An Automatic Cooling System to Cope with the Thermal–Radiative Stresses in the Pignoletto White Grape
Abstract
1. Introduction
2. Materials and Methods
2.1. Plant Material and Experimental Design
2.2. Fruit-Zone Cooling System Characteristics
2.3. Climate Data Acquisition
2.4. Yield Attributes and Berry Composition at Harvest
2.5. Analysis of Berry Flavonols at Harvest
2.6. Analysis of Berry Aromatic Compounds at Harvest
2.7. Statistical Analysis
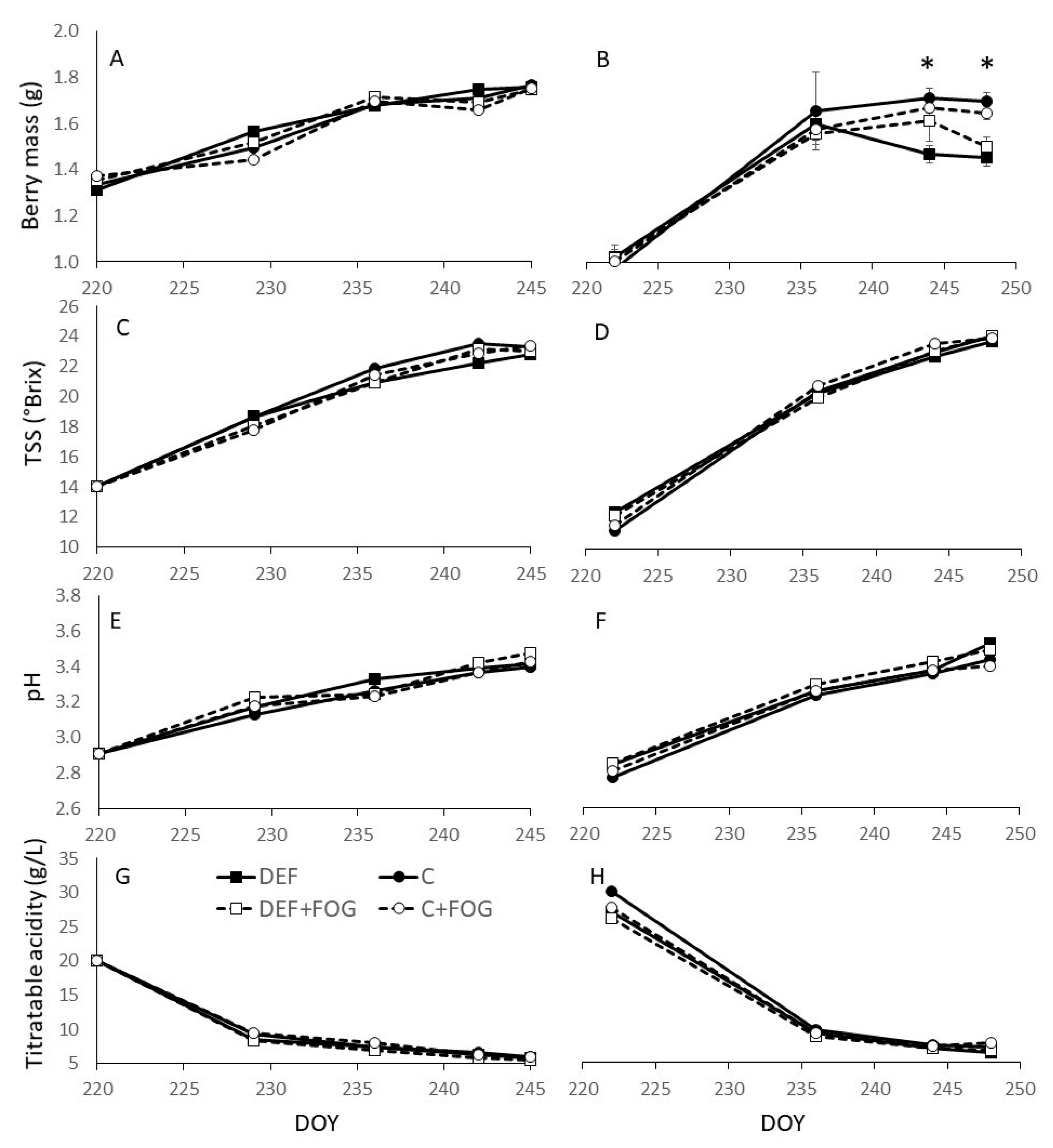
3. Results
4. Discussion
5. Conclusions
Supplementary Materials
Author Contributions
Funding
Data Availability Statement
Conflicts of Interest
References
- Di Carlo, P.; Aruffo, E.; Brune, W.H. Precipitation intensity under a warming climate is threatening some Italian premium wines. Sci. Total Environ. 2019, 685, 508–513. [Google Scholar] [CrossRef] [PubMed]
- Palliotti, A.; Tombesi, S.; Frioni, T.; Famiani, F.; Silvestroni, O.; Zamboni, M.; Poni, S. Morpho-structural and physiological response of container-grown Sangiovese and Montepulciano cvv. (Vitis vinifera) to re-watering after a pre-veraison limiting water deficit. Funct. Plant Biol. 2014, 41, 634–647. [Google Scholar] [CrossRef]
- Frioni, T.; Biagioni, A.; Squeri, C.; Tombesi, S.; Gatti, M.; Poni, S. Grafting cv. Grechetto gentile vines to new m4 rootstock improves leaf gas exchange and water status as compared to commercial 1103p rootstock. Agronomy 2020, 10, 708. [Google Scholar] [CrossRef]
- Tombesi, S.; Poni, S.; Palliotti, A. Water stress in Vitis vinifera: Variability in intraspecific physiological behaviours and their potential exploiting in the mitigation of climate change effects. Italus Hortus 2016, 23, 45–53. [Google Scholar]
- Valentini, G.; Pastore, C.; Allegro, G.; Mazzoleni, R.; Chinnici, F.; Filippetti, I. Assessment of water restriction and canopy shapes on vine physiology, yield parameters and berry composition through biochemical and molecular approaches in Sangiovese grape. Agronomy 2022, 12, 1967. [Google Scholar] [CrossRef]
- Schultz, H.R. Water relations and photosynthetic responses of two grapevine cultivars of different geographical origin during water stress. Acta Hortic. 1996, 427, 251–266. [Google Scholar] [CrossRef]
- Bota, B.J.; Flexas, J.; Medrano, H. Genetic variability of photosynthesis and water use in Baleric grapevine cultivars. Ann. Appl. Biol. 2001, 138, 353–361. [Google Scholar] [CrossRef]
- Filippetti, I.; Allegro, G.; Valentini, G.; Pastore, C.; Poni, S.; Intrieri, C. Effects of mechanical pre-bloom defoliation on cordon de Royat pruned Sangiovese (Vitis vinifera L.) vines. OENO One 2011, 45, 19–25. [Google Scholar] [CrossRef]
- Dinis, L.T.; Ferreira, H.; Pinto, G.; Bernardo, S.; Correia, C.M.; Moutinho-Pereira, J. Kaolin-based, foliar reflective film protects photosystem II structure and function in grapevine leaves exposed to heat and high solar radiation. Photosynthetica 2016, 54, 47–55. [Google Scholar] [CrossRef]
- Gambetta, J.M.; Holzapfel, B.P.; Stoll, M.; Friedel, M. Sunburn in Grapes: A Review. Front. Plant Sci. 2021, 11, 604–691. [Google Scholar] [CrossRef] [PubMed]
- Bondada, B.R.; Keller, M. Not All Shrivels Are Created Equal—Morpho-Anatomical and Compositional Characteristics Differ among Different Shrivel Types That Develop during Ripening of Grape (Vitis vinifera L.) Berries. Am. J. Plant Sci. 2012, 3, 879–898. [Google Scholar] [CrossRef]
- Krasnow, M.N.; Matthews, M.A.; Smith, R.J.; Benz, J.; Weber, E.; Shackel, K.A. Distinctive Symptoms Differentiate Four Common Types of Berry Shrivel Disorder in Grape. Calif. Agric. 2010, 64, 155–159. [Google Scholar] [CrossRef]
- Oliveira, M.; Teles, J.; Barbosa, P.; Olazabal, F.; Queiroz, J. Shading of the fruit zone to reduce grape yield and quality losses caused by sunburn. OENO One 2014, 48, 179–187. [Google Scholar] [CrossRef]
- Rustioni, L.; Milani, C.; Parisi, S.; Failla, O. Chlorophyll Role in Berry Sunburn Symptoms Studied in Different Grape (Vitis Vinifera L.) Cultivars. Sci. Hortic. 2015, 18, 145–150. [Google Scholar] [CrossRef]
- Gambetta, J.M.; Romat, V.; Schmidtke, L.M.; Holzapfel, B.P. Secondary metabolites coordinately protect grapes from excessive light and sunburn damage during development. Biomolecules 2022, 12, 42. [Google Scholar] [CrossRef] [PubMed]
- Greer, D.H.; Rogiers, S.Y.; Steel, C.C. Susceptibility of Chardonnay grapes to sunburn. Vitis 2006, 45, 147–148. [Google Scholar]
- Hulands, S.; Greer, D.H.; Harper, J.D.I. The Interactive Effects of Temperature and Light Intensity on Vitis vinifera cv. ‘Semillon’ Grapevines. II. Berry Ripening and Susceptibility to Sunburn at Harvest. Eur. J. Hortic. Sci. 2014, 79, 1–7. [Google Scholar] [CrossRef]
- Gambetta, G.A.; Kurtural, S.K. Global warming and wine quality: Are we close to the tipping point? OENO One 2021, 55, 353–361. [Google Scholar] [CrossRef]
- Müller, K.; Keller, M.; Stoll, M.; Friedel, M. Wind speed, sun exposure and water status alter sunburn susceptibility of grape berries. Front. Plant Sci. 2023, 14, 114–274. [Google Scholar] [CrossRef]
- Rienth, M.; Vigneron, N.; Darriet, P.; Sweetman, C.; Burbidge, C.; Bonghi, C.; Castellarin, S.D. Grape berry secondary metabolites and their modulation by abiotic factors in a climate change scenario—A review. Front. Plant Sci. 2021, 12, 643258. [Google Scholar] [CrossRef]
- Ibarra, K.; Serra, I.M.; Peña-Neira, Á.; Bambach, N.; Puentes, P.; Calderón-Orellana, A. Sunburn and its Relation to Maturity and Concentration of Aromatic Compounds in Bush-Trained Muscat of Alexandria Vines. Am. J. Enol. Vitic. 2023, 74, 0740037. [Google Scholar] [CrossRef]
- Carriero, G.; Bruno, M.R.; Calone, R.; Bregaglio, S. A literature-based dataset on volatile organic compound (VOC) emissions from multiple grapevine varieties during berry ripening. Data Brief 2025, 62, 111990. [Google Scholar] [CrossRef]
- Movahed, N.; Pastore, C.; Cellini, A.; Allegro, G.; Valentini, G.; Zenoni, S.; Cavallini, E.; D’Incà, E.; Tornielli, G.B.; Filippetti, I. The grapevine VviPrx31 peroxidase as a candidate gene involved in anthocyanin degradation in ripening berries under high temperature. J. Plant Res. 2016, 129, 513–552. [Google Scholar] [CrossRef]
- Pastore, C.; Zenoni, S.; Fasoli, M.; Pezzotti, M.; Tornielli, G.B.; Filippetti, I. Selective defoliation affects plant growth, fruit transcriptional ripening program and flavonoid metabolism in grapevine. BMC Plant Biol. 2013, 13, 30. [Google Scholar] [CrossRef]
- Pastore, C.; Allegro, G.; Valentini, G.; Muzzi, E.; Filippetti, I. Anthocyanin and flavonol composition response to veraison leaf removal on Cabernet Sauvignon, Nero d’Avola, Raboso Piave and Sangiovese Vitis vinifera L. cultivars. Sci. Hortic. 2017, 218, 147–155. [Google Scholar] [CrossRef]
- Allegro, G.; Pastore, C.; Valentini, G.; Filippetti, I. Effects of sunlight exposure on flavonol content and wine sensory of the white winegrape Grechetto gentile. Am. J. Enol. Vitic. 2019, 70, 277–285. [Google Scholar] [CrossRef]
- Zoecklein, B.W.; Wolf, T.K.; Duncan, N.W.; Judge, J.M.; Cook, M.K. Effects of fruit zone leaf removal on yield, fruit composition, and fruit rot incidence of Chardonnay and White Riesling (Vitis vinifera L.) grapes. Am. J. Enol. Vitic. 1992, 43, 139–148. [Google Scholar] [CrossRef]
- Plank, C.M.; Hellman, E.W.; Montague, T. Light and temperature independently influence methoxypyrazine content of Vitis vinifera (cv. Cabernet Sauvignon) berries. HortScience 2019, 54, 282–288. [Google Scholar] [CrossRef]
- Allen, M.S.; Lacey, M.J.; Harris, R.L.N.; Brown, W.V. Sauvignon blanc varietal aroma. Austr. Grapegr. Winem. 1988, 292, 51–56. [Google Scholar]
- Arnold, R.A.; Bledsoe, A.M. The effect of various leaf removal treatments on the aroma and flavor of Sauvignon blanc wine. Am. J. Enol. Vitic. 1990, 41, 74–76. [Google Scholar] [CrossRef]
- Calzarano, F.; Valentini, G.; Arfelli, G.; Seghetti, L.; Manetta, A.C.; Metruccio, E.G.; Di Marco, S. Activity of Italian natural chabasite-rich zeolitites against grey mould, sour rot and grapevine moth, and effects on grape and wine composition. Phytopathol. Mediterr. 2019, 58, 307–321. [Google Scholar]
- Valentini, G.; Pastore, C.; Allegro, G.; Muzzi, E.; Seghetti, L.; Filippetti, I. Application of Kaolin and Italian Natural Chabasite-Rich Zeolitite to Mitigate the Effect of Global Warming in Vitis vinifera L. cv. Sangiovese. Agronomy 2021, 11, 1035. [Google Scholar] [CrossRef]
- Bonini, P.; Danesi, B.; Gabrielli, M.; Poni, S. Effects of automated fruit-zone irrigation cooling and basal leaf removal on physiology and performances of field grown Sauvignon blanc and Barbera grapevines. Irrig. Sci. 2025, 1–18. [Google Scholar] [CrossRef]
- Fraga, H.; Atauri, I.G.; Santos, J.A. Viticultural irrigation demands under climate change scenarios in Portugal. Agric. Water Manag. 2018, 196, 66–74. [Google Scholar] [CrossRef]
- Valentini, G.; Allegro, G.; Pastore, C.; Sangiorgio, D.; Noferini, M.; Muzzi, E.; Filippetti, I. Use of an automatic fruit-zone cooling system to cope with multiple summer stresses in Sangiovese and Montepulciano grapes. Front. Plant Sci. 2024, 15, 1391963. [Google Scholar] [CrossRef] [PubMed]
- Howell, T.A.; Hiler, E.A.; Van Bavel, C.H.M. Crop response to mist irrigation. Trans. ASAE 1971, 14, 906–910. [Google Scholar] [CrossRef]
- Matthias, A.D.; Coates, W.E. Wine Grape Vine Radiation Balance and Temperature Modification with Fine-mist Nozzles. HortScience 1986, 21, 1453–1455. [Google Scholar] [CrossRef]
- Pastore, C.; Dal Santo, S.; Zenoni, S.; Movahed, N.; Allegro, G.; Valentini, G.; Filippetti, I.; Tornielli, G.B. Whole plant temperature manipulation affects flavonoid metabolism and the transcriptome of grapevine berries. Front. Plant Sci. 2017, 8, 929. [Google Scholar] [CrossRef]
- Mattivi, F.; Guzzon, R.; Vrhovsek, U.; Stefanini, M.; Velasco, R. Metabolite profiling of grape: Flavonols and anthocyanins. J. Agric. Food Chem. 2006, 54, 7692–7702. [Google Scholar] [CrossRef]
- Gottardi, D.; Siroli, L.; Braschi, G.; Rossi, S.; Ferioli, F.; Vannini, L.; Lanciotti, R. High-pressure homogenization and biocontrol agent as innovative approaches increase shelf life and functionality of carrot juice. Foods 2021, 10, 2998. [Google Scholar] [CrossRef]
- Frioni, T.; Tombesi, S.; Luciani, E.; Sabbatini, P.; Berrios, J.G.; Palliotti, A. Kaolin treatments on Pinot noir grapevines for the control of heat stress damages. In Bio web of Conferences. EDP Sci. 2019, 13, 04004. [Google Scholar]
- Spayd, S.E.; Tarara, J.M.; Mee, D.L.; Ferguson, J.C. Separation of sunlight and temperature effects on the composition of Vitis vinifera cv. Merlot berries. Am. J. Enol. Vitic. 2002, 53, 171–182. [Google Scholar] [CrossRef]
- Chesness, J.L.; Braud, H.J. Sprinkling to reduce heat stressing of strawberry plants. Agric. Eng. 1970, 51, 140–141. [Google Scholar]
- Gilbert, D.E.; Meyer, J.L.; Kissler, J.J.; LaVine, P.D.; Carison, C.V. Evaporation cooling of vineyards. Calif. Agric. 1970, 24, 12–14. [Google Scholar] [CrossRef][Green Version]
- Kliewer, W.M.; Schultz, H.B. Effect of sprinkler cooling of grapevines on fruit growth and composition. Am. J. Enol. Vitic. 1973, 24, 17–26. [Google Scholar] [CrossRef]
- Robinson, F.E. Arid microclimate modification with sprinklers. Agric. Eng. 1970, 51, 465. [Google Scholar]
- Pitacco, A.; Giulivo, C.; Iacono, F. Controlling vineyard energy balance partition by sprinkling irrigation. In Proceedings of the 3rd International Symposium on Irrigation of Horticultural Crops, Lisbon, Portugal, 28 June–2 July 1999; Volume 537. [Google Scholar]
- Aljibury, F.K.; Brewer, R.; Christensen, P.; Kasimatis, A.N. Grape response to cooling with sprinklers. Am. J. Enol. Vitic. 1975, 26, 214–217. [Google Scholar] [CrossRef]
- Greer, D.H.; Weedon, M.M. Does the hydrocooling of Vitis vinifera cv. Semillon vines protect the vegetative and reproductive growth processes and vine performance against high summer temperatures? Funct. Plant Biol. 2014, 41, 620–633. [Google Scholar] [CrossRef]
- Caravia, L.; Pagay, V.; Collins, C.; Tyerman, S.D. Application of sprinkler cooling within the bunch zone during ripening of Cabernet Sauvignon berries to reduce the impact of high temperature. Aust. J. Grape Wine Res. 2017, 23, 48–57. [Google Scholar] [CrossRef]
- Jones, G.V.; Alves, F. Impact of climate change on wine production: A global overview and regional assessment in the Douro Valley of Portugal. Int. J. Glob. Warm. 2012, 4, 383–406. [Google Scholar] [CrossRef]
- Bianchi, D.; Martino, B.; Lucio, B.; Sara, C.; Daniele, F.; Daniele, M.; Claudio, G. Effect of multifunctional irrigation on grape quality: A case study in Northern Italy. Irrig. Sci. 2023, 41, 521–542. [Google Scholar] [CrossRef]
- Paciello, P.; Mencarelli, F.; Palliotti, A.; Ceccantoni, B.; Thibon, C.; Darriet, P.; Bellincontro, A. Nebulized water cooling of the canopy affects leaf temperature, berry composition and wine quality of Sauvignon blanc. J. Sci. Food Agric. 2017, 97, 1267–1275. [Google Scholar] [CrossRef] [PubMed]
- Bonada, M.; Sadras, V.O. Critical appraisal of methods to investigate the effect of temperature on grapevine berry composition. Aust. J. Grape Wine Res. 2015, 21, 1–17. [Google Scholar] [CrossRef]
- Crippen, D.D.; Morrison, J.C. The effects of sun exposure on the compositional development of Cabernet Sauvignon berries. Am. J. Enol. Vitic. 1986, 37, 235–242. [Google Scholar] [CrossRef]
- Coombe, B.G. Influence of temperature on composition and quality of grapes. In Symposium on Grapevine Canopy and Vigor Management, XXII IHC; International Society for Horticultural Science: Korbeek-Lo, Belgium, 1986; Volume 206, pp. 23–36. [Google Scholar]
- Guidoni, S.; Ferrandino, A.; Novello, V. Influenza dell’esposizione dei grappoli alla luce sulla composizione polifenolica dell’uva. Italus Hortus 2007, 14, 199–203. [Google Scholar]
- Downey, M.O.; Harvey, J.S.; Robinson, S.P. The effect of bunch shading on berry development and flavonoid accumulation in Shiraz grapes. Aust. J. Grape Wine Res. 2004, 10, 55–73. [Google Scholar] [CrossRef]
- Jackson, D.I.; Lombard, P.B. Environmental and management practices affecting grape composition and wine quality-a review. Am. J. Enol. Vitic. 1993, 44, 409–430. [Google Scholar] [CrossRef]
- Teslić, N.; Vujadinović, M.; Ruml, M.; Ricci, A.; Vuković, A.; Parpinello, G.P.; Versari, A. Future climatic suitability of the Emilia-Romagna (Italy) region for grape production. Reg. Environ. Change 2019, 19, 599–614. [Google Scholar] [CrossRef]
- Ruffner, H.P.; Hawker, J.S.; Hale, C.R. Temperature and enzymic control of malate metabolism in berries of Vitis vinifera. Phytochemistry 1976, 15, 1877–1880. [Google Scholar] [CrossRef]
- Matus, J.T.; Loyola, R.; Vega, A.; Pena-Neira, A.; Bordeu, E.; Arce-Johnson, P.; Alcalde, J.A. Post-veraison sunlight exposure induces MYB-mediated transcriptional regulation of anthocyanin and flavonol synthesis in berry skins of Vitis vinifera. J. Exp. Bot. 2009, 60, 853–867. [Google Scholar] [CrossRef]
- Pereira, G.E.; Gaudillere, J.P.; van Leeuwen, C.; Hilbert, G.; Maucourt, M.; Deborde, C.; Rolin, D. 1H NMR metabolite fingerprints of grape berry: Comparison of vintage and soil effects in Bordeaux grapevine growing areas. Anal. Chim. Acta 2006, 563, 346–352. [Google Scholar] [CrossRef]
- Kolb, C.A.; Kopecký, J.; Riederer, M.; Pfündel, E.E. UV screening by phenolics in berries of grapevine (Vitis vinifera). Funct. Plant Biol. 2003, 30, 1177–1186. [Google Scholar] [CrossRef]
- Preys, S.; Mazerolles, G.; Courcoux, P.; Samsona, A.; Fischer, U.; Hanafi, M.; Bertrand, D.; Cheynier, V. Relationship between polyphenolic composition and some sensory properties in red wines using multiway analyses. Analytica Chim. Acta 2006, 563, 126–136. [Google Scholar] [CrossRef]
- Kalua, C.M.; Boss, P.K. Evolution of volatile compounds during the development of Cabernet Sauvignon grapes (Vitis vinifera L.). J. Agric. Food Chem. 2009, 57, 3818–3830. [Google Scholar] [CrossRef] [PubMed]
- Tesniere, C.; Abbal, P. Alcohol Dehydrogenase Genes & Proteins In Grapevine Molecular Physiology & Biotechnology; Springer: Dordrecht, The Netherlands, 2009; pp. 141–160. [Google Scholar]
- Campos-Arguedas, F.; Sarrailhé, G.; Nicolle, P.; Dorais, M.; Brereton, N.J.; Pitre, F.E.; Pedneault, K. Different temperature and UV patterns modulate berry maturation and volatile compounds accumulation in Vitis sp. Front. Plant Sci. 2022, 13, 862259. [Google Scholar]




| NO FOG | FOG | |
|---|---|---|
| NO DEF | C | C + FOG |
| DEF | DEF | DEF + FOG |
| DOY | Range Air T (°C) | Average Maximum Air T (°C) | Mist Cycle Per Day (n) | Drop Air T in FOG (°C) |
|---|---|---|---|---|
| 216 | 37.0–40.6 | 37.7 | 3 | −3.3 |
| 217 | 38.1–41.6 | 39.1 | 12 | 3.8 |
| 218 | 39.0–41.6 | 38.5 | 6 | 2.4 |
| 222 | 33.6–35.1 | 33.9 | 6 | 1.1 |
| 223 | 34.1–35.6 | 33.7 | 6 | 1.5 |
| 229 | 36.8–37.6 | 35.1 | 3 | 0.4 |
| 232 | 33.9–35.6 | 33.5 | 3 | 1.6 |
| DOY | Range Air T (°C) | Average Maximum Air T (°C) | Mist Cycle Per Day (n) | Drop Air T in FOG (°C) |
|---|---|---|---|---|
| 224 | 32.1–37.1 | 34.2 | 16 | 3.7 |
| 225 | 33.5–37.7 | 34.7 | 14 | 3.3 |
| 226 | 31.9–36.2 | 34.7 | 12 | 1.3 |
| 227 | 29.8–36.4 | 34.9 | 12 | 0.8 |
| 228 | 30.7–38.2 | 35.6 | 14 | 1.2 |
| 229 | 29.1–35.3 | 34.4 | 4 | 0.5 |
| 230 | 30.9–38.2 | 35.2 | 14 | 1.1 |
| 231 | 31.3–38.7 | 35.9 | 14 | 0.9 |
| 232 | 34.7–38.0 | 36.0 | 14 | 0.9 |
| 233 | 32.0–39.7 | 37.3 | 14 | 2.2 |
| 234 | 33.0–40.8 | 38.5 | 16 | 2.4 |
| 235 | 34.8–41.9 | 39.9 | 16 | 2.1 |
| DOY | NO FOG | FOG | |
|---|---|---|---|
| 217 | NO DEF | 35.1 a | 30.9 b |
| DEF | 39.0 a | 29.5 b | |
| 232 | NO DEF | 33.2 a | 31.4 a |
| DEF | 35.8 a | 28.2 b |
| DOY | NO FOG | FOG | |
|---|---|---|---|
| 225 | NO DEF | 32.8 a | 30.6 b |
| DEF | 35.4 a | 28.1 b | |
| 235 | NO DEF | 35.9 a | 33.3 b |
| DEF | 37.4 a | 35.4 b |
| Parameter | 2022 | 2023 | Significance | ||||||
|---|---|---|---|---|---|---|---|---|---|
| NO FOG | FOG | NO FOG | FOG | YEAR | DEF | FOG | INTERACTIONS | ||
| Cluster (n) | NO DEF | 21 | 21 | 30 | 30 | p = 0.0005 | ns | ns | ns |
| DEF | 21 | 21 | 30 | 30 | |||||
| Yield (kg) | NO DEF | 2.85 | 3.20 | 3.28 | 3.72 | ns | ns | p = 0.05 | ns |
| DEF | 2.89 | 3.35 | 3.07 | 3.29 | |||||
| Cluster weight (g) | NO DEF | 130 | 150 | 109 | 124 | ns | ns | ns | YEAR × FOG (p = 0.083) |
| DEF | 140 | 158 | 104 | 114 | |||||
| Berry mass (g) | NO DEF | 1.77 | 1.75 | 1.63 | 1.58 | ns | ns | ns | YEAR × DEF (p = 0.017) |
| DEF | 1.76 | 1.75 | 1.42 | 1.45 | |||||
| Necrosis incidence (%) | NO DEF | 53 | 41 | 3 | 3 | ns | ns | p = 0.043 | YEAR × DEF (p = 0.011) |
| DEF | 45 | 35 | 32 | 17 | |||||
| Necrosis severity (%) | NO DEF | 3 | 2 | 6 | 2 | ns | ns | ns | YEAR × DEF (p = 0.045) YEAR × FOG (p = 0.040) |
| DEF | 4 | 4 | 16 | 6 | |||||
| TSS (°Brix) | NO DEF | 23.4 | 23.4 | 24.0 | 23.9 | p = 0.054 | ns | ns | ns |
| DEF | 22.8 | 23.0 | 23.6 | 24.0 | |||||
| pH | NO DEF | 3.39 | 3.42 | 3.41 | 3.37 | ns | ns | ns | ns |
| DEF | 3.41 | 3.48 | 3.49 | 3.46 | |||||
| Titratable acidity (g/L) | NO DEF | 6.00 | 5.92 | 7.23 | 7.81 | ns | ns | ns | YEAR × DEF (p = 0.081) YEAR × FOG (p = 0.035) |
| DEF | 5.73 | 5.48 | 6.45 | 6.75 | |||||
| Flavonols (mg/kg) | NO DEF | 3.6 | 2.3 | 5.6 | 6.3 | ns | ns | ns | YEAR × DEF (p = 0.006) |
| DEF | 7.9 | 8.7 | 39.4 | 39.3 | |||||
Disclaimer/Publisher’s Note: The statements, opinions and data contained in all publications are solely those of the individual author(s) and contributor(s) and not of MDPI and/or the editor(s). MDPI and/or the editor(s) disclaim responsibility for any injury to people or property resulting from any ideas, methods, instructions or products referred to in the content. |
© 2025 by the authors. Licensee MDPI, Basel, Switzerland. This article is an open access article distributed under the terms and conditions of the Creative Commons Attribution (CC BY) license (https://creativecommons.org/licenses/by/4.0/).
Share and Cite
Valentini, G.; Allegro, G.; Pastore, C.; Zanini, A.; Moffa, A.; Gottardi, D.; Gomez-Urios, C.; Patrignani, F.; Filippetti, I. An Automatic Cooling System to Cope with the Thermal–Radiative Stresses in the Pignoletto White Grape. Horticulturae 2025, 11, 1128. https://doi.org/10.3390/horticulturae11091128
Valentini G, Allegro G, Pastore C, Zanini A, Moffa A, Gottardi D, Gomez-Urios C, Patrignani F, Filippetti I. An Automatic Cooling System to Cope with the Thermal–Radiative Stresses in the Pignoletto White Grape. Horticulturae. 2025; 11(9):1128. https://doi.org/10.3390/horticulturae11091128
Chicago/Turabian StyleValentini, Gabriele, Gianluca Allegro, Chiara Pastore, Alberto Zanini, Alice Moffa, Davide Gottardi, Clara Gomez-Urios, Francesca Patrignani, and Ilaria Filippetti. 2025. "An Automatic Cooling System to Cope with the Thermal–Radiative Stresses in the Pignoletto White Grape" Horticulturae 11, no. 9: 1128. https://doi.org/10.3390/horticulturae11091128
APA StyleValentini, G., Allegro, G., Pastore, C., Zanini, A., Moffa, A., Gottardi, D., Gomez-Urios, C., Patrignani, F., & Filippetti, I. (2025). An Automatic Cooling System to Cope with the Thermal–Radiative Stresses in the Pignoletto White Grape. Horticulturae, 11(9), 1128. https://doi.org/10.3390/horticulturae11091128

