Abstract
Aquaponics is a sustainable technique that is respectful to the environment, as it reuses products and minimizes the consumption of new materials. The combination of this technique with the foliar application of selenium (as Na2SeO4) could lead to healthier and more sustainable products, which are increasingly requested by consumers. Lettuce (Lactuca sativa L.) plants were grown in an aquaponics system (fish water) as compared with a control (conventional soilless fertigation), and sprayed with different concentrations of selenium (0, 4, 8, and 16 µmol L−1). The results showed a reduction in the dry weight and N content of lettuce plants irrigated with the fish water mixture treatment. However, the application of Se relieved this stress, increasing the photosynthetic rate and ABTS, and reducing the content of chlorophylls, β-carotene, and several of the measured amino acids. The best results were observed with the highest concentration of Se (16 µmol L−1), as an increase in nitrogen content was observed, as shown by a greater weight of the plant. Furthermore, this treatment produced the greatest increase in ABTS and the least reduction in amino acid content. This novel study highlights the possibility of improving the efficiency of N utilization in lettuce by applying foliar selenium in combination with an aquaponics system.
1. Introduction
In recent years, consumers have increasingly demanded products that, in addition to being healthy, are produced with more environmentally sustainable production practices [1]. This environmental sustainability can be achieved by reducing the use of synthetic fertilizers, chemicals, water, and fuel [2]. However, whether the application of these measures does not cause a reduction in crop production will depend on the type of technology used in agriculture [3].
Aquaponics could be a good option for plant production, as it is a technique that unites all of these qualities. It reuses products from aquaculture in hydroponic systems, thus reducing the use of synthetic fertilizers and water. For this, this system has a biological filter which transforms fish excrement (mainly in the form of ammonia) into nitrites and then into nitrates, which are assimilated by plants [4]. Other advantages of this type of system are the ability to reduce or even eliminate the leaching of nitrates to the environment, and also to produce vegetables with greater nutraceutical qualities (higher phenolic content and higher antioxidant activity) due to the use of organic fertilizers [5]. However, aquaponics systems also have some disadvantages, such as deficiencies in some mineral nutrients, such as iron (Fe), calcium (Ca), potassium (K), phosphorus (P), or manganese (Mn), which must be supplemented [6,7]. Furthermore, a low concentration of nitrates (NO3−) has been observed [8].
Selenium (Se) is an essential element for humans and animals. However, whether or not it is essential for plants is still unclear, despite having been studied for years. Authors such as Sattar et al. [9], Guerrero et al. [10], Zhang et al. [11], Yuan et al. [12], and Lara et al. [13] observed a positive effect of Se on both antioxidant activity and nitrogen uptake and its metabolism. Therefore, we consider that a foliar application of Se could improve the absorption of nitrates when applied at low concentrations in irrigation water. This would make it possible to reduce nitrogen inputs and the environmental problems that they entail. On the other hand, the foliar application of Se could increase its concentration in vegetables, thus helping to increase its intake by the population, as it is below the recommended amounts (55–77 µg day−1) [14,15]. Se deficiencies can cause health problems such as a weakening of the immune system, hypothyroidism, cardiovascular disease, decreased fertility in men, and an increased risk of cancer [14].
Lettuce (Lactuca sativa L.) is one of the most consumed leafy plants in the world, and it is consumed mainly fresh, which allows it to retain more nutrients than other processed vegetables [16]. Therefore, increasing its Se content is a good way to increase the intake of this element.
To our knowledge, there are no reports in the literature on the use of Se in lettuce grown under an aquaponics system. Thus, the main objective of this work was to study the effect of a foliar application of different concentrations of Se to alleviate the stress caused by a low dose of nitrogen. For this, its effects on weight, water content, gas exchange, fluorescence, chlorophyll and β-carotene, total nitrogen, ABTS, and amino acids content in lettuce was analyzed.
2. Materials and Methods
2.1. Plant Material and Growth Conditions
A recirculating aquaculture system (RAS) was used to carry out the experiment. The cultured fish were tilapia fish (Orechromis niloticus). This aquaponic system is comprised of 3 fish tanks of approximately 900 L, each holding an average of 80 tilapia fish, a filter tank, a clarifier, a drainage-water collection tank, and a greenhouse. The fish, weighing ca. 197 g at the beginning of experiment and ca. 323 g at the end, were fed daily with an amount of feed equivalent to 2.2–1.9% of their weight (the composition of the feed can be found in Supplementary Table S1). The RAS produced fish for commercial purposes, and the water was reused for plant cultivation.
Iceberg lettuce (Lactuca sativa L.) seedings were obtained from a commercial nursery (Babyplant, S.L., Santomera, Spain). They were grown in 1.2 m-long bags filled with coconut fiber (Pelemix, Alhama de Murcia, Murcia, Spain). Each bag contained 3 plants and 3 drippers (2 L h−1). Drainage was kept at around 30% to avoid problems of accumulation of salts in the substrate [17]. Fourteen days after transplanting, 8 different treatments were applied. The irrigation treatments consisted of the control nutrition solution (100S) (inorganic fertilizer), and the test solution 50% fish water + 50% drainage water (50F/50D) (mix of organic and inorganic fertilizer) (Supplementary Table S2). In addition, a foliar spray with Se in the form of sodium selenate [Na2SeO4] (Merck, Inc., Darmstadt, Germany) was applied at four different concentrations (0, 4, 8, and 16 µmol L−1). The foliar spray consisted of Se, a surfactant (Tween 20; 0.5%, v/v), and distilled water. The plants without Se were sprayed only with distilled water and the surfactant. Every 2 weeks, the plants were sprayed in the early morning to avoid solar burn, making a total of 3 applications during the experiment.
2.2. Plant Growth
At the end of experiment (49 days after transplanting), six iceberg lettuce heads per treatment were randomly harvested and weighed fresh, lyophilized (for 120 h) (Christ Alpha 1-2 LDplus, Osterode am Harz, Germany), and weighed again to determine their dry weight and the percentage of water content.
2.3. Gas Exchange and Fluorescence
At the end of the experiment, the net CO2 assimilation (ACO2), stomatal conductance (gs), transpiration rate (EVAP), and internal CO2 concentration (Ci) were measured in the youngest fully-expanded leaf of each plant, using a CIRAS-2 (PP system, Ames-bury, Massachusetts, USA) with a PLC6 (U) Automatic Universal Leaf Cuvette, measuring both sides of the leaves. The cuvette provided light PAR (through an integrated LED light unit) with a photon flux of 1300 µmol m−2 s−1, 400 µmol mol−1 CO2, and a leaf temperature of 25 °C.
On the same leaf used for gas exchange, the maximum potential quantum efficiency of PSII (Fv/Fm) was determined, according to the method by Piñero et al. [18]. The maximum potential quantum efficiency of photosystem II (Fv/Fm) is the ratio between the variable fluorescence from a dark-adapted leaf (Fv) and the maximal fluorescence from a dark-adapted, youngest, fully open leaf (Fm). These measurements were performed with an OS-30P portable modulated fluorometer (Opti-Science, Hudson, NH, USA). A special leaf clip holder was placed on each leaf to maintain dark conditions for at least 30 min before taking the reading.
2.4. Chlorophylls and β-Carotene
Chlorophylls a and b (Chl a and Chl b) were extracted from 0.5 g of frozen lettuce leaves (−80 °C) with 25 mL of extraction buffer (acetone-hexane (2:3)) (both from Sigma-Aldrich (St. Louis, MO, USA)). Leaf samples were homogenized using a polytron (Ika, Staufen, Germany) and centrifuged (Eppendorf centrifuge 5804R, Hamburg, Germany) at 3500 rpm for 6 min at 4 °C. Then, the absorbance of the supernatant was measured at 663, 645, 505, and 453 nm with a spectrophotometer (Shimadzu UV-1800 model with the CPS-240 cell holder, Shimadzu Europa GmbH, Duisburg, Germany). The contents of chl a and b, and β-carotene were determined by using the Nagata and Yamashita [19] equations:
Chl a (mg 100 mL−1) = 0.999 × A663−0.0989 × A645
Chl b (mg 100 mL−1) = −0.328 × A663 + 1.77 × A645
β-Carotene (mg 100 mL−1) = 0.216 × A663−1.22 × A645−0.304 × A505 + 0.452 × A453
2.5. Total Nitrogen
The total nitrogen was analyzed in the dry matter mixture of the youngest full-sized leaves (after at least 72 h at 65 °C) using a combustion nitrogen/protein determinator (LECO FP-528, Leco Corporation, St. Joseph, MI, USA). Nitrogen analyses were carried out in six replicates.
2.6. Antioxidant Activity (ABTS+*)
The free radical scavenging activity was measured using the ABTS radical (2,2-azino-bis(3-ethylbenzothiazoline-6-sul-phonic acid) diammonium salt), following the procedure previously described by Cano-Lamadrid et al. [20]. A sample of freeze-dried lettuce (0.5 g) was mixed with 10 mL of MeOH/water (80:20, v/v) + 1% HCl, and the mixture was sonicated for 15 min at 20 °C. The mixture was left for 24 h at 4 °C. The extracts were again sonicated (Grant Instrument Europe B.V., Amsterdam, The Netherlands) for 15 min, and then centrifuged for 10 min at 10.000 rpm. The samples were measured using a UV–vis spectrophotometer (Shimadzu CPS-240 model, Kyoto, Japan). The calibration curve was prepared with Trolox (6-hydroxy-2,5,7,8-tetramethylchroman-2-carboxylic acid). The results are shown as the mean ± standard error, in µM Trolox (from Sigma-Aldrich (St. Louis, MO, USA)) equivalent (TE) g−1 of dry weight (DW).
2.7. Amino Acids
Free amino acids were extracted from leaves frozen at −80 °C at the end of the experiment. The sap was extracted, vortexed (Ika, Staufen, Germany) at 5000 rpm (10 min, 4 °C), and filtered (nylon membrane filter, 0.2 μm, Sterlitech Corp., Kent, WA, USA). Afterwards, the free amino acids were determined with the AccQ Tag ultra performance liquid chromatography (UPLC) method (Waters, UPLC Amino Acid Analysis Solution. Waters Corporation, Milford, MA, USA, (2006)). For derivatization, 70 μL of borate buffer was added to 10 μL of the leaf sap. Following this, 20 μL of reagent solution was added. The reaction mixture was mixed immediately and heated at 55 °C for 10 min. After cooling, an aliquot of the reaction mixture was used for UPLC injection. The UPLC was performed on an ACQUITY UPLC system (Waters, UPLC Amino Acid Analysis Solution. Waters Corporation, Milford, MA, USA (2006)) equipped with a fluorescence detection (FLR) system. The column used was a BEH C18 100 mm × 2.1 mm × 1.7 μm (Waters, 2006). The flow rate was 0.7 mL min−1, and the column temperature was kept at 55 °C. The injection volume was 1 μL. The excitation (ex) and emission (em) wavelengths were set at 266 and 473 nm, respectively. The solvent system consisted of two eluents: (A) AccQ·Tag-ultra eluent A concentrate (5%, v/v) and water (95%, v/v); (B) AccQTag ultra eluent B. The following elution gradient was used: 0–0.54 min, 99.9% A–0.1% B; 5.74 min, 90.9% A–9.1% B; 7.74 min, 78.8% A–21.2% B; 8.04 min, 40.4% A–59.6% B; 8.05–8.64 min, 10% A–90% B; 8.73–10 min, 99.9% A–0.1% B. Empower 2 (Waters Corporation, Milford, MA, USA) software was used for data acquisition and processing. External standards (Thermo Scientific) were used for quantification of histidine (His), serine (Ser), arginine (Arg), glycine (Gly), aspartic acid (Asp), glutamic acid (Glu), threonine (Thr), alanine (Ala), proline (Pro), cysteine (Cys), lysine (Lys), tyrosine (Try), methionine (Met), valine (Val), isoleucine (Ile), leucine (Leu), and phenylalanine (Phe).
2.8. Statistical Analysis
Data were tested for homogeneity of variance and normality of distribution. The significance of the treatment effects was determined using the SPSS 13.0 software package (IBM SPSS Statistics 25.0, Armonk, NY, USA), with an ANOVA Duncan’s multiple range test (p ≤ 0.05), using the treatments as a statistical variable to determine significant differences between means. For the quantification of different parameters, 6 samples per treatment were analyzed.
3. Results and Discussion
3.1. Plant Growth
The plant weight was reduced by the mixture of fish water and drainage water (50F/50D treatment) from 39.01 g DW to 32.77 g DW, with respect to control plants (Table 1). This reduction in the plant weight is an indicator that the plants watered with the 50F/50D treatment were undergoing stress, possibly due to the lower concentration of nitrates in the irrigation water. These results are in line with that from Gashaw and Haile [21], who observed that the weight of the plants was lower due to a reduction in the nitrogen supply.
Table 1.
Effect of different selenium concentration (0, 4, 8, and 16 µmoles L−1) and two types of irrigation water (100S or 50F/50D) on plant dry weight and percentage of water content.
The application of Se did not have significant effects, and the combination of the highest dosage of Se and “fish water” caused a slight recovery in dry weight (Table 1).
The percentage of water content was higher in the plants grown with the 100S treatment and the foliar Se application regardless of the dosage applied (Table 1).
3.2. Gas Exchange and Fluorescence
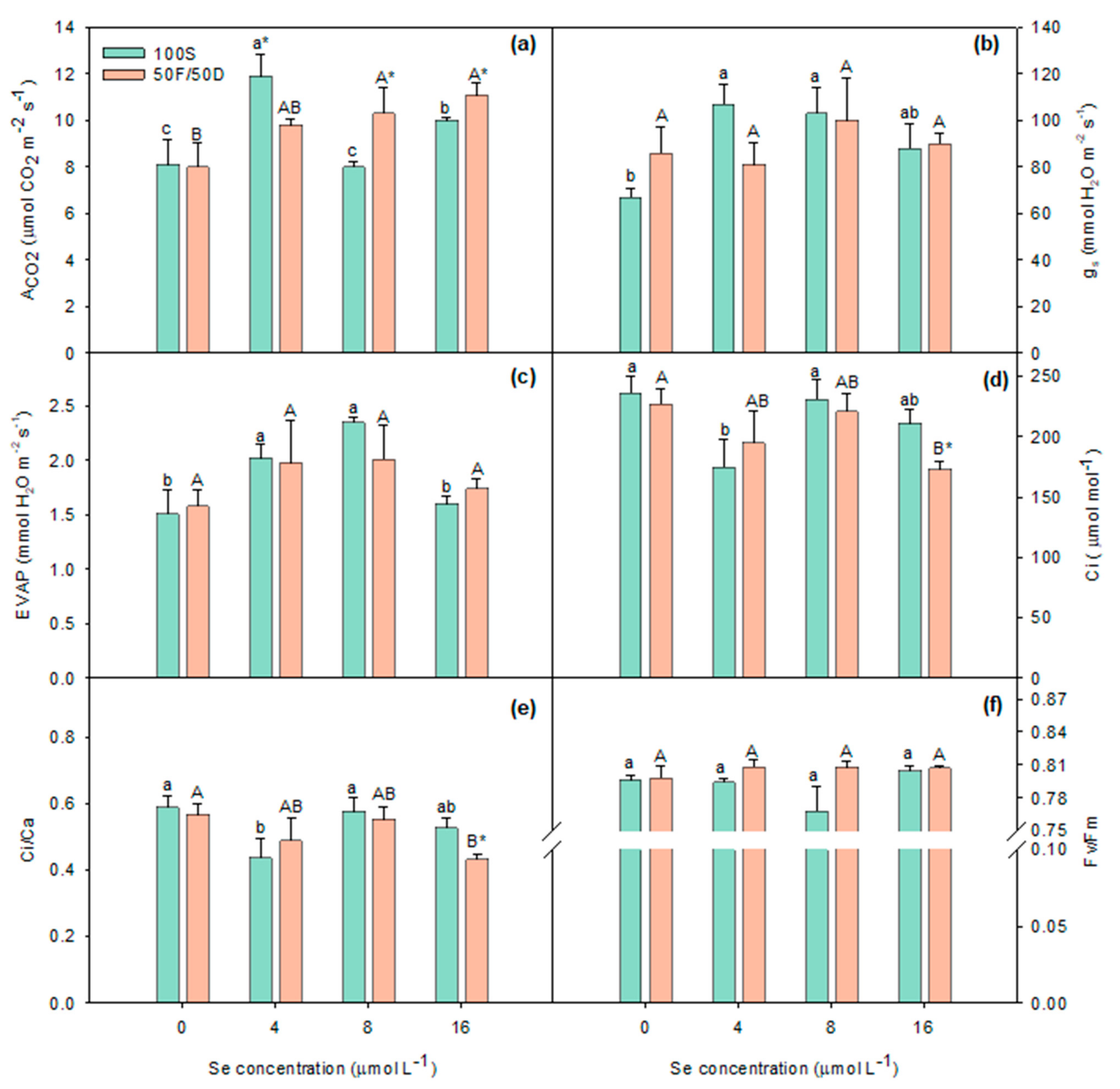
In plants irrigated with a low dose of N (50F/50D), neither the rate of assimilation of photosynthetic CO2 (ACO2) nor any of the other gas exchange parameters measured (gs, EVAP and Ci) were affected, as compared to plants grown in control solution (Figure 1a–e).
Figure 1.
Effects of different selenium concentrations (0, 4, 8, and 16 µmoles L−1) and two types of irrigation water (100S or 50F/50D) on: (a) net CO2 assimilation rate (ACO2); (b) stomatal conductance (gs); (c) transpiration rate (EVAP); (d) internal CO2 concentration (Ci); (e) the internal CO2 concentration/ambient CO2 ratio (Ci/Ca); and (f) maximum potential quantum efficiency of photosystem II (Fv/Fm) in lettuce. The data are presented as the treatment means (n = 6). Different lower-case letters indicate significant (p ≤ 0.05) differences between different dosages of selenium combined with the 100S treatment, and different capital letters indicate significant (p ≤ 0.05) differences between different dosages of selenium combined with the 50F/50D treatment. * denotes significant differences (p ≤ 0.05) between plants submitted to 100S treatment and those irrigated with 50F/50D for the same Se treatment.
The application of Se caused an increase in the ACO2 (Figure 1a). In plants irrigated with the 100S treatment, ACO2 increased by 32% and 20%, by the 4 and 16 µmol Se L−1 dosages, respectively; and in the plants irrigated with the 50F/50D treatment, the increase was 23% and 28%, with the 8 and 16 µmol Se L−1 dosages, respectively (Figure 1a). These data are consistent with what was found by Schiavon et al. [22], who observed a positive effect of Se on photosynthesis in rice. However, what is not yet clear is the reason for this increase, since the positive effects of Se on the photosynthetic process have been previously associated with different causes. Some authors have observed a relationship with the increase in antioxidant activity (greater activity of antioxidant enzymes and metabolites) [22,23], and others have observed an increase in the content of chls, greater stomatal conductance, intercellular CO2 concentration, or transpiration efficiency [11]. In our case, from the rest of the gas exchange parameters measured, Ci and Ci/Ca were the only values that were affected in plants irrigated with the 50F/50D treatment and with the application of 16 µmol Se L−1, in both cases resulting in a reduction of 24%, with respect to the plants irrigated with the 50F/50D treatment without Se (Figure 1d,e). However, when Se was applied to plants watered with the 100S treatment, the 4 µmol Se L−1 dosage caused an increase in gs and EVAP (38% and 25%, respectively), and a reduction in Ci and Ci/Ca (14% in both cases); while the 8 µmol Se L−1 dosage resulted in an increase in gs and EVAP (35% and 36%, respectively) (Figure 1b–e). Therefore, in view of these results, we could not relate the improvement in photosynthetic rates with an increase in any of these gas exchange parameters (Ci, Ci/Ca, gs or EVAP). However, as discussed below, in the case of plants irrigated with the 50F/50D treatment, the improvement produced in ACO2 by Se could be associated with a higher antioxidant activity, as suggested by authors such as Schiavon et al. [22]. The Fv/Fm was not affected by any of the applied treatments, which indicates that photosystem II of the chloroplast was not damaged by any of the treatments (Figure 1f).
3.3. Chlorophyll Content and β-Carotene
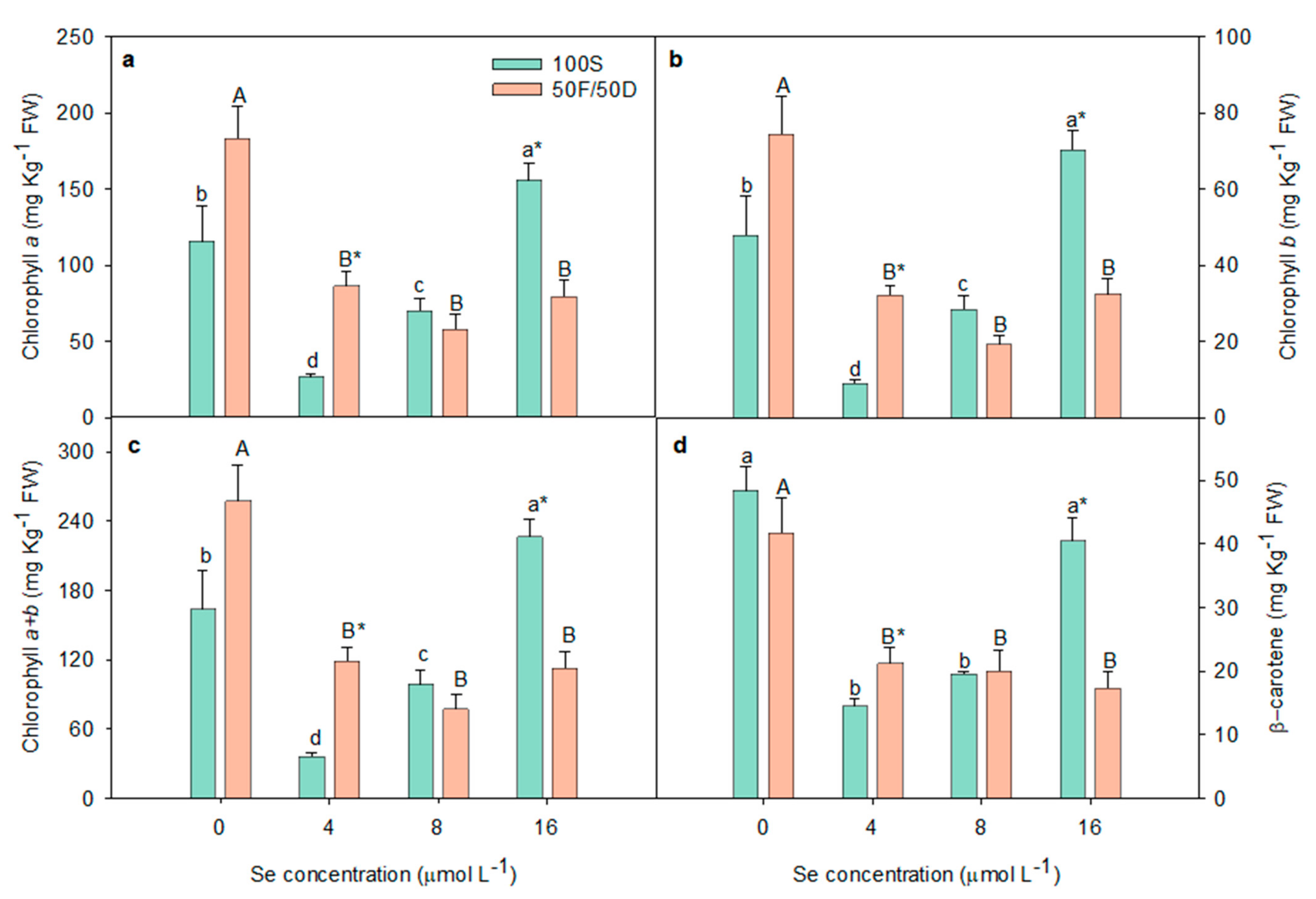
The content of chls (a, b and a + b) and β-carotene showed a similar behavior in the different treatments applied (Figure 2a–d). Although none of these parameters were significantly affected by the type of irrigation used, a slight tendency of the chl concentration to increase was observed due to the lower N treatment, which is contrary to that observed by other authors, such as Stagnari et al. [24] and Pérez-Jimenez et al. [25]. This could be due to the combined contribution of organic and inorganic nitrogen, as other authors observed that the chls values were higher in plants grown with a mixture of organic and inorganic fertilizers than in plants with only one type of fertilizer [26].
Figure 2.
Effects of different selenium concentration (0, 4, 8, and 16 µmoles L−1) and two types of irrigation water (100S or 50F/50D) on: (a) chlorophyll a; (b) chlorophyll b; (c) chlorophyll a + b; and (d) β-carotene in lettuce. The data are presented as the treatment means (n = 6). Different lower-case letters indicate significant (p ≤ 0.05) differences between different dosages of selenium combined with the 100S treatment and different capital letters indicate significant (p ≤ 0.05) differences between different dosages of selenium combined with the 50F/50D treatment. * denotes significant differences (p ≤ 0.05) between plants submitted to 100S treatment and those irrigated with 50F/50D for the same Se treatment.
The application of Se had a different effect depending on the type of water used for irrigation. While the combination of control irrigation with the lowest dosages of Se (4 and 8 µmol Se L−1) caused a reduction in chls a, b, a + b and β-carotene (up to 39%, 41%, 41%, and 16%, respectively), the combination with the highest dosage (16 µmol Se L−1) increased their concentration above the control values (26%, 32%, and 31%, respectively), except in the case of β-carotene, which only equaled it (Figure 2a–d). On the other hand, in the case of the combination of Se with the 50F/50D treatment, there was a reduction in chl a, b, a + b and β-carotene, regardless of the dosage of Se applied (up to 53%, 57%, 56%, and 49%, respectively) (Figure 2a–d). Again, these changes in chls did not appear to be responsible for the changes in photosynthesis. Since a relationship was not observed between the behavior of chlorophylls and the behavior of photosynthesis.
3.4. Total Nitrogen
The percentage of total nitrogen in the lettuces was clearly reduced by irrigation with fish water, which had a lower concentration of NO3− in the nutrient solution than the 100S treatment (Figure 3). The application of Se only caused some changes when it was combined with the 50F/50D treatment, increasing the percentage of total nitrogen in the plants treated with 16 µmol Se L−1 by 15%, as compared to the plants irrigated with the 50F/50D treatment without the foliar application of Se.
Figure 3.
Effects of different selenium concentrations (0, 4, 8, and 16 µmoles L−1) and two types of irrigation water (100S or 50F/50D) on total nitrogen in lettuce. The data are presented as the treatment means (n = 6). Different lower-case letters indicate significant (p ≤ 0.05) differences between different dosages of selenium combined with the 100S treatment and different capital letters indicate significant (p ≤ 0.05) differences between different dosages of selenium combined with the 50F/50D treatment. * denotes significant differences (p ≤ 0.05) between plants submitted to 100S treatment and those irrigated with 50F/50D for the same Se treatment.
The increase in the total nitrogen content coincided with the higher dry matter content in these plants, although the increase was not significantly different. Lara et al. [13] observed similar results in wheat plants, and the authors associated it with an increase in the activity of nitrate reductase (NR), which intervenes in the metabolization of nitrogen.
Authors such as Li et al. [27], observed that under low NO3− conditions, the concentration of Se in the leaves was positively correlated with the leaves’ NO3− content, whereas under high NO3− conditions, this correlation was negative. This was due to a competitive or antagonistic effect between NO3− and Se. Therefore, these results indicate that a lower supply of NO3− could boost the concentration of Se in plants.
In addition, our results of N led us to think that the manner in which this nitrogen is supplied could also influence the effects of Se. In our case, the 50F/50D treatment, aside from containing a lower concentration of nitrogen, also contained organic nitrogen, as compared to the 100S treatment, which utilized 100% synthetic fertilizers. As far as we know, this is the first study in which the foliar application of Se combined with different types of fertilizers (organic and inorganic) in irrigation water is studied. Therefore, we consider that it would be interesting to conduct more studies to determine to what extent the effect of Se is due to lower concentrations of NO3− or the way in which it is provided.
3.5. Antioxidant Activity (ABTS+*)
The foliar application of Se combined with the 100S treatment had no effect on the antioxidant activity. However, when Se was combined with the 50F/50D treatment, the antioxidant activity was higher as the applied dosage increased. The increase with the 8 and 16 µmol Se L−1 dosages reached 39% and 44%, respectively, as compared with the 50F/50D treatment without the foliar application of Se. Our findings are consistent with those obtained by Sabatino et al. [14] and Ríos et al. [28], who observed an increase in antioxidant compounds in endives and lettuce treated with Se.
This increase in the antioxidant activity of plants treated with the 50F/50D + Se (at 8 and 16 µmol Se L−1) treatment could be the reason for the increase in the photosynthetic rate discussed above. Both parameters showed a similar behavior before the applied treatments (Figure 3 and Figure 4). Schiavon et al. [22] observed that the application of low dosages of Se increased the activity of antioxidant enzymes, such as glutathione peroxidase (GSH-Px), superoxide dismutase (SOD), glutathione reductase (GR), catalase (CAT), and ascorbate peroxidase (APX), and the amount of metabolites such as ascorbate and GSH, thus reducing the reactive oxygen species (ROS) that are harmful to plants and improving photosynthetic activity.
Figure 4.
Effects of different selenium concentration (0, 4, 8, and 16 µmoles L−1) and two types of irrigation water (100S or 50F/50D) on antioxidant activity (ABTS+*) in lettuce. The data are presented as the treatment means (n = 6). Different lower-case letters indicate significant (p ≤ 0.05) differences between different dosages of selenium combined with the 100S treatment and different capital letters indicate significant (p ≤ 0.05) differences between different dosages of selenium combined with the 50F/50D treatment. * denotes significant differences (p ≤ 0.05) between plants submitted to 100S treatment and those irrigated with 50F/50D for the same Se treatment.
3.6. Amino Acid Content
As can be observed in Figure 5a,b, the amino acids with the highest concentration in lettuce plants were Arg, followed by Ser and His. Irrigation with fish water caused an increase in several amino acids, although this increase was only significant in Gly, Asp, and Pro (increase of 75%, 76%, and 72% with respect to the plants irrigated with the 100S treatment, respectively). However, the combination of irrigation with 100S and Se at 4 and 8 µmol L−1 was the main treatment that affected the amino acid content in all lettuce plants, causing an increase in all amino acids measured (Figure 5a,b). In agreement with what was observed by Ježek et al. [29], who described an increase in the content of amino acids in potato plants treated foliarly with Se. The greatest increase was produced by the 8 µmol L−1 dose of Se, with an increase of more than 78% observed in the major amino acids Arg, Ser, and His.

Figure 5.
Effects of different selenium concentration (0, 4, 8, and 16 µmoles L−1) and two types of irrigation water (100S or 50F/50D) on: (a) major amino acids and (b) minor amino acids in lettuce. The data are presented as the treatment means (n = 6). Different lower-case letters indicate significant (p ≤ 0.05) differences between different dosages of selenium combined with the 100S treatment and different capital letters indicate significant (p ≤ 0.05) differences between different dosages of selenium combined with the 50F/50D treatment. * denotes significant differences (p ≤ 0.05) between plants submitted to 100S treatment and those irrigated with 50F/50D for the same Se treatment.
Nevertheless, when Se was applied in combination with the 50F/50D treatment, no such increase was observed, quite the contrary. Plants irrigated with the 50F/50D and Se treatment (mainly at 4 and 8 µmol L−1) reduced their content in some of the measured amino acids (His, Glu, Thr, Val, Gly, Pro, Met, and Ile) (Figure 5a,b). However, with the higher concentration of Se, this reduction was only significant in three amino acids (His, Thr, and Gly).
4. Conclusions
The results obtained in this study demonstrate the effects of different foliar Se applications (4, 8, and 16 µmol L−1) combined with irrigation water from an aquaponics system, on the chemical and physical parameters, and nutritional quality of lettuce plants. The novelty of this study is that as far as we know, it is the first study on the use of Se combined with different types of nitrogen (organic or inorganic nitrogen). Lettuce plants irrigated with “fish water” experienced a reduction in weight and nitrogen content, due to the lower contribution of nitrates in this treatment. These negative effects were corrected with the application of the highest dose of selenium (16 µmol L−1) to a large extent, which also produced an increase in gas exchange, antioxidant activity (ABTS), and a lower reduction of amino acids. Therefore, in this study it was observed that the application of foliar Se (as sodium selenate) in combination with an aquaponics system (where a mixture of organic and inorganic fertilizers is applied) improved the efficiency of N utilization in lettuce.
Supplementary Materials
The following are available online at https://www.mdpi.com/article/10.3390/horticulturae8010030/s1, Table S1: The fish feed composition, Table S2: Nutritional composition of the different solutions used for lettuce plants growth.
Author Contributions
Conceptualization, M.C.P. and F.M.d.A.; methodology, M.C.P., G.O. and J.C.-G. formal analysis, M.C.P., G.O. and J.C.-G.; investigation, M.C.P., G.O. and J.C.-G.; resources, F.M.d.A.; writing—original draft preparation, M.C.P.; writing—review and editing, M.C.P.; supervision, J.L.-M. and F.M.d.A.; project administration, F.M.d.A.; funding acquisition, F.M.d.A. All authors have read and agreed to the published version of the manuscript.
Funding
This research was funded by the European Regional Development Fund (ERDF) 80%—Región de Murcia (FEDER 1420-30).
Institutional Review Board Statement
Not applicable.
Informed Consent Statement
Not applicable.
Data Availability Statement
Not applicable.
Acknowledgments
We thank José Manuel Gambín, José Francisco Saéz-Sironi, Miguel Marín, and Raquel Roca, for technical assistance, and Mario G. Fon, for assistance with the correction of the English language.
Conflicts of Interest
The authors declare no conflict of interest.
References
- Sánchez-Bravo, P.; Chambers, E.V.; Noguera-Artiaga, L.; Sendra, E.; Chambers, E., IV; Carbonell-Barrachina, Á.A. Consumer understanding of sustainability concept in agricultural products. Food Qual. Prefer. 2021, 89, 104136. [Google Scholar] [CrossRef]
- Darré, E.; Cadenazzi, M.; Mazzilli, S.R.; Rosas, J.F.; Picasso, V.D. Environmental impacts on water resources from summer crops in rainfed and irrigated systems. J. Environ. Manag. 2019, 232, 514–522. [Google Scholar] [CrossRef] [PubMed]
- Stefanelli, D.; Goodwin, I.; Jones, R. Minimal nitrogen and water use in horticulture: Effects on quality and content of selected nutrients. Food Res. Int. 2010, 43, 1833–1843. [Google Scholar] [CrossRef]
- Bailey, D.S.; Ferrarezi, R.S. Valuation of vegetable crops produced in the UVI Commercial Aquaponic System. Aquac. Rep. 2017, 7, 77–82. [Google Scholar] [CrossRef]
- Preciado-Rangel, P.; García-Villela, K.M.; Fortis-Hernández, M.; Valencia, R.T.; Puente, E.O.R.; Esparza-Rivera, J.R. Nutraceutical quality of cantaloupe melon fruits produced under fertilization with organic nutrient solutions. Cienc. Investig. Agrar. 2016, 42, 475–481. [Google Scholar] [CrossRef]
- Roosta, H.R.; Hamidpour, M. Effects of foliar application of some macro- and micro-nutrients on tomato plants in aquaponic and hydroponic systems. Sci. Hortic. 2011, 129, 396–402. [Google Scholar] [CrossRef]
- Sallenave, R. Important Water Quality Parameters in Aquaponics Systems; NM State University, Cooperative Extension Service, College of Agricultural, Consumer and Environmental Sciences: Las Cruces, NM, USA, 2016. [Google Scholar]
- Piñero, M.C.; Otálora, G.; Collado-González, J.; López-Marín, J.; Del Amor, F.M. Differential effects of aquaponic production system on melon (Cucumis melo L.) fruit quality. J. Agric. Food Chem. 2020, 68, 6511–6519. [Google Scholar] [CrossRef]
- Sattar, A.; Cheema, M.A.; Sher, A.; Ijaz, M.; Ul-Allah, S.; Nawaz, A.; Abbas, T.; Ali, Q. Physiological and biochemical attributes of bread wheat (Triticum aestivum L.) seedlings are influenced by foliar application of silicon and selenium under water deficit. Acta Physiol. Plant. 2019, 41, 146. [Google Scholar] [CrossRef]
- Guerrero, B.; Llugany, M.; Palacios, O.; Valiente, M. Dual effects of different selenium species on wheat. Plant Physiol. Biochem. 2014, 83, 300–307. [Google Scholar] [CrossRef]
- Zhang, M.; Tang, S.; Huang, X.; Zhang, F.; Pang, Y.; Huang, Q.; Yi, Q. Selenium uptake, dynamic changes in selenium content and its influence on photosynthesis and chlorophyll fluorescence in rice (Oryza sativa L.). Environ. Exp. Bot. 2014, 107, 39–45. [Google Scholar] [CrossRef]
- Yuan, L.; Zhang, R.; Ma, X.; Yang, L.; Zheng, Q.; Chen, D.; Li, M.; Fan, T.; Liu, Y.; Pan, L.; et al. Selenium accumulation, antioxidant enzyme levels, and amino acids composition in Chinese mitten crab (Eriocheir sinensis) fed selenium-biofortified corn. Nutrients 2018, 10, 318. [Google Scholar] [CrossRef] [PubMed]
- Lara, T.S.; de Lima Lessa, J.H.; de Souza, K.R.D.; Corguinha, A.P.B.; Martins, F.A.D.; Lopes, G.; Guilherme, L.R.G. Selenium biofortification of wheat grain via foliar application and its effect on plant metabolism. J. Food Compos. Anal. 2019, 81, 10–18. [Google Scholar] [CrossRef]
- Sabatino, L.; Ntatsi, G.; Iapichino, G.; D’anna, F.; De Pasqual, C. Effect of selenium enrichment and type of application on yield, functional quality and mineral composition of curly endive grown in a hydroponic system. Agronomy 2019, 9, 207. [Google Scholar] [CrossRef]
- Márquez, V.G.; Moreno, Á.M.; Mendoza, A.B.; Macías, J.M. Ionic selenium and nanoselenium as biofortifiers and stimulators of plant metabolism. Agronomy 2020, 10, 1399. [Google Scholar] [CrossRef]
- Malejane, D.N.; Tinyani, P.; Soundy, P.; Sultanbawa, Y.; Sivakumar, D. Deficit irrigation improves phenolic content and antioxidant activity in leafy lettuce varieties. Food Sci. Nutr. 2018, 6, 334–341. [Google Scholar] [CrossRef]
- Del Amor, F.M.; Gomez-Lopez, M.D. Agronomical response and water use efficiency of sweet pepper plants grown in different greenhouse substrates. Hortscience 2009, 44, 810–814. [Google Scholar] [CrossRef]
- Pinero, M.C.; Perez-Jimenez, M.; Lopez-Marin, J.; del Amor, F.M. Changes in the salinity tolerance of sweet pepper plants as affected by nitrogen form and high CO2 concentration. J. Plant Physiol. 2016, 200, 18–27. [Google Scholar] [CrossRef]
- Nagata, M.; Yamashita, I. Simple method for simultaneous determination of chlorophyll and carotenoids in tomate fruit. Nippon Shokuhin Kogyo Gakkaishi 1992, 39, 925–928. [Google Scholar] [CrossRef]
- Cano-Lamadrid, M.; Hernández, F.; Corell, M.; Burló, F.; Legua, P.; Moriana, A.; Carbonell-Barrachina, Á.A. Antioxidant capacity, fatty acids profile, and descriptive sensory analysis of table olives as affected by deficit irrigation. J. Sci. Food Agric. 2017, 97, 444–451. [Google Scholar] [CrossRef]
- Gashaw, B.; Haile, S. Effect of different rates of N and intrarow spacing on growth performance of lettuce (Lactuca sativa L.) in Gurage Zone, Wolkite University, Ethiopia. Adv. Agric. 2020, 2020, 1–6. [Google Scholar] [CrossRef]
- Schiavon, M.; Lima, L.W.; Jiang, Y.; Hawkesford, M.J. Effects of selenium on plant metabolism and implications for crops and consumers. In Selenium in Plants; Springer: Cham, Switzerland, 2017; pp. 257–275. [Google Scholar] [CrossRef]
- Luo, H.W.; He, L.X.; Du, B.; Wang, Z.M.; Zheng, A.X.; Lai, R.F.; Tang, X.R. Foliar application of selenium (Se) at heading stage induces regulation of photosynthesis, yield formation, and quality characteristics in fragrant rice. Photosynthetica 2019, 57, 1007–1014. [Google Scholar] [CrossRef]
- Stagnari, F.; Galieni, A.; Pisante, M. Shading and nitrogen management affect quality, safety and yield of greenhouse-grown leaf lettuce. Sci. Hortic. 2015, 192, 70–79. [Google Scholar] [CrossRef]
- Pérez-Jiménez, M.; Piñero, M.C.; del Amor, F.M. Heat shock, high CO2 and nitrogen fertilization effects in pepper plants submitted to elevated temperatures. Sci. Hortic. 2019, 244, 322–329. [Google Scholar] [CrossRef]
- Ouda, B.A.; Mahadeen, A.Y. Effect of fertilizers on growth, yield, yield components, quality and certain nutrient contents in broccoli (Brassica oleracea). Int. J. Agric. Biol. 2008, 10, 627–659. [Google Scholar]
- Li, S.; Bañuelos, G.; Min, J.; Shi, W. Effect of continuous application of inorganic nitrogen fertilizer on selenium concentration in vegetables grown in the Taihu Lake region of China. Plant Soil 2015, 393, 351–360. [Google Scholar] [CrossRef]
- Ríos, J.J.; Rosales, M.A.; Blasco, B.; Cervilla, L.M.; Romero, L.; Ruiz, J.M. Biofortification of Se and induction of the antioxidant capacity in lettuce plants. Sci. Hortic. 2008, 116, 248–255. [Google Scholar] [CrossRef]
- Ježek, P.; Hlušek, J.; Lošák, T.; Jůzl, M.; Elzner, P.; Kráčmar, S.; Buňka, F.; Martensson, A. Effect of foliar application of selenium on the content of selected amino acids in potato tubers (Solanum tuberosum L.). Plant Soil Environ. 2011, 57, 315–320. [Google Scholar] [CrossRef]
Publisher’s Note: MDPI stays neutral with regard to jurisdictional claims in published maps and institutional affiliations. |
© 2021 by the authors. Licensee MDPI, Basel, Switzerland. This article is an open access article distributed under the terms and conditions of the Creative Commons Attribution (CC BY) license (https://creativecommons.org/licenses/by/4.0/).





