Effect of Photo-Selective Nets on Yield, Fruit Quality and Psa Disease Progression in a ‘Hayward’ Kiwifruit Orchard
Abstract
1. Introduction
2. Materials and Methods
2.1. Location and Plant Material
2.2. Experimental Design and Netting Characteristics
2.3. Physical Measurements
2.4. Pollination and Biometric Measurements
2.5. Statistical Analysis
3. Results
3.1. Climatic Conditions under the Three Photo-Selective Nets
3.2. Climatic Conditions in 2020 and 2021
3.3. Disease Severity
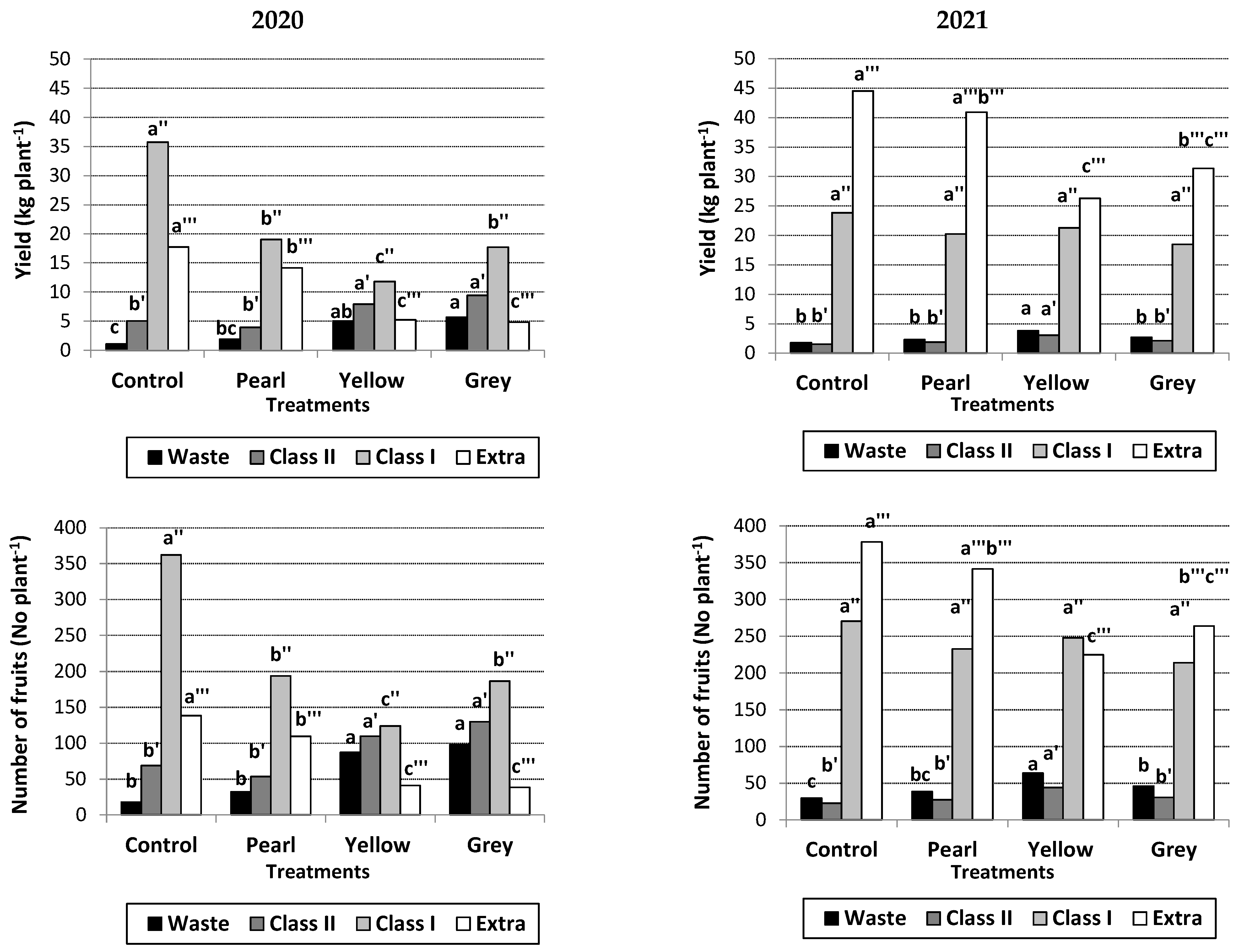
3.4. Crop Yield and Fruit Quality at Harvest
4. Discussion
4.1. Climatic Conditions under the Nets
4.2. Disease Severity
4.3. Crop Yield
4.4. Fruit Quality at Harvest
5. Conclusions
Author Contributions
Funding
Institutional Review Board Statement
Informed Consent Statement
Data Availability Statement
Acknowledgments
Conflicts of Interest
References
- Stamps, R.H. Use of colored shade netting in horticulture. HortScience 2009, 44, 239–241. [Google Scholar] [CrossRef]
- Basile, B.; Giaccone, M.; Cirillo, C.; Ritieni, A.; Shahak, Y.; Forlani, M. Photo-selective hail nets affect fruit size and quality in Hayward kiwifruit. Sci. Hortic. 2012, 141, 91–97. [Google Scholar] [CrossRef]
- Richardson, A.; Eyre, V.; Rebstock, R.; Popowski, E.; Nardozza, S. Factors influencing flower development in kiwifruit vines. Acta Hortic. 2022, 1332, 141–153. [Google Scholar] [CrossRef]
- Ben-Yakir, D.; Antignus, Y.; Offir, Y.; Shahak, Y. Colored shading nets impede insect invasion and decrease the incidences of insect-transmitted viral diseases in vegetable crops. Entomol. Exp. Appl. 2012, 144, 249–257. [Google Scholar] [CrossRef]
- Shahak, Y. Photoselective netting: An overview of the concept, R&D and practical implementation in agriculture. Acta Hortic. 2014, 1015, 155–162. [Google Scholar] [CrossRef]
- Manja, K.; Aoun, M. The use of nets for tree fruit crops and their impact on the production: A review. Sci. Hortic. 2019, 246, 110–122. [Google Scholar] [CrossRef]
- Mesa, K.; Olguín, J.; Guerrero, C.; Pinto, C. Preliminary impact of cover protection systems in kiwifruit cultivars in the Central Valley of Chile. Acta Hortic. 2022, 1332, 239–244. [Google Scholar] [CrossRef]
- Shahak, Y.; Gussakovsky, E.E.; Cohen, Y.; Lurie, S.; Stern, R.; Kfir, S.; Naor, A.; Atzmon, I.; Doron, I.; Greenblat-Avron, Y. ColorNets: A new approach for light manipulation in fruit trees. Acta Hortic. 2004, 636, 609–616. [Google Scholar] [CrossRef]
- Zoratti, L.; Jaakola, L.; Häggman, H.; Giongo, L. Modification of sunlight radiation through colored photo-selective nets affects anthocyanin profile in Vaccinium spp. berries. PLoS ONE 2015, 10, e0135935. [Google Scholar] [CrossRef]
- Mditshwa, A.; Magwaza, L.S.; Tesfay, S.Z. Shade netting on subtropical fruit: Effect on environmental conditions, tree physiology and fruit quality. Sci. Hortic. 2019, 256, 108556. [Google Scholar] [CrossRef]
- Kramer, M.; Snelgar, P.; Kramer-Walter, K.; Blattmann, P.; McKenzie, C. The effect of reflective cloth on light distribution and fruit quality in a kiwifruit orchard. Acta Hortic. 2022, 1332, 415–422. [Google Scholar] [CrossRef]
- Tanny, J. Microclimate and evaporation of crops covered by agricultural screens. Biosyst. Eng. 2013, 114, 26–43. [Google Scholar] [CrossRef]
- Mahmood, A.; Hu, Y.; Tanny, J.; Asante, E.A. Effects of shading and insect-proof screens on crop microclimate and production: A review of recent advances. Sci. Hortic. 2018, 241, 241–251. [Google Scholar] [CrossRef]
- Goren, A.; Alkalai-Tuvia, S.; Perzelan, Y.; Aharon, Z.; Fallik, E. Photoselective shade nets reduce postharvest decay development in pepper fruits. Adv. Hort. Sci. 2011, 25, 26–31. [Google Scholar] [CrossRef]
- Scortichini, M.; Marcelletti., S.; Ferrante, P.; Petriccione, M.; Firrao, G. Pseudomonas syringae pv. actinidiae: A re-emerging, multi-faceted, pandemic pathogen. Mol. Plant Pathol. 2012, 13, 631–640. [Google Scholar] [CrossRef]
- Garcia, E.; Moura, L.; Abelleira, A.; Aguín, O.; Ares, A.; Mansilla, P. Characterization of Pseudomonas syringae pv. actinidiae biovar 3 on kiwifruit in northwest Portugal. J. Appl. Microbiol. 2018, 125, 1147–1161. [Google Scholar] [CrossRef]
- Vanneste, J.L.; Yu, J.; Cornish, D.A.; Tanner, D.J.; Windner, R.; Chapman, J.R.; Taylor, R.K.; Mackay, J.F.; Dowlut, S. Identification, virulence, and distribution of two biovars of Pseudomonas syringae pv. actinidiae in New Zealand. Plant Dis. 2013, 97, 708–719. [Google Scholar] [CrossRef]
- Black, M.Z.; Casonato, S.; Bent, S. Opportunities for environmental modification to control Pseudomonas syringae pv. actinidiae in kiwifruit. Acta Hortic. 2015, 1105, 353–360. [Google Scholar] [CrossRef]
- Chiabrando, V.; Giacalone, G. Kiwifruit under plastic covering: Impact on fruit quality and on orchard microclimate. J. Food Nutr. Agric. 2018, 1, 1–6. [Google Scholar] [CrossRef]
- Fernández, J.A.; Ayastuy, M.E.; Belladonna, D.P.; Comezaña, M.M.; Contreras, J.; Mourão, I.M.; Orden, L.; Rodríguez, R.A. Current Trends in Organic Vegetable Crop Production: Practices and Techniques. Horticulturae 2022, 8, 893. [Google Scholar] [CrossRef]
- Reglinski, T.; Wurms, K.V.; Gould, N.; Ah-Chee, A.; Haisman, N.; Snelgar, P.; Anderson, R.; Taylor, J.; Alavi, M. Effects of light spectra on growth and defence in potted Actinidia chinensis var. deliciosa ‘Hayward’ kiwifruit plants. Acta Hortic. 2022, 1332, 171–177. [Google Scholar] [CrossRef]
- Agrintech. Available online: www.agrintech.it/en/products/iridium/ (accessed on 6 July 2020).
- Crossa-Raynaud, P. Effets des hivers doux sur le comportement des arbres fruitiers à feuilles caduques. Ann. Serv. Bot. Agron. Tunis. 1955, 28, 1–22. [Google Scholar]
- Sánchez-Capuchino, J.A. Contribución al conocimiento de necesidades en frío invernal de variedades frutícolas. Levante Agrícola 1967, 61, 26–28. [Google Scholar]
- García, M.S.; Leva, P.E.; Valtorta, S.E.; Gariglio, N.F.; Toffolli, O. Estimación de horas de frío para la localidade de Sauce Viejo (Santa Fe, Argentina): Diferentes modelos. FAVE Sección Cienc. Agrar. 2011, 10, 70–75. Available online: http://www.scielo.org.ar (accessed on 6 July 2019).
- EU. Commission Implementing Regulation (EU) No 543/2011 laying down detailed rules for the application of Council Regulation (EC) No 1234/2007 in respect of the fruit and vegetables and processed fruit and vegetables sectors. Off. J. Eur. Union 2011, L 157, 1–163. Available online: https://eur-lex.europa.eu/legal-content/EN/TXT/?uri=celex%3A32011R0543 (accessed on 31 August 2020).
- Jifon, J.L.; Syvertsen, J.P. Moderate shade can increase net gas exchange and reduce photoinhibition in citrus leaves. Tree Physiol. 2003, 23, 119–127. [Google Scholar] [CrossRef]
- Morgan, D.C.; Stanley, C.J.; Warrington, I.J. The effects of simulated daylight and shade-light on vegetative and reproductive growth in kiwifruit and grapevine. J. Hortic. Sci. 1985, 60, 473–484. [Google Scholar] [CrossRef]
- Richardson, A.C.; Boldingh, H.L.; Kashuba, M.P.; Nardozza, S.; Greer, D.H. Kiwifruit reserves: Balancing vine growth and fruit productivity. Acta Hortic. 2018, 1218, 163–170. [Google Scholar] [CrossRef]
- Shahak, Y.; Ratner, K.; Giller, Y.E.; Zur, N.; Or, E.; Gussakovsky, E.E.; Stern, R.; Sarig, P.; Raban, E.; Harcavi, E.; et al. Improving solar energy utilization, productivity and fruit quality in orchards and vineyards by photoselective netting. Acta Hortic. 2008, 772, 65–72. [Google Scholar] [CrossRef]
- Bastías, R.M.; Manfrini, L.; Corelli-Grappadelli, L. Exploring the potential use of photo-selective nets for fruit growth regulation in apple. Chil. J. Agric. Res. 2012, 72, 224–231. [Google Scholar] [CrossRef]
- Bastías, R.M.; Corelli-Grappadelli, L. Light quality management in fruit orchards: Physiological and technological aspects. Chil. J. Agric. Res. 2012, 72, 574–581. [Google Scholar] [CrossRef]
- Alaphilippe, A.; Capowiez, Y.; Severac, G.; Simon, S.; Saudreau, M.; Caruso, S.; Vergnani, S. Codling moth exclusion netting: An overview of French and Italian experiences. IOBC/WPRS Bull. 2016, 112, 31–35. Available online: https://www.scopus.com/inward/record.uri?eid=2-s2.0-84989789928&partnerID=40&md5=726da3e2e64b96ae5fb6ac375815dfa1 (accessed on 1 June 2020).
- Iglesias, I.; Alegre, S. The effect of anti-hail nets on fruit protection, radiation, temperature, quality and profitability of “Mondial Gala” apples. J. Appl. Hortic. 2006, 8, 91–100. [Google Scholar] [CrossRef]
- Froud, K.J.; Everett, K.R.; Tyson, J.L.; Beresford, R.M.; Cogger, N. Review of the risk factors associated with kiwifruit bacterial canker caused by Pseudomonas syringae pv actinidiae. N. Z. Plant Prot. 2015, 68, 313–327. [Google Scholar] [CrossRef]
- Correia, C.V.; Mariz-Ponte, N.A.; Cellini, A.; Donati, I.; Santos, C.; Spinelli, F. Selection of biological control agents against the pathogen Pseudomonas syringae pv. actinidiae from phyllosphere of kiwifruit leaves. Acta Hortic. 2022, 1332, 117–123. [Google Scholar] [CrossRef]
- Basile, B.; Giaccone, M.; Shahak, Y.; Forlani, M.; Cirillo, C. Regulation of the vegetative growth of kiwifruit vines by photo-selective anti-hail netting. Sci. Hortic. 2014, 172, 300–307. [Google Scholar] [CrossRef]
- Wall, C.; Dozier, W.; Ebel, R.C.; Wilkins, B.; Woods, F.; Foshee, W. Vegetative and floral chilling requirements of four new kiwi cultivars of Actinidia chinensis and A. deliciosa. HortScience 2008, 43, 644–647. [Google Scholar] [CrossRef]
- Oh, E.U.; Kim, S.C.; Lee, M.H.; Song, K.J. Pollen Application Methods Affecting Fruit Quality and Seed Formation in Artificial Pollination of Yellow-Fleshed Kiwifruit. Horticulturae 2022, 8, 150. [Google Scholar] [CrossRef]
- Choi, H.R.; Tilahun, S.; Park, D.S.; Lee, Y.M.; Choi, J.H.; Baek, M.W.; Jeong, C.S. Harvest time affects quality and storability of kiwifruit (Actinidia spp.) cultivars during long-term cool storage. Sci. Hortic. 2019, 256, 108523. [Google Scholar] [CrossRef]
- Li, H.; Pidakala, P.; Billing, D.; Burdon, J. Kiwifruit firmness: Measurement by penetrometer and non-destructive devices. Postharvest Biol. Technol. 2016, 120, 127–137. [Google Scholar] [CrossRef]



| 2020 | 2021 | |
|---|---|---|
| Bud break | 15 March | 16 March |
| Beginning of flowering (beehives) | - | 14 May |
| Full bloom (50% open flowers) | 24 May | 18 May |
| 1st Artificial pollination | 28 May: Out; 29 May: Nets | 21 May: Out and Nets |
| 2nd Artificial pollination | - | 22 May: Out; 24 May: Nets |
| Ventilation | - | 19 to 25 May: Out and Nets |
| Beginning of fruit growth | 2 June | 27 May |
| Harvest | 30 October | 5 November |
| Climatic Variables | Outside | Pearl Net/Outside (%) | Outside | Yellow Net/Outside (%) | Outside | Grey Net/Outside (%) | ||
|---|---|---|---|---|---|---|---|---|
| PAR | Mean | µmoles m−2 s−1 | 264.2 | 88.7 | 238.3 | 92.1 | 177.3 | 90.8 |
| Min | 35.3 | 87.8 | 27.9 | 82.5 | 28.3 | 91.0 | ||
| Max | 436.6 | 89.1 | 402.9 | 92.2 | 349.2 | 93.8 | ||
| Max. PAR | Mean | 932.2 | 91.0 | 855.9 | 96.1 | 704.4 | 93.9 | |
| Longwave solar radiation | Mean | W m−2 | 352.5 | 101.3 | 350.3 | 101.1 | 343.4 | 100.8 |
| Blue wavelength | Mean | 4.4 | 94.8 | 3.9 | 90.8 | 2.8 | 99.7 | |
| Red wavelength | Mean | 9.9 | 91.4 | 8.9 | 95.0 | 6.4 | 94.3 | |
| Blue:red ratio | Mean | - | 0.44 | 103.8 | 0.43 | 95.6 | 0.43 | 105.8 |
| Air temperature | Mean | °C | 18.7 | 103.9 | 18.0 | 102.6 | 15.1 | 102.2 |
| Min. | 12.0 | 103.4 | 9.9 | 105.1 | 5.3 | 106.7 | ||
| Max. | 24.0 | 101.5 | 23.6 | 99.8 | 24.4 | 98.3 | ||
| Min. air temperature | Mean | 11.9 | 99.2 | 11.3 | 99.0 | 9.2 | 95.7 | |
| Max. air temperature | Mean | 26.1 | 107.9 | 25.2 | 106.9 | 21.5 | 110.2 | |
| Relative humidity (RH) | Mean | % | 82.2 | 96.9 | 81.8 | 97.0 | 80.8 | 98.3 |
| Min. RH | Mean | 57.8 | 87.7 | 57.3 | 90.3 | 59.4 | 90.3 | |
| Max. RH | Mean | 99.4 | 99.1 | 99.0 | 98.3 | 96.5 | 99.2 | |
| Precipitation | Total | mm | 159.1 | 87.1 | 167.2 | 90.3 | 92.6 | 88.9 |
| Wind speed | Mean | km h−1 | 1.5 | 32.2 | 1.9 | 34.6 | 2.0 | 32.8 |
| Climatic Variables | Autumn/Winter to Budbreak | Budbreak to Flowering | Flowering to End of Aug | Until Harvest | |||||
| 2020 | (1 November 2019 to 15 March 2020) | (16 March 2020 to 24 May 2020) | (25 May 2020 to 31 August 2020) | (1 September 2020 to 30 October 2020) | |||||
| Out | Pearl/ Out (%) | Out | Pearl/ Out (%) | Out | Pearl/ Out (%) | Out | Pearl/ Out (%) | ||
| PAR | µmoles m−2 s−1 | 262.0 | 96.0 | 415.5 | 89.6 | 503.6 | 85.4 | 270.8 | 81.8 |
| Mean air temperature | °C | 10.8 | 102.4 | 15.1 | 106.1 | 20.9 | 103.8 | 16.3 | 103.0 |
| Mean min. air temp. | 6.1 | 98.9 | 9.2 | 100.8 | 13.4 | 97.9 | 9.4 | 99.5 | |
| Mean max. air temp. | 16.4 | 107.0 | 21.4 | 111.0 | 27.9 | 110.0 | 24.1 | 107.8 | |
| Mean relative humidity | % | 87.0 | 97.6 | 83.9 | 96.4 | 75.6 | 94.0 | 84.1 | 98.9 |
| Precipitation | Mm | 820.2 | 86.2 | 168.5 | 86.1 | 54.3 | 82.5 | 59.7 | 83.9 |
| Wind speed | km h−1 | 2.7 | 44.8 | 2.6 | 47.4 | 1.5 | 49.0 | 1.6 | 38.3 |
| Climatic Variables | Autumn/Winter to Budbreak | Budbreak to Flowering | Flowering to End of Aug | Until Harvest | |||||
| 2021 | (1 November 2020 to 16 March 2021) | (17 March 2021 to 18 May 2021) | (19 May to 31 August 2021) | (1 September to 5 November 2021) | |||||
| Out | Pearl/ Out (%) | Out | Pearl/ Out (%) | Out | Pearl/ Out (%) | Out | Pearl/ Out (%) | ||
| PAR | µmoles m−2 s−1 | 270.4 | 91.2 | 485.5 | 88.9 | 560.3 | 82.7 | 320.1 | 86.4 |
| Mean air temperature | °C | 9.9 | 104.3 | 14.2 | 99.2 | 19.7 | 105.7 | 16.7 | 103.1 |
| Mean min. air temp. | 5.1 | 103.3 | 7.4 | 95.3 | 12.1 | 99.1 | 10.6 | 99.4 | |
| Mean max. air temp. | 15.6 | 107.3 | 21.6 | 103.3 | 27.3 | 111.4 | 23.8 | 108.5 | |
| Mean relative humidity | % | 92.3 | 97.3 | 79.8 | 97.9 | 76.6 | 98.2 | 86.0 | 95.7 |
| Precipitation | mm | 267.0 | 87.3 | 91.0 | 87.5 | 27.2 | 88.4 | 324.2 | 84.8 |
| Wind speed | km h−1 | 2.6 | 48.1 | 2.6 | 48.0 | 2.2 | 34.5 | 1.5 | 33.7 |
| Control | Photo-Selective Nets | |||
|---|---|---|---|---|
| Pearl | Yellow | Grey | ||
| 2020 | ||||
| Dry Matter (%) | 14.5 ± 0.24 ab | 14.9 ± 0.17 a | 14.1 ± 0.17 b | 14.3 ± 0.35 ab |
| Firmness (N) | 62.5 ± 0.26 a | 59.5 ± 0.37 a | 55.6 ± 0.41 a | 56.5 ± 0.19 a |
| pH | 3.5 ± 0.05 a | 3.5 ± 0.04 a | 3.5 ± 0.05 a | 3.4 ± 0.03 a |
| Total Soluble Solids (°Brix) | 7.3 ± 0.17 a | 7.6 ± 0.09 a | 7.5 ± 0.30 a | 7.7 ± 0.12 a |
| Titratable Acidity (%) | 1.6 ± 0.04 a | 1.6 ± 0.09 a | 1.6 ± 0.03 a | 1.6 ± 0.06 a |
| 2021 | ||||
| Dry Matter (%) | 15.1 ± 0.42 a | 13.9 ± 0.65 a | 14.8 ± 0.16 a | 15.6 ± 0.84 a |
| Firmness (N) | 50.1 ± 0.34 a | 48.1 ± 0.16 a | 44.9 ± 0.16 a | 43.3 ± 0.30 a |
| pH | 3.1 ± 0.01 a | 3.1 ± 0.03 a | 3.1 ± 0.03 a | 3.1 ± 0.05 a |
| Total Soluble Solids (°Brix) | 8.7 ± 0.25 a | 8.2 ± 0.23 a | 8.4 ± 0.20 a | 8.5 ± 0.32 a |
| Titratable Acidity (%) | 1.6 ± 0.04 a | 1.6 ± 0.04 a | 1.7 ± 0.02 a | 1.7 ± 0.03 a |
Publisher’s Note: MDPI stays neutral with regard to jurisdictional claims in published maps and institutional affiliations. |
© 2022 by the authors. Licensee MDPI, Basel, Switzerland. This article is an open access article distributed under the terms and conditions of the Creative Commons Attribution (CC BY) license (https://creativecommons.org/licenses/by/4.0/).
Share and Cite
Moura, L.; Pinto, R.; Rodrigues, R.; Brito, L.M.; Rego, R.; Valín, M.I.; Mariz-Ponte, N.; Santos, C.; Mourão, I.M. Effect of Photo-Selective Nets on Yield, Fruit Quality and Psa Disease Progression in a ‘Hayward’ Kiwifruit Orchard. Horticulturae 2022, 8, 1062. https://doi.org/10.3390/horticulturae8111062
Moura L, Pinto R, Rodrigues R, Brito LM, Rego R, Valín MI, Mariz-Ponte N, Santos C, Mourão IM. Effect of Photo-Selective Nets on Yield, Fruit Quality and Psa Disease Progression in a ‘Hayward’ Kiwifruit Orchard. Horticulturae. 2022; 8(11):1062. https://doi.org/10.3390/horticulturae8111062
Chicago/Turabian StyleMoura, Luísa, Rui Pinto, Raul Rodrigues, Luís Miguel Brito, Rute Rego, Maria Isabel Valín, Nuno Mariz-Ponte, Conceição Santos, and Isabel Maria Mourão. 2022. "Effect of Photo-Selective Nets on Yield, Fruit Quality and Psa Disease Progression in a ‘Hayward’ Kiwifruit Orchard" Horticulturae 8, no. 11: 1062. https://doi.org/10.3390/horticulturae8111062
APA StyleMoura, L., Pinto, R., Rodrigues, R., Brito, L. M., Rego, R., Valín, M. I., Mariz-Ponte, N., Santos, C., & Mourão, I. M. (2022). Effect of Photo-Selective Nets on Yield, Fruit Quality and Psa Disease Progression in a ‘Hayward’ Kiwifruit Orchard. Horticulturae, 8(11), 1062. https://doi.org/10.3390/horticulturae8111062

