals. Sust. Dev. 2018, 27, 523–529. [Google Scholar] [CrossRef]
  6. Maroyi, A. Traditional homegardens and rural livelihoods in Nhema, Zimbabwe: A sustainable agroforestry system. Int. J. Sust. Dev. World 2009, 16, 1–8. [Google Scholar] [CrossRef]
  7. Ghulam, M.; Thapa, G.B. Factors affecting technical efficiency of small-scale apple farms in Balochistan Plateau, Pakistan. J. Mt. Sci. Engl. 2017, 14, 782–794. [Google Scholar]
  8. Mariano, L.C.; Zchonski, F.L.; Da-Silva, C.M.; Da-Silva, P.R. Genetic variability in a Brazilian apple germplasm collection with low chilling requirements. PeerJ 2019, 6, e6265. [Google Scholar] [CrossRef]
  9. Yuri, J.A.; Moggia, C.; Sepulveda, A.; Poblete-Echeverria, C.; Valdés-Gómez, H.; Torres, C.A. Effect of cultivar, rootstock, and growing conditions on fruit maturity and postharvest quality as part of a six-year apple trial in Chile. Sci. Hortic. 2019, 253, 70–79. [Google Scholar] [CrossRef]
  10. Qu, Z.J.; Zhou, G.S. Climate suitability for potential Fuji apple cultivation in China. Acta Meteorol. Sin. 2016, 74, 479–490. [Google Scholar]
  11. Kuang, L.X.; Nie, J.Y.; Li, Y.P.; Cheng, Y.; Shen, Y.M. Quality evaluation of ‘Fuji’ apples cultivated in different regions of China. Sci. Agric. Sin. 2020, 53, 2253–2263. [Google Scholar]
  12. Li, M.R.; Guo, J.P.; Xu, C.D.; Lei, Y.N.; Li, J.K. Identifying climatic factors and circulation indices related to apple yield variation in main production areas of China. Glob. Ecol. Conserv. 2018, 16, e00478. [Google Scholar] [CrossRef]
  13. El Yaacoubi, A.; El Jaouhari, N.; Bourioug, M.; El Youssfi, L.; Cherroud, S.; Bouabid, R.; Chaoui, M.; Abouabdillah, A. Potential vulnerability of Moroccan apple orchard to climate change–induced phenological perturbations: Effects on yields and fruit quality. Int. J. Biometeorol. 2020, 64, 377–387. [Google Scholar] [CrossRef]
  14. Oliveira, B.S.; Ambrosini, V.G.; Trapp, T.; Dos Santos, M.A.; Sete, P.B.; Lovato, P.E.; Loss, A.; Comin, J.J.; Lourenzi, C.R.; Couto, R.D.; et al. Nutrition, productivity and soil chemical properties in an apple orchard under weed management. Nutr. Cycl. Agroecosyst. 2016, 14, 247–258. [Google Scholar] [CrossRef]
  15. Wang, L.J.; Huo, X.X.; Kabir, M.S. Technical and cost efficiency of rural household apple production. China Agric. Econ. Rev. 2013, 5, 391–411. [Google Scholar] [CrossRef]
  16. Badiu, D.; Mitre, I., Jr.; Tripon, A.; Mitre, I.; Mitre, V. The Influence of cultivar, rootstock and culture system on growth and yield in apple. Bulletin of University of Agricultural Sciences and Veterinary Medicine Cluj-Napoca. Bull. UASVM Hortic. 2015, 72, 33–38. [Google Scholar]
  17. Slatnar, A.; Licznar-Malanczuk, M.; Mikulic-Petkovsek, M.; Stampar, F.; Veberic, R. Long-Term Experiment with Orchard Floor Management Systems: Influence on Apple Yield and Chemical Composition. J. Agric. Food Chem. 2014, 62, 4095–4103. [Google Scholar] [CrossRef]
  18. Zheng, W.; Zhao, Z.Y.; Gong, Q.L.; Zhai, B.N.; Li, Z.Y. Effects of cover crop in an apple orchard on microbial community composition, networks, and potential genes involved with degradation of crop residues in soil. Biol. Fertil. Soils 2018, 54, 743–759. [Google Scholar] [CrossRef]
  19. Serra, S.; Leisso, R.; Giordani, L.; Kalcsits, L.; Musacchi, S. Crop Load Influences Fruit Quality, Nutritional Balance, and Return Bloom in ‘Honeycrisp’ Apple. Hortscience 2016, 51, 236–244. [Google Scholar] [CrossRef]
  20. Milosevic, T.; Milosevic, N. Apple fruit quality, yield and leaf macronutrients content as affected by fertilizer treatment. J. Soil Sci. Plant Nutr. 2015, 15, 76–83. [Google Scholar]
  21. Tessmer, M.A.; Appezzato-Da-Gloria, B.; Antoniolli, L.R. Influence of growing sites and physicochemical features on the incidence of lenticel breakdown in ‘Gala’ and ‘Galaxy’ apples. Sci. Hortic. 2016, 205, 119–126. [Google Scholar] [CrossRef]
  22. Shen, S.L.; Yang, J.M.; Gong, Z.W. Grey correlation analysis of climate factors affecting apple yield and yield prediction in Shanxi. J. South. Agric. 2016, 47, 1146–1154. [Google Scholar]
  23. Zhang, D.; Wang, C.; Li, X.L.; Yang, X.S.; Zhao, L.B.; Xia, S.J. Correlation of production constraints with the yield gap of apple cropping systems in Luochuan County, China. J. Integr. Agric. 2019, 18, 1714–1725. [Google Scholar] [CrossRef]
  24. Xia, S.J.; Wang, C.; Zhang, D.; Yang, X.S.; He, J.Z. Analysis on the Yield Gap and Limiting Factors of Apples in Luochuan County. J. Shanxi Agric. Sci. 2018, 46, 2077–2081. [Google Scholar]
  25. Li, M.X.; Du, S.N.; Bai, G.S.; Fang, J.L.; Liu, J. Problems and Solutions of Apple Production in Weibei Loess Plateau. Res. Soil Water Conserv. 2010, 17, 252–257. [Google Scholar]
  26. Lu, S.C.; Chen, Q.; Zhang, F.S.; Jia, W.Z. Analysis of nitrogen input and soil nitrogen load in orchards of Hebei province. J. Plant Nutr. Fertil. 2008, 5, 858–865. [Google Scholar]
  27. Fu, H.R.; Ma, Q.X.; Ma, Z.B.; Hu, Y.Z.; Liu, F.; Chen, K.J.; Pan, W.K.; Tang, S.; Zhang, X.; Wu, L.H. Quantifying key internal and external yield-limiting factors for Chinese Pear in smallholder dominant areas. Hortscience 2021, 56, 7. [Google Scholar] [CrossRef]
  28. Bao, S.D. Soil Analysis in Agricultural Chemistry; Chinese Agriculture Publishing House: Beijing, China, 2000. [Google Scholar]
  29. Webb, R.A. Use of the boundary line in the analysis of biological data. J. Hortic. Sci. Biotech. 1972, 47, 309–319. [Google Scholar] [CrossRef]
  30. Fermont, A.M.; van Asten, P.J.A.; Tittonell, P.; van Wijk, M.T.; Giller, K.E. Closing the cassava yield gap: An analysis from smallholder farms in East Africa. Field Crop Res. 2009, 112, 24–36. [Google Scholar] [CrossRef]
  31. Wairegi, L.W.I.; van Asten, P.J.A.; Tenywa, M.M.; Bekunda, M.A. Abiotic constraints override biotic constraints in East African highland banana systems. Field Crop Res. 2010, 117, 146–153. [Google Scholar] [CrossRef]
  32. Schnug, E.; Heym, J.; Achwan, F. Establishing critical values for soil and plant analysis by means of the boundary line development system (BOLIDES). Commun. Soil Sci. Plant Anal. 1996, 27, 2739–2748. [Google Scholar] [CrossRef]
  33. Von Liebig, J. Chemistry in Its Application to Agriculture and Physiology, 2nd ed.; Taylor and Walton: London, UK, 1840. [Google Scholar]
  34. Pu, J.Y.; Yao, X.Y.; Yao, X.H.; Xu, Y.P.; Wang, W.T. Impacts of climate warming on phonological period and growth of apple tree in Loess Plateau of Gansu province. Chin. J. Agrometeorol. 2008, 29, 181–186. [Google Scholar]
  35. Fujisawa, M.; Kobayashi, K. Climate change adaptation practices of apple growers in Nagano, Japan. Mitig. Adapt. Strat. Glob. Change 2011, 16, 865–877. [Google Scholar] [CrossRef]
  36. Pramanick, K.K.; Kishore, D.K.; Poonam, P.K.; Shukla, A.K.; Santosh, W.; Kumar, J.; Jindal, K.K.; Girish, S. Role of changing climate on chilling unit accumulation and yield for apple (Malus * domestica Borkh) cultivation at Shimla, Himachal Pradesh, India. Int. J. Trop. Agric. 2015, 33, 1039–1044. [Google Scholar]
  37. Du, S.Q.; Kang, S.Z.; Li, F.S.; Du, T.S. Water use efficiency is improved by alternate partial root-zone irrigation of apple in arid northwest China. Agric. Water Manag. 2017, 179, 184–192. [Google Scholar] [CrossRef]
  38. Branco, M.S.C.; Nava, G.; Ernani, P.R. Initial growth, production, and quality of fruits of apple trees as affected by irrigation and fertirrigation. Rev. Ciênc. Agrovet. 2016, 15, 34–41. [Google Scholar] [CrossRef]
  39. Li, M.R.; Guo, J.P.; He, J.Q.; Xu, C.D.; Li, J.K.; Mi, C.R.; Tao, S.L. Possible impact of climate change on apple yield in Northwest China. Theor. Appl. Climatol. 2020, 139, 191–203. [Google Scholar] [CrossRef]
  40. Taglienti, A.; Dell’Abate, M.T.; Ciampa, A.; Tomassoli, L.; Albanese, G.; Sironi, L.; Tiberini, A. Study on ultra-structural effects caused by Onion yellow dwarf virus infection in ‘Rossa di Tropea’ onion bulb by means of magnetic resonance imaging. Sci. Hortic. 2020, 271, 109486. [Google Scholar] [CrossRef]
  41. Wei, L.X.; Zhang, L.Y.; Li, Z. A preliminary study on the relationship between the apple first flowering stage and temperature. Agric. Tech. 2018, 38, 238. [Google Scholar]
  42. Zhang, Q.; Li, M.J.; Zhou, B.B.; Li, X.L.; Sun, J.; Zhang, J.K.; Wei, Q.P. Multivariate analysis of relationship between soil nutrient factors and fruit quality characteristic of ‘Fuji’ apple in two dominant production regions of China. Chin. J. Appl. Ecol. 2017, 28, 105–114, (in Chinese with English abstract). [Google Scholar]
  43. Park, J.M.; Lee, I.B.; Kwon, J.K.; Jung, H.W. Soil Chemical Properties and Nutrition Composition of Leaf of ‘Fuji’/M.26 Tree in Apple Orchard. Korean J. Hortic. Sci. 2006, 24, 347–353. [Google Scholar]
  44. Voroney, P.; Kessel, C.; Gardner, J.; Martin, H. Soil fertility survey of organic apple orchards in southern Ontario. Acta Hortic. 2007, 737, 79–85. [Google Scholar] [CrossRef]
  45. Fallahi, E.; Fallahi, B.; Neilsen, G.H.; Neilsen, D.; Peryea, F.J. Effects of mineral nutrition on fruit quality and nutritional disorders in apples. Acta Hortic. 2010, 868, 49–60. [Google Scholar] [CrossRef]
  46. Tagliavini, M.; Millard, P.; Quartieri, M. Storage of foliar-absorbed nitrogen and remobilization for spring growth in young nectarine (Prunus persica var. nectarina) trees. Tree Physiol. 1998, 18, 203–207. [Google Scholar] [CrossRef] [PubMed]
  47. Sun, S.H. Soil Quality Characteristics of Apple Orchards in Jiaodong Area and Their Relationship with Apple Yield and Quality. Master’s Thesis, Shandong Agricultural University, Shandong, China, 2021. [Google Scholar]
  48. Bai, Z.H.; Li, H.G.; Yang, X.Y.; Zhou, B.K.; Shi, X.J.; Wang, B.R.; Li, D.C.; Shen, J.B.; Chen, Q.; Qin, W.; et al. The critical soil P levels for crop yield, soil fertility and environmental safety in different soil types. Plant Soil 2013, 372, 27–37. [Google Scholar] [CrossRef]
  49. Cao, N.; Chen, X.P.; Zhang, F.S.; Qu, D. Prediction of phosphate fertilizer demand in China based on change in soil phosphate fertility. Acta Pedol. Sin. 2007, 44, 536–543. [Google Scholar]
  50. Li, H.K.; Mei, L.X.; Gao, H. Effect of Grass Planting on the Microclimate of Apple Orchard in the Dryland Area of Loess Plateau. Acta Agrestia Sin. 2009, 17, 615–620. [Google Scholar]
  51. Rather, G.H.; Banday, F.A.; Ganai, N.A.; Baba, A.M.; Bhat, J.A.; Bisati, I.A. Combined influence of pruning regimes and fertilizer application on vegetative growth and photosynthetic efficiency of apple cv Red Delicious. Environ. Ecol. 2009, 27, 134–138. [Google Scholar]
  52. Wang, Q.; Liu, C.H.; Huang, D.; Dong, Q.L.; Li, P.M.; van Nocker, S.; Ma, F.W. Physiological evaluation of nitrogen use efficiency of different apple cultivars under various nitrogen and water supply conditions. J. Integr. Agric. 2020, 19, 709–720. [Google Scholar] [CrossRef]
  53. Wojcik, P.; Wojcik, M. Response of mature phosphorus-deficient apple trees to phosphorus fertilization and liming. J. Plant Nutr. 2007, 30, 1623–1637. [Google Scholar] [CrossRef]
  54. Jiang, Y.M.; Zhang, H.Y.; Zhang, F.S. Theory and Practice of Nutrient Resources Comprehensive Management of Deciduous Fruit Trees in North China, 1st ed.; China Agricultural University Press: Beijing, China, 2007; pp. 98–109. [Google Scholar]
  55. Wang, F.L.; Zhou, L.; Li, H.N.; Men, Y.G.; Ge, S.F.; Wei, S.C.; Jiang, Y.M. Effect of N, P ratios on the growth and absorption, distribution and utilization of 15N-urea of Fuji apple saplings. J. Plant Nutr. Fertil. 2013, 19, 1102–1108. [Google Scholar]
  56. Bacha, N.M.A.; Kader, A.A.; Jacobsen, H.J.; Hassan, F. Production of transgenic apple (Malus Domestica Borkh.) for improvement of fungal resistance. Acta Hortic. 2012, 961, 195–203. [Google Scholar] [CrossRef]
  57. Verma, S.C.; Thapa, C.D. Present status of major insect-pests and diseases of apple in Chamba district and technological interventions by Krishi Vigyan Kendra, Chamba. Acta Hortic. 2005, 696, 415–418. [Google Scholar] [CrossRef]
  58. Doll, U.; Mosqueira, D.; Mosqueira, J.; González, B.; Vogel, H. Pruning maqui (aristotelia chilensis (molina) stuntz) to optimize fruit production. J. Appl. Res. Med. Aromat. Plants 2016, 6, 10–14. [Google Scholar] [CrossRef]
Figure 1. Actual apple yields and bearing features of orchards (n = 45) in 2016–2018 for Beiquan Village, Hebei, China. (a) Variations in the yield of farmers over three years. Box boundaries indicate upper and lower quartiles. The whisker caps indicate 90th and 10th percentiles, and the points indicate outliers. (b) The proportions of sampled orchards with a yield ≤ 20 t ha−1, 20–40 t ha−1, 40–60 t ha−1, and ≥60 t ha−1 in 2016–2018. Light purple indicates the actual yield was ≤20 t ha−1, light green indicates the actual yield was 20–40 t ha−1, orange indicates the actual yield was 40–60 t ha−1, and yellow indicates the actual yield was ≥60 t ha−1. (c) Bearing features of sample orchards in 2016–2018. Yellow indicates the load per tree, green indicates the single fruit weight, and blue indicates the size of the fruit.
Figure 1. Actual apple yields and bearing features of orchards (n = 45) in 2016–2018 for Beiquan Village, Hebei, China. (a) Variations in the yield of farmers over three years. Box boundaries indicate upper and lower quartiles. The whisker caps indicate 90th and 10th percentiles, and the points indicate outliers. (b) The proportions of sampled orchards with a yield ≤ 20 t ha−1, 20–40 t ha−1, 40–60 t ha−1, and ≥60 t ha−1 in 2016–2018. Light purple indicates the actual yield was ≤20 t ha−1, light green indicates the actual yield was 20–40 t ha−1, orange indicates the actual yield was 40–60 t ha−1, and yellow indicates the actual yield was ≥60 t ha−1. (c) Bearing features of sample orchards in 2016–2018. Yellow indicates the load per tree, green indicates the single fruit weight, and blue indicates the size of the fruit.
Horticulturae 08 01131 g001
Figure 2. Observed yield against the minimum predicted yield using boundary line analysis during 2016–2018 (n = 45) for Beiquan Village, Hebei, China. The horizontal line y = 108.0 t ha−1 represents the maximum yield observed in 2017; the maximum yields in 2016 (75 t ha–1) and 2018 (87 t ha−1) are not shown. The upper arrow indicates the difference between the minimum predicted yield and maximum attainable yield (defined as the explainable yield gap). The lower arrow indicates the difference between the minimum predicted yield and the observed yield (defined as the unexplained yield gap) based on production constraints. The dotted diagonal lines representing 1:1 and 2:1 depict the relationships y = x and y = x/2, respectively.
Figure 2. Observed yield against the minimum predicted yield using boundary line analysis during 2016–2018 (n = 45) for Beiquan Village, Hebei, China. The horizontal line y = 108.0 t ha−1 represents the maximum yield observed in 2017; the maximum yields in 2016 (75 t ha–1) and 2018 (87 t ha−1) are not shown. The upper arrow indicates the difference between the minimum predicted yield and maximum attainable yield (defined as the explainable yield gap). The lower arrow indicates the difference between the minimum predicted yield and the observed yield (defined as the unexplained yield gap) based on production constraints. The dotted diagonal lines representing 1:1 and 2:1 depict the relationships y = x and y = x/2, respectively.
Horticulturae 08 01131 g002
Figure 3. (a) Number of days when the average daily temperature was below 0 °C during the bud break period (March); (b) changes in accumulated temperature above 10 °C at key growth stages of apples in 2016–2018. The black square indicates the accumulated temperature above 10 °C from bud break to flowering (10 March–20 May), while the gray square indicates the accumulated temperature above 10 °C during the flowering period (1 April–31 May); and (c) number of days when the daily minimum temperature was below 0 °C from bud break to flowering (10 March–20 May).
Figure 3. (a) Number of days when the average daily temperature was below 0 °C during the bud break period (March); (b) changes in accumulated temperature above 10 °C at key growth stages of apples in 2016–2018. The black square indicates the accumulated temperature above 10 °C from bud break to flowering (10 March–20 May), while the gray square indicates the accumulated temperature above 10 °C during the flowering period (1 April–31 May); and (c) number of days when the daily minimum temperature was below 0 °C from bud break to flowering (10 March–20 May).
Horticulturae 08 01131 g003
Figure 4. Relationships between apple yield and the main soil indicators in 2016 for Beiquan Village, Hebei, China. The dotted black line represents the boundary line in 2016 and boundary lines represent the polynomial curves for four soil indicators, namely the soil Ntot, soil Pav, soil Kav, and soil pH.
Figure 4. Relationships between apple yield and the main soil indicators in 2016 for Beiquan Village, Hebei, China. The dotted black line represents the boundary line in 2016 and boundary lines represent the polynomial curves for four soil indicators, namely the soil Ntot, soil Pav, soil Kav, and soil pH.
Horticulturae 08 01131 g004
Figure 5. Relationships between apple yield and the main management factors limiting production in 2016–2018 for Beiquan Village, Hebei, China, as predicted by boundary line analysis. The dotted black line represents the boundary line of 2016, the dashed black line represents the boundary line of 2017, and the solid black line represents the boundary line of 2018.
Figure 5. Relationships between apple yield and the main management factors limiting production in 2016–2018 for Beiquan Village, Hebei, China, as predicted by boundary line analysis. The dotted black line represents the boundary line of 2016, the dashed black line represents the boundary line of 2017, and the solid black line represents the boundary line of 2018.
Horticulturae 08 01131 g005
Figure 6. Explained yield gap for management limiting factors, expressed as a percentage of the attained maximum yield in 2016–2018, for Beiquan Village, Hebei, China. The box boundaries the indicate upper and lower quartiles, the whisker caps indicate 90th and 10th percentiles, and the points indicate the outliers.
Figure 6. Explained yield gap for management limiting factors, expressed as a percentage of the attained maximum yield in 2016–2018, for Beiquan Village, Hebei, China. The box boundaries the indicate upper and lower quartiles, the whisker caps indicate 90th and 10th percentiles, and the points indicate the outliers.
Horticulturae 08 01131 g006
Table 1. Distribution and composition of sampled apple orchards in Beiquan Village, Luannan County, Hebei Province, China.
Table 1. Distribution and composition of sampled apple orchards in Beiquan Village, Luannan County, Hebei Province, China.
Survey TimeTree Age Distribution of Sampled Orchards (no.)Total Number
of Samples
5–10 a11–15 a16–20 a
20161922445
201719111545
20181772145
2016–2018554040135
The lowercase letter a indicates the age of apple trees.
Table 2. Climatic conditions during the whole growing season of apples in 2016–2018 for Beiquan Village, Hebei, China.
Table 2. Climatic conditions during the whole growing season of apples in 2016–2018 for Beiquan Village, Hebei, China.
YearT-Mean
(°C)
T-Max
(°C)
T-Min
(°C)
Rainfall
(mm)
Hours of
Sunshine (h)
201611.917.67.3662.22511.4
201712.518.07.7510.62431.9
201811.917.87.0606.52447.7
Table 3. Climate change during the critical growth period of apples in 2016–2018 for Beiquan Village, Hebei, China.
Table 3. Climate change during the critical growth period of apples in 2016–2018 for Beiquan Village, Hebei, China.
Key Growth
Period
YearT-Mean
(°C)
T-Max
(°C)
T-Min
(°C)
Rainfall
(mm)
Hours of
Sunshine (h)
Embryonic
stage
20166.614.00.83.8259.9
20176.012.90.43.4221.6
20185.712.60.32.7190.7
Flowering
period
201616.924.010.939.7552.2
201717.424.011.019.3580.7
201816.923.511.144.9486.0
Fruit expansion
period
201624.829.920.5511.2691.2
201725.230.420.8392.3630.5
201825.830.521.9536.2587.3
Table 4. Soil nutrient conditions in 2016 for Beiquan Village, Hebei, China.
Table 4. Soil nutrient conditions in 2016 for Beiquan Village, Hebei, China.
Ntot (g kg−1)Pav (mg kg−1)Kav (mg kg−1)pHSOM (%)
Soil nutrient1.1 ± 0.3135.5 ± 70.3194.9 ± 81.26.7 ± 0.61.4 ± 0.9
Table 5. Detailed description of apple production factors in 2016–2018 for Beiquan Village, Hebei, China.
Table 5. Detailed description of apple production factors in 2016–2018 for Beiquan Village, Hebei, China.
Factors201620172018
VarietyFujiFujiFuji
Base fertilizer N (kg ha−1)291.0 ± 221.7 a261.3 ± 201.4 ab237.5 ± 178.1 b
Base fertilizer P2O5 (kg ha−1)214.6 ± 118.9 a201.3 ± 115.4 ab187.4 ± 97.44 b
Base fertilizer K2O (kg ha−1)215.9 ± 125.9 a188.3 ± 103.0 b174.7 ± 81.2 b
Total fertilizer N (kg ha−1)705.7 ± 268.9 a516.4 ± 186.5 b649.4 ± 275.6 a
Total fertilizer P2O5 (kg ha−1)561.0 ± 261.9 a437.0 ± 159.7 b459.1 ± 195.1 b
Total fertilizer K2O (kg ha−1)698.9 ± 250.3 a543.2 ± 210.2 b580.9 ± 198.5 b
N/P (ratio)1.3 ± 0.3 ab1.2 ± 0.3 b1.4 ± 0.4 a
N/K (ratio)1.0 ± 0.3 ab1.0 ± 0.2 b1.1 ± 0.3 a
P/K (ratio)0.9 ± 0.3 a0.8 ± 0.2 a0.8 ± 0.2 a
Ratio of base N to topdressing (ratio)0.8 ± 1.3 a1.1 ± 1.2 a0.8 ± 1.2 a
Ratio of base P2O5 to topdressing (ratio)0.8 ± 0.9 a1.0 ± 0.8 a0.9 ± 0.8 a
Ratio of base K2O to topdressing (ratio)0.5 ± 0.4 a0.6 ± 0.5 a0.5 ± 0.4 a
Irrigation times (no.)5.2 ± 1.3 b5.9 ± 1.7 a5.4 ± 1.7 b
Number of pesticide sprays (no.)10.0 ± 2.2 b11.1 ± 1.5 a10.6 ± 1.1 ab
Pruning times (no.)2.3 ± 1.1 b2.8 ± 1.0 b5.1 ± 1.6 a
Diseases and insect pests (no.)2.2 ± 1.7 a0.8 ± 1.3 b0.9 ± 0.7 b
Tree age (years)11.1 ± 4.3 b12.1 ± 4.3 ab13.1 ± 4.3 a
Density (plant ha−1)609.3 ± 73.4 a609.3 ± 73.4 a609.3 ± 73.4 a
Number of bags per tree (no.)259.2 ± 146.6 b378.9 ± 178.0 a276.0 ± 149.7 b
Different lowercase letters indicate significant differences among the three years at p ≤ 0.05. Values are the mean ± SD.
Publisher’s Note: MDPI stays neutral with regard to jurisdictional claims in published maps and institutional affiliations.

Share and Cite

MDPI and ACS Style

Duan, Z.; Zheng, C.; Zhao, S.; Feyissa, T.; Merga, T.; Jiang, Y.; Zhang, W. Cold Climate during Bud Break and Flowering and Excessive Nutrient Inputs Limit Apple Yields in Hebei Province, China. Horticulturae 2022, 8, 1131. https://doi.org/10.3390/horticulturae8121131

AMA Style

Duan Z, Zheng C, Zhao S, Feyissa T, Merga T, Jiang Y, Zhang W. Cold Climate during Bud Break and Flowering and Excessive Nutrient Inputs Limit Apple Yields in Hebei Province, China. Horticulturae. 2022; 8(12):1131. https://doi.org/10.3390/horticulturae8121131

Chicago/Turabian Style

Duan, Zhiping, Chengjuan Zheng, Shuaixiang Zhao, Tesema Feyissa, Tefera Merga, Yuanmao Jiang, and Weifeng Zhang. 2022. "Cold Climate during Bud Break and Flowering and Excessive Nutrient Inputs Limit Apple Yields in Hebei Province, China" Horticulturae 8, no. 12: 1131. https://doi.org/10.3390/horticulturae8121131

APA Style

Duan, Z., Zheng, C., Zhao, S., Feyissa, T., Merga, T., Jiang, Y., & Zhang, W. (2022). Cold Climate during Bud Break and Flowering and Excessive Nutrient Inputs Limit Apple Yields in Hebei Province, China. Horticulturae, 8(12), 1131. https://doi.org/10.3390/horticulturae8121131

Note that from the first issue of 2016, this journal uses article numbers instead of page numbers. See further details here.

Article Metrics

Back to TopTop