Quality of Immature and Mature Pepper (Capsicum annuum L.) Seeds in Relation to Bio-Priming with Endophytic Pseudomonas and Bacillus spp.
Abstract
1. Introduction
2. Materials and Methods
2.1. Seed Production
2.2. Bacterial Strains and Bio-Priming Treatment
2.3. Germination Experiment
2.4. Seedling Emergence Experiment
2.5. Radicle Emergence Assay
2.6. Statistical Analysis
3. Results
3.1. Efficacy of Bio-Priming with Endophytic Pseudomonas and Bacillus spp. on Seed Germination
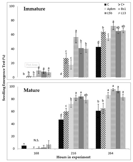
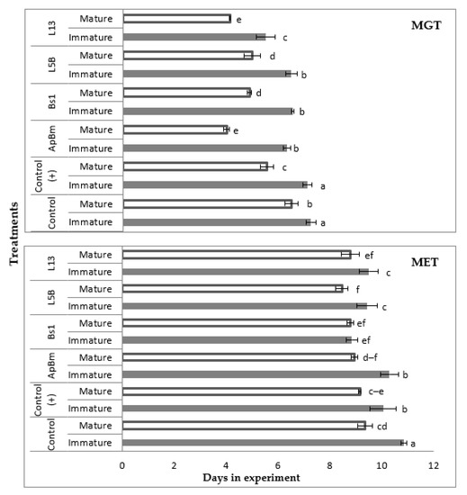
3.2. Influence of Bio-Priming Treatments on Seedling Emergence
3.3. Evaluation of Radicle Emergence (RE) Assay
4. Discussion
5. Conclusions
Author Contributions
Funding
Institutional Review Board Statement
Informed Consent Statement
Data Availability Statement
Conflicts of Interest
References
- Vidigal, D.; Dias, D.; Von Pinho, E.; Dias, L. Sweet pepper seed quality and lea-protein activity in relation to fruit maturation and post-harvest storage. Seed Sci. Technol. 2009, 37, 192–201. [Google Scholar] [CrossRef]
- Demir, I.; Ellis, R.H. Development of pepper (Capsicum annuum L.) seed quality. Ann. Appl. Biol. 1992, 121, 385–399. [Google Scholar] [CrossRef]
- Demir, I.; Samit, Y. Seed quality in relation to fruit maturation and seed dry weight during development in tomato. Seed Sci. Technol. 2001, 29, 453–462. [Google Scholar]
- Vidigal, D.D.S.; Dias, D.C.F.D.S.; Dias, L.A.D.S.; Finger, F.L. Changes in seed quality during fruit maturation of sweet pepper. Sci. Agricola 2011, 68, 535–539. [Google Scholar] [CrossRef]
- Nogueira, J.L.; Da Silva, B.A.; Mógor, Á.F.; Grzybowski, C.R.D.S.; Panobianco, M. Quality of organically produced bell pepper seeds. J. Seed Sci. 2017, 39, 100–105. [Google Scholar] [CrossRef][Green Version]
- Demir, I.; Ellis, R.H. Changes in seed quality during seed development and maturation in tomato. Seed Sci. Res. 1992, 2, 81–87. [Google Scholar] [CrossRef]
- Demir, I.; Ozden, E.; Yıldırım, K.; Sahin, O.; Van Staden, J. Priming with smoke-derived karrikinolide enhances germination and transplant quality of immature and mature pepper seed lots. S. Afr. J. Bot. 2018, 115, 264–268. [Google Scholar] [CrossRef]
- Mahmood, A.; Kataoka, R. Potential of Biopriming in Enhancing Crop Productivity and Stress Tolerance. Adv. Seed Priming 2018, 127–145. [Google Scholar] [CrossRef]
- Wilson, D. Endophyte: The Evolution of a Term, and Clarification of Its Use and Definition. Oikos 1995, 73, 274. [Google Scholar] [CrossRef]
- Gond, S.K.; Bergen, M.S.; Torres, M.S.; White, J.F. Endophytic Bacillus spp. produce antifungal lipopeptides and induce host defence gene expression in maize. Microbiol. Res. 2015, 172, 79–87. [Google Scholar] [CrossRef] [PubMed]
- Truyens, S.; Weyens, N.; Cuypers, A.; Vangronsveld, J. Bacterial seed endophytes: Genera, vertical transmission and interaction with plants. Environ. Microbiol. Rep. 2015, 7, 40–50. [Google Scholar] [CrossRef]
- Herrera, S.D.; Grossi, C.; Zawoznik, M.; Groppa, M.D. Wheat seeds harbour bacterial endophytes with potential as plant growth promoters and biocontrol agents of Fusarium graminearum. Microbiol. Res. 2016, 186–187, 37–43. [Google Scholar] [CrossRef] [PubMed]
- López, S.M.Y.; Pastorino, G.N.; Franco, M.E.E.; Medina, R.; Lucentini, C.G.; Saparrat, M.C.N.; Balatti, P.A. Microbial Endophytes that Live within the Seeds of Two Tomato Hybrids Cultivated in Argentina. Agronomy 2018, 8, 136. [Google Scholar] [CrossRef]
- Verma, S.; Kingsley, K.; Irizarry, I.; Bergen, M.; Kharwar, R.; White, J. Seed-vectored endophytic bacteria modulate development of rice seedlings. J. Appl. Microbiol. 2017, 122, 1680–1691. [Google Scholar] [CrossRef]
- Compant, S.; Clément, C.; Sessitsch, A. Plant growth-promoting bacteria in the rhizo- and endosphere of plants: Their role, colonization, mechanisms involved and prospects for utilization. Soil Biol. Biochem. 2010, 42, 669–678. [Google Scholar] [CrossRef]
- Glick, B.R. Beneficial Plant-Bacterial Interactions; Springer: Heidelberg, Germany, 2015. [Google Scholar] [CrossRef]
- Mia, M.A.B.; Shamsuddin, Z.H.; Mahmood, M. Effects of rhizobia and plant growth promoting bacteria inoculation on germination and seedling vigor of lowland rice. Afr. J. Biotechnol. 2012, 11, 3758–3765. [Google Scholar] [CrossRef]
- Mitter, B.; Petric, A.; Chain, P.S.; Trognitz, F.; Nowak, J.; Compant, S.; Sessitsch, A. Genome Analysis, Ecology, and Plant Growth Promotion of Theendophyte Burkholderia Phytofirmans Strain PsJN. In Molecular Microbial Ecology of the Rhizosphere, 1st ed.; Bruijn, F.J., Ed.; John Wiley & Sons, Inc.: Hoboken, NJ, USA, 2013; pp. 865–874. [Google Scholar] [CrossRef]
- Turan, M.; Ekinci, M.; Yildirim, E.; Güneş, A.; Karagöz, K.; Kotan, R.; Dursun, A. Plant growth-promoting rhizobacteria improved growth, nutrient, and hormone content of cabbage (Brassica oleracea) seedlings. Turk. J. Agric. For. 2014, 38, 327–333. [Google Scholar] [CrossRef]
- Seghers, D.; Wittebolle, L.; Top, E.M.; Verstraete, W.; Siciliano, S.D. Impact of Agricultural Practices on the Zea mays L. Endophytic Community. Appl. Environ. Microbiol. 2004, 70, 1475–1482. [Google Scholar] [CrossRef]
- Romero, F.M.; Marina, M.; Pieckenstain, F.L. The communities of tomato (Solanum lycopersicum L.) leaf endophytic bacteria, analyzed by 16S-ribosomal RNA gene pyrosequencing. FEMS Microbiol. Lett. 2014, 351, 187–194. [Google Scholar] [CrossRef]
- Hallmann, J.; Quadt-Hallmann, A.; Mahaffee, W.F.; Kloepper, J.W. Bacterial endophytes in agricultural crops. Can. J. Microbiol. 1997, 43, 895–914. [Google Scholar] [CrossRef]
- Sturz, A.; Nowak, J. Endophytic communities of rhizobacteria and the strategies required to create yield enhancing associations with crops. Appl. Soil Ecol. 2000, 15, 183–190. [Google Scholar] [CrossRef]
- Rosenblueth, M.; Martínez-Romero, E. Bacterial Endophytes and Their Interactions with Hosts. Mol. Plant Microbe Interact. 2006, 19, 827–837. [Google Scholar] [CrossRef] [PubMed]
- Sun, Y.; Cheng, Z.; Glick, B.R. The presence of a 1-aminocyclopropane-1-carboxylate (ACC) deaminase deletion mutation alters the physiology of the endophytic plant growth-promoting bacterium Burkholderia phytofirmans PsJN. FEMS Microbiol. Lett. 2009, 296, 131–136. [Google Scholar] [CrossRef] [PubMed]
- Marquez-Santacruz, H.; Hernandez-Leon, R.; Orozco-Mosqueda, M.; Velazquez-Sepulveda, I.; Santoyo, G. Diversity of bacterial endophytes in roots of Mexican husk tomato plants (Physalis ixocarpa) and their detection in the rhizosphere. Genet. Mol. Res. 2010, 9, 2372–2380. [Google Scholar] [CrossRef]
- Shi, Y.; Yang, H.; Zhang, T.; Sun, J.; Lou, K. Illumina-based analysis of endophytic bacterial diversity and space-time dynamics in sugar beet on the north slope of Tianshan mountain. Appl. Microbiol. Biotechnol. 2014, 98, 6375–6385. [Google Scholar] [CrossRef]
- Callan, N.W.; Mathre, D.E.; Miller, J.B. Field Performance of Sweet Corn Seed Bio-primed and Coated with Pseudomonas fluorescens AB254. HortScience 1991, 26, 1163–1165. [Google Scholar] [CrossRef]
- Bennett, A.J.; Mead, A.; Whipps, J.M. Performance of carrot and onion seed primed with beneficial microorganisms in glasshouse and field trials. Biol. Control 2009, 51, 417–426. [Google Scholar] [CrossRef]
- Chakraborty, A.P.; Dey, P.; Chakraborty, B. Plant growth promotion and amelioration of salinity stress in crop plants by a salt-tolerant bacterium. Recent Res. Sci. Technol. 2011, 3, 61–70. [Google Scholar]
- Gururani, M.A.; Upadhyaya, C.P.; Baskar, V.; Venkatesh, J.; Nookaraju, A.; Park, S.W. Plant Growth-Promoting Rhizobacteria Enhance Abiotic Stress Tolerance in Solanum tuberosum Through Inducing Changes in the Expression of ROS-Scavenging Enzymes and Improved Photosynthetic Performance. J. Plant Growth Regul. 2013, 32, 245–258. [Google Scholar] [CrossRef]
- Mirshekari, B.; Hokmalipour, S.; Sharifi, R.S.; Farahvash, F.; Gadim, A. Effect of seed biopriming with plant growth promoting rhizobacteria (PGPR) on yield and dry matter accumulation of spring barley (Hordeum vulgare L.) at various levels of nitrogen and phosphorus fertilizers. J. Food Agric. Environ. 2012, 10, 314–320. [Google Scholar]
- Sharifi, R.S. Study of nitrogen rates effects and seed biopriming with PGPR on quantitative and qualitative yield of Safflower (Carthamus tinctorius L.). Tech. J. Eng. Appl. Sci. 2012, 2, 162–166. [Google Scholar]
- Noumavo, P.A.; Kochoni, E.; Didagbé, Y.O.; Adjanohoun, A.; Allagbé, M.; Sikirou, R.; Gachomo, E.W.; Kotchoni, S.O.; Baba-Moussa, L. Effect of Different Plant Growth Promoting Rhizobacteria on Maize Seed Germination and Seedling Development. Am. J. Plant Sci. 2013, 4, 1013–1021. [Google Scholar] [CrossRef]
- Rozier, C.; Hamzaoui, J.; Lemoine, D.; Czarnes, S.; Legendre, L. Field-based assessment of the mechanism of maize yield enhancement by Azospirillum lipoferum CRT1. Sci. Rep. 2017, 7, 1–12. [Google Scholar] [CrossRef]
- Lastochkina, O.; Garshina, D.; Ivanov, S.; Yuldashev, R.; Khafizova, R.; Allagulova, C.; Fedorova, K.; Avalbaev, A.; Maslennikova, D.; Bosacchi, M. Seed Priming with Endophytic Bacillus subtilis Modulates Physiological Responses of Two Different Triticum aestivum L. Cultivars under Drought Stress. Plants 2020, 9, 1810. [Google Scholar] [CrossRef]
- Yildirim, E.; Turan, M.; Donmez, M.F. Mitigation of salt stress in radish (Raphanus sativus L.) by plant growth promoting rhizobacteria. Romanian Biotec. Lett. 2008, 13, 3933–3943. [Google Scholar]
- Prasad, S.R.; Kamble, U.R.; Sripathy, K.V.; Bhaskar, K.U.; Singh, D.P. Seed Bio-Priming for Biotic and Abiotic Stress Management. In Microbial Inoculants in Sustainable Agricultural Productivity; Singh, D.P., Singh, H.B., Prabha, R., Eds.; Vol. 1: Research Perspectives; Springer: New Delhi, India, 2016; Volume 1, pp. 211–228. [Google Scholar]
- Ertan, Y.; Metin, T.; Melek, E.; Atilla, D.; Ramazan, C.; Yildirim, E.; Turan, M.; Ekinci, M.; Dursun, A.; Cakmakci, R. Plant growth promoting rhizobacteria ameliorate deleterious effect of salt stress on lettuce. Sci. Res. Essays 2011, 6, 4389–4396. [Google Scholar] [CrossRef]
- Walitang, D.I.; Kim, K.; Madhaiyan, M.; Kim, Y.K.; Kang, Y.; Munusamy, M. Characterizing endophytic competence and plant growth promotion of bacterial endophytes inhabiting the seed endosphere of Rice. BMC Microbiol. 2017, 17, 1–13. [Google Scholar] [CrossRef] [PubMed]
- Rodríguez, C.E.; Antonielli, L.; Mitter, B.; Trognitz, F.; Sessitsch, A. Heritability and Functional Importance of the Setaria viridis Bacterial Seed Microbiome. Phytobiomes J. 2020, 4, 40–52. [Google Scholar] [CrossRef]
- Rochefort, A.; Briand, M.; Marais, C.; Wagner, M.-H.; Laperche, A.; Vallée, P.; Barret, M.; Sarniguet, A. Influence of Environment and Host Plant Genotype on the Structure and Diversity of the Brassica napus Seed Microbiota. Phytobiomes J. 2019, 3, 326–336. [Google Scholar] [CrossRef]
- Barret, M.; Briand, M.; Bonneau, S.; Préveaux, A.; Valière, S.; Bouchez, O.; Hunault, G.; Simoneau, P.; Jacquesa, M.-A. Emergence Shapes the Structure of the Seed Microbiota. Appl. Environ. Microbiol. 2015, 81, 1257–1266. [Google Scholar] [CrossRef]
- Yang, L.; Danzberger, J.; Schöler, A.; Schröder, P.; Schloter, M.; Radl, V. Dominant Groups of Potentially Active Bacteria Shared by Barley Seeds become Less Abundant in Root Associated Microbiome. Front. Plant Sci. 2017, 8, 1005. [Google Scholar] [CrossRef] [PubMed]
- Mitter, B.; Pfaffenbichler, N.; Flavell, R.; Compant, S.; Antonielli, L.; Petric, A.; Berninger, T.; Naveed, M.; Sheibani-Tezerji, R.; Von Maltzahn, G.; et al. A New Approach to Modify Plant Microbiomes and Traits by Introducing Beneficial Bacteria at Flowering into Progeny Seeds. Front. Microbiol. 2017, 8, 11. [Google Scholar] [CrossRef] [PubMed]
- Torres-Cortés, G.; Bonneau, S.; Bouchez, O.; Genthon, C.; Briand, M.; Jacques, M.-A.; Barret, M. Functional Microbial Features Driving Community Assembly During Seed Germination and Emergence. Front. Plant Sci. 2018, 9, 902. [Google Scholar] [CrossRef] [PubMed]
- Rozier, C.; Gerin, F.; Czarnes, S.; Legendre, L. Biopriming of maize germination by the plant growth-promoting rhizobacterium Azospirillum lipoferum CRT1. J. Plant Physiol. 2019, 237, 111–119. [Google Scholar] [CrossRef]
- Chesneau, G.; Torres-Cortes, G.; Briand, M.; Darrasse, A.; Preveaux, A.; Marais, C.; Jacques, M.-A.; Shade, A.; Barret, M. Temporal dynamics of bacterial communities during seed development and maturation. FEMS Microbiol. Ecol. 2020, 96, 190. [Google Scholar] [CrossRef]
- International Center for Agricultural Research in the Dry Areas (ICARDA). Methods of Soil, Plant, and Water Analysis: A Manual for the West Asia and North Africa Region, 3rd ed.; Estefan, G., Sommer, R., Ryan, J., Eds.; ICARDA: Beirut, Lebanon, 2013; pp. 61–133. [Google Scholar]
- ISTA. International Rules for Seed Testing; Edition 2016; International Seed Testing Association: Bassersdorf, Switzerland, 2016. [Google Scholar]
- Orel, D.C. Biocontrol of bacterial diseases with beneficial bacteria in lettuce. Int. J. Agric. Nat. Sci. 2020, 13, 108–117. [Google Scholar]
- Ellis, R.H.; Roberts, E.H. Towards a Rational Basis for Seed Testing in Seed Production; Hebblethwaite, P.D., Ed.; Butterworths: London, UK, 1980; pp. 605–635. [Google Scholar]
- Rozier, C.; Erban, A.; Hamzaoui, J.; Prigent-Combaret, C.; Comte, G.; Kopka, J.; Czarnes, S.; Legendre, L. Xylem Sap Metabolite Profile Changes during Phytostimulation of Maize by the Plant Growth-Promoting Rhizobacterium, Azospirillum lipoferum CRT1. Metabolomics 2016, 6. [Google Scholar] [CrossRef]
- Khan, M.Y.; Zahir, Z.A.; Asghar, H.N.; Waraich, E.A. Preliminary investigations on selection of synergistic halotolerant plant growth promoting rhizobacteria for inducing salinity tolerance in wheat. Pak. J. Bot. 2017, 49, 1541–1551. [Google Scholar]
- Koohakan, P.; Prasom, P.; Sikhao, P. Application of seed coating with endophytic bacteria for Fusarium wilt disease reduction and growth promotion in tomato. Int. J. Agric. Technol. 2020, 16, 55–62. [Google Scholar]
- Naveed, M.; Mitter, B.; Yousaf, S.; Pastar, M.; Afzal, M.; Sessitsch, A. The endophyte Enterobacter sp. FD17: A maize growth enhancer selected based on rigorous testing of plant beneficial traits and colonization characteristics. Biol. Fertil. Soils 2014, 50, 249–262. [Google Scholar] [CrossRef]
- Bharathi, R.; Vivekananthan, R.; Harish, S.; Ramanathan, A.; Samiyappan, R. Rhizobacteria-based bio-formulations for the management of fruit rot infection in chillies. Crop. Prot. 2004, 23, 835–843. [Google Scholar] [CrossRef]
- Welbaum, G.E. Cucurbit Seed Development and Production. HortTechnology 1999, 9, 341–348. [Google Scholar] [CrossRef]
- Kenanoglu, B.B.; Demir, I.; Jalink, H. Chlorophyll Fluorescence Sorting Method to Improve Quality of Capsicum Pepper Seed Lots Produced from Different Maturity Fruits. HortScience 2013, 48, 965–968. [Google Scholar] [CrossRef]
- Dos Santos, H.O.; Dutra, S.M.F.; Raquel, R.W.P.; Pires, M.O.; von Pinho, É.V.R.; da Rosa, S.D.V.F.; de Carvalho, M.L.M. Physiological quality of habanero pepper (Capisicum chinense) seeds based on development and drying process. Afr. J. Agric. Res. 2016, 11, 1102–1109. [Google Scholar] [CrossRef]
- Ellis, R.H. Temporal patterns of seed quality development, decline, and timing of maximum quality during seed development and maturation. Seed Sci. Res. 2019, 29, 135–142. [Google Scholar] [CrossRef]
- Moeinzadeh, A.; Sharif-Zadeh, F.; Ahmadzadeh, M.; Heidari Tajabadi, F. Biopriming of sunflower (Helianthus annuus L.) seed with Pseudomonas fluorescens for improvement of seed invigoration and seedling growth. Aust. J. Crop Sci. 2010, 4, 564–570. [Google Scholar]
- Zulueta-Rodríguez, R.; Hernández-Montiel, L.G.; Murillo-Amador, B.; Rueda-Puente, E.O.; Capistrán, L.L.; Troyo-Diéguez, E.; Cordoba-Matson, M.V. Effect of Hydropriming and Biopriming on Seed Germination and Growth of Two Mexican Fir Tree Species in Danger of Extinction. Forests 2015, 6, 3109–3122. [Google Scholar] [CrossRef]
- Rehman, A.; Farooq, M.; Naveed, M.; Nawaz, A.; Shahzad, B. Seed priming of Zn with endophytic bacteria improves the productivity and grain biofortification of bread wheat. Eur. J. Agron. 2018, 94, 98–107. [Google Scholar] [CrossRef]
- White, J.F.; Kingsley, K.L.; Kowalski, K.P.; Irizarry, I.; Micci, A.; Soares, M.A.; Bergen, M.S. Disease protection and allelopathic interactions of seed-transmitted endophytic pseudomonads of invasive seed grass (Phragmites australis). Plant Soil 2017, 422, 195–208. [Google Scholar] [CrossRef]
- Bacon, C.W.; White, J.F. Functions, mechanisms and regulation of endophytic and epiphytic microbial communities of plants. Symbiosis 2015, 68, 87–98. [Google Scholar] [CrossRef]
- Khalaf, E.M.; Raizada, M.N. Taxonomic and functional diversity of cultured seed associated microbes of the cucurbit family. BMC Microbiol. 2016, 16, 1–16. [Google Scholar] [CrossRef] [PubMed]
- Hardoim, P.R.; Hardoim, C.C.P.; Van Overbeek, L.S.; Van Elsas, J.D. Dynamics of Seed-Borne Rice Endophytes on Early Plant Growth Stages. PLoS ONE 2012, 7, e30438. [Google Scholar] [CrossRef]
- Ishak, Z.; Mohd Iswadi, M.K.; Russman Nizam, A.H.; Ahmad Kamil, M.J.; Ernie Eileen, R.R.; Wan Syaidatul, A.; Ainon, H. Plant growth hormones produced by endophytic Bacillus subtilis strain LKM-BK isolated from cocoa. Malays. Cocoa J. 2016, 9, 127–133. [Google Scholar]
- Bewley, J.D. Seed Germination and Dormancy. Plant Cell 1997, 9, 1055–1066. [Google Scholar] [CrossRef] [PubMed]
- Nonogaki, H.; Bassel, G.W.; Bewley, J.D. Germination—Still a mystery. Plant Sci. 2010, 179, 574–581. [Google Scholar] [CrossRef]
- Demir, I.; Ermis, S.; Mavi, K.; Matthews, S. Mean germination time of pepper seed lots (Capsicum annuum L.) predicts size and uniformity of seedlings in germination tests and transplant modules. Seed Sci. Technol. 2008, 36, 21–30. [Google Scholar] [CrossRef]






| Treatments | Maturity Levels | Means | |
|---|---|---|---|
| Immature | Mature | ||
| Control | 55.5 ± 4.8 e | 87.5 ± 0.9 b | 71.5 C |
| Control (+) | 70.3 ± 3.7 c | 93.5 ± 2.2 a | 81.9 A |
| ApBm | 61.3 ± 2.5 d | 90.5 ± 3.6 ab | 75.9 B |
| Bs1 | 70.0 ± 2.5 c | 94.0 ± 1.4 a | 82.0 A |
| L5B | 60.0 ± 3.5 d | 92.5 ± 0.9 ab | 76.3 B |
| L13 | 70.7 ± 3.4 c | 94.0 ± 1.4 a | 82.4 A |
| Means | 64.6 B | 92.0 A | |
| Treatments | Maturity Levels | Means | |
|---|---|---|---|
| Immature | Mature | ||
| Control | 7.26 ± 0.19 a | 6.52 ± 0.26 b | 6.89 A |
| Control (+) | 7.13 ± 0.18 a | 5.57 ± 0.26 c | 6.35 B |
| ApBm | 6.33 ± 0.15 b | 4.01 ± 0.10 e | 5.17 D |
| Bs1 | 6.56 ± 0.04 b | 4.89 ± 0.08 d | 5.72 C |
| L5B | 6.51 ± 0.23 b | 5.00 ± 0.30 d | 5.75 C |
| L13 | 5.51 ± 0.37 c | 4.13 ± 0.03 e | 4.82 E |
| Means | 6.55 A | 5.02 B | |
| Treatments | Germination (%) | Emergence (%) | MGT (Day) | MET (Day) | |||||
|---|---|---|---|---|---|---|---|---|---|
| C | C (+) | C | C (+) | C | C (+) | C | C (+) | ||
| Immature | ApBm | +5.8 | −9.0 | +24.0 | +1.3 | −0.93 | −0.80 | −0.56 | +0.24 |
| Bs1 | +14.5 | −0.3 | +27.7 | +5.0 | −0.70 | −0.57 | −2.01 | −1.21 | |
| L5B | +4.5 | −10.3 | +23.7 | +1.0 | −0.75 | −0.62 | −1.43 | −0.63 | |
| L13 | +15.2 | +0.4 | +21.7 | −1.0 | −1.75 | −1.62 | −1.36 | −0.56 | |
| Mature | ApBm | +3.0 | −3.5 | +25.0 | +21.0 | −2.51 | −1.56 | −0.42 | −0.22 |
| Bs1 | +6.5 | +0.5 | +36.0 | +32.0 | −1.63 | −0.68 | −0.57 | −0.37 | |
| L5B | +5.0 | −1.0 | +32.0 | +28.0 | −1.52 | −0.57 | −0.89 | −0.69 | |
| L13 | +6.5 | +0.5 | +19.0 | +15.0 | −2.39 | −1.44 | −0.56 | −0.36 | |
| Treatments | Maturity Levels | Means | |
|---|---|---|---|
| Immature | Mature | ||
| Control | 45.3 ± 8.2 f | 61.0 ± 5.0 e | 53.2 D |
| Control (+) | 68.0 ± 2.8 de | 65.0 ± 3.8 de | 66.5 C |
| ApBm | 69.3 ± 3.8 c–e | 86.0 ± 4.5 ab | 77.7 AB |
| Bs1 | 73.0 ± 4.4 cd | 97.0 ± 3.3 a | 85.0 A |
| L5B | 69.0 ± 3.3 c–e | 93.0 ± 3.3 a | 81.0 A |
| L13 | 67.0 ± 4.4 de | 80.0 ± 8.5 bc | 73.5 BC |
| Means | 65.3 B | 80.3 A | |
| Treatments | Maturity Levels | Means | |
|---|---|---|---|
| Immature | Mature | ||
| Control | 10.86 ± 0.11 a | 9.36 ± 0.29 cd | 10.11 A |
| Control (+) | 10.06 ± 0.51 b | 9.16 ± 0.05 c–e | 9.61 B |
| ApBm | 10.30 ± 0.35 b | 8.94 ± 0.12 d–f | 9.62 B |
| Bs1 | 8.85 ± 0.22 ef | 8.79 ± 0.12 ef | 8.82 C |
| L5B | 9.43 ± 0.39 c | 8.47 ± 0.24 f | 8.95 C |
| L13 | 9.50 ± 0.36 c | 8.80 ± 0.35 ef | 9.15 C |
| Means | 9.83 A | 8.92 B | |
Publisher’s Note: MDPI stays neutral with regard to jurisdictional claims in published maps and institutional affiliations. |
© 2021 by the authors. Licensee MDPI, Basel, Switzerland. This article is an open access article distributed under the terms and conditions of the Creative Commons Attribution (CC BY) license (https://creativecommons.org/licenses/by/4.0/).
Share and Cite
Yildirim, K.C.; Canik Orel, D.; Okyay, H.; Gursan, M.M.; Demir, I. Quality of Immature and Mature Pepper (Capsicum annuum L.) Seeds in Relation to Bio-Priming with Endophytic Pseudomonas and Bacillus spp. Horticulturae 2021, 7, 75. https://doi.org/10.3390/horticulturae7040075
Yildirim KC, Canik Orel D, Okyay H, Gursan MM, Demir I. Quality of Immature and Mature Pepper (Capsicum annuum L.) Seeds in Relation to Bio-Priming with Endophytic Pseudomonas and Bacillus spp. Horticulturae. 2021; 7(4):75. https://doi.org/10.3390/horticulturae7040075
Chicago/Turabian StyleYildirim, Kutay Coskun, Didem Canik Orel, Hilal Okyay, Mukerrem Melis Gursan, and Ibrahim Demir. 2021. "Quality of Immature and Mature Pepper (Capsicum annuum L.) Seeds in Relation to Bio-Priming with Endophytic Pseudomonas and Bacillus spp." Horticulturae 7, no. 4: 75. https://doi.org/10.3390/horticulturae7040075
APA StyleYildirim, K. C., Canik Orel, D., Okyay, H., Gursan, M. M., & Demir, I. (2021). Quality of Immature and Mature Pepper (Capsicum annuum L.) Seeds in Relation to Bio-Priming with Endophytic Pseudomonas and Bacillus spp. Horticulturae, 7(4), 75. https://doi.org/10.3390/horticulturae7040075

