Development of a Freshness Index for Fruit Quality Assessment—Using Bell Pepper as a Case Study
Abstract
:1. Introduction
2. Materials and Methods
2.1. Source of Data and of Bell Pepper Fruit
2.2. Measurement Position and d.o.s.
2.3. Gloss Measurements
2.4. Spectrometry
2.5. Statistics
3. Results
3.1. Selection Criteria
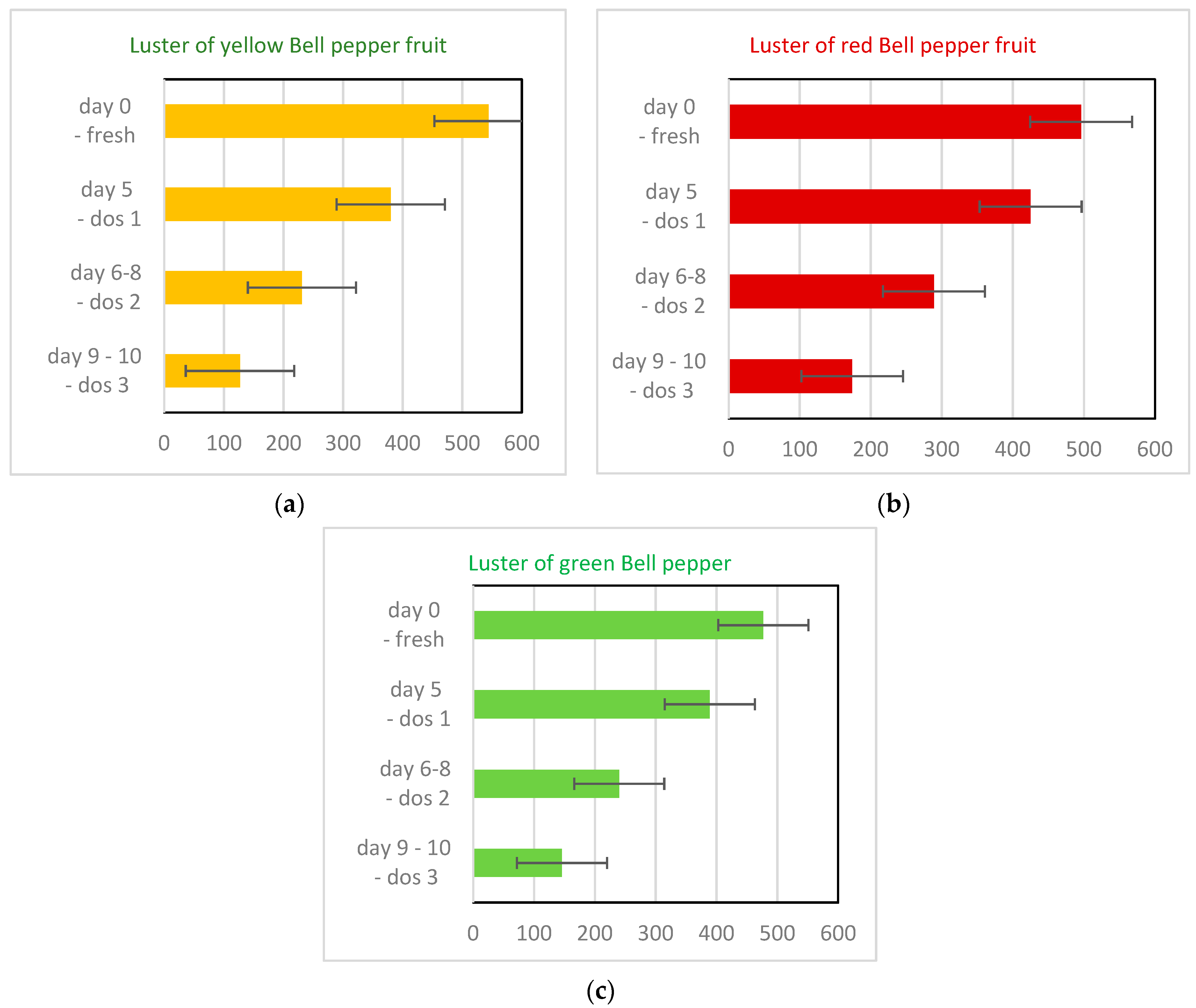
3.2. Gloss Disappearance of the Bell Pepper Fruit—A First Possible Freshness Indicator?
3.3. Sensory Assessment
3.4. Spectral Light Reflectance—Development of a Second Freshness Index
3.5. Third Freshness Index
4. Discussion
5. Conclusions
Author Contributions
Funding
Acknowledgments
Conflicts of Interest
References
- Kader, A.A.; Holcroft, D.M. Postharvest: An Introduction to the Physiology and Handling of Fruit, Vegetables and Ornamentals. Horttech 1999, 9, 299. [Google Scholar] [CrossRef] [Green Version]
- Kays, S.J. Preharvest factors affecting appearance. Postharvest Biol. Technol. 1999, 15, 233–247. [Google Scholar] [CrossRef]
- Salunkhe, D.K.; Desai, R.B. Pepper. In Postharvest Biotechnology of Vegetables; CRC: Boca Raton, FL, USA, 1984; Volume II, Chapter 5; pp. 49–58. [Google Scholar]
- Althaus, B.; Blanke, M. Non-destructive, opto-electronic determination of the freshness and shrivel of Bell pepper fruits. J. Imaging 2020, 6, 112. [Google Scholar] [CrossRef] [PubMed]
- Schüsseler, M.; Damerow, L.; Blanke, M.M. Does colouration affect non-invasive determination of russet on pome fruits? Postharvest Biol. Technol. 2019, 152, 54–59. [Google Scholar] [CrossRef]
- Blanke, M.M.; Holthe, P.A. Bioenergetics, maintenance respiration and transpiration of pepper fruits. J. Plant Physiol. 1997, 150, 247–250. [Google Scholar] [CrossRef]
- Blanke, M.; Lenz, F. Fruit photosynthesis. Plant Cell Environ. 1989, 12, 31–46. [Google Scholar] [CrossRef]
- Czieczor, L.; Bentkamp, C.; Damerow, L.; Blanke, M.M. Non-invasive determination of the quality of pomegranate fruit. Postharvest Biol. Technol. 2018, 136, 74–79. [Google Scholar] [CrossRef]
- Klemm, M.; Röttger, O.; Damerow, L.; Blanke, M.M. Non-Invasive Examination of Plant Surfaces by Opto-Electronic Means--Using Russet as a Prime Example. Sensors 2016, 16, 452. [Google Scholar] [CrossRef] [PubMed] [Green Version]
- Hiepler, C. Capsaicinoide in Capsicum-Früchten Definierter Herkunft und Ihre Stabilität bei Verarbeitung und Lagerung. Ph.D. Thesis, Hrsg. v. Bergische Universität Wuppertal, Wuppertal, Germany, 2004. Available online: http://elpub.bib.uni-wuppertal.de/edocs/dokumente/fbc/chemie/diss2004/hiepler/dc0405.pdf (accessed on 25 September 2020).
- Ziegler, H.; Schäfer, E.; Schneider, M.M. Some metabolic changes during chIoroplast-chromoplast transition in Capsicum annuum. Physiol. Veg. 1983, 21, 485–494. [Google Scholar]
- Overbeck, V.; Schmitz, M.; Blanke, M.M. Non-destructive sensor-based prediction of maturity and optimum harvest date in sweet cherry (Prunus avium L.). Sensors 2017, 17, 277. [Google Scholar] [CrossRef] [Green Version]
- Ringer, T.; Damerow, L.; Blanke, M.M. Non-invasive determination of surface features of banana during ripening. J. Food Sci. Technol. 2018, 55, 4197–4203. [Google Scholar] [CrossRef]
- Oomens, J.; Zuckermann, H.; Persijn, S.; Parker, D.H.; Harren, F.J.M. CO-laser-based photoacoustic trace gas detection: Applications in post-harvest physiology. Appl. Phys. 1998, 67, 459–466. [Google Scholar] [CrossRef]
- Blanke, M.M. Comparative SEM study of the surface morphology of two Solanaceae fruits, tomato and aubergine. Ejhs-Gartenbauwissenschaft. 1986, 51, 225–230. [Google Scholar]
- Mizrach, A.; Lu, R.; Rubino, M. Gloss Evaluation of Curved-surface Fruits and Vegetables. Food Bioprocess Technol. 2009, 2, 300–307. [Google Scholar] [CrossRef]








| Criterium | Explanation |
|---|---|
| twofold increase or decrease in values | adequate differentiation of values |
| No peak, no trough | values do not appear twice |
| non-invasive, affordable | Real-time, in-situ |
| Colour of Bell Pepper | Day 0 (Fresh) | Day 5 (dos 1) | Day 6-8 (dos 2) | Day 9-10 (dos 3) |
|---|---|---|---|---|
| Yellow Bell pepper | 524–564 | 422–502 | 231–260 | 105–171 |
| Red Bell pepper | 486–502 | 424–465 | 274–344 | 139–210 |
| Green Bell pepper | 463–490 | 389–422 | 207–290 | 109–183 |
| Parameter | Day 0 (Fresh) | Day 5 (dos 1) | Day 6–8(dos 2) | Day 9–10 (dos 3) | Day 12 (dos 4) |
|---|---|---|---|---|---|
| Fruit surface | smooth, glossy | Loss of gloss | Loss of gloss | Completely | |
| Shrinkage | NO | Starts reversible | slight | shriveled | |
| Resistance to indentation | high | large | moderate | NO | NO |
| Pulp | firm | firm | firm pulp | soft pulp | squashy |
| Colour of Bell Pepper | Day 0 (Fresh) | Day 6 (d.o.s. 2) | Day 12 (d.o.s. 4) |
|---|---|---|---|
| Yellow Bell pepper | 42.2% | 38.6% | 21.1% |
| Red Bell pepper | 40.4% | 32.0% | 20.7% |
| Green Bell pepper | 16.2% | 11.1% | 7.8% |
Publisher’s Note: MDPI stays neutral with regard to jurisdictional claims in published maps and institutional affiliations. |
© 2021 by the authors. Licensee MDPI, Basel, Switzerland. This article is an open access article distributed under the terms and conditions of the Creative Commons Attribution (CC BY) license (https://creativecommons.org/licenses/by/4.0/).
Share and Cite
Althaus, B.; Blanke, M. Development of a Freshness Index for Fruit Quality Assessment—Using Bell Pepper as a Case Study. Horticulturae 2021, 7, 405. https://doi.org/10.3390/horticulturae7100405
Althaus B, Blanke M. Development of a Freshness Index for Fruit Quality Assessment—Using Bell Pepper as a Case Study. Horticulturae. 2021; 7(10):405. https://doi.org/10.3390/horticulturae7100405
Chicago/Turabian StyleAlthaus, Bernhard, and Michael Blanke. 2021. "Development of a Freshness Index for Fruit Quality Assessment—Using Bell Pepper as a Case Study" Horticulturae 7, no. 10: 405. https://doi.org/10.3390/horticulturae7100405
APA StyleAlthaus, B., & Blanke, M. (2021). Development of a Freshness Index for Fruit Quality Assessment—Using Bell Pepper as a Case Study. Horticulturae, 7(10), 405. https://doi.org/10.3390/horticulturae7100405

