Biostimulant Application as a Tool to Improve Rooting of Olive Tree Cuttings in Brazil
Abstract
1. Introduction
2. Materials and Methods
2.1. Location and Climatic Conditions
2.2. Plant Material, Treatments, and Growing Conditions
2.3. Experimental Design, Parameters, and Data Analysis
3. Results
3.1. Percentage of Rooted Cuttings and Unrooted Cuttings
3.2. Number of Roots and Length of Roots
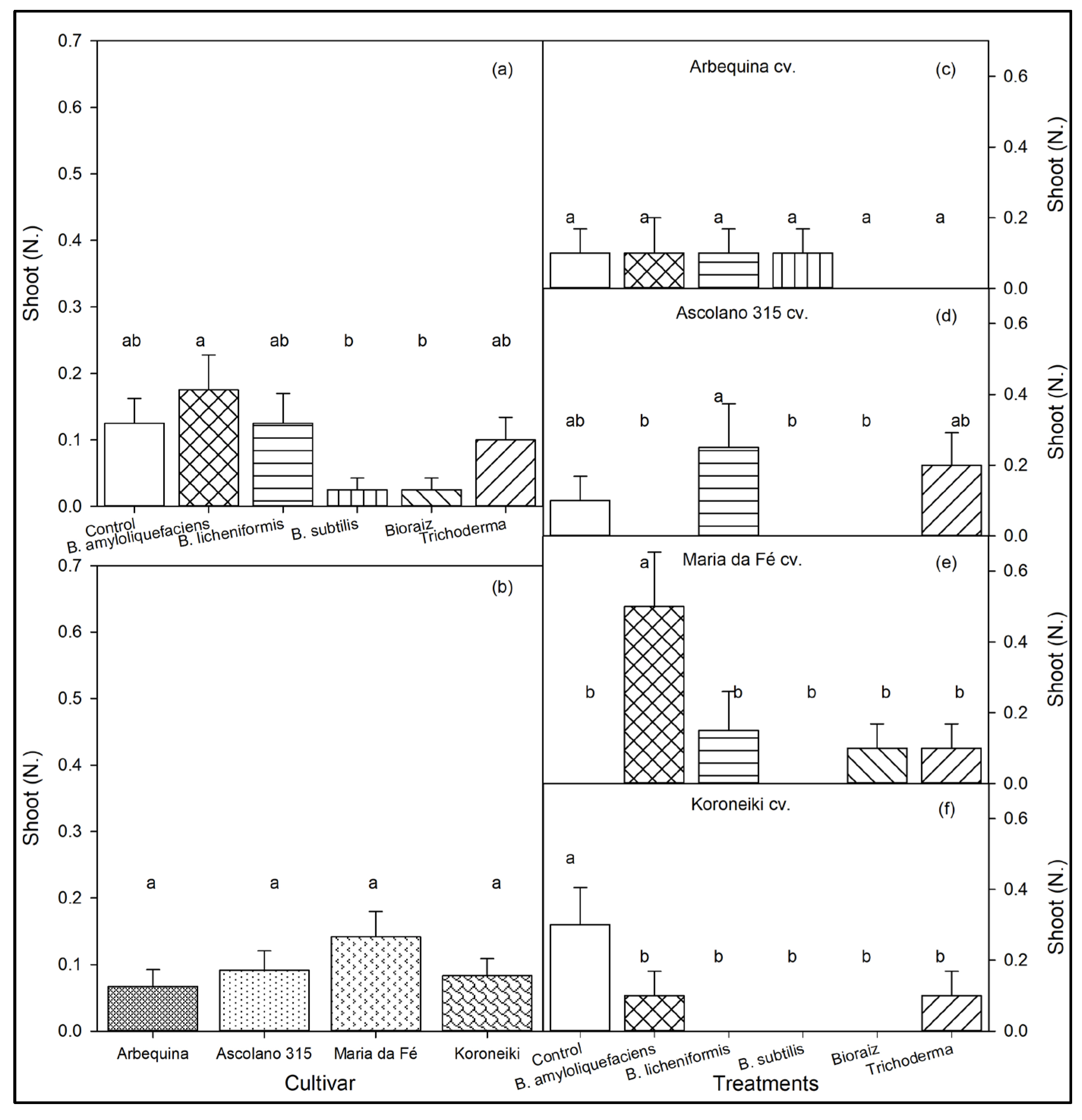
3.3. Number of Shoots, Shoot Length, and Shoot Diameter
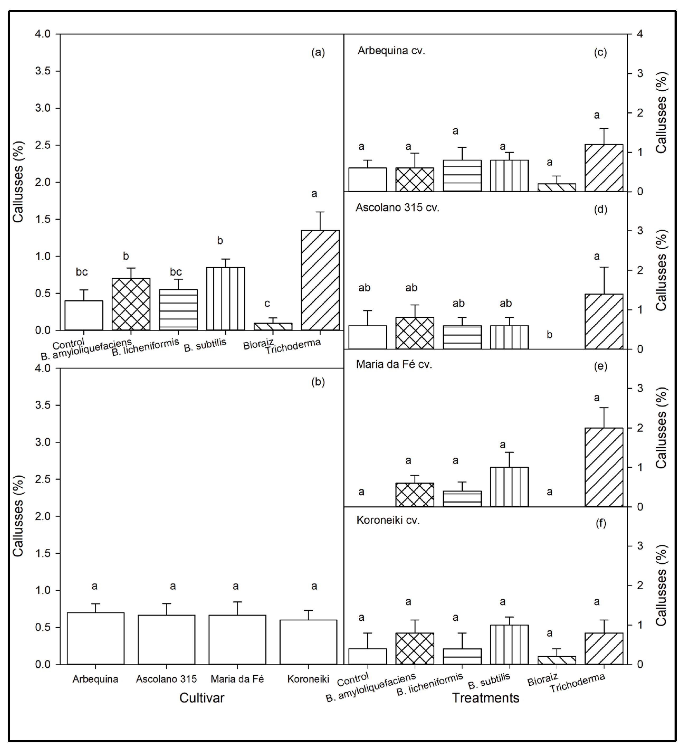
3.4. Number of Calluses and Percentage of Calluses
3.5. Shooting Index and Root Index
3.6. PCA
4. Discussion
5. Conclusions
Supplementary Materials
Author Contributions
Funding
Data Availability Statement
Conflicts of Interest
References
- Chacon-Ortiz, A.; Maia, L.C.; Oliveira, A.C.; Perruolo, G.; Pegoraro, C. Olive trees in the world. Past and present with future perspectives. Rev. Ciências Agroveterinárias 2024, 23, 143–152. [Google Scholar] [CrossRef]
- Rocha, T.P.; Barata, A.J.T.S.S.; Alves, R.R. Sale of Extra Virgin Olive Oil in The World. Sci. J. Appl. Soc. Clin. Sci. 2024, 4, 2–6. [Google Scholar] [CrossRef]
- Ali, M.H.; Ahmad, W.; Usman, M. Rooting ability of different olive cultivars through cuttings in basal heating system. Int. J. Res. Sch. 2019, 3, 1–4. [Google Scholar]
- Schuch, M.W.; Tomaz, Z.F.P.; Casarin, J.V.; Moreira, R.M.; Silva, J.B. Advances in vegetative propagation of olive tree. Rev. Bras. Frutic. 2019, 41, e-003. [Google Scholar] [CrossRef]
- Foladori-Invernizzi, S.; Maggioni, R.; Zuffelato-Ribas, K.C. Estado da arte da propagação vegetativa por estaquia de espécies arbustivo-arbóreas. Rev. Eletrônica Científica UERGS 2021, 7, 50–63. [Google Scholar] [CrossRef]
- Ritter, G.; Villa, F.; Silva, D.F.; Alberton, O.; Menegusso, F.J.; Eberling, T.; Dória, J. Microbiological biostimulant promotes rooting of olive cuttings. Int. J. Agric. Biol. Eng. 2021, 14, 207–212. [Google Scholar] [CrossRef]
- Citernesi, A.S.; Vitagliano, C.; Giovannetti, M. Plant growth and root system morphology of Olea europaea L. rooted cuttings as influenced by arbuscular mycorrhizas. J. Hortic. Sci. Biotechnol. 1998, 73, 647–654. [Google Scholar] [CrossRef]
- Montero-Calasanz, M.C.; Göker, C.; Rohde, M.; Spröer, C.; Schumann, P.; Busse, H.J.; Schmid, M.; Tindall, B.J.; Klenk, H.P.; Camacho, M. Chryseobacterium hispalense sp. nov., a plant-growth-promoting bacterium isolated from a rainwater pond in an olive plant nursery, and emended descriptions of Chryseobacterium defluvii, Chryseobacterium indologenes, Chryseobacterium wanjuense and Chryseobacterium gregarium. Int. J. Syst. Evol. Microbiol. 2013, 63, 4386–4395. [Google Scholar] [CrossRef]
- Rashedy, A.; Hamed, H.H.; Eldeeb, W.A.M. Antioxidant procedure improve olive cuttings rooting during the cool season. Egypt. J. Hortic. 2021, 48, 267–275. [Google Scholar] [CrossRef]
- Shereen, A.S. Rooting ability of some olive genotypes by sub-terminal cuttings. J. Hortic. Sci. Ornam. Plants 2019, 11, 27–37. [Google Scholar]
- Lambardi, M.; Fabbri, A.; Micheli, M.; Vitale, A. Olive propagation and nursery. In The Olive Botany and Production; Fabbri, A., Baldoni, L., Caruso, T., Famiani, F., Eds.; CAB International: Wallingford, UK, 2023; pp. 228–256. [Google Scholar] [CrossRef]
- Villa, F.; Silva, D.F.; Dall’Oglio, P.; Potrich, C.; Menegusso, F.J. Performance of substrates in rooting capacity of olive tree cuttings. Rev. Ciências Agroveterinárias 2017, 16, 95–101. [Google Scholar] [CrossRef]
- Dalla Rosa, D.; Silva, D.F.; Corbari, F. Rooting semihardwood cuttings of olive: Indolbutyric acid, calcium and Azospirillum brasilense. Comun. Sci. 2018, 9, 34–40. [Google Scholar] [CrossRef][Green Version]
- Ferreira, G.M.R.; Silva, L.F.O.; Pasqual, M.; Melloni, R.; Luz, J.M.Q.; Dória, J. Microbial biostimulants as alternatives for the rooting of olive tree cuttings. Biosci. J. 2022, 38, e38091. [Google Scholar] [CrossRef]
- Areek, F.; Seifi, E.; Alizadeh, M.; Olamaee, M.; Malekzadeh, E. Effects of PGPR inoculation on adventitious rooting and growth attributes in olive microcuttings of ‘Mission’ and ‘Koroneiki’ cultivars. J. Hortic. Postharvest Res. 2025, 8, 335–350. [Google Scholar] [CrossRef]
- Costa, S.M.L.; Melloni, R. Relação de fungos micorrízicos arbusculares e rizobactérias no crescimento de mudas de oliveira (Olea europaea). Ciência Florest. 2019, 29, 169–180. [Google Scholar] [CrossRef]
- Meyer-Ficca, M.; Kirkland, J.B.N. Niacin. Adv. Nutr. 2016, 7, 556–558. [Google Scholar] [CrossRef]
- Trivedi, P.; Leach, J.E.; Tringe, S.G.; Sa, T.; Singh, B.K. Plant–microbiome interactions: From community assembly to plant health. Nat. Rev. Microbiol. 2020, 18, 607–621. [Google Scholar] [CrossRef]
- Biswas, A.; Sarkar, D.; Ullah, H.; Himanshu, S.K.; Praseartkul, P.; Tisarum, R.; Datta, A. Exogenous application of silicon and methyl jasmonate alleviates drought-induced stress in sweet Basil plants by improving morpho-physio-biochemical attributes. J. Soil Sci. Plant Nutr. 2025, 25, 9713–9727. [Google Scholar] [CrossRef]
- Ramos-Cruz, D.; Troyee, A.N.; Becker, C. Epigenetics in plant organismic interactions. Curr. Opin. Plant Biol. 2021, 61, 102060. [Google Scholar] [CrossRef]
- Pirog, T.P.; Piatetska, D.V.; Klymenko, N.O.; Iutynska, H.O. Ways of auxin biosynthesis in microorganisms. Microbiol. J. 2022, 84, 57–72. [Google Scholar] [CrossRef]
- Ali, O.; Adesh, R.; Jayaraj, J. Biostimulant properties of seaweed extracts in plants: Implications towards sustainable crop production. Plants 2021, 10, 531. [Google Scholar] [CrossRef] [PubMed]
- Montero-Calasanz, M.C.; Santamaría, C.; Albareda, M.; Daza, A.; Duan, J.; Glick, B.R.; Camacho, M. Alternative rooting induction of semi-hardwood olive cuttings by several auxin-producing bacteria for organic agriculture systems. Span. J. Agric. Res. 2013, 11, 146–154. [Google Scholar] [CrossRef]
- Silva, T.F.; Melloni, R.; Melloni, E.G.P.; Goncalves, E.D. BACTÉRIAS DIAZOTRÓFICAS NÃO SIMBIÓTICAS E ENRAIZAMENTO DE ESTACAS SEMILENHOSAS DE OLIVEIRA (Olea europaea L.). Ciência Florest. 2017, 27, 61–71. [Google Scholar] [CrossRef]
- Mariosa, T.N.; Melloni, E.G.P.; Melloni, R.; Ferreira, G.M.R.; Souza, S.M.P.; Silva, L.F.O. Rizobactérias e desenvolvimen-to de mudas a partir de estacas semilenhosas de oliveira (Olea europaea L.). Amazon. J. Agric. Environ. Sci. 2017, 60, 302–306. [Google Scholar] [CrossRef]
- Melloni, R.; Cardoso, E.J.B.N. Microbiome Associated with Olive Cultivation: A Review. Plants 2023, 12, 897. [Google Scholar] [CrossRef]
- Lopes, J.I.; Correia, C.M.; Gonçalves, A.; Silva, E.; Martins, S.; Arrobas, M.; Rodrigues, M.Â. Arbuscular mycorrhizal fungi inoculation reduced the growth of pre-rooted olive cuttings in a greenhouse. Soil Syst. 2021, 5, 30. [Google Scholar] [CrossRef]
- Ritter, G.; de Vargas, R.J.; Farinelli, D.; Cinosi, N.; Traini, C.; Facchin, S.L.; Villa, F. Application of Azospirillum brasilense and Humic Substances Improves the Nursery Quality of Olive Seedlings in Pots. Horticulturae 2025, 11, 48. [Google Scholar] [CrossRef]
- Fosso, E.; Gizzi, G.; Tartaglia, M.; Prigioniero, A.; Ranauda, M.A.; Maisto, M.; Labella-Ortega, M.; Zuzolo, D.; Guarino, C. Management affects the diversity and functions of root and leaf-associated microbiomes: Implications for olive resilience. Front. Plant Sci. 2026, 16, 1699667. [Google Scholar] [CrossRef]
- Di Vaio, C.; Testa, A.; Cirillo, A.; Conti, S. Slow-release fertilization and Trichoderma harzianum-based biostimulant for the nursery production of young olive trees (Olea europaea L.). Agron. Res. 2021, 19, 1396–1405. [Google Scholar] [CrossRef]
- Mackenzie, A.J. Trichoderma harzianum as a Growth Enhancer of Pot and Cut Floriculture Crops. Master’s Thesis, University of Tennessee, Knoxville, TN, USA, 1995. Available online: https://trace.tennessee.edu/utk_gradthes/6849/ (accessed on 30 December 2025).
- Pio, R.; Bastos, D.C.; Berti, A.J.; Scarpare Filho, J.A.; Mourão Filho, F.D.A.A.; Entelmann, F.A.; Bettiol Neto, J.E. Enraizamento de diferentes tipos de estacas de oliveira (Olea europaea L.) utilizando ácido indolbutírico. Ciência Agrotecnologia 2005, 29, 562–567. [Google Scholar] [CrossRef]
- Rahman, S.U.; Shah, B.H.; Qamar, S.; Alam, R.; Akhtar, W.; Ahmed, I.; Iqbal, M. Comparative influence of different concentrations of indole butyric acid (IBA) on the propagation success of two olive varieties. Sarhad J. Agric. 2025, 41, 709–715. [Google Scholar] [CrossRef]
- Fernandes Serrano, J.M.; Serrano, M.C.; Amaral, E. Effect of different hormone treatments on rooting of Olea europaea cv. Galega vulgar cuttings. In IV International Symposium on Olive Growing; International Society for Horticultural Science: Leuven, Belgium, 2000; Volume 586, pp. 875–877. [Google Scholar] [CrossRef]
- Alvares, C.A. Köppen’s climate classification map for Brazil. Meteorol. Z. 2014, 22, 711–728. [Google Scholar] [CrossRef] [PubMed]
- Di Rienzo, J.A.; Casanoves, F.; Balzarini, M.G.; Gonzalez, L.; Tablada, M.; Robledo, C.W. InfoStat, versión 2020; Centro de Transferencia InfoStat, Facultad de Ciencias Agropecuarias (FCA), Universidad Nacional de Córdoba: Córdoba, Argentina, 2020. [Google Scholar]
- Burin, C.; Batistel, S.C.; Lohmann, G.; Bisognin, D.A. Rooting competence of mini-cuttings of Cabralea canjerana clones in different seasons. Ciência Rural 2020, 50, e20190451. [Google Scholar] [CrossRef]
- Lapa, L.G., Jr. Correlação: Medida de associação entre variáveis. Rev. Mais Educ. 2024, 7, 800–811. [Google Scholar] [CrossRef]
- Behling, M. Relações entre parte aérea e raízes em povoamentos de teca. Rev. Ceres 2018, 65, 463–473. [Google Scholar] [CrossRef]
- Porfírio, S.; da Silva, M.D.G.; Cabrita, M.J.; Azadi, P.; Peixe, A. Reviewing current knowledge on olive (Olea europaea L.) adventitious root formation. Sci. Hortic. 2016, 198, 207–226. [Google Scholar] [CrossRef]
- Inocente, V.H.H.; Nienow, A.A.; Tre, L. Time of treatment with IBA in olive cultivars rooting. Rev. Bras. Frutic. 2018, 40, e-800. [Google Scholar] [CrossRef]
- De Jesus, J.S.; Dorléans, V.R.; Ribeiro, D.P.; Sodré, G.A.; Barbosa, R.M. Mini-cuttings of forest and fruit species. Científica 2020, 48, 67–75. [Google Scholar] [CrossRef][Green Version]
- Rotondi, A.; Lapucci, C.; Morrone, L.; Neri, L. Autochthonous cultivars of Emilia Romagna region and their clones: Comparison of the chemical and sensory properties of olive oils. Food Chem. 2017, 224, 78–85. [Google Scholar] [CrossRef]
- Kaur, A.; Devgan, M.; Sharma, R.; Kumar, A.; Choudhary, A.; Singh, R.P.; Husen, A. Role of biostimulant in adventitious rooting via stimulation of phytohormones. In Biostimulants in Plant Protection and Performance; Elsevier: Amsterdam, The Netherlands, 2024; pp. 237–254. [Google Scholar] [CrossRef]
- Oliveira, M.C.D.; Vieira, J.; Oliveira, R.D.S.; Pio, R.; Oliveira, N.C.D.; Ramos, J.D. Enraizamento de estacas de duas cultivares de oliveira submetidas à aplicação de diferentes fertilizantes. Bragantia 2010, 69, 99–103. [Google Scholar] [CrossRef]
- Maciejewski, P.; Assis, A.M.; Ramm, M.; Oliveira, B.A.S.; Espinosa, S.I.L.; Schuch, M.W. Collection positions in the branch, humic substances and indolebutyric acid in Arbequinaolive minicuttings. Rev. Bras. Frutic. 2021, 43, e-803. [Google Scholar] [CrossRef]
- Denaxa, N.K.; Vemmos, S.N.; Roussos, P.A. The role of endogenous carbohydrates and seasonal variation in rooting ability of cuttings of an easy and a hard to root olive cultivars (Olea europaea L.). Sci. Hortic. 2012, 143, 19–28. [Google Scholar] [CrossRef]
- Denaxa, N.K.; Roussos, P.A.; Vemmos, S.N.; Fasseas, K. Assessing the effect of oxidative enzymes and stem anatomy on adventitious rooting of Olea europaea (L.) leafy cuttings. Span. J. Agric. Res. 2019, 17, e0803. [Google Scholar] [CrossRef]
- Klaram, R.; Jantasorn, A.; Dethoup, T. Efficacy of marine antagonist, Trichoderma spp. as halo-tolerant biofungicide in controlling rice diseases and yield improvement. Biol. Control 2022, 172, 104985. [Google Scholar] [CrossRef]
- Abdelmoaty, S.; Khandaker, M.M.; Mahmud, K.; Majrashi, A.; Alenazi, M.M.; Badaluddin, N.A. Influence of Trichoderma harzianum and Bacillus thuringiensis with reducing rates of NPK on growth, physiology, and fruit quality of Citrus aurantifolia. Braz. J. Biol. 2022, 82, e261032. [Google Scholar] [CrossRef]
- Mehri, H.; Mhanna, K.; Soltane, A. Root growth of arbequina cuttings as influenced by organic and inorganic substrates under the conditions of Al-Jouf (KSA). Am. J. Plant Physiol. 2013, 8, 74–83. [Google Scholar] [CrossRef][Green Version]
- Nadal, M.C.; Ferreira, G.M.R.; Andrade, G.V.S.; Buttrós, V.H.; Rodrigues, F.A.; Silva, C.M.; Martins, A.D.; Rufato, L.; Luz, J.M.Q.; Dória, J. Endophytic bacteria can replace the need for synthetic auxin during In vitro rooting of pyrus communis. Agronomy 2022, 12, 1226. [Google Scholar] [CrossRef]
- Maniriho, F.; Askin, M.; Serdar, H. Effect of Indol-3-butyric acid associated with Bacillus subtilis bacteria on rooting of some Prunus spp rootstock hardwood cuttings. J. Hortic. Postharvest Res. 2021, 4, 1–10. [Google Scholar] [CrossRef]
- Kai, M. Diversity and distribution of volatile secondary metabolites throughout Bacillus subtilis isolates. Front. Microbiol. 2020, 11, 559. [Google Scholar] [CrossRef]
- Azeem, M.; Haider, M.Z.; Javed, S.; Saleem, M.H.; Alatawi, A. Drought Stress Amelioration in Maize (Zea mays L.) by Inoculation of Bacillus spp. strains under sterile soil conditions. Agriculture 2022, 12, 50. [Google Scholar] [CrossRef]
- Guirra, B.S.; Silva, M.F.; Silva, J.E.S.B.; Guirra, K.S. Nutrição da planta matriz determina a qualidade de propágulos. Cad. Ciências Agrárias 2021, 13, 1–6. [Google Scholar] [CrossRef]
- Pires, P.; Wendling, I.; Auer, C.; Brondani, G. Sazonalidade e soluções nutritivas na miniestaquia de Araucaria angustifolia (Bertol.) Kuntze. Rev. Árvore 2015, 39, 283–293. [Google Scholar] [CrossRef]
- Rodrigues, M.Â.; Piroli, L.B.; Forcelini, D.; Raimundo, S.; da Silva Domingues, L.; Cassol, L.C.; Correia, C.M.; Arrobas, M. Use of commercial mycorrhizal fungi in stress-free growing conditions of potted olive cuttings. Sci. Hortic. 2021, 275, 109712. [Google Scholar] [CrossRef]
- Fachinello, J.C.; Hoffmann, A.; Nachtigal, J.C. Propagação de Plantas Frutíferas; Embrapa Informação Tecnológica: Brasília, Brazil, 2005; 221p. [Google Scholar]
- Ritter, G.; Villa, F.; da Silva, D.F.; Eberling, T.; Guimardes, V.F.; da Silva, E.C.; Dória, J. Humic substances and modes of application in the rooting of semihardwood cuttings of two olive cultivars. Comun. Sci. 2023, 14, 1–7. [Google Scholar] [CrossRef]
- Nicoletti, R.; Di Vaio, C.; Cirillo, C. Endophytic fungi of olive tree. Microorganisms 2020, 8, 1321. [Google Scholar] [CrossRef]
- Bizos, G.; Papatheodorou, E.M.; Chatzistathis, T.; Ntalli, N.; Aschonitis, V.G.; Monokrousos, N. The role of microbial inoculants on plant protection, growth stimulation, and crop productivity of the olive tree (Olea europea L.). Plants 2020, 9, 743. [Google Scholar] [CrossRef]
- Hanane, B.; Abdelilah, M.; Said, W.; Abdelmajid, M.; Zainab, E.A.T. Improvement of growth and development of olive tree by mycorrhizal autochthonous inoculum. Res. J. Biotechnol. 2020, 15, 76–84. [Google Scholar] [CrossRef]










| Cultivar/Treatments | Arbequina | Ascolano 315 | Maria da Fè | Koroneiki | Mean’s Treatments | |||||
|---|---|---|---|---|---|---|---|---|---|---|
| Control | 33.3 | ±4.8 bc | 55.6 | ±0.2 a | 50.0 | ±2.2 b | 55.6 | ±0.2 a | 48.6 | ±1.6 B |
| B. amyloliquefaciens | 25.0 | ±3.8 c | 55.5 | ±0.2 a | 47.2 | ±3.3 b | 30.6 | ±4.2 d | 39.6 | ±2.1 C |
| B. licheniformis | 41.7 | ±5.5 b | 55.6 | ±0.4 a | 55.5 | ±0.2 a | 47.2 | ±3.3 bc | 50.0 | ±1.7 B |
| B. subtilis | 41.7 | ±5.5 b | 55.5 | ±0.2 a | 55.6 | ±0.4 a | 52.3 | ±1.1 ab | 51.4 | ±1.5 B |
| Bioraiz | 33.3 | ±5.4 bc | 27.8 | ±2.8 b | 55.4 | ±0.2 a | 44.4 | ±3.1 c | 40.3 | ±2.1 C |
| Trichoderma | 55.6 | ±0.1 a | 55.6 | ±0.3 a | 55.6 | ±0.3 a | 55.6 | ±0.2 a | 55.6 | ±0.3 A |
| Mean’s cultivar | 38.4 | ±2.0 C | 50.9 | ±1.1 A | 53.2 | ±1.3 A | 47.7 | ±0.7 B | ||
| Cultivar/Treatments | Arbequina | Ascolano 315 | Maria da Fè | Koroneiki | Mean’s Treatments | |||||
|---|---|---|---|---|---|---|---|---|---|---|
| Control | 4.6 | ±1.2 ab | 10.3 | ±1.3 ab | 5.6 | ±0.9 ab | 9.2 | ±1.0 b | 7.4 | ±0.6 AB |
| B. amyloliquefaciens | 3.1 | ±1.0 b | 9.6 | ±1.1 abc | 6.9 | ±1.5 ab | 4.6 | ±1.2 b | 6.1 | ±0.7 B |
| B. licheniformis | 5.2 | ±1.0 ab | 6.9 | ±1.0 c | 7.1 | ±1.4 ab | 14.3 | ±3.1 a | 8.4 | ±1.0 A |
| B. subtilis | 4.1 | ±0.9 ab | 12.8 | ±0.9 a | 8.7 | ±0.9 a | 9.5 | ±1.8 b | 7.8 | ±0.7 A |
| Bioraiz | 2.8 | ±0.7 b | 3.1 | ±1.0 d | 4.7 | ±0.6 b | 5.1 | ±0.9 b | 3.9 | ±0.4 C |
| Trichoderma | 6.3 | ±0.7 a | 7.8 | ±1.2 bc | 9.0 | ±1.3 a | 7.7 | ±0.8 b | 7.7 | ±0.5 AB |
| Mean’s cultivar | 4.3 | ±0.4 B | 8.4 | ±0.5 A | 7.0 | ±0.5 A | 8.4 | ±0.7 A | ||
| Cultivar | Person Coefficient | Significance |
|---|---|---|
| Arbequina | 0.3570 | p = 0.0009 |
| Ascolano 315 | 0.0548 | p = 0.5690 |
| Maria da Fé | 0.2130 | p = 0.0225 |
| Koroneiki | 0.2180 | p = 0.0268 |
| Cultivar/Treatments | Arbequina | Ascolano 315 | Maria da Fè | Koroneiki | Mean’s Treatments | |||||
|---|---|---|---|---|---|---|---|---|---|---|
| Control | 0.05 | ±0.03 a | 0.11 | ±0.12 b | 0.00 | ±0.00 b | 0.29 | ±0.08 a | 0.11 | ±0.06 B |
| B. amyloliquefaciens | 0.11 | ±0.03 a | 0.00 | ±0.00 b | 0.85 | ±0.10 a | 0.29 | ±0.06 a | 0.31 | ±0.03 A |
| B. licheniformis | 0.02 | ±0.03 a | 0.48 | ±0.08 a | 0.10 | ±0.08 b | 0.00 | ±0.00 a | 0.15 | ±0.05 B |
| B. subtilis | 0.25 | ±0.03 a | 0.00 | ±0.00 b | 0.00 | ±0.00 b | 0.00 | ±0.00 a | 0.06 | ±0.04 B |
| Bioraiz | 0.00 | ±0.00 a | 0.00 | ±0.00 b | 0.15 | ±0.15 b | 0.00 | ±0.00 a | 0.04 | ±0.09 B |
| Trichoderma | 0.00 | ±0.00 a | 0.25 | ±0.17 ab | 0.22 | ±0.11 b | 0.18 | ±0.09 a | 0.16 | ±0.06 B |
| Mean’s cultivar | 0.07 | ±0.04 B | 0.14 | ±0.04 AB | 0.22 | ±0.05 A | 0.12 | ±0.05 AB | ||
| Cultivar/Treatments | Arbequina | Ascolano 315 | Maria da Fè | Koroneiki | Mean’s Treatments | |||||
|---|---|---|---|---|---|---|---|---|---|---|
| Control | 0.15 | ±0.05 a | 0.15 | ±0.10 ab | 0.00 | ±0.00 b | 0.10 | ±0.10 a | 0.10 | ±0.04 BC |
| B. amyloliquefaciens | 0.15 | ±0.10 a | 0.20 | ±0.08 ab | 0.15 | ±0.05 b | 0.20 | ±0.08 a | 0.18 | ±0.04 B |
| B. licheniformis | 0.20 | ±0.08 a | 0.15 | ±0.05 ab | 0.10 | ±0.06 b | 0.10 | ±0.10 a | 0.14 | ±0.04 BC |
| B. subtilis | 0.20 | ±0.05 a | 0.15 | ±0.05 ab | 0.25 | ±0.10 b | 0.25 | ±0.05 a | 0.21 | ±0.03 B |
| Bioraiz | 0.05 | ±0.05 a | 0.00 | ±0.00 b | 0.00 | ±0.00 b | 0.05 | ±0.05 a | 0.03 | ±0.02 C |
| Trichoderma | 0.30 | ±0.10 a | 0.35 | ±0.17 a | 0.50 | ±0.13 a | 0.20 | ±0.08 a | 0.34 | ±0.06 A |
| Mean’s cultivar | 0.18 | ±0.03 A | 0.17 | ±0.04 A | 0.17 | ±0.05 A | 0.15 | ±0.03 A | ||
| Cultivar/Treatments | Arbequina | Ascolano 315 | Maria da Fè | Koroneiki | Mean’s Treatments | |||||
|---|---|---|---|---|---|---|---|---|---|---|
| Control | 0.043 | ±0.03 a | 0.098 | ±0.01 b | 0.000 | ±0.00 b | 0.401 | ±0.24 a | 0.135 | ±0.07 B |
| B. amyloliquefaciens | 0.105 | ±0.01 a | 0.000 | ±0.00 b | 1.064 | ±0.63 a | 0.301 | ±0.30 a | 0.367 | ±0.08 A |
| B. licheniformis | 0.035 | ±0.04 a | 0.457 | ±0.27 a | 0.060 | ±0.06 b | 0.000 | ±0.00 a | 0.138 | ±0.08 B |
| B. subtilis | 0.208 | ±0.04 a | 0.000 | ±0.00 b | 0.000 | ±0.00 b | 0.000 | ±0.00 a | 0.052 | ±0.05 B |
| Bioraiz | 0.000 | ±0.00 a | 0.000 | ±0.00 b | 0.153 | ±0.15 b | 0.000 | ±0.00 a | 0.038 | ±0.04 B |
| Trichoderma | 0.000 | ±0.00 a | 0.025 | ±0.03 b | 0.163 | ±0.16 b | 0.263 | ±0.26 a | 0.113 | ±0.08 B |
| Mean’s cultivar | 0.065 | ±0.04 B | 0.097 | ±0.05 AB | 0.240 | ±0.13 A | 0.161 | ±0.08 AB | ||
Disclaimer/Publisher’s Note: The statements, opinions and data contained in all publications are solely those of the individual author(s) and contributor(s) and not of MDPI and/or the editor(s). MDPI and/or the editor(s) disclaim responsibility for any injury to people or property resulting from any ideas, methods, instructions or products referred to in the content. |
© 2026 by the authors. Licensee MDPI, Basel, Switzerland. This article is an open access article distributed under the terms and conditions of the Creative Commons Attribution (CC BY) license.
Share and Cite
Vargas, R.J.d.; Farinelli, D.; Sackser, L.H.K.; Sonego, R.A.; Homo, E.P.; Silva, D.R.F.d.; Facchin, S.L.; Traini, C.; Silva, D.F.d.; Portarena, S.; et al. Biostimulant Application as a Tool to Improve Rooting of Olive Tree Cuttings in Brazil. Horticulturae 2026, 12, 218. https://doi.org/10.3390/horticulturae12020218
Vargas RJd, Farinelli D, Sackser LHK, Sonego RA, Homo EP, Silva DRFd, Facchin SL, Traini C, Silva DFd, Portarena S, et al. Biostimulant Application as a Tool to Improve Rooting of Olive Tree Cuttings in Brazil. Horticulturae. 2026; 12(2):218. https://doi.org/10.3390/horticulturae12020218
Chicago/Turabian StyleVargas, Rodrigo José de, Daniela Farinelli, Larissa Hiromi Kiahara Sackser, Renan Araujo Sonego, Esperança Paulo Homo, Debora Regina Ferreira da Silva, Simona Lucia Facchin, Chiara Traini, Daniel Fernandes da Silva, Silvia Portarena, and et al. 2026. "Biostimulant Application as a Tool to Improve Rooting of Olive Tree Cuttings in Brazil" Horticulturae 12, no. 2: 218. https://doi.org/10.3390/horticulturae12020218
APA StyleVargas, R. J. d., Farinelli, D., Sackser, L. H. K., Sonego, R. A., Homo, E. P., Silva, D. R. F. d., Facchin, S. L., Traini, C., Silva, D. F. d., Portarena, S., & Villa, F. (2026). Biostimulant Application as a Tool to Improve Rooting of Olive Tree Cuttings in Brazil. Horticulturae, 12(2), 218. https://doi.org/10.3390/horticulturae12020218

