Investigations into Selected Pollinator-Friendly Plant Species: Seed Lot Germination, Breaking Dormancy with Plant Hormone Priming and the Influence of Water Stress on Germination
Abstract
1. Introduction
- The dormancy-breaking potential of GA3 and KIN across multiple pollinator-friendly plant seed species.
- The role of oxidative signals (via H2O2) and surfactants in combination with GA3 in enhancing germination.
- The influence of water availability on germination behavior to guide restoration strategies under variable field conditions.
2. Materials and Methods
2.1. Selection of Pollinator-Friendly Plant Species and Acquisition of Seed Lots
2.2. Effect of GA3 Application and Two Temperature Regimes on Germination and Dormancy of 42 Seed Lots
2.3. Selection Criteria for 6 Pollinator-Friendly Plant Species for Remaining Studies and Seed Priming Protocol
2.4. The Effect of GA3 and KIN Priming Treatments with H2O2 on Breaking Dormancy
2.5. Effect of Non-Ionic Surfactants Priming Applied with Two GA3 Concentrations on Breaking Dormancy of Asclepias syriaca
2.6. The Effect of Water Stress on Germination of 6 Pollinator-Friendly Plant Seed Species
2.7. Statistical Analysis
3. Results
3.1. Selection of Pollinator-Friendly Plant Species and Acquisition of Seed Lots
3.2. Effect of GA3 Application and Two Temperature Regimes on Germination and Dormancy of 42 Seed Lots
3.3. Seed Lot Selection of the Six Species
3.4. Effect of GA3 and KIN Priming on Breaking Dormancy of Five Pollinator Species
3.5. Effect of Non-Ionic Surfactants Priming Applied with Two GA3 Concentrations on Breaking Dormancy of Asclepias syriaca
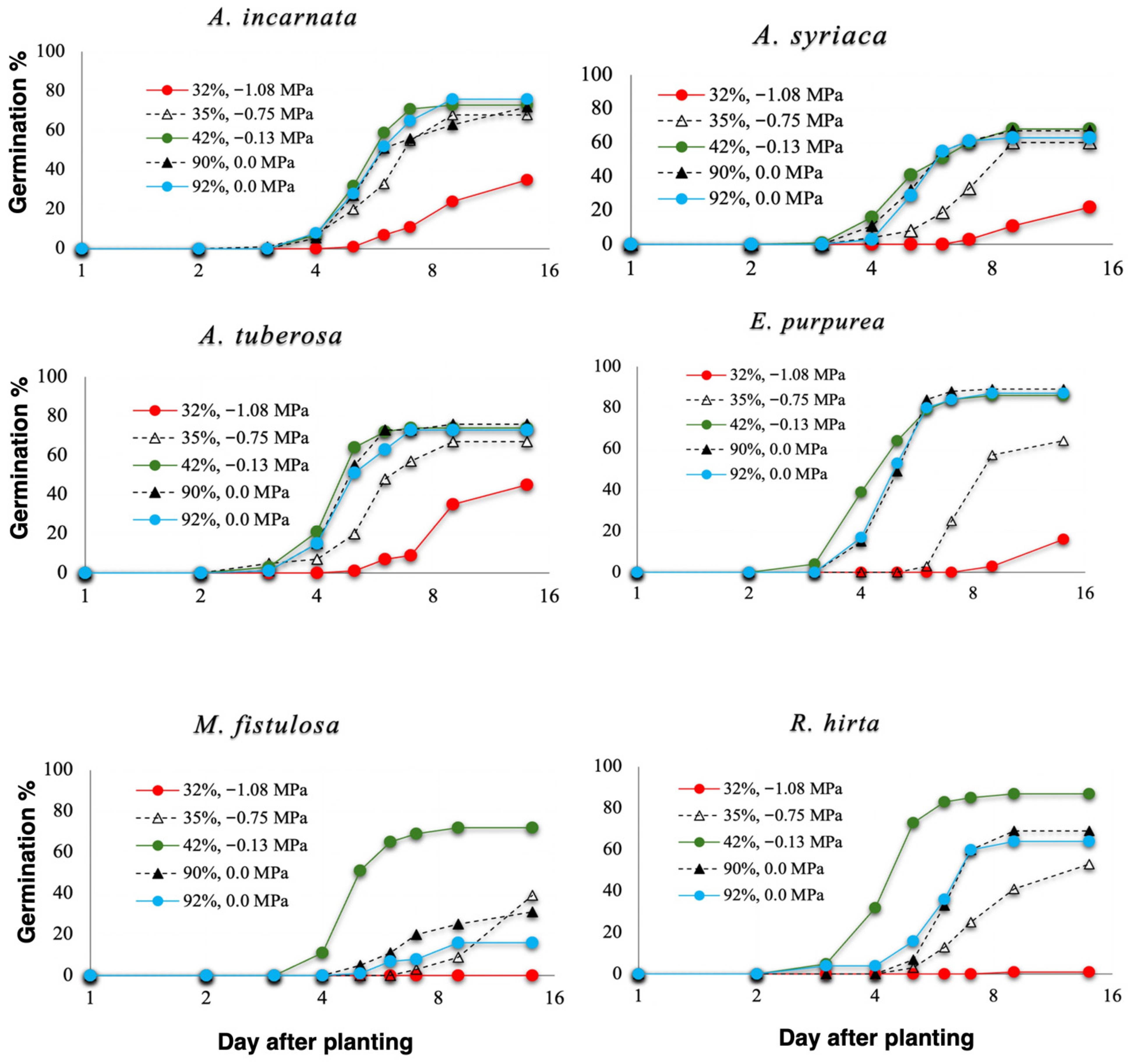
3.6. The Effect of Water Stress on Germination of Six Pollinator-Friendly Plant Seed Species
4. Discussion
5. Conclusions
Author Contributions
Funding
Data Availability Statement
Acknowledgments
Conflicts of Interest
Appendix A
| Latin Name | Plant Family | Common Name | Company Name | USDA Species | Seed Lot | % Germ | % Dorm | Total Viable | PLS | TSW (g) |
|---|---|---|---|---|---|---|---|---|---|---|
| Asclepias incarnata L. | Apocynaceae | Swamp milkweed | Ernst Seed | ASIN | •JG040418 | 85 | 10 | 95 | 92.48 | 5.38 |
| Asclepias incarnata L. | Apocynaceae | Swamp milkweed | Shooting Star | ASIN | ASCINC463B | 77 | 22 | 99 | 93.94 | 4.70 |
| Asclepias incarnata L. | Apocynaceae | Swamp milkweed | Shooting Star | ASIN | ASCINC263B | 14 | 85 | 99 | 94.95 | 5.04 |
| Asclepias syriaca L. | Apocynaceae | Common milkweed | Shooting Star | ASSY | ASCSYR553A | 6 | 92 | 98 | 97.58 | 5.49 |
| Asclepias syriaca L. | Apocynaceae | Common milkweed | Shooting Star | ASSY | •ASCSYR602A | 11 | 88 | 99 | 98.66 | 5.32 |
| Asclepias syriaca L. | Apocynaceae | Common milkweed | Ernst Seed | ASSY | ASCSYR01-22PA | 30 | 66 | 96 | 93.31 | 4.28 |
| Asclepias syriaca L. | Apocynaceae | Common milkweed | Ernst Seed | ASSY | ASCSYR01-23PA | 9 | 73 | 82 | 74.56 | 3.93 |
| Asclepias tuberosa L. | Apocynaceae | Butterfly milkweed | Shooting Star | ASTU | •ASCTUB670B | 90 | 6 | 96 | 93.75 | 4.36 |
| Asclepias tuberosa L. | Apocynaceae | Butterfly milkweed | Shooting Star | ASTU | ASCTUB463A | 18 | 75 | 93 | 92.96 | 5.31 |
| Asclepias tuberosa L. | Apocynaceae | Butterfly milkweed | Ernst Seed | ASTU | ASCTUB01-21PA | 8 | 71 | 79 | 78.72 | 4.94 |
| Bidens aristosa (Michx.) Britt. | Asteraceae | Burr marigold | Shooting Star | BIAR | BIDARI-2223A | 82 | 8 | 90 | 88.67 | 2.43 |
| Chamaecrista fasciculata (Michx.) Greene | Fabaceae | Partridge pea | Shooting Star | CHFA2 | CHAFAS653A | 82 | 4 | 86 | 85.87 | 8.31 |
| Dalea candida Willd. | Fabaceae | White prairie clover | Shooting Star | DACA7 | DALCAN053B | 93 | 4 | 97 | 94.15 | 1.20 |
| Doellingeria umbellata (Mill.) Nees | Asteraceae | Flat-topped aster | Shooting Star | DOUM2 | DOEUMB103A | N/A | N/A | 99 | 97.60 | 0.51 |
| Echinacea purpurea (L.) Moench | Asteraceae | Purple coneflower | Ernst Seed | ECPU | PCF311210 | 78 | 15 | 93 | 90.53 | 3.87 |
| Echinacea purpurea (L.) Moench | Asteraceae | Purple coneflower | Shooting Star | ECPU | •ECHPUR503A | 98 | 0 | 98 | 95.69 | 3.75 |
| Echinacea purpurea (L.) Moench | Asteraceae | Purple coneflower | Ernst Seed | ECPU | PCF221547 | 61 | 30 | 91 | 88.52 | 3.87 |
| Echinacea purpurea (L.) Moench | Asteraceae | Purple coneflower | Shooting Star | ECPU | ECHPUR504A | 92 | 0 | 92 | 87.42 | 3.67 |
| Eryngium yuccifolium Michx. | Apiaceae | Rattlesnake master | Ernst Seed | ERYU | ERYYUC01-190H | 95 | 0 | 95 | 92.60 | 3.79 |
| Eutrochium maculatum (L.) E.E. Lamont | Asteraceae | Spotted Joe-pye weed | Ernst Seed | EUMA9 | EUPMAC01-21PA | 19 | 52 | 71 | 56.75 | 0.27 |
| Eutrochium purpureum (L.) E.E. Lamont | Asteraceae | Sweetscented Joe-pye weed | Ernst Seed | EUPU21 | EUPPUR462A | 35 | 60 | 95 | 89.91 | 0.45 |
| Eutrochium purpureum (L.) E.E. Lamont | Asteraceae | Sweetscented Joe-pye weed | Shooting Star | EUPU21 | EUTPUR463C | 51 | 45 | 96 | 60.77 | 0.44 |
| Gaillardia pulchella Foug. | Asteraceae | Indian blanket | Shooting Star | GAPU | KB011723-14 | 68 | 22 | 90 | 88.35 | 2.23 |
| Helianthus petiolaris Nutt. | Asteraceae | Prairie sunflower | Shooting Star | HEPE | QQ034123-31 | 19 | 71 | 90 | 88.84 | 4.09 |
| Heliopsis helianthoides (L.) Sweet | Asteraceae | Oxeye sunflower | Shooting Star | HEHE5 | HELHEL463A | 54 | 42 | 96 | 95.37 | 3.63 |
| Liatris ligulistylis (A.Nelson) K.Schum. | Asteraceae | Meadow blazing star | Shooting Star | LILI | LIALIG032A | 88 | 10 | 98 | 78.29 | 1.33 |
| Monarda fistulosa L. | Lamiaceaee | Wild bergamot | Ernst Seed | MOFI | MONFIS03-19-2 | 57 | 22 | 79 | 78.58 | 0.49 |
| Monarda fistulosa L. | Lamiaceaee | Wild bergamot | Shooting Star | MOFI | •MONFIS463A | 99 | 0 | 99 | 98.24 | 0.42 |
| Monarda punctata L. | Lamiaceaee | Spotted beebalm | Shooting Star | MOPU | MONPUN253B | 88 | 2 | 90 | 89.13 | 0.31 |
| Oligoneuron rigidum (L.) Small | Asteraceae | Stiff goldenrod | Shooting Star | OLRIR | SOLRIG463B | N/A | N/A | 99 | 98.70 | 0.72 |
| Rudbeckia fulgida Aiton | Asteraceae | Orange coneflower | Ernst Seed | RUFUF | RUDFUL01-22VA | 1 | 96 | 97 | 95.00 | 0.90 |
| Rudbeckia hirta L. | Asteraceae | Black-eyed Susan | Ernst Seed | RUHI2 | RUDHIR05-20VT | 74 | 21 | 95 | 94.76 | 0.29 |
| Rudbeckia hirta L. | Asteraceae | Black-eyed Susan | Shooting Star | RUHI2 | •RUDHIR463B | 99 | 0 | 99 | 98.93 | 0.29 |
| Solidago nemoralis Aiton | Asteraceae | Gray goldenrod | Ernst Seed | SONE | SOLNEM01-20PA | 56 | 32 | 88 | 84.66 | 0.12 |
| Solidago rugosa Mill. | Asteraceae | Wrinkleleaf goldenrod | Ernst Seed | SORU2 | SOLRUG01-20PA | N/A | N/A | 41 | 30.90 | 0.08 |
| Symphyotrichum novae-angliae (L.) G.L.Nesom | Asteraceae | New England aster | Ernst Seed | SYNO2 | ASTNOV01-22PA | 63 | 21 | 84 | 67.15 | 0.27 |
| Symphyotrichum pilosum (Willd.) G.L.Nesom | Asteraceae | Hairy white oldfield aster | Ernst Seed | SYPI2 | ASTPIL01-20EK2 | 54 | 8 | 62 | 61.88 | 0.34 |
| Symphyotrichum pilosum (Willd.) G.L.Nesom | Asteraceae | Hairy white oldfield aster | Shooting Star | SYPI2 | SYMPIL463A | 77 | 13 | 90 | 89.98 | 0.13 |
| Verbena stricta Vent. | Verbenaceae | Hoary vervain | Ernst Seed | VEST | QQ4722-60 | 31 | 34 | 95 | 94.33 | 0.98 |
| Verbesina alternifolia (L.) Britton ex Kearney | Asteraceae | Wingstem | Shooting Star | VEAL | ACTALT403A | 21 | 78 | 99 | 93.37 | 3.18 |
| Veronicastrum virginicum (L.) Farw. | Plantaginaceae | Culver’s root | Ernst Seed | VEVI4 | VERVIR02-21PA | 13 | 71 | 84 | 79.56 | 0.05 |
| Zizia aurea (L.) W.D.J. Koch | Apiaceae | Golden alexanders | Shooting Star | ZIAU | ZIZIAUR463A | 2 | 96 | 98 | 97.29 | 2.53 |
| Mean | 54 | 37 | 91 | 86.73 | 2.47 |
Appendix B
| 20/30 C | 15/25 C | ||||||||||||||||
|---|---|---|---|---|---|---|---|---|---|---|---|---|---|---|---|---|---|
| 4 d | 7 d | 14 d | T50 | 4 d | 7 d | 14 d | T50 | ||||||||||
| Latin name | Seed Lot | −GA3 | +GA3 | −GA3 | +GA3 | −GA3 | +GA3 | −GA3 | +GA3 | −GA3 | +GA3 | −GA3 | +GA3 | −GA3 | +GA3 | −GA3 | +GA3 |
| Asclepias incarnata | •JG040418 | 10 | 42* | 66 | 88* | 78 | 90* | 5.0 | 4.1 | 14 | 26* | 58 | 56 | 64 | 72* | 5.0 | 4.6 |
| Asclepias incarnata | ASCINC463B | 6 | 36* | 26 | 66* | 26 | 68* | 4.9 | 3.9 | 0 | 0 | 2 | 8* | 4 | 12* | 7.0 | 6.5 |
| Asclepias incarnata | ASCINC263B | 20 | 34* | 54 | 54 | 60 | 54 | 4.4 | 3.4 | 0 | 0 | 20 | 32* | 24 | 38* | 5.0 | 5.9 |
| Asclepias syriaca | ASCSYR553A | 2 | 32* | 10 | 42* | 18 | 48* | 6.8 | 3.3 | 2 | 10* | 26 | 54* | 38 | 74* | 5.7 | 5.8 |
| Asclepias syriaca | •ASCSYR602A | 18 | 54* | 42 | 66* | 46 | 72* | 4.6 | 2.8 | 28 | 56* | 78 | 86* | 84 | 90* | 4.6 | 3.8 |
| Asclepias syriaca | ASCSYR01-22PA | 12 | 34* | 20 | 66* | 26 | 74* | 4.5 | 4.2 | 6 | 30* | 24 | 56* | 34 | 78* | 6.1 | 4.7 |
| Asclepias syriaca | ASCSYR01-23PA | 0 | 6 | 10 | 12 | 12 | 14 | 6.3 | 5.5 | 0 | 0 | 0 | 10* | 6 | 30* | N/A | N/A |
| Asclepias tuberosa | •ASCTUB670B | 84 | 90* | 92 | 90 | 92 | 94 | 2.5 | 1.9 | 78 | 90* | 80 | 94* | 84 | 98* | 2.6 | 2.4 |
| Asclepias tuberosa | ASCTUB463A | 22 | 34* | 42 | 40 | 44 | 46 | 4.0 | 2.5 | 14 | 36* | 32 | 46* | 32 | 50* | 5.2 | 2.9 |
| Asclepias tuberosa | ASCTUB01-21PA | 2 | 2 | 2 | 8* | 2 | 8* | N/A | N/A | 0 | 0 | 0 | 2 | 0 | 12 | N/A | N/A |
| Bidens aristosa | BIDARI-2223A | 0 | 2 | 6 | 10 | 16 | 30* | 8.0 | 7.8 | 0 | 0 | 0 | 0 | 10 | 14 | N/A | N/A |
| Chamaecrista fasciculata | CHAFAS653A | 18 | 30* | 22 | 38* | 26 | 38* | 1.9 | 2.0 | 26 | 14 | 30 | 20 | 32 | 24 | 3.4 | 2.0 |
| Dalea candida | DALCAN053B | 96 | 94 | 98 | 98 | 100 | 98 | 1.9 | 1.6 | 94 | 84 | 94 | 88 | 96 | 90 | 1.7 | 1.9 |
| Doellingeria umbellata | DOEUMB103A | 0 | 6 | 4 | 12* | 18 | 20 | 7.8 | 6.0 | 0 | 2 | 2 | 10* | 10 | 16* | 7.8 | 6.5 |
| Echinacea purpurea | PCF311210 | 52 | 80* | 80 | 94* | 82 | 98* | 3.7 | 2.8 | 30 | 72* | 70 | 88* | 86 | 90 | 4.6 | 3.2 |
| Echinacea purpurea | •ECHPUR503A | 56 | 78* | 92 | 94 | 100 | 96 | 3.9 | 2.7 | 48 | 74* | 92 | 96 | 100 | 100 | 4.1 | 3.4 |
| Echinacea purpurea | PCF221547 | 86 | 92* | 86 | 94* | 88 | 94* | 2.3 | 1.7 | 74 | 86* | 96 | 96 | 96 | 98 | 2.9 | 2.7 |
| Echinacea purpurea | ECHPUR504A | 64 | 76* | 92 | 100* | 98 | 100 | 3.5 | 2.9 | 36 | 58* | 78 | 94* | 90 | 96* | 4.8 | 3.4 |
| Eryngium yuccafolium | ERYYUC01-190H | 0 | 0 | 0 | 0 | 0 | 8 | N/A | N/A | 0 | 0 | 0 | 0 | 0 | 0 | N/A | N/A |
| Eutrochium maculatum | EUPMAC01-21PA | 0 | 4 | 4 | 12 | 10 | 22* | 7.5 | 6.8 | 0 | 0 | 6 | 6 | 14 | 28* | 9.3 | 8.0 |
| Eutrochium purpureum | EUPPUR462A | 12 | 20* | 20 | 36* | 32 | 48* | 5.0 | 4.5 | 0 | 8 | 8 | 48* | 16 | 48* | 8.0 | 4.7 |
| Eutrochium purpureum | EUTPUR463C | 2 | 16* | 20 | 38* | 30 | 50* | 6.0 | 4.9 | 0 | 8 | 8 | 26* | 16 | 30* | 7.0 | 4.4 |
| Gaillardia pulchella | KB011723-14 | 84 | 76 | 90 | 76* | 90 | 80 | 3.3 | 2.8 | 46 | 64* | 82 | 80 | 88 | 86 | 3.9 | 3.6 |
| Helianthus petiolaris | QQ034123-31 | 10 | 30* | 12 | 38* | 12 | 38* | 3.0 | 2.6 | 14 | 20* | 18 | 20 | 18 | 28* | 3.5 | 3.3 |
| Heliopsis helianthoides | HELHEL463A | 36 | 48* | 48 | 66* | 62 | 72 | 3.7 | 3.3 | 22 | 14 | 52 | 46* | 68 | 62 | 5.0 | 3.8 |
| Liatris ligulistylis | LIALIG032A | 28 | 54* | 52 | 62* | 58 | 62 | 4.3 | 2.6 | 26 | 52* | 46 | 74* | 60 | 82* | 4.5 | 3.1 |
| Monarda fistulosa | MONFIS03-19-2 | 56 | 54 | 66 | 60 | 74 | 64* | 3.3 | 3.0 | 44 | 56* | 60 | 74* | 70 | 82* | 3.6 | 3.1 |
| Monarda fistulosa | •MONFIS463A | 54 | 68* | 56 | 80* | 56 | 80* | 2.6 | 2.6 | 46 | 72* | 64 | 82* | 64 | 86* | 3.4 | 3.0 |
| Monarda punctata | MONPUN253B | 92 | 94 | 92 | 96 | 92 | 98* | 2.6 | 2.2 | 86 | 100* | 88 | 100* | 88 | 100* | 2.5 | 2.3 |
| Oligoneuron rigidum | SOLRIG463B | 18 | 4 | 40 | 22 | 42 | 40 | 5.5 | 6.8 | 8 | 6 | 26 | 14 | 46 | 40 | 6.0 | 8.4 |
| Rudbeckia fulgida | RUDFUL01-22VA | 0 | 0 | 0 | 0 | 0 | 0 | N/A | N/A | 0 | 2 | 2 | 2 | 2 | 2 | N/A | N/A |
| Rudbeckia hirta | RUDHIR05-20VT | 62 | 74* | 74 | 80 | 86 | 88 | 3.3 | 2.7 | 78 | 80 | 86 | 90 | 86 | 94* | 2.9 | 2.8 |
| Rudbeckia hirta | •RUDHIR463B | 92 | 96 | 96 | 96 | 96 | 98 | 2.4 | 1.6 | 88 | 94* | 88 | 94* | 88 | 94* | 2.5 | 1.9 |
| Solidago nemoralis | SOLNEM01-20PA | 38 | 52* | 64 | 88* | 80 | 90* | 4.1 | 3.8 | 26 | 42* | 80 | 66* | 82 | 72* | 4.5 | 3.8 |
| Solidago rugosa | SOLRUG01-20PA | 16 | 24* | 56 | 44 | 60 | 64 | 5.2 | 4.7 | 20 | 12 | 52 | 44 | 60 | 72* | 4.6 | 5.3 |
| Symphyotrichum novae-angliae | ASTNOV01-22PA | 32 | 38 | 50 | 56 | 60 | 62 | 3.9 | 3.7 | 40 | 40 | 50 | 64* | 56 | 70* | 3.5 | 3.7 |
| Symphyotrichum pilosum | ASTPIL01-20EK2 | 2 | 18* | 38 | 64* | 64 | 70* | 5.9 | 4.7 | 0 | 6* | 44 | 44 | 58 | 66* | 5.9 | 5.7 |
| Symphyotrichum pilosum | SYMPIL463A | 0 | 6 | 4 | 18* | 22 | 26 | 9.2 | 5.5 | 0 | 2 | 10 | 10 | 26 | 18 | 7.3 | 6.8 |
| Verbena stricta | QQ4722-60 | 4 | 0 | 16 | 18 | 24 | 40* | 7.0 | 7.5 | 0 | 0 | 4 | 8 | 24 | 28 | 10.0 | 8.5 |
| Verbesina alternifolia | ACTALT403A | 0 | 14* | 6 | 50* | 36 | 86* | 9.5 | 6.4 | 0 | 0 | 2 | 42* | 22 | 66* | 10.2 | 6.1 |
| Veronicastrum virginicum | VERVIR02-21PA | 0 | 2 | 14 | 28* | 26 | 32* | 5.9 | 5.0 | 0 | 0 | 4 | 20* | 18 | 34* | 6.0 | 5.8 |
| Zizia aurea | ZIZIAUR463A | 0 | 0 | 0 | 2 | 6 | 14* | N/A | N/A | 0 | 0 | 0 | 0 | 0 | 6 | N/A | N/A |
Appendix C

Appendix D

References
- Klein, A.M.; Vaissière, B.E.; Cane, J.H.; Steffan-Dewenter, I.; Cunningham, S.A.; Kremen, C.; Tscharntke, T. Importance of pollinators in changing landscapes for world crops. Proc. R. Soc. B Biol. Sci. 2007, 274, 303–313. [Google Scholar] [CrossRef]
- Potts, S.G.; Biesmeijer, J.C.; Kremen, C.; Neumann, P.; Schweiger, O.; Kunin, W.E. Global pollinator declines: Trends, impacts and drivers. Trends Ecol. Evol. 2010, 25, 345–353. [Google Scholar] [CrossRef]
- Burd, M. Bateman’s principle and reproduction: The role of pollinator limitation in fruit and seed set. Bot. Rev. 1994, 60, 83–139. [Google Scholar] [CrossRef]
- Ashman, T.L.; Knight, T.M.; Steets, J.A.; Amarasekare, P.; Burd, M.; Campbell, D.R.; Dudash, M.R.; Johnston, M.O.; Mazer, S.J.; Mitchell, R.J.; et al. Pollen limitation of plant reproduction: Ecological and evolutionary causes and consequences. Ecology 2004, 85, 2408–2421. [Google Scholar] [CrossRef]
- Ollerton, J.; Winfree, R.; Tarrant, S. How many flowering plants are pollinated by animals? Oikos 2011, 120, 321–326. [Google Scholar] [CrossRef]
- IPBES. Summary for Policymakers of the Global Assessment Report on Biodiversity and Ecosystem Services of the Intergovernmental Science-Policy Platform on Biodiversity and Ecosystem Services; Díaz, S., Settele, J., Brondízio, E.S., Ngo, H.T., Guèze, M., Agard, J., Arneth, A., Balvanera, P., Brauman, K.A., Butchart, S.H.M., et al., Eds.; IPBES Secretariat: Bonn, Germany, 2019; 56p. [Google Scholar]
- Goulson, D.; Nicholls, E.; Botías, C.; Rotheray, E.L. Bee declines driven by combined stress from parasites, pesticides, and lack of flowers. Science 2015, 347, 1255957. [Google Scholar] [CrossRef]
- Nath, R.; Singh, H.; Mukherjee, S. Insect pollinators decline: An emerging concern of Anthropocene epoch. J. Apic. Res. 2023, 62, 23–38. [Google Scholar] [CrossRef]
- IPBES. Summary for Policymakers of the Assessment Report of the Intergovernmental Science-Policy Platform on Biodiver-Sity and Ecosystem Services on Pollinators, Pollination and Food Production; Potts, S.G., Imperatriz-Fonseca, V.L., Ngo, H.T., Biesmeijer, J.C., Breeze, T.D., Dicks, L.V., Garibaldi, L.A., Hill, R., Settele, J., Vanbergen, A.J., et al., Eds.; Secretariat of the Intergovernmental Science-Policy Platform on Biodiversity and Ecosystem Services: Bonn, Germany, 2016; 36p. [Google Scholar]
- Semmens, B.X.; Semmens, D.J.; Thogmartin, W.E.; Wiederholt, R.; López-Hoffman, L.; Diffendorfer, J.E.; Pleasants, J.M.; Oberhauser, H.S.; Taylor, O.R. Quasi-extinction risk and population targets for the Eastern, migratory population of monarch butterflies (Danaus plexippus). Sci. Rep. 2016, 6, 23265. [Google Scholar] [CrossRef]
- Cameron, S.A.; Lim, H.C.; Lozier, J.D.; Thorp, R. Test of the invasive pathogen hypothesis of bumble bee decline in North America. Proc. Natl. Acad. Sci. USA 2016, 113, 4386–4391. [Google Scholar] [CrossRef]
- Faber, S.; Rundquist, S.; Male, T. Plowed Under: How Crop Subsidies Contribute to Massive Habitat Losses; Environmental Working Group: Washington, DC, USA, 2012; Available online: https://defenders.org/sites/default/files/publications/plowed-under-how-crop-subsidies-contribute-to-massive-habitat-loss_0.pdf (accessed on 3 July 2025).
- Lark, T.J.; Salmon, M.; Gibbs, H.K. Cropland expansion outpaces agricultural and biofuel policies in the United States. Environ. Res. Lett. 2015, 10, 044003. [Google Scholar] [CrossRef]
- Pleasants, J. Milkweed restoration in the Midwest for monarch butterfly recovery: Estimates of milkweeds lost, milkweeds remaining and milkweeds that must be added to increase the monarch population. Insect Conserv. Divers. 2017, 10, 42–53. [Google Scholar] [CrossRef]
- Recommended Uniform State Seed Law (RUSSL). Current Edition (as Amended July 2024). Association of American Seed Control Officials. 2024. Available online: https://www.seedcontrol.org/pdf/russl_2024.pdf (accessed on 6 December 2025).
- Baskin, C.C.; Baskin, J.M. An overview of seed dormancy, with particular reference to the most common kinds in forage species: Non-deep physiological dormancy and physical dormancy. In Proceedings of the Proceedings and Abstracts 8th International Herbage Seed Conference, Lanzhou, China, 21–24 June 2015; pp. 118–128. [Google Scholar]
- Kildisheva, O.A.; Erickson, T.E.; Merritt, D.J.; Madsen, M.D.; Dixon, K.W.; Vargas, J.; Amarteifio, R.; Kramer, A.T. Do abrasion-or temperature-based techniques more effectively relieve physical dormancy in seeds of cold desert perennials? Rangel. Ecol. Manag. 2018, 71, 318–322. [Google Scholar] [CrossRef]
- Evetts, L.L.; Burnside, O.C. Common milkweed seed maturation. Weed Sci. 1973, 21, 568–569. [Google Scholar] [CrossRef]
- Fariman, Z.K.; Azizi, M.; Noori, S. Seed germination and dormancy breaking techniques for Echinacea purpurea L. J. Biol. Environ. Sci. 2011, 5, 7–10. [Google Scholar]
- Bailly, C. Active oxygen species and antioxidants in seed biology. Seed Sci. Res. 2004, 14, 93–107. [Google Scholar] [CrossRef]
- El-Maarouf-Bouteau, H.; Bailly, C. Oxidative signaling in seed germination and dormancy. Plant Signal. Bechav. 2008, 3, 175–182. [Google Scholar] [CrossRef]
- Li, Z.; Liu, Y. Seed priming stimulates germination and early seedling establishment of Corethrodendron multijugum under drought stress. Seed Sci. Technol. 2023, 51, 51–63. [Google Scholar] [CrossRef]
- Hurtt, W.; Hodgson, R.H. Effects of nonionic surfactants, temperature, and light on germination of weed seeds. Weed Sci. 1987, 35, 52–57. [Google Scholar] [CrossRef]
- Hosseini, M.; Mojab, M.; Zamani, G.R. Cardinal temperatures for seed germination of wild barley, barley grass and hoary cress. Arch. Agron. Soil Sci. 2017, 63, 352–361. [Google Scholar] [CrossRef]
- Suo, H.C.; Li, W.; Wang, K.H.; Ashraf, U.; Liu, J.H.; Hu, J.G.; Xie, J.; Zheng, J.R. Plant growth regulators in seed coating agent affect seed germination and seedling growth of sweet corn. Appl. Ecol. Environ. Res. 2017, 15, 829–839. [Google Scholar] [CrossRef]
- Mircea, D.M.; Calone, R.; Estrelles, E.; Soriano, P.; Sestras, R.E.; Boscaiu, M.; Sestras, A.F.; Vicente, O. Responses of different invasive and non-invasive ornamental plants to water stress during seed germination and vegetative growth. Sci. Rep. 2023, 13, 13281. [Google Scholar] [CrossRef]
- Singh, M.; Thapa, R.; Kukal, M.S.; Irmak, S.; Mirsky, S.; Jhala, A.J. Effect of water stress on weed germination, growth characteristics, and seed production: A global meta-analysis. Weed Sci. 2022, 70, 621–640. [Google Scholar] [CrossRef]
- USDA. The U.S. Department of Agriculture, Pollinator-Friendly Plants for the Northeast United States; USDA: Washington, DC, USA, 2022. Available online: https://www.nrcs.usda.gov/plantmaterials/nypmctn11164.pdf (accessed on 29 June 2024).
- Mayton, H.; Amirkhani, M.; Loos, M.; Johnson, B.; Fike, J.; Johnson, C.; Myers, K.; Starr, J.; Bergstrom, G.C.; Taylor, A. Evaluation of industrial hemp seed treatments for management of damping-off for enhanced stand establishment. Agriculture 2022, 12, 591. [Google Scholar] [CrossRef]
- ISTA. International Rules for Seed Testing; Edition 2024; International Seed Testing Association: Bassersdorf, Switzerland, 2021. [Google Scholar]
- Association of Official Seed Analysts (AOSA). AOSA Rules for Testing Seeds. Volume 1: Principles and Procedures; Association of Official Seed Analysts: Washington, DC, USA, 2023. [Google Scholar]
- Farooq, M.; Basra, S.M.A.; Hafeez, K.; Warriach, E.A. Influence of high and low temperature treatments on the seed germination and seedling vigor of coarse and fine rice. Int. Rice Res. Notes 2004, 29, 69–71. [Google Scholar]
- McGrath, J.M.; Derrico, C.A.; Morales, M.; Copeland, L.O.; Christenson, D.R. Germination of sugar beet (Beta vulgaris L.) seed submerged in hydrogen peroxide and water as a means to discriminate cultivar and seedlot vigor. Seed Sci. Technol. 2000, 28, 607–620. [Google Scholar]
- Rajashekar, C.B.; Baek, K.H. Hydrogen peroxide alleviates hypoxia during imbibition and germination of bean seeds (Phaseolus vulgaris L.). Am. J. Plant Sci. 2014, 5, 3572–3584. [Google Scholar] [CrossRef]
- Butler, L.H.; Hay, F.R.; Ellis, R.H.; Smith, R.D.; Murray, T.B. Priming and re-drying improve the survival of mature seeds of Digitalis purpurea during storage. Ann. Bot. 2009, 103, 1261–1270. [Google Scholar] [CrossRef] [PubMed]
- Paparella, S.; Araújo, S.D.S.; Rossi, G.; Wijayasinghe, M.; Carbonera, D.; Balestrazzi, A. Seed priming: State of the art and new perspectives. Plant Cell Rep. 2015, 34, 1281–1293. [Google Scholar] [CrossRef]
- Mi, C.; Hong, L.; Sun, S.; Zhao, S.; Dou, L.; Mao, P. Ascorbic acid priming restores the seed vigor by enhancing the mitochondrial AsA-GSH cycle and related gene expression in the aged oat seeds. Physiol. Plant. 2025, 177, e70190. [Google Scholar] [CrossRef]
- Khan, A.A. (Ed.) The Physiology and Biochemistry of Seed Dormancy and Germination; CABI Digital Library: Amsterdam, The Netherlands, 1977; 465p. [Google Scholar]
- Khan, A.A. Hormonal regulation of primary and secondary seed dormancy. Isr. J. Plant Sci. 1980, 29, 207–224. [Google Scholar]
- Tuncturk, R.; Kipcak, S.; Ghiyasi, M.; Tuncturk, M. The determination of gibberellic acid effects on seed germination of Echinacea purpurea (L.) Moench under salt stress. Int. J. Agric. Environ. Food Sci. 2019, 3, 101–105. [Google Scholar] [CrossRef][Green Version]
- Mensah, S.I.; Ejeagba, P.O.; Okonwu, K. Effects of GA3, BAP and KNO3 on the Germination and DNA Content of Cucumber (Cucumis sativus L.). Greener J. Agric. Sci. 2020, 10, 57–62. [Google Scholar] [CrossRef]
- Nedunchezhiyan, V.; Palanivel, M.; Jabeen, P.A.; Thangavel, P.; Ramakrishnan, B.; Velusamy, M.; Muthusamy, S.; Edm, I.A. Effects of gibberellic acid on seed dormancy of black gram (Vigna mungo L.). J. App. Biol. Biotechnol. 2023, 11, 256–259. [Google Scholar] [CrossRef]
- Ge, N.; Jia, J.S.; Yang, L.; Huang, R.M.; Wang, Q.Y.; Chen, C.; Meng, G.Z.; Li, G.L.; Chen, J.W. Exogenous gibberellic acid shortening after-ripening process and promoting seed germination in a medicinal plant Panax notoginseng. BMC Plant Biol. 2023, 23, 67. [Google Scholar] [CrossRef]
- Tabatabaeian, J.; Kadkhodaee, A.; Razmjoo, J. Effects of Dormancy-Breaking Treatments on Kelussia odoratissima Seed Germination. Seed Technol. 2018, 39, 105–115. [Google Scholar]
- Pieraccini, R.; Whatley, L.; Koedam, N.; Vanreusel, A.; Dolch, T.; Dierick, J.; Van der Stocken, T. Gibberellic acid and light effects on seed germination in the seagrass Zostera marina. Physiol. Plant. 2025, 177, e70137. [Google Scholar] [CrossRef]
- Hashimoto, T.; Yamaki, T. Interaction of gibberellin a3, and inorganic phosphate in tobacco seed germination. Plant Cell Physiol. 1962, 3, 175–187. [Google Scholar] [CrossRef]
- Vieira, H.D.; da Silva, R.F.; Santos, R. pH and gibberellic acid overcome dormancy of seeds of Brachiaria brizantha cv. Marandu. Rev. Bras. De Fisiol. Veg. 1999, 11, 51–54. [Google Scholar]
- Wojtyla, Ł.; Lechowska, K.; Kubala, S.; Garnczarska, M. Different modes of hydrogen peroxide action during seed germination. Front. Plant Sci. 2016, 7, 66. [Google Scholar] [CrossRef]
- Veluppillai, S.; Nithyanantharajah, K.; Vasantharuba, S.; Balakumar, S.; Arasaratnam, V. Biochemical changes associated with germinating rice grains and germination improvement. Rice Sci. 2009, 16, 240–242. [Google Scholar] [CrossRef]
- Aksenova, L.A.; Dunaeva, M.V.; Zak, E.A.; Osipov, Y.F.; Klyachko, N.L. The effect of Tween 80 on seed germination in winter wheat cultivars differing in drought resistance. Russ. J. Plant Physiol. 1994, 41, 557–559. [Google Scholar]
- Bajwa, A.A.; Farooq, M.; Nawaz, A. Seed priming with sorghum extracts and benzyl aminopurine improves the tolerance against salt stress in wheat (Triticum aestivum L.). Physiol. Mol. Biol. Plants 2018, 24, 239–249. [Google Scholar] [CrossRef] [PubMed]
- Gálvez, A.; López-Galindo, A.; Peña, A. Effect of different surfactants on germination and root elongation of two horticultural crops: Implications for seed coating. N. Z. J. Crop Hortic. Sci. 2019, 47, 83–98. [Google Scholar] [CrossRef]
- Lewis, M. Hybridization of Asclepias Species for the Creation of Novel Cultivars. Ph.D. Thesis, University of Georgia, Athens, Georgia, 2021. [Google Scholar]
- Finch-Savage, B. Seeds: Physiology of development, germination and dormancy; Bewley, J.D., Bradford, K.J., Nonogaki, H.W.H.H., Eds.; 392 pp. Springer, New York–Heidelberg–Dordrecht–London2013978-1-4614-4692-7. Seed Sci. Res. 2013, 23, 289. [Google Scholar] [CrossRef]
- Finch-Savage, W.E.; Bassel, G.W. Seed vigour and crop establishment: Extending performance beyond adaptation. J. Exp. Bot. 2016, 67, 567–591. [Google Scholar] [CrossRef]
- Westbrook, A.S.; Amirkhani, M.; Taylor, A.G.; Loos, M.T.; Losey, J.E.; DiTommaso, A. Multi-Seed Zea Pellets (MSZP) for increasing agroecosystem biodiversity. Weed Sci. 2023, 71, 160–171. [Google Scholar] [CrossRef]
- Loos, M.T.; Amirkhani, M.; Taylor, A.G.; Losey, J.E.; DiTommaso, A. Molded Seed Agglomeration Compositions and Uses Thereof. U.S. Patent Application No. 19/119,447, 25 April 2024. [Google Scholar]



| Correlation Coefficients | 20/30 °C −GA3 | 20/30 °C +GA3 | 15/25 °C −GA3 | 15/25 °C +GA3 |
|---|---|---|---|---|
| 4-day vs. 14-day | 0.86 *** | 0.87 *** | 0.83 *** | 0.85 *** |
| 4-day vs. T50 | −0.52 *** | −0.68 *** | −0.53 *** | −0.63 *** |
| 14-day vs. T50 | −0.35 * | −0.54 *** | −0.38 * | −0.50 *** |
| Label germ vs. Lab germ (14-day) | 0.61 *** | 0.57 *** | 0.58 *** | 0.44 ** |
| (a) | |||||||
| Treatments | 4 | 7 | 14 | Mold | |||
| Asclepias incarnata (Swamp Milkweed) | |||||||
| Control | 42 ± 3.5 b | 59 ± 3.4 c | 73 ± 4.7 c | 12 ± 2.8 c | |||
| H2O | 58 ± 12.1 ab | 74 ± 5.3 b | 90 ± 1.2 b | 4 ± 2.8 ab | |||
| H2O2 | 61 ± 3.0 ab | 77 ± 1.0 ab | 88 ± 3.7 b | 1 ± 1.0 a | |||
| GA3 + H2O2 | 67 ± 7.0 a | 85 ± 3.4 a | 96 ± 1.6 a | 9 ± 3.4 bc | |||
| KIN + H2O2 | 66 ± 2.6 a | 80 ± 1.6 ab | 91 ± 2.5 ab | 10 ± 3.5 bc | |||
| GA3 + KIN + H2O2 | 69 ± 2.5 a | 81 ± 3.0 ab | 88 ± 1.6 b | 7 ± 1.9 bc | |||
| Asclepias tuberosa (Butterfly Milkweed) | |||||||
| Control | 53 ± 3.4 b | 79 ± 2.5 a | 80 ± 1.6 b | 14 ± 3.8 bc | |||
| H2O | 78 ± 3.5 a | 80 ± 4.3 a | 81 ± 3.4 b | 6 ± 2.6 a | |||
| H2O2 | 78 ± 3.5 a | 80 ± 4.3 a | 87 ± 1.9 ab | 9 ± 1.0 abc | |||
| GA3 + H2O2 | 86 ± 3.5 a | 89 ± 3.0 a | 93 ± 1.9 a | 12 ± 1.6 bc | |||
| KIN + H2O2 | 83 ± 5.3 a | 84 ± 5.6 a | 89 ± 1.9 ab | 6 ± 1.2 a | |||
| GA3 + KIN + H2O2 | 86 ± 5.0 a | 88 ± 4.3 a | 88 ± 4.3 ab | 15 ± 1.0 c | |||
| Echinacea purpurea (Purple Coneflower) | |||||||
| Control | 61 ± 1.9 a | 84 ± 1.6 b | 88 ± 1.6 c | 0 | |||
| H2O | 75 ± 4.4 a | 86 ± 4.8 ab | 89 ± 4.4 bc | 0 | |||
| H2O2 | 67 ± 6.4 a | 94 ± 1.2 ab | 96 ± 2.3 ab | 0 | |||
| GA3 + H2O2 | 78 ± 5.3 a | 95 ± 1.9 a | 98 ± 2.0 a | 0 | |||
| KIN + H2O2 | 78 ± 5.3 a | 92 ± 4.3 ab | 99 ± 1.0 a | 0 | |||
| GA3 + KIN + H2O2 | 77 ± 8.0 a | 95 ± 2.5 a | 95 ± 2.5 abc | 0 | |||
| Rudbeckia hirta (Black-eyed Susan) | |||||||
| Control | 86 ± 2.0 ab | 91 ± 1.9 a | 92 ± 1.6 b | 7 ± 3.0 a | |||
| H2O | 90 ± 2.0 ab | 93 ± 1.0 a | 93 ± 1.0 ab | 6 ± 1.2 a | |||
| H2O2 | 90 ± 2.6 ab | 93 ± 3.4 a | 95 ± 1.9 ab | 10 ± 1.2 a | |||
| GA3 + H2O2 | 94 ± 2.6 a | 95 ± 1.9 a | 98 ± 1.2 a | 7 ± 1.9 a | |||
| KIN + H2O2 | 94 ± 2.6 a | 94 ± 3.8 a | 96 ± 2.3 ab | 5 ± 3.0 a | |||
| GA3 + KIN + H2O2 | 82 ± 3.8 b | 86 ± 2.6 a | 94 ± 1.2 ab | 10 ± 1.2 a | |||
| Monarda fistulosa (Wild Bergamot) | |||||||
| Control | 68 ± 2.8 a | 69 ± 1.9 b | 70 ± 1.2 c | 12 ± 1.6 a | |||
| H2O | 69 ± 4.4 a | 75 ± 1.9 ab | 78 ± 2.0 bc | 10 ± 1.2 a | |||
| H2O2 | 80 ± 5.7 a | 82 ± 4.8 a | 84 ± 4.3 ab | 7 ± 3.0 a | |||
| GA3 + H2O2 | 69 ± 5.3 a | 71 ± 5.0 ab | 88 ± 2.8 a | 13 ± 3.8 a | |||
| KIN + H2O2 | 70 ± 5.3 a | 76 ± 4.9 ab | 80 ± 4.6 abc | 12 ± 1.6 a | |||
| GA3 + KIN + H2O2 | 78 ± 3.8 a | 83 ± 1.0 a | 85 ± 1.9 ab | 12 ± 1.6 a | |||
| (b) | |||||||
| Species | % Germination | Seed treatment | % Germination | ||||
| 4 | 7 | 14 | 4 | 7 | 14 | ||
| Asclepias incarnata | 61 c | 76 c | 88 b | Control | 62 b | 76 b | 81 c |
| Asclepias tuberosa | 77 b | 83 b | 86 bc | H2O | 74 ab | 81 ab | 86 bc |
| Echinacea purpurea | 73 b | 91 a | 94 a | H2O2 | 75 a | 85 ab | 90 ab |
| Rudbeckia hirta | 89 a | 92 a | 95 a | GA3 + H2O2 | 79 a | 87 a | 95 a |
| Monarda fistulosa | 72 b | 76 c | 81 c | KIN + H2O2 | 78 a | 85 ab | 91 ab |
| GA3 + KIN + H2O2 | 78 a | 87 a | 90 ab | ||||
| p-value | <0.01 | <0.01 | <0.01 | <0.01 | <0.01 | <0.01 | |
| (a) | ||||
| PGR Treatment | 4 d | 7 d | 14 d | Mold |
| Control (nonsoaked) | 14 ± 1.2 e | 40 ± 3.6 e | 42 ± 2.6 e | 5 ± 1.9 ab |
| Water | 46 ± 2.8 d | 66 ± 4.4 d | 68 ± 3.5 d | 8 ± 2.6 ab |
| H2O2 + Water | 56 ± 10.1 cd | 73 ± 5.3 cd | 74 ± 4.9 cd | 6 ± 1.6 ab |
| 0.3 mM GA3 + H2O2 + Tween 20 | 61 ± 6.4 bc | 84 ± 2.8 abc | 88 ± 1.6 ab | 6 ± 1.16 ab |
| 0.3 mM GA3 + H2O2 + Tween 80 | 65 ± 4.1 abc | 84 ± 2.8 abc | 87 ± 3.4 ab | 3 ± 1.0 a |
| 0.3 mM GA3 + H2O2 + Silwet 408 | 80 ± 1.6 a | 85 ± 2.5 ab | 88 ± 0.6 ab | 5 ± 1.9 ab |
| 0.3 mM GA3 + H2O2 + Kwet 20 | 65 ± 5.3 abc | 78 ± 2.5 bc | 81 ± 5.7 bc | 2 ± 2.0 a |
| 0.3 mM GA3 + H2O2 + Water | 58 ± 3.4 bcd | 87 ± 5.0 ab | 89 ± 5.0 ab | 9 ± 3.0 ab |
| 1 mM GA3 + H2O2 + Tween 20 | 79 ± 4.4 a | 94 ± 2.6 a | 95 ± 1.9 a | 5 ± 1.0 ab |
| 1 mM GA3 + H2O2 + Tween 80 | 72 ± 4.0 ab | 89 ± 3.4 ab | 93 ± 3.0 a | 14 ± 3.8 b |
| 1 mM GA3 + H2O2 + Silwet 408 | 78 ± 4.7 a | 86 ± 2.0 ab | 87 ± 1.0 ab | 10 ± 6.0 ab |
| 1 mM GA3 + H2O2 + Kwet 20 | 80 ± 2.8 a | 90 ± 3.8 a | 92 ± 2.8 a | 14 ± 5.3 b |
| 1 mM GA3 + H2O2 + Water | 73 ± 4.1 ab | 91 ± 1.9 a | 93 ± 1.0 a | 10 ± 4.2 ab |
| (b) | ||||
| Factor II: GA3 | 4 d | 7 d | 14 d | |
| 0.3 mM GA3 | 66 B | 84 B | 87 B | |
| 1 mM GA3 | 76 A | 90 A | 92 A | |
Disclaimer/Publisher’s Note: The statements, opinions and data contained in all publications are solely those of the individual author(s) and contributor(s) and not of MDPI and/or the editor(s). MDPI and/or the editor(s) disclaim responsibility for any injury to people or property resulting from any ideas, methods, instructions or products referred to in the content. |
© 2025 by the authors. Licensee MDPI, Basel, Switzerland. This article is an open access article distributed under the terms and conditions of the Creative Commons Attribution (CC BY) license.
Share and Cite
Ermiş, S.; Amirkhani, M.; Loos, M.T.; Taylor, A.G. Investigations into Selected Pollinator-Friendly Plant Species: Seed Lot Germination, Breaking Dormancy with Plant Hormone Priming and the Influence of Water Stress on Germination. Horticulturae 2026, 12, 32. https://doi.org/10.3390/horticulturae12010032
Ermiş S, Amirkhani M, Loos MT, Taylor AG. Investigations into Selected Pollinator-Friendly Plant Species: Seed Lot Germination, Breaking Dormancy with Plant Hormone Priming and the Influence of Water Stress on Germination. Horticulturae. 2026; 12(1):32. https://doi.org/10.3390/horticulturae12010032
Chicago/Turabian StyleErmiş, Sıtkı, Masoume Amirkhani, Michael T. Loos, and Alan G. Taylor. 2026. "Investigations into Selected Pollinator-Friendly Plant Species: Seed Lot Germination, Breaking Dormancy with Plant Hormone Priming and the Influence of Water Stress on Germination" Horticulturae 12, no. 1: 32. https://doi.org/10.3390/horticulturae12010032
APA StyleErmiş, S., Amirkhani, M., Loos, M. T., & Taylor, A. G. (2026). Investigations into Selected Pollinator-Friendly Plant Species: Seed Lot Germination, Breaking Dormancy with Plant Hormone Priming and the Influence of Water Stress on Germination. Horticulturae, 12(1), 32. https://doi.org/10.3390/horticulturae12010032

