Nutrient Use Efficiency in Yacon Potato Under Varying NPK Fertilization Rates
Abstract
1. Introduction
2. Materials and Methods
3. Results
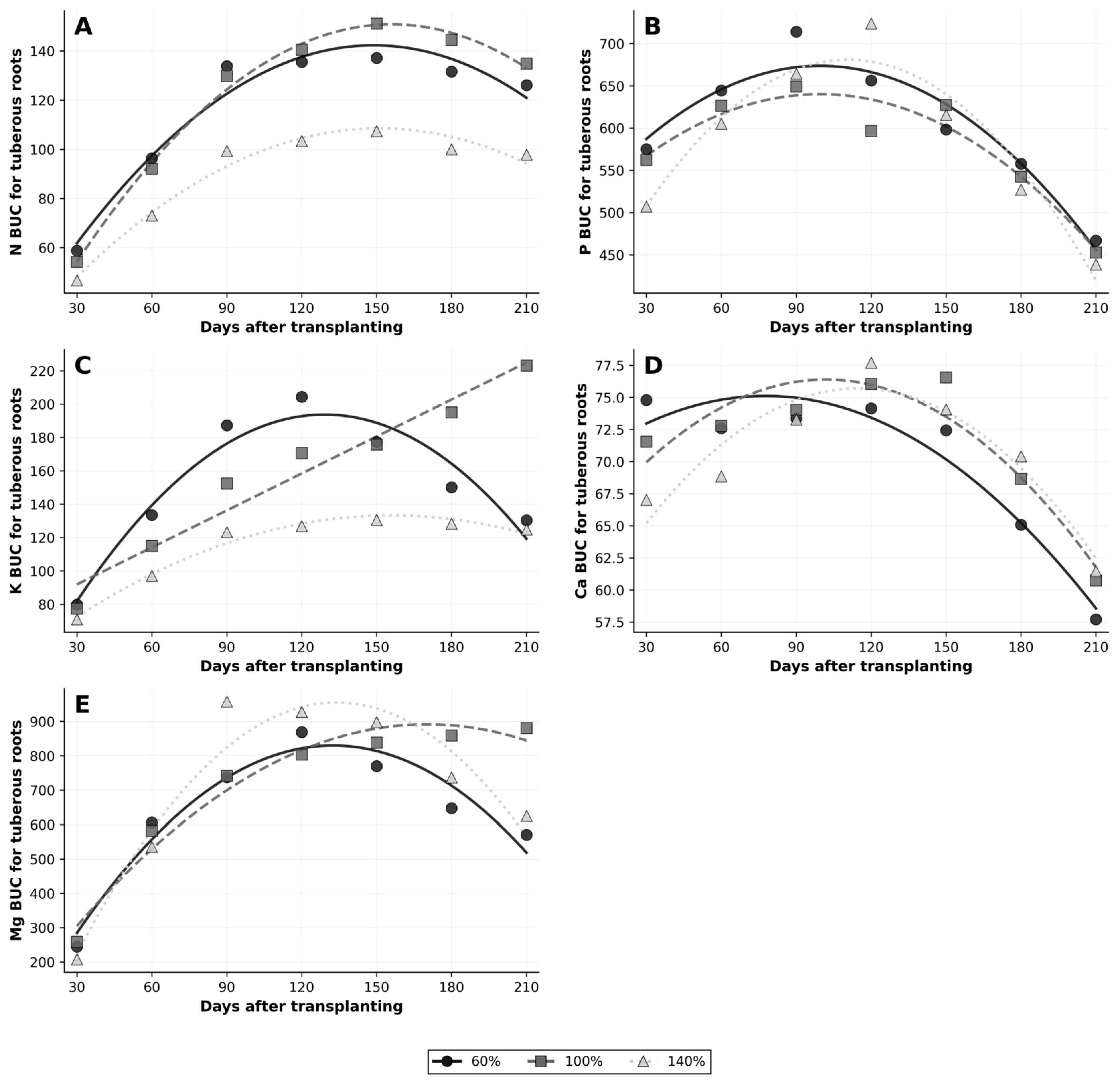
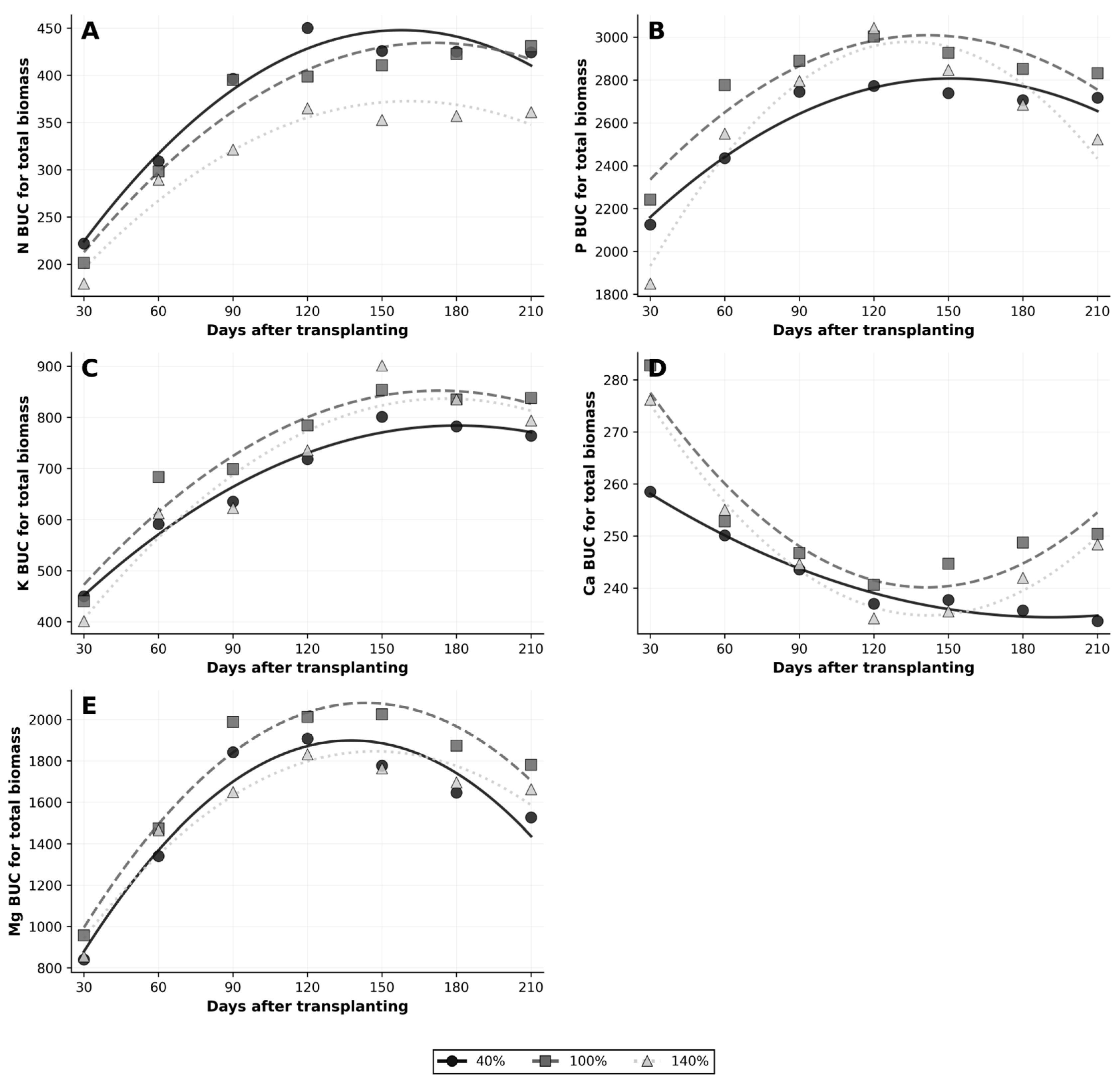
3.1. Biomass Total Production
3.1.1. Biological Utilization Coefficients of Macronutrients

| Nutrient | Fertilization Dose | Equation | R2 |
|---|---|---|---|
| Macronutrients | |||
| N | 1 60 | * y = −0.013703x2 + 4.3226x + 106.86 | 0.96 |
| 1 100 | * y = −0.011235x2 + 3.8301x + 107.95 | 0.95 | |
| 1 140 | * y = −0.010329x2 + 3.3250x + 104.98 | 0.94 | |
| P | 1 60 | * y = −0.044047x2 + 13.3219x + 1799.83 | 0.92 |
| 1 100 | * y = −0.054178x2 + 15.3321x + 1924.19 | 0.88 | |
| 1 140 | * y = −0.095763x2 + 25.7694x + 1244.90 | 0.93 | |
| K | 1 60 | * y = −0.0147x2 + 5.3018x + 305.83 | 0.97 |
| 1 100 | * y = −0.018587x2 + 6.4280x + 296.48 | 0.94 | |
| 1 140 | * y = −0.020338x2 + 7.1455x + 209.05 | 0.91 | |
| Ca | 1 60 | * y = 0.00091168x2 + −0.3488x + 267.78 | 0.97 |
| 1 100 | * y = 0.0030295x2 + −0.8548x + 300.45 | 0.88 | |
| 1 140 | * y = 0.0032498x2 + −0.9212x + 300.05 | 0.98 | |
| Mg | 1 60 | * y = −0.088077x2 + 24.2381x + 231.30 | 0.93 |
| 1 100 | * y = −0.084619x2 + 24.2483x + 343.59 | 0.95 | |
| 1 140 | * y = −0.065738x2 + 19.3454x + 422.71 | 0.93 | |
3.1.2. Biological Utilization Coefficients of Micronutrients

| Nutrient | Fertilization Dose | Equation | R2 |
|---|---|---|---|
| Micronutrients | |||
| Mn | 1 60 | * y = 0.010224x2 + −1.0817x + 405.88 | 0.95 |
| 2 100 | * y = 0.5264x + 401.12 | 0.96 | |
| 1 140 | * y = −0.0068749x2 + 2.8116x + 193.67 | 0.91 | |
| Zn | 1 60 | * y = 0.011192x2 + −3.0505x + 459.15 | 0.97 |
| 1 100 | * y = 0.019877x2 + −4.7769x + 539.91 | 0.91 | |
| 1 140 | * y = 0.011248x2 + −2.9409x + 466.41 | 0.94 | |
| Cu | 1 60 | * y = 0.060844x2 + −15.9831x + 1682.34 | 0.94 |
| 1 100 | * y = 0.056726x2 + −15.3866x + 1793.89 | 0.96 | |
| 1 140 | * y = 0.069986x2 + −16.3194x + 1567.22 | 0.90 | |
| Fe | 1 60 | * y = −0.00063469x2 + 0.1911x + 2.61 | 0.92 |
| 1 100 | * y = −0.00066363x2 + 0.1973x + 1.55 | 0.92 | |
| 1 140 | * y = −0.0011567x2 + 0.3362x + −4.43 | 0.97 | |
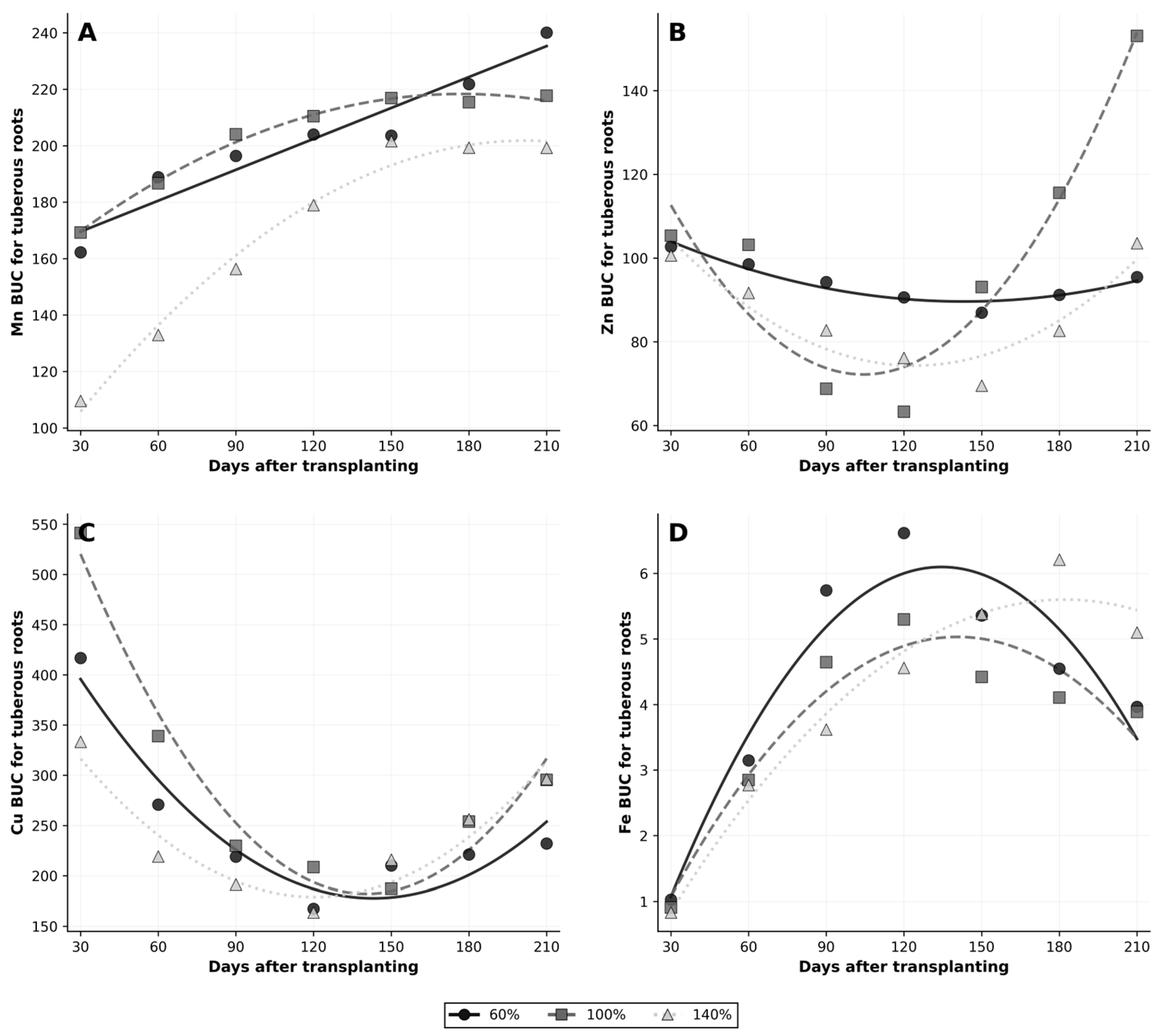
3.2. For Biomass Tuberous Roots Production
3.2.1. Biological Utilization Coefficients of Macronutrients

| Nutrient | Fertilization Dose | Equation | R2 |
|---|---|---|---|
| Macronutrients | |||
| N | 1 60 | * y = −0.0056993x2 + 1.6962x + 16.08 | 0.95 |
| 1 100 | * y = −0.006078x2 + 1.8969x + 2.80 | 0.99 | |
| 1 140 | * y = −0.0041161x2 + 1.2443x + 14.48 | 0.97 | |
| P | 1 60 | * y = −0.017888x2 + 3.5622x + 496.36 | 0.92 |
| 1 100 | * y = −0.015083x2 + 3.0027x + 490.75 | 0.91 | |
| 1 140 | * y = −0.026541x2 + 5.8816x + 355.09 | 0.93 | |
| K | 1 60 | * y = −0.01138x2 + 2.9391x + 3.94 | 0.92 |
| 2 100 | * y = 0.7387x + 69.77 | 0.95 | |
| 1 140 | * y = −0.0038317x2 + 1.1951x + 40.10 | 0.97 | |
| Ca | 1 60 | * y = −0.00094552x2 + 0.1469x + 69.41 | 0.92 |
| 1 100 | * y = −0.0012494x2 + 0.2544x + 63.44 | 0.88 | |
| 1 140 | * y = −0.0014602x2 + 0.3353x + 56.46 | 0.89 | |
| Mg | 1 60 | * y = −0.051857x2 + 13.7450x + −81.02 | 0.93 |
| 1 100 | * y = −0.029846x2 + 10.1603x + 26.86 | 0.96 | |
| 1 140 | * y = −0.067658x2 + 18.1382x + −260.28 | 0.92 | |

3.2.2. Biological Utilization Coefficients of Micronutrients

| Nutrient | Fertilization Dose | Equation | R2 |
|---|---|---|---|
| Micronutrients | |||
| Mn | 2 60 | * y = 0.3653x + 158.58 | 0.9243 |
| 1 100 | * y = −0.002248x2 + 0.7963x + 147.82 | 0.99 | |
| 1 140 | * y = −0.003249x2 + 1.3120x + 69.33 | 0.9837 | |
| Zn | 1 60 | * y = 0.0011188x2 + −0.3207x + 112.59 | 0.9209 |
| 1 100 | * y = 0.0073203x2 + −1.5278x + 151.90 | 0.9083 | |
| 1 140 | * y = 0.0034308x2 + −0.8503x + 126.98 | 0.8708 | |
| Cu | 1 60 | * y = 0.017029x2 + −4.8757x + 526.71 | 0.913 |
| 1 100 | * y = 0.02776x2 + −7.7941x + 729.19 | 0.9664 | |
| 1 140 | * y = 0.016812x2 + −4.0497x + 422.82 | 0.902 | |
| Fe | 1 60 | * y = −0.0004604x2 + 0.1239x + −2.23 | 0.9115 |
| 1 100 | * y = −0.00032301x2 + 0.0909x + −1.36 | 0.9147 | |
| 1 140 | * y = −0.00020614x2 + 0.0750x + −1.22 | 0.9669 | |
4. Discussion
5. Conclusions
Author Contributions
Funding
Data Availability Statement
Conflicts of Interest
References
- Grancieri, M.; Viana, M.L.; de Oliveira, D.F.; Vaz Tostes, M.d.G.; Costa Ignacchiti, M.D.; Costa, A.G.V.; Brunoro Costa, N.M. Yacón (Smallanthus sonchifolius) Flour Reduces Inflammation and Had No Effects on Oxidative Stress and Endotoxemia in Wistar Rats with Induced Colorectal Carcinogenesis. Nutrients 2023, 15, 3281. [Google Scholar] [CrossRef] [PubMed]
- Yan, M.R.; Welch, R.; Rush, E.C.; Xiang, X.; Wang, X. A sustainable wholesome foodstuff: Health effects and potential dietotherapy applications of yacon. Nutrients 2019, 11, 2632. [Google Scholar] [CrossRef] [PubMed]
- Teixeira, G.C.M.; Gonzalez-Porras, C.V.; Messias Ferreira, P.; Prado, R.D.M.; Silva Oliveira, K.; Carvalho, L.T.d.S.; Palaretti, L.F. Increased absorption and use of nutrients induced by Si is an indicator for tolerance to water deficit in a common bean cultivar cultivated in the field with and without application of K. Front. Plant Sci. 2024, 15, 1421615. [Google Scholar] [CrossRef]
- Montiel, V.N. El Cultivo de Yacon; Boletín Técnico n. 35; Instituto Nacional de Investigación Agraria: Lima, Peru, 1996; 19p. [Google Scholar]
- Vilhena, S.M.C.; Câmara, F.L.A.; Kakihara, S.T. O cultivo de yacon no Brasil. Hortic. Bras. 2000, 18, 5–8. [Google Scholar] [CrossRef]
- Amaya, J.E.; Câmara, F. Efectos de dosis crecientes de nitrógeno y potasio en la calidad y productividad de yacon (Polymnia sonchifolia Poep. & Endl). In Simposio Latinoamericano de Raices y Tuberculos, II; Universidad Nacional Agraria La Molina, Anais; Centro Internacional de la Papa (CIP): Lima, Peru, 2001. [Google Scholar]
- Kruger, F.G.Q. Adubação Mineral, Orgânica e Biodinâmica de Yacon (Polymnia sonchifolia POEP & ENDL): Rendimento, Qualidade e Armazenamento. Tese Doutorado, Universidade Estadual Paulista “Júlio de Mesquita Filho”, Botucatu, SP, Brazil, 2003. [Google Scholar]
- Govindasamy, P.; Muthusamy, S.K.; Bagavathiannan, M.; Mowrer, J.; Jagannadham, P.T.K.; Maity, A.; Halli, H.M.; GK, S.; Vadivel, R.; TK, D.; et al. Nitrogen use efficiency—A key to enhance crop productivity under a changing climate. Front. Plant Sci. 2023, 14, 1121073. [Google Scholar] [CrossRef] [PubMed]
- Chen, G.; Gui, J.; Qing, C.-X.; Huang, D.-L.; Liao, F.; Yang, L. Evaluating the impact of biochar on biomass and nitrogen use efficiency of sugarcane using 15N tracer method. Front. Agron. 2022, 4, 989993. [Google Scholar] [CrossRef]
- Simoes, P.H.O.; de Paula, M.T.; de Araujo, D.G.; de Souza, L.C.; Lima, C.C.; Palheta, L.F.; de Oliveira Neto, C.F.; de Carvalho, O.P. Biological use coefficient of biomass of Tachigali vulgaris under phosphorus and potassium fertilization: Management technologies for sustainable production of bioenergy in tropical countries. Aust. J. Crop Sci. 2022, 16, 637–648. [Google Scholar] [CrossRef]
- Marschner, P. (Ed.) Marschner’s Mineral Nutrition of Higher Plants, 3rd ed.; Academic Press: London, UK, 2012. [Google Scholar]
- Dos Santos, H.G.; Jacomine, P.K.T.; Dos Anjos, L.H.C.; De Oliveira, V.A.; Lumbreras, J.F.; Coelho, M.R.; De Almeida, J.A.; De Araujo Filho, J.C.; Lima, H.N.; Marques, F.A.; et al. Sistema Brasileiro de Classificação de Solos, 6th ed; EMBRAPA Solos: Rio de Janeiro, Brasil, 2025; 393p. [Google Scholar]
- Pedrosa, J.L.F.; Oliveira, F.L.; Zucoluto, M.; Teixeira, A.G.; Parajara, M.C.; Tomaz, M.A. Yacon (Smallanthus sonchifolius), propagation from rhizophores with diferente numbers of buds. Rev. Fac. Cienc. Agrar. Univ. Nac. Cuyo 2020, 53, 52–63. Available online: https://revistas.uncu.edu.ar/ojs3/index.php/RFCA/article/view/4131 (accessed on 1 November 2025).
- Quaresma, M.A.O.; Oliveira, F.L.; Rocha, L.F.; Teixeira, A.G.; Silva, D.M.N.; Dalvi, L.P.; Tomaz, M.A. Planting recommendations for yacon (Smallanthus sonchifolius) in lowland conditions. Aust. J. Crop Sci. 2021, 15, 564. [Google Scholar] [CrossRef]
- Baligar, V.C.; Fageria, N.K.; He, Z.L. Nutrient use efficiency in plants. Commun. Soil Sci. Plant Anal. 2001, 32, 921–950. [Google Scholar] [CrossRef]
- R Core Team. R: A Language and Environment for Statistical Computing; R Foundation for Statistical Computing: Vienna, Austria, 2022. Available online: https://www.R-project.org (accessed on 20 February 2025).
- Fageria, N.K.; Ferreira, E.P.D.B.; Knupp, A.M. Micronutrients use efficiency in tropical cover crops as influenced by phosphorus fertilization. Rev. Caatinga 2015, 28, 130–137. Available online: https://periodicos.ufersa.edu.br/index.php/caatinga/article/view/3390 (accessed on 11 April 2025).
- Wang, C.; Tang, R.-J.; Kou, S.; Xu, X.; Lu, Y.; Rauscher, K.; Voelker, A.; Luan, S. Mechanisms of calcium homeostasis orchestrate plant growth and immunity. Nature 2024, 627, 382–388. [Google Scholar] [CrossRef] [PubMed]
- Wdowiak, A.; Podgórska, A.; Szal, B. Calcium in plants: An important element of cell physiology and structure, signaling, and stress responses. Acta Physiol. Plant 2024, 46, 108. [Google Scholar] [CrossRef]
- Mendes, T.P.; Avelar, F.V.R.; da Silva, J.A.; Tomaz, M.A.; Dalvi, L.P.; do Amaral, J.F.T.; de Oliveira, F.L. Distribution dynamics of nutrient and biomass in yacon organs. Sci. Agropecu. 2026, 17, 103–110. [Google Scholar] [CrossRef]
- Tilman, D.; Cassman, K.; Matson, P.; Naylor, R.; Polasky, S. Agricultural sustainability and intensive production practices. Nature 2002, 418, 671–677. [Google Scholar] [CrossRef] [PubMed]
- Jiang, L.; Qiu, S.; Ding, W.; Xu, X.; He, P. Synergizing potato productivity and environmental performance with Nutrient Expert recommendation approach in northern China. J. Clean. Prod. 2023, 382, 135258. [Google Scholar] [CrossRef]
- Van Wijk, M.T.; Williams, M.; Gough, L.; Hobbie, S.E.; Shaver, G.R. Luxury consumption of soil nutrients: A possible competitive strategy in above ground and below ground biomass allocation and root morphology for slow growing arctic vegetation? J. Ecol. 2003, 91, 664–676. [Google Scholar] [CrossRef]
- Amaral, J.F.T.; Martinez, H.E.P.; Laviola, B.G.; Fernandes Filho, E.I.; Cruz, C.D. Eficiência de utilização de nutrientes por cultivares de cafeeiro. Ciência Rural 2011, 41, 621–629. [Google Scholar] [CrossRef]
- Reddy, M.B.; Sravani, P.; Kumar, S.; Rajawat, M.V.S.; Jaiswal, D.K.; Dhar, S.; Azman, E.A.; Garg, K.; Kumar, S. Nitrogen use efficiency reimagined: Advancements in agronomic, ecophysiological, and molecular strategies. J. Plant Nutr. 2025, 48, 1577–1603. [Google Scholar] [CrossRef]
- You, L.; Ros, G.H.; Chen, Y.; Shao, Q.; Young, M.D.; Zhang, F.; de Vries, W. Global mean nitrogen recovery efficiency in croplands can be enhanced by optimal nutrient, crop and soil management practices. Nat. Commun. 2023, 14, 5747. [Google Scholar] [CrossRef] [PubMed]
Disclaimer/Publisher’s Note: The statements, opinions and data contained in all publications are solely those of the individual author(s) and contributor(s) and not of MDPI and/or the editor(s). MDPI and/or the editor(s) disclaim responsibility for any injury to people or property resulting from any ideas, methods, instructions or products referred to in the content. |
© 2026 by the authors. Licensee MDPI, Basel, Switzerland. This article is an open access article distributed under the terms and conditions of the Creative Commons Attribution (CC BY) license.
Share and Cite
Oliveira, F.L.d.; Mendes, T.P.; Avelar, F.V.R.; Tomaz, M.A.; Amaral, J.F.T.d.; Carvalho, A.H.d.O. Nutrient Use Efficiency in Yacon Potato Under Varying NPK Fertilization Rates. Horticulturae 2026, 12, 61. https://doi.org/10.3390/horticulturae12010061
Oliveira FLd, Mendes TP, Avelar FVR, Tomaz MA, Amaral JFTd, Carvalho AHdO. Nutrient Use Efficiency in Yacon Potato Under Varying NPK Fertilization Rates. Horticulturae. 2026; 12(1):61. https://doi.org/10.3390/horticulturae12010061
Chicago/Turabian StyleOliveira, Fábio Luiz de, Tiago Pacheco Mendes, Felipe Valadares Ribeiro Avelar, Marcelo Antonio Tomaz, José Francisco Teixeira do Amaral, and Arnaldo Henrique de Oliveira Carvalho. 2026. "Nutrient Use Efficiency in Yacon Potato Under Varying NPK Fertilization Rates" Horticulturae 12, no. 1: 61. https://doi.org/10.3390/horticulturae12010061
APA StyleOliveira, F. L. d., Mendes, T. P., Avelar, F. V. R., Tomaz, M. A., Amaral, J. F. T. d., & Carvalho, A. H. d. O. (2026). Nutrient Use Efficiency in Yacon Potato Under Varying NPK Fertilization Rates. Horticulturae, 12(1), 61. https://doi.org/10.3390/horticulturae12010061

