Effects of Pollination Interventions, Plant Age and Source on Hormonal Patterns and Fruit Set of Date Palm (Phoenix dactylifera L.)
Abstract
:1. Introduction
2. Materials and Methods
2.1. Experimental Site
2.2. Experimental Design
2.3. Pollination Practice
2.4. Abnormal Fruit Set
2.5. Analysis of Hormones
2.5.1. Standard Stock Solutions Preparation
2.5.2. Sample Extraction
2.5.3. Sample Purification
2.5.4. High-Performance Liquid Chromatography (HPLC) Analysis
2.6. Statistical Analysis
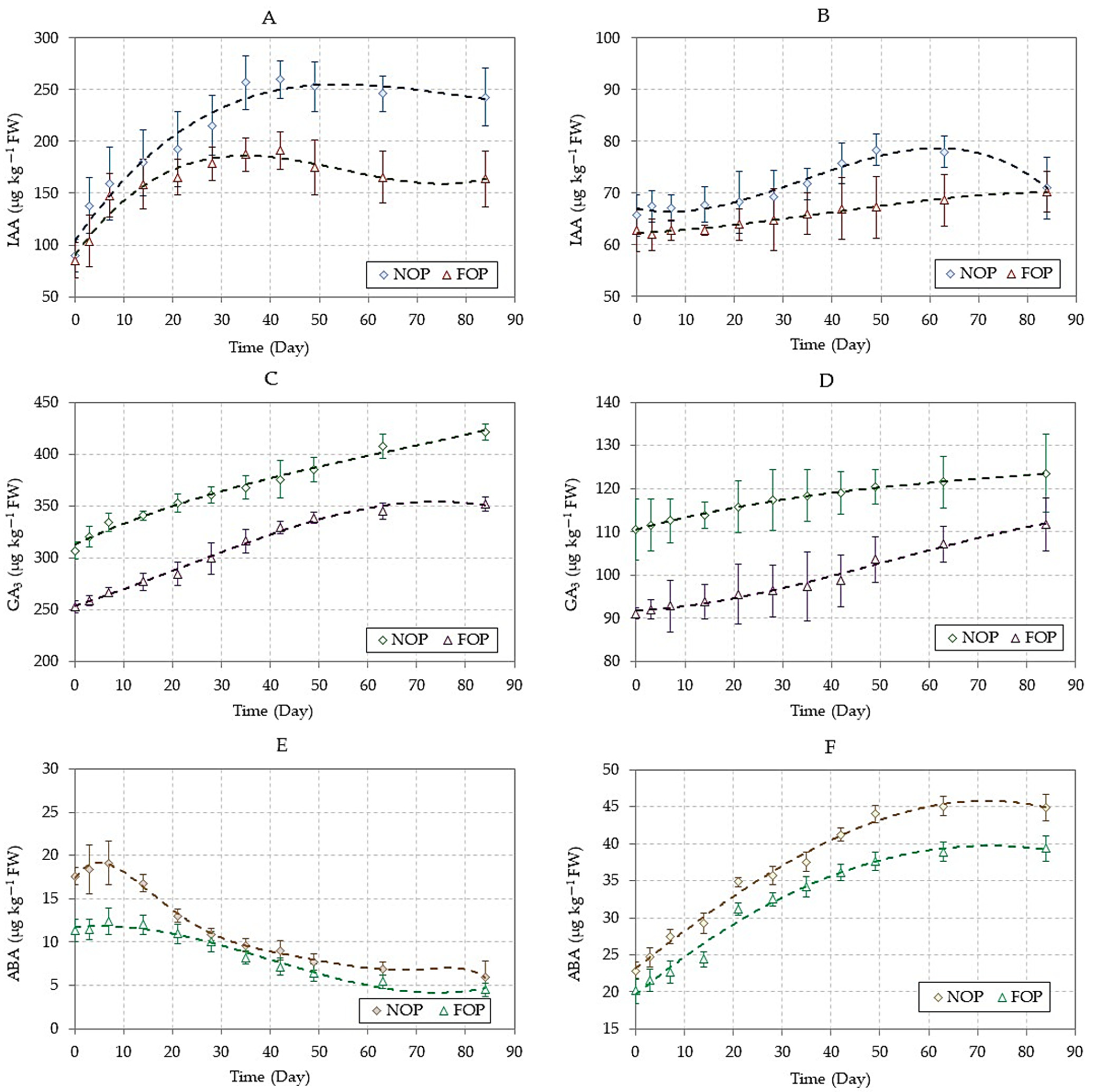
3. Results
4. Discussion
5. Conclusions
Author Contributions
Funding
Institutional Review Board Statement
Informed Consent Statement
Data Availability Statement
Acknowledgments
Conflicts of Interest
References
- FAOSTAT Food and Agriculture Organization of the United Nations. 2019. Available online: http://faostat.fao.org/site (accessed on 18 September 2019).
- Tengberg, M. Beginnings and early history of date palm garden cultivation in the Middle East. J. Arid Environ. 2012, 86, 139–147. [Google Scholar] [CrossRef]
- Reuveni, O. Date In CRC Handbook of Fruit Set and Development; CRC Press: Boca Raton, FL, USA, 1986; pp. 119–144. [Google Scholar]
- Zaid, A.; Arias-Jimenez, E.J. Date Palm Cultivation. In FAO Plant Production and Protection Paper; FAO: Rome, Italy, 2002; Volume 156, p. 292. [Google Scholar]
- Okuda, S.; Tsutsui, H.; Shiina, K.; Sprunck, S.; Takeuchi, H.; Yui, R.; Kasahara, R.D.; Hamamura, Y.; Mizukami, A.; Susaki, D.; et al. Defensin-like polypeptide LUREs are pollen tube attractants secreted from synergid cells. Nature 2009, 458, 357–361. [Google Scholar] [CrossRef] [PubMed]
- Higashiyama, T.; Takeuchi, H. The mechanism and key molecules involved in pollen tube guidance. Annu. Rev. Plant Biol. 2015, 66, 393–413. [Google Scholar] [CrossRef] [PubMed]
- Jaskani, M.J.; Naqvi, S.A. Storage and Viability Assessment of Date Palm Pollen. In Date Palm Biotechnology Protocols Volume II; Springer, Humana Press: New York, NY, USA, 2017; pp. 3–13. [Google Scholar]
- Mohammed, M.; Alhajhoj, M.R.; Ali-Dinar, H.M.; Munir, M. Impact of a novel water-saving subsurface irrigation system on water productivity, photosynthetic characteristics, yield, and fruit quality of date palm under arid conditions. Agronomy 2020, 10, 1265. [Google Scholar] [CrossRef]
- Munir, M.; Alhajhoj, M.R.; Sallam, A.A.M.; Ghazzawy, H.S.; Al-Bahigan, A.M. Effects of indigenous and foreign pollinizers on the yield and fruit characteristics of date palm cultivar Khalas. Iraqi. J. Agric. Sci. 2020, 51, 356–365. [Google Scholar]
- Munir, M.; Alhajhoj, M.R.; Sallam, A.A.M.; Ghazzawy, H.S.; Al-Bahigan, A.M. Fruit yield and quality response of date palm cultivar Khalas to female inflorescence receptivity varied by pollination days. Plant Arch. 2020, 20, 4007–4014. [Google Scholar]
- Zaid, A.; de Wet, M.P.F.; Djerb, A.O. Date Palm Cultivation; Food and Agriculture Organization (FAO): Rome, Italy, 1999. [Google Scholar]
- Al-Shahib, W.; Marshall, R.J. The fruit of the date palm: Its possible use as the best food for the future? Int. J. Food Sci. Nutr. 2003, 54, 247–259. [Google Scholar] [CrossRef]
- Chao, C.C.T.; Krueger, R.R. The date palm (Phoenix dactylifera L.): Overview of biology, uses, and cultivation. HortScience 2007, 42, 1077–1082. [Google Scholar] [CrossRef] [Green Version]
- Johnson, D.V. Introduction: Date Palm Biotechnology from Theory to Practice. In Date Palm Biotechnology; Springer: Dordrecht, The Netherlands, 2011; pp. 1–11. [Google Scholar]
- Zaid, A.; de Wet, P.F. Pollination and bunch management. Chapter 8 In: Zaid A (ed) Date palm cultivation. FAO Plant Prod. Prot. 2002, 156, 145–175. [Google Scholar]
- Munir, M.; Al-Hajhoj, M.R.; Ghazzawy, H.S.; Sallam, A.A.M.; Al-Bahigan, A.M.; Al-Muiweed, M.A. A comparative study of pollination methods effect on the changes in fruit yield and quality of date palm cultivar Khalas. Asian J. Agric. Biol. 2020, 8, 147–157. [Google Scholar] [CrossRef]
- Gupta, A.; Godara, R.K.; Sharma, V.K.; Panda, A.K. Artificial Pollination: A Tool for Improving Fruiting Traits in Date palm (Phoenix dactylifera L.). Chem. Sci. Rev. Lett. 2017, 6, 1312–1320. [Google Scholar]
- Salomón-Torres, R.; Krueger, R.; García-Vázquez, J.P.; Villa-Angulo, R.; Villa-Angulo, C.; Ortiz-Uribe, N.; Sol-Uribe, J.A.; Samaniego-Sandoval, L. Date palm pollen: Features, production, extraction and pollination methods. Agronomy 2021, 11, 504. [Google Scholar] [CrossRef]
- El Mardi, M.O.; Al Said, F.A.J.; Sakit, C.B.; Al Kharusi, L.M.; Al Rahbi, I.N.; Al Mahrazi, K. Effect of pollination method, fertilizer and mulch treatments on the physical and chemical characteristics of date palm (Phoenix dactylifera) Fruit I: Physical characteristics. In Proceedings of the Acta Horticulturae, Leuven, Belgium; 2007; Volume 736, pp. 317–328. [Google Scholar] [CrossRef]
- Mazri, M.A.; Meziani, R. An improved method for micropropagation and regeneration of date palm (Phoenix dactylifera L.). J. Plant Biochem. Biotechnol. 2013, 22, 176–184. [Google Scholar] [CrossRef]
- Mazri, M.A.; Meziani, R.; El Fadile, J.; Ezzinbi, A. Optimization of medium composition for in vitro shoot proliferation and growth of date palm cv. Mejhoul. 3 Biotech 2016, 6, 111. [Google Scholar] [CrossRef] [Green Version]
- Pierik, R.L.M. In vitro culture of higher plants as a tool in the propagation of horticultural crops. In Proceedings of the International Symposium on Propagation of Ornamental Plants 226, Geisenheim, Germany, 23–27 August 1987; pp. 25–40. [Google Scholar]
- Kaeppler, S.M.; Kaeppler, H.F.; Rhee, Y. Epigenetic aspects of somaclonal variation in plants. Plant Mol. Biol. 2000, 43, 179–188. [Google Scholar] [CrossRef]
- Bouhouche, N.; Al-Mazroui, H.S.; Zaid, A. Fertilization failure and abnormal fruit set in tissue culture-derived date palm (Phoenix dactylifera L.). In Proceedings of the III International Date Palm Conference 736, Abu Dhabi, United Arab Emirates, 19–21 February 2006; pp. 225–232. [Google Scholar]
- Bairu, M.W.; Aremu, A.O.; Van Staden, J. Somaclonal variation in plants: Causes and detection methods. Plant Growth Regul. 2011, 63, 147–173. [Google Scholar] [CrossRef]
- Azizi, P.; Hanafi, M.M.; Sahebi, M.; Harikrishna, J.A.; Taheri, S.; Yassoralipour, A.; Nasehi, A. Epigenetic changes and their relationship to somaclonal variation: A need to monitor the micropropagation of plantation crops. Funct. Plant Biol. 2020, 47, 508–523. [Google Scholar] [CrossRef]
- Al-Wasel, A.S. Vegetative and fruiting comparison of tissue culture derived and conventionally propagated date palm (Phoenix dactylifera L.) cv. Barhi trees. Vitr. Biol. Cell. Dev. Biol 2000, 36, 1010. [Google Scholar]
- Djerbi, M. Abnormal fruiting of the date palm derived from tissue culture. In Proceedings of the Date Palm Inter. Symposium, Windhock, Namibia, 22–25 February 2000; pp. 22–25. [Google Scholar]
- Ruffoni, B.; Savona, M. Physiological and biochemical analysis of growth abnormalities associated with plant tissue culture. Hortic. Environ. Biotechnol. 2013, 54, 191–205. [Google Scholar] [CrossRef]
- Abd-Elhaleem, S.A.M.; Abd El-Latif, F.M.; El-Badawy, H.E.M.; AbdAlla, B.M.; El-Gioushy, S.F. Study of failure of fertilization in date palm (Phoenix dactylifera L.) BARHI CV. Plant Arch. 2020, 20, 2363–2368. [Google Scholar]
- Ghosh, A.; Igamberdiev, A.U.; Debnath, S.C. Tissue culture-induced DNA methylation in crop plants: A review. Mol. Biol. Rep. 2021, 48, 823–841. [Google Scholar] [CrossRef]
- Papareddy, R.K.; Nodine, M.D. Plant Epigenetics: Propelling DNA Methylation Variation across the Cell Cycle. Curr. Biol. 2021, 31, R129–R131. [Google Scholar] [CrossRef] [PubMed]
- Gorguet, B.; Van Heusden, A.W.; Lindhout, P. Parthenocarpic fruit development in tomato. Plant Biol. 2005, 7, 131–139. [Google Scholar] [CrossRef] [PubMed]
- Serrani, J.C.; Sanjuán, R.; Ruiz-Rivero, O.; Fos, M.; García-Martínez, J.L. Gibberellin regulation of fruit set and growth in tomato. Plant Physiol. 2007, 145, 246–257. [Google Scholar] [CrossRef] [Green Version]
- Obrucheva, N. V Hormonal regulation during plant fruit development. Ontogenez 2014, 45, 14–27. [Google Scholar] [CrossRef] [PubMed]
- Talon, M.; Caruso, M.; Gmitter, F.G., Jr. The Genus Citrus; Woodhead Publishing: London, UK, 2020. [Google Scholar]
- O’Neill, S.D.; Nadeau, J.A. Postpollination flower development. Hortic. Rev. 1997, 19, 1–58. [Google Scholar]
- Pharis, R.P.; King, R.W. Gibberellins and reproductive development in seed plants. Annu. Rev. Plant Physiol. 1985, 36, 517–568. [Google Scholar] [CrossRef]
- Klee, H.J.; Giovannoni, J.J. Genetics and control of tomato fruit ripening and quality attributes. Annu. Rev. Genet. 2011, 45, 41–59. [Google Scholar] [CrossRef]
- Seymour, G.B.; Ostergaard, L.; Chapman, N.H.; Knapp, S.; Martin, C. Fruit development and ripening. Annu. Rev. Plant Biol. 2013, 64, 219–241. [Google Scholar] [CrossRef] [Green Version]
- Nitsch, J.P. Hormonal factors in growth and development. Biochem. Fruits Prod. 1970, 2, 427–472. [Google Scholar]
- Mariotti, L.; Picciarelli, P.; Lombardi, L.; Ceccarelli, N. Fruit-set and early fruit growth in tomato are associated with increases in indoleacetic acid, cytokinin, and bioactive gibberellin contents. J. Plant Growth Regul. 2011, 30, 405–415. [Google Scholar] [CrossRef]
- Ozga, J.A.; Reinecke, D.M. Hormonal Interactions in Fruit Development. J. Plant Growth Regul. 2003, 22, 73–81. [Google Scholar] [CrossRef]
- Davies, P.J. The plant hormones: Their nature, occurrence, and functions. In Plant Hormones: Biosynthesis, Signal Transduction, Action; Springer: Dordrecht, The Netherlands, 2010; pp. 1–15. ISBN 9781402026867. [Google Scholar] [CrossRef]
- Kumar, R.; Khurana, A.; Sharma, A.K. Role of plant hormones and their interplay in development and ripening of fleshy fruits. J. Exp. Bot. 2014, 65, 4561–4575. [Google Scholar] [CrossRef] [PubMed] [Green Version]
- Liu, K.; Kang, B.C.; Jiang, H.; Moore, S.L.; Li, H.; Watkins, C.B.; Setter, T.L.; Jahn, M.M. A GH3-like gene, CcGH3, isolated from Capsicum chinense L. fruit is regulated by auxin and ethylene. Plant Mol. Biol. 2005, 58, 447–464. [Google Scholar] [CrossRef] [PubMed]
- Zhang, M.; Yuan, B.; Leng, P. The role of ABA in triggering ethylene biosynthesis and ripening of tomato fruit. J. Exp. Bot. 2009, 60, 1579–1588. [Google Scholar] [CrossRef] [Green Version]
- De Jong, M.; Wolters-Arts, M.; Feron, R.; Mariani, C.; Vriezen, W.H. The Solanum lycopersicum auxin response factor 7 (SlARF7) regulates auxin signaling during tomato fruit set and development. Plant J. 2009, 57, 160–170. [Google Scholar] [CrossRef]
- Cheruth, A.J.; Kurup, S.S.; Subramaniam, S. Variations in hormones and antioxidant status in relation to flowering in early, mid, and late varieties of date palm (Phoenix dactylifera L.) of United Arab Emirates. Sci. World J. 2015, 2015, 846104. [Google Scholar] [CrossRef] [PubMed] [Green Version]
- Hadi, S.; Al-Khalifah, N.S.; Moslem, M.A. Hormonal Basis of Shees’ Fruit Abnormality in Tissue Culture Derived Plants of Date Palm. Int. J. Agric. Biol. 2015, 17, 607–612. [Google Scholar] [CrossRef]
- De Jong, M.; Wolters-Arts, M.; Garc, J.L.; Mariani, C.; Vriezen, W.H. The Solanum lycopersicum auxin response factor 7 (SlARF7) mediates cross-talk between auxin and gibberellin signalling during tomato fruit set and development. J. Exp. Bot. 2011, 62, 617–626. [Google Scholar] [CrossRef] [Green Version]
- Carrera, E.; Ruiz-Rivero, O.; Peres, L.E.P.; Atares, A.; Garcia-Martinez, J.L. Characterization of the procera tomato mutant shows novel functions of the SlDELLA protein in the control of flower morphology, cell division and expansion, and the auxin-signaling pathway during fruit-set and development. Plant Physiol. 2012, 160, 1581–1596. [Google Scholar] [CrossRef] [Green Version]
- Ashour, N.E.; Mostafa, E.A.M.; Saleh, M.A.; Hafez, O.M. Effect of GA3, 6-benzylaminopurine and boric acid spraying on yield and fruit quality of barhee date palm. Middle East J. Agric. Res. 2018, 7, 278–286. [Google Scholar]
- Serrani, J.C.; Ruiz-Rivero, O.; Fos, M.; García-Martínez, J.L. Auxin-induced fruit-set in tomato is mediated in part by gibberellins. Plant J. 2008, 56, 922–934. [Google Scholar] [CrossRef] [Green Version]
- Dorcey, E.; Urbez, C.; Blázquez, M.A.; Carbonell, J.; Perez-Amador, M.A. Fertilization-dependent auxin response in ovules triggers fruit development through the modulation of gibberellin metabolism in Arabidopsis. Plant J. 2009, 58, 318–332. [Google Scholar] [CrossRef]
- Al-Kalifah, M.; Hadi, S.; Khan, F.A.; Khan, P.R.; Shanavaskhan, A.E.; Askari, E. Effect of plant growth regulators on fruit abnormality (‘Shees’) of tissue culture-derived date palm (Phoenix dactylifera L.). In Proceedings of the Proc. Fourth Symposium Date Palm Saudi Arabia, King Faisal University, Al-Hassa, Saudi Arabia, 5–8 May 2007; pp. 5–7. [Google Scholar]
- Abbas, M.F.; Ibrahim, M.A. The role of ethylene in the regulation of fruit ripening in the Hillawi date palm (Phoenix dactylifera L). J. Sci. Food Agric. 1996, 72, 306–308. [Google Scholar] [CrossRef]
- Serrano, M.; Pretel, M.T.; Botella, M.A.; Amoros, A. Physicochemical changes during date ripening related to ethylene production. Food Sci. Technol. Int. 2001, 7, 31–36. [Google Scholar] [CrossRef]
- Chen, Y.; Grimplet, J.; David, K.; Castellarin, S.D.; Terol, J.; Wong, D.C.J.; Luo, Z.; Schaffer, R.; Celton, J.-M.; Talon, M.; et al. Ethylene receptors and related proteins in climacteric and non-climacteric fruits. Plant Sci. 2018, 276, 63–72. [Google Scholar] [CrossRef] [Green Version]
- Attaha, A.H.M.; Al-Saadi, S.A.A.M. Anatomical and Hormonal Studies of Floral and Fruiting Behavior of Phoenix Dactylifera, cv. Barhee. Int. J. Curr. Adv. Res. 2015, 4, 531–536. [Google Scholar]
- Dobrev, P.I.; Kam\inek, M. Fast and efficient separation of cytokinins from auxin and abscisic acid and their purification using mixed-mode solid-phase extraction. J. Chromatogr. A 2002, 950, 21–29. [Google Scholar] [CrossRef]
- Zhu, S.; Chen, S.-W.; Li, Y. Simultaneous analysis of thirteen phytohormones in fruits and vegetables by SPE-HPLC--DAD. Food Sci. Biotechnol. 2020, 29, 1587–1595. [Google Scholar] [CrossRef] [PubMed]
- Iqbal, N.; Khan, N.A.; Ferrante, A.; Trivellini, A.; Francini, A.; Khan, M.I.R. Ethylene role in plant growth, development and senescence: Interaction with other phytohormones. Front. Plant Sci. 2017, 8, 475. [Google Scholar] [CrossRef] [PubMed] [Green Version]
- An, J.; Althiab Almasaud, R.; Bouzayen, M.; Zouine, M.; Chervin, C. Auxin and ethylene regulation of fruit set. Plant Sci. 2020, 292, 110381. [Google Scholar] [CrossRef]
- Fenn, M.A.; Giovannoni, J.J. Phytohormones in fruit development and maturation. Plant J. 2021, 105, 446–458. [Google Scholar] [CrossRef] [PubMed]
- Buta, J.G.; Spaulding, D.W. Changes in indole-3-acetic acid and abscisic acid levels during tomato (Lycopersicon esculentum Mill.) fruit development and ripening. J. Plant Growth Regul. 1994, 13, 163–166. [Google Scholar] [CrossRef]
- Koshita, Y.; Takahara, T.; Ogata, T.; Goto, A. Involvement of endogenous plant hormones (IAA, ABA, GAs) in leaves and flower bud formation of satsuma mandarin (Citrus unshiu Marc.). Sci. Hortic. 1999, 79, 185–194. [Google Scholar] [CrossRef]
- Setha, S.; Kondo, S.; Hirai, N.; Ohigashi, H. Xanthoxin, abscisic acid and its metabolite levels associated with apple fruit development. Plant Sci. 2004, 166, 493–499. [Google Scholar] [CrossRef]
- Abbas, M.; Abdel Basit, O.; Abbas, M. Indole-3-acetic acid concentration during fruit development in date palm (Phoenix dactylifera I., cv. Hillawi). Fruits 2000, 55, 115–118. [Google Scholar]
- Rastegar, S.; Rahemi, M.; Zargari, H. others Changes in endogenous hormones in fruit during growth and development of date palm fruits. Am.-Eurasian J. Agric. Environ. Sci. 2011, 11, 140–148. [Google Scholar]
- Shabana, H.A.; Zaid, A.; Khalil, A.A. Date Palm Fruits Physiology, Harvesting and Handling; FAO: Rome, Italy, 2006. [Google Scholar]
- Ozga, J.A.; Reinecke, D.M. Interaction of 4-chloroindole-3-acetic acid and gibberellins in early pea fruit development. Plant Growth Regul. 1999, 27, 33–38. [Google Scholar] [CrossRef]
- Abd-Alaal, A.F.; Al-Salih, K.K.; Shabana, H.; Al-Salihy, G.J. Production of seedless dates by application of growth regulators. In Proceedings of the First International Symposium on the Date Palm, King Faisal University, Al-Hassa, Saudi Arabia, 22–25 March 1982; pp. 276–282. [Google Scholar]
- Wang, H.; Schauer, N.; Usadel, B.; Frasse, P.; Zouine, M.; Hernould, M.; Latche, A.; Pech, J.-C.; Fernie, A.R.; Bouzayen, M. Regulatory features underlying pollination-dependent and-independent tomato fruit set revealed by transcript and primary metabolite profiling. Plant Cell 2009, 21, 1428–1452. [Google Scholar] [CrossRef] [Green Version]
- Zaid, A.; De Wet, P.F. Chapter I Botanical and systematic description of date palm. In FAO Plant Prod. Prot. Pap; Food and Agriculture Organization (FAO): Rome, Italy, 1999; pp. 1–28. [Google Scholar]
- Jia, H.; Wang, Y.; Sun, M.; Li, B.; Han, Y.; Zhao, Y.; Li, X.; Ding, N.; Li, C.; Ji, W. Sucrose functions as a signal involved in the regulation of strawberry fruit development and ripening. New Phytol. 2013, 198, 453–465. [Google Scholar] [CrossRef]
- Amira, E.A.; Flamini, G.; Behija, S.E.; Manel, I.; Nesrine, Z.; Ali, F.; Mohamed, H.; Noureddine, H.A.; Lotfi, A. Chemical and aroma volatile compositions of date palm (Phoenix dactylifera L.) fruits at three maturation stages. Food Chem. 2011, 127, 1744–1754. [Google Scholar] [CrossRef]
- McCubbin, M.J.; Zaid, A.; Van Stade, J. A southern African survey conducted for off-types on date palms produced using somatic embryogenesis. Emirates J. Food Agric. 2004, 16, 8–14. [Google Scholar] [CrossRef] [Green Version]
- Cohen, Y.; Korchinsky, R.; Tripler, E. Flower abnormalities cause abnormal fruit setting in tissue culture-propagated date palm (Phoenix dactylifera L.). J. Hortic. Sci. Biotechnol. 2004, 79, 1007–1013. [Google Scholar] [CrossRef]



| Index | Description (%) |
|---|---|
| 1 | ≤25% abnormal fruit set |
| 2 | 25–50% abnormal fruit set |
| 3 | 50–75% abnormal fruit set |
| 4 | Above 75% abnormal fruit set |
| Time Intervals (DAP) | Hormones (µg·kg−1 FW) | ||
|---|---|---|---|
| IAA | GA3 | ABA | |
| 0 | 94.52 I | 239.91 H | 15.68 C |
| 3 | 112.27 H | 245.24 H | 16.29 BC |
| 7 | 125.35 G | 255.17 G | 16.59 BC |
| 14 | 142.83 F | 261.3 FG | 16.60 BC |
| 21 | 157.99 E | 268.2 EF | 16.65 BC |
| 28 | 178.52 D | 276.48 E | 17.13 A-C |
| 35 | 203.92 C | 286.13 D | 17.14 A-C |
| 42 | 214.17 B | 297.46 C | 17.60 AB |
| 49 | 221.22 A | 306.2 BC | 17.86 AB |
| 63 | 212.93 B | 308.47 B | 17.94 AB |
| 84 | 206.62 C | 318.26 A | 18.65 A |
| Age of Date Palm | Source of Date Palm | Pollination Type | Rating Index |
|---|---|---|---|
| 6-year-old | Tissue culture | NOP | 3.83 A |
| FOP | 3.66 B | ||
| Conventional Offshoots | NOP | 1.33 D | |
| FOP | 1.51 C | ||
| 13-year-old | Tissue culture | NOP | 1.11 D |
| FOP | 1.11 D | ||
| Conventional Offshoots | NOP | 1.11 D | |
| FOP | 1.11 D |
Publisher’s Note: MDPI stays neutral with regard to jurisdictional claims in published maps and institutional affiliations. |
© 2021 by the authors. Licensee MDPI, Basel, Switzerland. This article is an open access article distributed under the terms and conditions of the Creative Commons Attribution (CC BY) license (https://creativecommons.org/licenses/by/4.0/).
Share and Cite
Ali-Dinar, H.; Mohammed, M.; Munir, M. Effects of Pollination Interventions, Plant Age and Source on Hormonal Patterns and Fruit Set of Date Palm (Phoenix dactylifera L.). Horticulturae 2021, 7, 427. https://doi.org/10.3390/horticulturae7110427
Ali-Dinar H, Mohammed M, Munir M. Effects of Pollination Interventions, Plant Age and Source on Hormonal Patterns and Fruit Set of Date Palm (Phoenix dactylifera L.). Horticulturae. 2021; 7(11):427. https://doi.org/10.3390/horticulturae7110427
Chicago/Turabian StyleAli-Dinar, Hassan, Maged Mohammed, and Muhammad Munir. 2021. "Effects of Pollination Interventions, Plant Age and Source on Hormonal Patterns and Fruit Set of Date Palm (Phoenix dactylifera L.)" Horticulturae 7, no. 11: 427. https://doi.org/10.3390/horticulturae7110427
APA StyleAli-Dinar, H., Mohammed, M., & Munir, M. (2021). Effects of Pollination Interventions, Plant Age and Source on Hormonal Patterns and Fruit Set of Date Palm (Phoenix dactylifera L.). Horticulturae, 7(11), 427. https://doi.org/10.3390/horticulturae7110427

