Evaluation of Nutrient-Rich Growing Media for Eco-Friendly Basil Production
Abstract
1. Introduction
2. Materials and Methods
2.1. Plant Materials and Experimental Design
2.2. Planting Management in Greenhouse
2.3. Data Collection and Analysis
2.3.1. Physicochemical Properties of Growing Media
2.3.2. Growth and Yield Determination
2.3.3. Photosynthetic Pigments
2.3.4. Phytochemical Analysis
2.3.5. Nutrient Accumulation in Plant Tissues
2.3.6. Yield Estimation and Economic Benefit Analysis
2.4. Statistical Analysis
3. Results
3.1. Physical and Chemical Properties of Growing Media
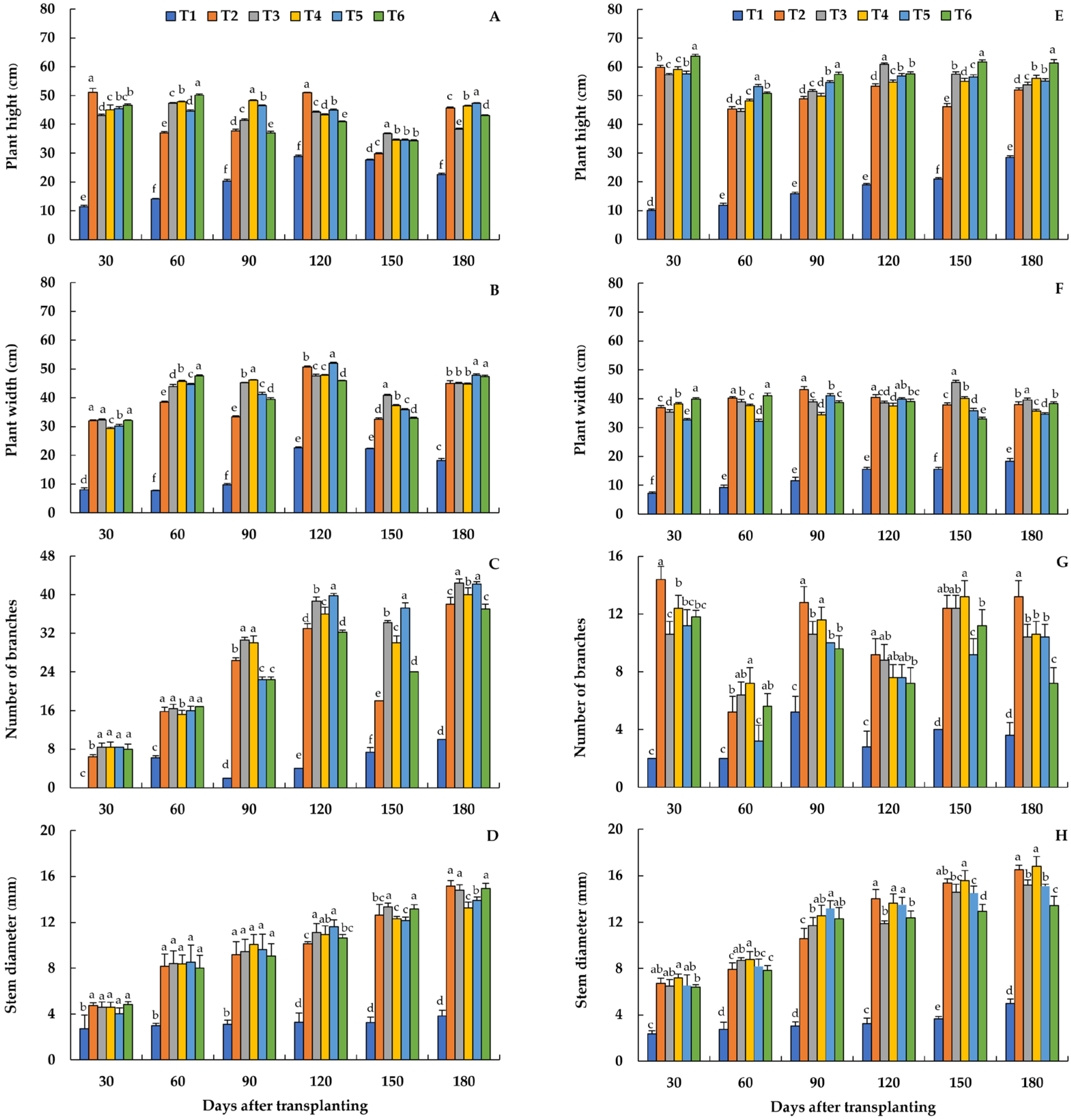
3.2. Plant Growth Under Different Growing Media Treatments
3.3. Yield Characteristics Under Different Growing Media Treatments
3.4. Photosynthetic Pigments Under Different Growing Media Treatments
3.5. Phytochemical Composition Under Different Growing Media Treatments
3.6. Nutrient Accumulation in Plant Tissues Under Different Growing Media Treatments
3.7. Economic Profitability
3.8. Data Correlation Analysis
4. Discussion
5. Conclusions
Supplementary Materials
Author Contributions
Funding
Data Availability Statement
Acknowledgments
Conflicts of Interest
References
- Hansmann, R.; Baur, I.; Binder, C.R. Increasing organic food consumption: An integrating model of drivers and barriers. J. Clean. Prod. 2020, 275, 123058. [Google Scholar] [CrossRef]
- Javanmardi, J.; Goli, I.; Choobchian, S.; Varnik, R.; Ghazali, S.; Miceikiene, A.; Pour, M.; Mar’echal, K.; Azadi, H. Public preferences and attitudes toward organic vegetables: The case of Iranian consumers. Int. J. Gastron. Food Sci. 2025, 39, 101094. [Google Scholar] [CrossRef]
- Cecílio Filho, A.B.; Nascimento, C.S.; de Jesus Pereira, B.; Nascimento, C.S. Nitrogen fertilisation impacts greenhouse gas emissions, carbon footprint, and agronomic responses of beet intercropped with arugula. J. Environ. Manag. 2022, 307, 114568. [Google Scholar] [CrossRef]
- Chikte, T.; Kopta, T.; Psota, V.; Arizmendi, J.; Chwil, M. A comprehensive review of low- and zero-residue pesticide methods in vegetable production. Agronomy 2024, 14, 2745. [Google Scholar] [CrossRef]
- Khan, M.T.; Aleinikovienė, J.; Butkevičienė, L.M. Innovative organic fertilizers and cover crops: Perspectives for sustainable agriculture in the era of climate change and organic agriculture. Agronomy 2024, 14, 2871. [Google Scholar] [CrossRef]
- Srivastava, R.K.; Purohit, S.; Alam, E.; Islam, M.K. Advancements in soil management: Optimizing crop production through interdisciplinary approaches. J. Agric. Food Res. 2024, 18, 101528. [Google Scholar] [CrossRef]
- Varela Milla, O.; Rivera, E.B.; Huang, W.J.; Chien, C.C.; Wang, Y.M. Agronomic properties and characterization of rice husk and wood biochars and their effect on the growth of water spinach in a field test. J. Soil Sci. Plant Nutr. 2013, 13, 251–266. [Google Scholar] [CrossRef]
- Kumari, K.; Prasad, J.; Solanki, S.; Chaudhary, R. Long-term effect of crop residues incorporation on yield and soil physical properties under rice—Wheat cropping system in calcareous soil. J. Soil Sci. Plant Nutr. 2018, 18, 27–40. [Google Scholar] [CrossRef]
- Amoah-Antwi, C.; Kwiatkowska-Malina, J.; Thornton, S.F.; Fenton, O.; Malina, G.; Szara, A. Restoration of soil quality using biochar and brown coal waste: A review. Sci. Total Environ. 2020, 722, 137852. [Google Scholar] [CrossRef]
- Fu, B.; Chen, L.; Huang, H.; Qu, P.; Wei, Z. Impacts of crop residues on soil health: A review. Environ. Pollut. Bioavailab. 2021, 33, 164–173. [Google Scholar] [CrossRef]
- Zeeshan Manzoor, M.; Sarwar, G.; Ibrahim, M.; Rehan, S.S.; Hasnain, Z.; Rais, A.; Gul, S.; Alfagham, A.T.; Manono, B.O.; Mehmood, K.; et al. Remediation quantum of organic amendments to immobilize potentially toxic heavy metals in wastewater-contaminated soils through maize cultivation. Front. Environ. Sci. 2024, 12, 1420705. [Google Scholar] [CrossRef]
- Makri, O.; Kintzios, S. Ocimum sp. (Basil): Botany, cultivation, pharmaceutical properties, and biotechnology. J. Herbs Spices Med. Plants 2008, 13, 123–150. [Google Scholar] [CrossRef]
- Kalita, M.; Devi, N. A taxonomic review of the genus Ocimum L. (Ocimeae, Lamiaceae). Plant Sci. Today 2023, 10, 126–137. [Google Scholar] [CrossRef]
- Lekhapan, P.; Anamthawat-Jónsson, K.; Chokchaichamnankit, P. Comparative karyotype analysis and chromosome evolution in the genus Ocimum L. from Thailand. Trop. Nat. Hist. 2021, 21, 27–40. [Google Scholar] [CrossRef]
- Kandil, M.A.M.; Khatab, M.E.; Ahmed, S.S.; Schnug, E. Herbal and essential oil yield of Genovese basil (Ocimum basilicum L.) grown with mineral and organic fertilizer sources in Egypt. J. Kult. 2009, 61, 443–449. [Google Scholar] [CrossRef]
- Betuzzi, F.; Campioli, D.; Malaspina, P.; Rapallo, F.; Bottino, G.; Scrigna, G.; Minuto, G.; Cornara, L. Morphological and phytochemical characterization of old Ligurian basil accessions: Recovery of old biodiversity for future exploitation. Plants 2025, 14, 553. [Google Scholar] [CrossRef]
- Ngamakeue, N.; Chitprasert, P. Encapsulation of holy basil essential oil in gelatin: Effects of palmitic acid in carboxymethyl cellulose emulsion coating on antioxidant and antimicrobial activities. Food Bioprocess Technol. 2016, 9, 1735–1745. [Google Scholar] [CrossRef]
- Chinedu, E.; Ofili, C.C. Ocimum species: Ethnomedicinal uses, phytochemistry and pharmacological importance. Int. J. Curr. Res. Physiol. Pharmacol. 2021, 5, 1–12. [Google Scholar] [CrossRef]
- Spence, C. Sweet basil: An increasingly popular culinary herb. Int. J. Gastron. Food Sci. 2024, 36, 100927. [Google Scholar] [CrossRef]
- Ciriello, M.; Formisano, L.; El-Nakhel, C.; Corrado, G.; Pannico, A.; De Pascale, S.; Rouphael, Y. Morpho-physiological responses and secondary metabolites modulation by preharvest factors of three hydroponically grown Genovese basil cultivars. Front. Plant Sci. 2021, 12, 671026. [Google Scholar] [CrossRef]
- Rusu, T.; Cowden, R.J.; Moraru, P.I.; Maxim, M.A.; Ghaley, B.B. Overview of multiple applications of basil species and cultivars and the effects of production environmental parameters on yields and secondary metabolites in hydroponic systems. Sustainability 2021, 13, 11332. [Google Scholar] [CrossRef]
- Chutimanukul, P.; Jindamol, H.; Thongtip, A.; Korinsak, S.; Romyanon, K.; Toojinda, T.; Darwell, C.T.; Wanichananan, P.; Panya, A.; Kaewsri, W.; et al. Physiological responses and variation in secondary metabolite content among Thai holy basil cultivars (Ocimum tenuiflorum L.) grown under controlled environmental conditions in a plant factory. Front. Plant Sci. 2022, 13, 1008917. [Google Scholar] [CrossRef] [PubMed]
- Azizah, N.S.; Irawan, B.; Kusmoro, J.; Safriansyah, W.; Farabi, K.; Oktavia, D.; Doni, F.; Miranti, M. Sweet basil (Ocimum basilicum L.)—A review of its botany, phytochemistry, pharmacological activities, and biotechnological development. Plants 2023, 12, 4148. [Google Scholar] [CrossRef] [PubMed]
- Avasiloaiei, D.I.; Calara, M.; Brezeanu, P.M.; Murariu, O.C.; Brezeanu, C. On the future perspectives of some medicinal plants within Lamiaceae botanic family regarding their comprehensive properties and resistance against biotic and abiotic stresses. Genes 2023, 14, 955. [Google Scholar] [CrossRef] [PubMed]
- Namvong, U.; Chongrattanameteekul, W. Pesticide residues on sweet basil, Ocimum basilicum L. (Labiatae) under different production systems from Central Thailand. Kasetsart J. 2013, 47, 695–703. Available online: https://li01.tci-thaijo.org/index.php/anres/article/view/243119 (accessed on 21 January 2025).
- Prokchon U-sap. Statistics on Pesticide Residues in Vegetables and Fruits 2024. Thai-PAN. Available online: https://thaipan.org/conference/2025 (accessed on 3 July 2025).
- Gruda, N.S. Increasing sustainability of growing media constituents and stand-alone substrates in soilless culture systems. Agronomy 2019, 9, 298. [Google Scholar] [CrossRef]
- Litterick, A.M.; Holmes, S.; Frederickson-Matika, D.E.; Green, S. How safe are peat-free growing media? An exploration of plant pathogen risks to the horticultural industry and recommendations for risk mitigation. Plant People Planet 2025, 1–16, early view. [Google Scholar] [CrossRef]
- Asadathorn, P.; Setthapun, W.; Rakwichian, W.; Kusolsatit, T. Development of growing media from sugar industrial waste. J. Appl. Res. Sci. Technol. 2016, 15, 14–21. [Google Scholar]
- Ritthidechrat, K.; Anuwong, C. Effects of different potting media on the growth of commercial cacti. ASEAN J. Sci. Technol. Rep. 2022, 25, 59–67. [Google Scholar] [CrossRef]
- Phiri, R.; Rangappa, S.M.; Siengchin, S. Agro-waste for renewable and sustainable green production: A review. J. Clean. Prod. 2024, 434, 139989. [Google Scholar] [CrossRef]
- Muchjajib, U.; Muchjajib, S.; Suknikom, S.; Butsai, J. Evaluation of organic media alternatives for the production of microgreens in Thailand. Acta Hortic. 2015, 1102, 157–162. [Google Scholar] [CrossRef]
- Badagliacca, G.; Testa, G.; La Malfa, S.G.; Cafaro, V.; Lo Presti, E.; Monti, M. Organic fertilizers and bio-waste for sustainable soil management to support crops and control greenhouse gas emissions in mediterranean agroecosystems: A review. Horticulturae 2024, 10, 427. [Google Scholar] [CrossRef]
- Rostaei, M.; Fallah, S.; Carrubba, A.; Lorigooini, Z. Organic manures enhance biomass and improve content, chemical compounds of essential oil and antioxidant capacity of medicinal plants: A review. Heliyon 2024, 10, e36693. [Google Scholar] [CrossRef]
- Salas, R.A.; Godoy, R.M.R.; Salas, F.M.; Harper, N.M.S.; Asio, V.B. Yield and postharvest qualities of two genotypes of eggplant (Solanum melongena L.) applied with different levels of chicken dung. Environ. Asia 2020, 13, 81–86. [Google Scholar] [CrossRef]
- Rayne, N.; Aula, L. Livestock manure and the impacts on soil health: A review. Soil Syst. 2020, 4, 64. [Google Scholar] [CrossRef]
- Salamandane, A.; Muetanene, B.A.; Ismael, F.; Vintuar, P. Application of chicken manure and organic compost to produce onion (Allium cepa L.) and turnip (Brassica rapa L.) in greenhouse. Eur. J. Agric. Food Sci. 2022, 4, 557. [Google Scholar] [CrossRef]
- Manogaran, M.D.; Shamsuddin, R.; Yusoff, M.H.M.; Lay, M.; Siyal, A.A. A review on treatment processes of chicken manure. Clean. Circ. Bioecon. 2022, 2, 100013. [Google Scholar] [CrossRef]
- Paudel, K.P.; Sukprakarn, S.; Sidathani, K.; Osotsapar, Y. Effects of organic manures on production of lettuce (Lactuca sativa L.) in reference to chemical fertilizer. Kasetsart J. 2004, 38, 31–37. [Google Scholar]
- Khalid, K.A.; Shafei, A.M. Productivity of dill (Anethum graveolens L.) as influenced by different organic manure rates and sources. Arab Univ. J. Agric. Sci. 2005, 13, 901–913. [Google Scholar] [CrossRef]
- Ball, M.E.E.; Wright, L.P.; Wilson, K.; Richmond, H.; Cummings, R.; Smyth, S.; Davison, M.; Forbes, K.; Thompson, J.; Bryson, P. The nutrient content of litter and manure from different poultry systems—Updating and establishing the nutrient profile. Sustainability 2024, 16, 6633. [Google Scholar] [CrossRef]
- Li, X.; Kang, X.; Xi, L.; Dou, Q.; Shi, Z.; Liu, T.; Wang, L. Drying characteristics of chicken manure under a variable temperature process. Appl. Sci. 2025, 15, 4093. [Google Scholar] [CrossRef]
- Kumsong, N.; Thepsilvisut, O.; Imorachorn, P.; Chutimanukul, P.; Pimpha, N.; Toojinda, T.; Trithaveesak, O.; Ratanaudomphisut, E.; Poyai, A.; Hruanun, C.; et al. Comparison of different temperature control systems in tropical-adapted greenhouses for green romaine lettuce production. Horticulturae 2023, 9, 1255. [Google Scholar] [CrossRef]
- Kudreaung, P.; Chromkaew, Y.; Chinachanta, K.; Chaiwan, F.; Shutsrirung, A. Microbial decomposition of longan leaf: I. physico-chemical and biological changes during composting. Asia Pac. J. Sci. Technol. 2020, 25, 1–9. [Google Scholar] [CrossRef]
- Charoenchang, N.; Pinphanichakarn, P.; Pattaragulwanit, K.; Thaniyavarn, S.; Juntongjin, K. Utilization of agricultural materials to enhance microbial degradation of polycyclic aromatic hydrocarbons in soil. J. Sci. Res. Chula. Univ. 2003, 28, 1–13. [Google Scholar]
- Ahmad, M.R.; Uddin, M.A.; Juwel, M.A.I.; Sultana, T.; Hashem, M.A.; Moslehuddin, A.Z.M. Integrated use of raintree leaves with urea on BRRI dhan 41 rice. Int. J. Nat. Soc. Sci. 2015, 2, 66–75. [Google Scholar]
- Rahman, M.M.; Adzkia, U.; Nandika, D.; Siregar, I.Z.; Karlinasari, L. Urban tree bark analysis for monitoring of air pollution level in Jakarta business district. IOP Conf. Ser. Earth Environ. Sci. 2022, 1109, 012052. [Google Scholar] [CrossRef]
- Wakano, D.; Sahertian, D.E. Heavy metal lead (Pb) accumulation in Trembesi leaves (Samanea saman (Jacq.) Merr.) on Dr. J. Leimena and Jenderal Sudirman street, Ambon (Case study: Pandemic period). AIP Conf. Proc. 2023, 2588, 030015. [Google Scholar] [CrossRef]
- Walkley, A.; Black, I.A. An examination of Degtjareff method for determining organic carbon in soils: Effect of variationsindigestion conditions and of inorganic soil constituents. Soil Sci. 1934, 63, 251c263. [Google Scholar] [CrossRef]
- Di Gioia, F.; Bellis, P.D.; Mininni, C.; Santamaria, P.; Serio, F. Physicochemical, agronomical and microbiological evaluation ofalternative growing media for the production of rapini (Brassica rapa L.) microgreens. J. Sci. Food Agric. 2017, 97, 1212–1219. [Google Scholar] [CrossRef]
- Qin, D.; He, Q.; Mousavi, S.M.N.; Abbey, L. Evaluation of aging methods on the surface characteristics of hydrochar and germination indices for kale seeds. Horticulturae 2023, 9, 545. [Google Scholar] [CrossRef]
- Bazaz, A.M.; Karimian, Z.; Bannayan, M. Modeling individual leaf area of basil (Ocimum basilicum) using different methods. Int. J. Plant Prod. 2011, 5, 439–447. [Google Scholar] [CrossRef]
- Mackinney, G. Absorption of light by chlorophyll solutions. J. Biol. Chem. 1941, 140, 315–322. [Google Scholar] [CrossRef]
- Yu, X.L.; Hu, Q.L.; Huang, Y. Study on extracting methods and characteristics of chlorophyll in peony. J. Luoyang Norm. Univ. 2005, 5, 113–115. [Google Scholar] [CrossRef]
- Wei, X.; Khachatryan, H.; Rihn, A. Production costs and profitability for selected greenhouse grown annual and perennial crops: Partial enterprise budgeting and sensitivity analysis. HortScience 2020, 55, 637–646. [Google Scholar] [CrossRef]
- Fisher, P.; Hodges, A.; Swanekamp, B.; Hall, C.; The New Economics of Greenhouse Production. Floriculture Research Alliance. Available online: http://ellisonchair.tamu.edu/files/2013/09/Combined-costing-series.pdf (accessed on 8 January 2024).
- Motulsky, H.J. GraphPad Statistics Guide. 2024. Available online: http://www.graphpad.com/guides/prism/10/statistics/index.htm (accessed on 10 February 2025).
- Pawlak, K.; Kołodziejczak, M. The role of agriculture in ensuring food security in developing countries: Considerations in the context of the problem of sustainable food production. Sustainability 2020, 12, 5488. [Google Scholar] [CrossRef]
- Saleem, A.; Anwar, S.; Nawaz, T.; Fahad, S.; Saud, S.; Rahman, T.U.; Khan, M.N.R.; Nawaz, T. Securing a sustainable future: The climate change threat to agriculture, food security, and sustainable development goals. J. Umm Al-Qura Univ. Appl. Sci. 2024, 11, 595–611. [Google Scholar] [CrossRef]
- Norsuwan, T.; Panyasai, T.; Utasuk, K.; Saltikulnukarn, T.; Thippachote, K. Effect of climatic conditions and pest constraints on seasonal yield gaps in pesticide-free vegetable production under integrated pest management in Chiang Mai province, Thailand. Agric. Nat. Resour. 2021, 55, 139–146. [Google Scholar]
- Mobin, M.; Khan, N.A. Photosynthetic activity, pigment composition and antioxidative response of two mustard (Brassica juncea) cultivars differing in photosynthetic capacity subjected to cadmium stress. J. Plant Physiol. 2007, 164, 601–610. [Google Scholar] [CrossRef]
- He, H.; Yu, L.; Yang, X.; Luo, L.; Liu, J.; Chen, J.; Kou, Y.; Zhao, W.; Liu, Q. Effects of different soils on the biomass and photosynthesis of Rumex nepalensis in subalpine region of southwestern China. Forests 2022, 13, 73. [Google Scholar] [CrossRef]
- Ali, M.M.; Al-Ani, A.; Eamus, D.; Tan, D.K.Y. Leaf nitrogen determination using nondestructive techniques—A review. J. Plant Nutr. 2017, 40, 928–953. [Google Scholar] [CrossRef]
- Talebzadeh, F.; Valeo, C. Evaluating the effects of environmental stress on leaf chlorophyll content as an index for tree health. IOP Conf. Ser. Earth Environ. Sci. 2021, 1006, 012007. [Google Scholar] [CrossRef]
- Fathi, H. Role of nitrogen (N) in plant growth, photosynthesis pigments, and N use efficiency: A review. Agrisost 2022, 28, 1–8. [Google Scholar] [CrossRef]
- Zayed, O.; Hewedy, O.A.; Abdelmoteleb, A.; Ali, M.; Youssef, M.S.; Roumia, A.F.; Seymour, D.; Yuan, Z.C. Nitrogen journey in plants: From uptake to metabolism, stress response, and microbe interaction. Biomolecules 2023, 13, 1443. [Google Scholar] [CrossRef] [PubMed]
- Wang, Q.; Li, S.; Li, J.; Huang, D. The utilization and roles of nitrogen in plants. Forests 2024, 15, 1191. [Google Scholar] [CrossRef]
- Litvin, A.G.; Currey, C.J.; Wilson, L.A. Effects of supplemental light source on basil, dill, and parsley growth, morphology, aroma, and flavor. J. Am. Soc. Hortic. Sci. 2020, 145, 18–29. [Google Scholar] [CrossRef]
- Crișan, I.; Bunea, A.; Vârban, D.; Cordea, M.I.; Horga, V.; Vînătoru, C.; Stoie, A.; Vârban, R. Variation in the photosynthetic leaf pigments of different basil (Ocimum spp.) genotypes under varying conditions at the flowering stage. Horticulturae 2024, 10, 740. [Google Scholar] [CrossRef]
- Lima, J.C.; do Nascimento, M.N.; de Oliveira, U.C.; dos Santos, A.R.; Brito, G.S.; da Silva Santos, J. Nutritional diagnosis of nitrogen and phosphorus in Ocimum basilicum L. plants grown under macronutrient applications. Comun. Sci. 2023, 14, e3867. [Google Scholar] [CrossRef]
- Sardans, J.; Peñuelas, J. Potassium control of plant functions: Ecological and agricultural implications. Plants 2021, 10, 419. [Google Scholar] [CrossRef]
- Xie, K.; Cakmak, I.; Wang, S.; Zhang, F.; Guo, S. Synergistic and antagonistic interactions between potassium and magnesium in higher plants. Crop J. 2021, 9, 249–256. [Google Scholar] [CrossRef]
- Papadakis, I.E.; Ladikou, E.V.; Oikonomou, A.; Chatzistathis, T.; Chatziperou, G. Exploring the impact of potassium on growth, photosynthetic performance, and nutritional status of lemon trees (cv. Adamopoulou) grafted onto sour orange and Volkamer lemon rootstocks. Sustainability 2023, 15, 15858. [Google Scholar] [CrossRef]
- Becker, C.; Urlić, B.; Jukić Špika, M.; Kläring, H.P.; Krumbein, A.; Baldermann, S.; Goreta Ban, S.; Perica, S.; Schwarz, D. Nitrogen limited red and green leaf lettuce accumulate flavonoid glycosides, caffeic acid derivatives, and sucrose while losing chlorophylls, B-carotene and xanthophylls. PLoS ONE 2015, 10, e0142867. [Google Scholar] [CrossRef]
- Su, N.; Wu, Q.; Cui, J. Increased sucrose in the hypocotyls of radish sprouts contributes to nitrogen deficiency-induced anthocyanin accumulation. Front. Plant Sci. 2016, 7, 1976. [Google Scholar] [CrossRef]
- Utasee, S.; Jamjod, S.; Lordkaew, S.; Prom-U-Thai, C. Improve anthocyanin and zinc concentration in purple rice by nitrogen and zinc fertilizer application. Rice Sci. 2022, 29, 435–450. [Google Scholar] [CrossRef]
- Feng, W.; Xue, W.; Zhao, Z.; Wang, H.; Shi, Z.; Wang, W.; Chen, B.; Qiu, P.; Xue, J.; Sun, M. Nitrogen level impacts the dynamic changes in nitrogen metabolism, and carbohydrate and anthocyanin biosynthesis improves the kernel nutritional quality of purple waxy maize. Plants 2024, 13, 2882. [Google Scholar] [CrossRef] [PubMed]
- Soubeyrand, E.; Basteau, C.; Hilbert, C.; van Leeuwen, C.; Delrot, S.; Gomès, E. Nitrogen supply affects anthocyanin biosynthetic and regulatory genes in grapevine cv. Cabernet-Sauvignon berries. Phytochemistry 2014, 103, 38–49. [Google Scholar] [CrossRef] [PubMed]
- Ibrahim, M.H.; Jaafar, H.Z.E.; Rahmat, A.; Rahman, Z.A. The relationship between phenolics and flavonoids production with total non-structural carbohydrate and photosynthetic rate in Labisia pumila Benth. under high CO2 and nitrogen fertilization. Molecules 2011, 16, 162–174. [Google Scholar] [CrossRef]
- Jakovljevic, D.; Momcilovic, J.; Bojovic, B.; Stankovic, M. The short-term metabolic modulation of basil (Ocimum basilicum L. cv. ‘Genovese’) after exposure to cold or heat. Plants 2021, 10, 590. [Google Scholar] [CrossRef]
- Fayezizadeh, M.R.; Ansari, N.A.; Sourestani, M.M.; Hasanuzzaman, M. Balancing yield and antioxidant capacity in basil microgreens: An exploration of nutrient solution concentrations in a floating system. Agriculture 2023, 13, 1691. [Google Scholar] [CrossRef]
- Ramakrishna, A.; Ravishankar, G.A. Influence of abiotic stress signals on secondary metabolites in plants. Plant Signal Behav. 2011, 6, 1720–1731. [Google Scholar] [CrossRef]
- Gaude, A.A.; Jalmi, S.K. Environmental stress induced biosynthesis of plant secondary metabolites transcriptional regulation as a key. Crop Des. 2025, 4, 100100. [Google Scholar] [CrossRef]
- Ren, X.; Lu, N.; Xu, W.; Zhuang, Y.; Takagaki, M. Optimization of the yield, total phenolic content, and antioxidant capacity of basil by controlling the electrical conductivity of the nutrient solution. Horticulturae 2022, 8, 216. [Google Scholar] [CrossRef]
- Saelao, T.; Chutimanukul, P.; Suratanee, A.; Plaimas, K. Analysis of antioxidant capacity variation among thai holy basil cultivars (Ocimum tenuiflorum L.) using density-based clustering algorithm. Horticulturae 2023, 9, 1094. [Google Scholar] [CrossRef]
- Kwee, E.M.; Niemeyer, E.D. Variations in phenolic composition and antioxidant properties among 15 basil (Ocimum basilicum L.) cultivars. Food Chem. 2011, 128, 1044–1050. [Google Scholar] [CrossRef]
- Nin, S.; Bini, L.; Antonetti, M.; Manzi, D.; Bonetti, D. Growing ‘Genovese’ and ‘Valentino’ basil in pots using peat substrate combined with phytoremediated sediment: Effects on yield and nutraceutical content. Sustainability 2023, 15, 7314. [Google Scholar] [CrossRef]
- Alberto de Morais Watanabe, E.; Alfinito, S.; Castelo Branco, T.V.; Felix Raposo, C.; Athayde Barros, M. The consumption of fresh organic food: Premium pricing and the predictors of willingness to pay. J. Food Prod. Mark. 2023, 29, 41–55. [Google Scholar] [CrossRef]
- Smoluk-Sikorska, J. Differences between prices of organic and conventional food in Poland. Agriculture 2024, 14, 2308. [Google Scholar] [CrossRef]





| Treatment | Ratio of Mixture Materials (v/v) | Total Ratio | ||||||
|---|---|---|---|---|---|---|---|---|
| Topsoil (T) | Composted Rain Tree Leaves (CL) | Filter Cake (FC) | Long-Term Composted Chicken Manure (LM) | Short-Term Composted Chicken Manure (SM) | Coconut Coir Dust (CD) | Rice Husk Ash (RHA) | ||
| T1 | Commercial soil mixed media (topsoil, sand, and organic fertilizer in a 1:1:2 v/v ratio) | |||||||
| T2 | 3 | 1 | 2 | 2 | 0 | 1 | 1 | 10 |
| T3 | 3 | 0 | 2 | 2 | 0 | 1.5 | 1.5 | 10 |
| T4 | 3 | 0 | 2 | 0 | 2 | 1.5 | 1.5 | 10 |
| T5 | 3 | 0 | 2 | 1 | 1 | 1.5 | 1.5 | 10 |
| T6 | Topsoil with recommended fertilizer doses; Basal application: 5 t ha−1 of cow manure + 187.50 kg ha−1 of a 15-15-15 formula (N-P-K); Top dressing (after each harvesting time): 187.50 kg ha−1 of a 15-15-15 formula (N-P-K) for holy basil; 187.50 kg ha−1 of urea (46-0-0) for Genovese basil. | |||||||
| Item (in USD) | Growing Media Treatment | |||||
|---|---|---|---|---|---|---|
| T1 | T2 | T3 | T4 | T5 | T6 | |
| Greenhouse construction costs | 2880.00 | 2880.00 | 2880.00 | 2880.00 | 2880.00 | 2880.00 |
| Direct costs | ||||||
| Seedlings | 68.05 | 68.05 | 68.05 | 68.05 | 68.05 | 68.05 |
| Pots | 340.23 | 340.23 | 340.23 | 340.23 | 340.23 | 340.23 |
| Growing media | 240.43 | 192.80 | 129.29 | 111.14 | 120.22 | 108.85 |
| Chemical fertilizer | ||||||
| 15-15-15 formula | - | - | - | - | - | 1.81 |
| Urea (46-0-0) | - | - | - | - | - | 7.49 |
| Pest control | 11.34 | 11.34 | 11.34 | 11.34 | 11.34 | 11.34 |
| Total direct costs | 660.05 | 612.42 | 548.91 | 530.76 | 539.84 | 537.77 |
| Labor costs | ||||||
| Soil preparation | 21.09 | 21.09 | 21.09 | 21.09 | 21.09 | 21.09 |
| Planting | 10.55 | 10.55 | 10.55 | 10.55 | 10.55 | 10.55 |
| Maintaining | 474.62 | 474.62 | 474.62 | 474.62 | 474.62 | 474.62 |
| Pest control | 31.64 | 31.64 | 31.64 | 31.64 | 31.64 | 31.64 |
| Chemical fertilizer applying | - | - | - | - | - | 31.64 |
| Harvesting | 63.28 | 63.28 | 63.28 | 63.28 | 63.28 | 63.28 |
| Total labor costs | 601.19 | 601.19 | 601.19 | 601.19 | 601.19 | 632.83 |
| Total costs | 4141.24 | 4093.61 | 4030.10 | 4011.95 | 4021.03 | 4050.60 |
| Treatment | Bulk Density (kg m−3) | Total Pore Space (%) | pH (1:10 H2O) | EC (1:10 H2O) (dS m−1) | Organic Matter (%) | Total N (%) | Total P (%) | Total K (%) |
|---|---|---|---|---|---|---|---|---|
| T1 | 0.72 d | 60.18 d | 7.42 c | 0.63 e | 15.42 a | 0.11 d | 0.01 f | 9.01 a |
| T2 | 0.81 bc | 62.31 c | 7.21 d | 2.49 a | 11.47 b | 0.58 bc | 0.19 c | 6.71 b |
| T3 | 0.83 b | 64.79 b | 8.59 a | 2.29 b | 17.14 a | 0.89 a | 0.30 a | 7.17 b |
| T4 | 0.78 c | 70.98 a | 8.41 b | 1.30 d | 16.28 a | 0.82 ab | 0.15 d | 4.13 d |
| T5 | 0.78 c | 40.64 e | 8.59 a | 2.06 c | 17.77 a | 0.78 ab | 0.25 b | 5.12 c |
| T6 | 1.22 a | 30.86 f | 4.42 e | 0.51 f | 3.81 c | 0.34 cd | 0.08 e | 0.04 e |
| p-value | 0.000 | 0.000 | 0.000 | 0.000 | 0.000 | 0.000 | 0.000 | 0.001 |
| C.V. (%) | 2.47 | 1.07 | 0.60 | 4.08 | 11.53 | 20.28 | 1.91 | 5.68 |
| Treatment | Holy Basil | Genovese Basil | ||||
|---|---|---|---|---|---|---|
| Leaf Width (cm) | Leaf Length (cm) | Single Leaf Area (cm2) * | Leaf Width (cm) | Leaf Length (cm) | Single Leaf Area (cm2) * | |
| T1 | 1.82 b | 3.76 b | 9.69 c | 2.86 c | 5.88 d | 23.19 e |
| T2 | 2.52 a | 5.34 a | 12.12 ab | 3.66 ab | 7.90 a | 31.95 b |
| T3 | 2.74 a | 5.32 a | 12.53 a | 3.90 a | 7.56 ab | 29.81 c |
| T4 | 2.80 a | 5.62 a | 12.59 a | 3.68 ab | 7.22 abc | 34.17 a |
| T5 | 2.70 a | 5.42 a | 11.99 ab | 3.14 bc | 6.32 cd | 29.45 d |
| T6 | 2.44 a | 5.14 a | 11.01 b | 3.72 ab | 6.76 bcd | 29.90 c |
| p-value | 0.002 | 0.017 | 0.000 | 0.006 | 0.001 | 0.000 |
| C.V. (%) | 13.77 | 15.55 | 7.61 | 12.11 | 9.79 | 0.67 |
| Treatment | Holy Basil | Genovese Basil | ||
|---|---|---|---|---|
| Total Fresh Weight (g plant−1) | Total Dry Weight (g plant−1) | Total Fresh Weight (g plant−1) | Total Dry Weight (g plant−1) | |
| T1 | 23.25 f | 3.20 f | 25.30 e | 2.51 d |
| T2 | 222.06 d | 25.46 e | 588.23 a | 49.02 ab |
| T3 | 303.30 a | 35.31 a | 568.34 b | 48.02 b |
| T4 | 287.74 b | 34.97 a | 589.15 a | 49.42 a |
| T5 | 274.65 c | 31.21 b | 560.75 c | 43.74 c |
| T6 | 215.92 e | 29.30 d | 494.56 d | 48.20 b |
| p-value | 0.000 | 0.000 | 0.000 | 0.000 |
| C.V. (%) | 0.33 | 2.60 | 0.21 | 2.17 |
| Treatment | Chlorophyll a (mg g−1 FW) | Chlorophyll b (mg g−1 FW) | Total Chlorophyll (mg g−1 FW) | Carotenoid (mg g−1 FW) |
|---|---|---|---|---|
| T1 | 0.48 | 0.36 c | 0.83 c | 11.42 |
| T2 | 0.47 | 0.53 b | 1.00 b | 12.16 |
| T3 | 0.48 | 0.62 a | 1.10 a | 12.39 |
| T4 | 0.49 | 0.53 b | 1.02 b | 12.18 |
| T5 | 0.46 | 0.50 b | 0.96 b | 12.09 |
| T6 | 0.47 | 0.62 a | 1.10 a | 11.19 |
| p-value | 0.740 | 0.000 | 0.000 | 0.405 |
| C.V. (%) | 4.90 | 3.82 | 3.28 | 6.61 |
| Treatment | Chlorophyll a (mg g−1 FW) | Chlorophyll b (mg g−1 FW) | Total Chlorophyll (mg g−1 FW) | Carotenoid (mg g−1 FW) |
|---|---|---|---|---|
| T1 | 0.42 b | 0.18 d | 0.60 c | 7.96 c |
| T2 | 0.46 a | 0.27 b | 0.73 b | 9.73 b |
| T3 | 0.48 a | 0.26 bc | 0.74 b | 9.52 b |
| T4 | 0.48 a | 0.34 a | 0.82 a | 10.75 a |
| T5 | 0.46 a | 0.24 c | 0.70 b | 9.22 b |
| T6 | 0.48 a | 0.34 a | 0.82 a | 10.84 a |
| p-value | 0.008 | 0.000 | 0.000 | 0.000 |
| C.V. (%) | 6.40 | 2.09 | 4.29 | 4.20 |
| Treatment | Total Phenolics (mg GAE g−1 DW) | Total Flavonoids (mg RE g−1 DW) | DPPH Radical Scavenging (%) | Total Anthocyanin Content (μg g−1 DW) |
|---|---|---|---|---|
| T1 | 18.77 a | 17.63 a | 90.73 a | 0.22 e |
| T2 | 10.66 bc | 7.82 e | 80.71 b | 0.27 e |
| T3 | 7.78 de | 11.65 c | 79.60 c | 0.37 d |
| T4 | 7.37 e | 9.97 cd | 81.67 b | 0.45 c |
| T5 | 8.97 c | 9.11 de | 70.06 d | 0.54 b |
| T6 | 8.72 cd | 15.71 b | 70.31 d | 1.88 a |
| p-value | 0.000 | 0.000 | 0.000 | 0.000 |
| C.V. (%) | 3.42 | 5.46 | 2.37 | 6.01 |
| Treatment | Total Phenolics (mg GAE g−1 DW) | Total Flavonoids (mg RE g−1 DW) | DPPH Radical Scavenging (%) |
|---|---|---|---|
| T1 | 20.64 a | 16.69 a | 82.06 a |
| T2 | 7.15 d | 6.32 d | 69.78 b |
| T3 | 8.17 cd | 6.93 d | 69.69 b |
| T4 | 9.57 bc | 8.27 bc | 67.97 c |
| T5 | 8.39 bcd | 7.92 c | 69.24 bc |
| T6 | 9.73 b | 8.84 b | 69.02 bc |
| p-value | 0.000 | 0.000 | 0.000 |
| C.V. (%) | 7.11 | 4.07 | 1.01 |
| Treatment | Total N (%) | Total P (%) | Total K (%) | |||
|---|---|---|---|---|---|---|
| Aboveground | Root | Aboveground | Root | Aboveground | Root | |
| T1 | 2.34 d | 0.69 d | 0.13 a | 0.02 c | 0.37 d | 3.15 b |
| T2 | 3.67 a | 1.90 a | 0.10 b | 0.03 c | 0.58 c | 3.50 b |
| T3 | 3.40 ab | 1.57 b | 0.09 bc | 0.09 a | 0.34 d | 4.11 a |
| T4 | 3.17 b | 1.63 b | 0.09 bc | 0.03 c | 0.59 c | 3.20 b |
| T5 | 2.80 c | 1.57 b | 0.08 c | 0.06 b | 1.03 b | 3.58 b |
| T6 | 2.61 cd | 1.27 c | 0.06 d | 0.01 c | 1.49 a | 2.65 c |
| p-value | 0.000 | 0.000 | 0.000 | 0.000 | 0.000 | 0.001 |
| C.V. (%) | 0.88 | 0.58 | 0.06 | 0.23 | 0.57 | 1.90 |
| Treatment | Total N (%) | Total P (%) | Total K (%) | |||
|---|---|---|---|---|---|---|
| Aboveground | Root | Aboveground | Root | Aboveground | Root | |
| T1 | 2.58 bc | 1.04 b | 0.16 bc | 0.02 d | 3.67 b | 3.64 a |
| T2 | 2.77 bc | 1.50 a | 0.14 c | 0.07 c | 4.18 a | 2.03 b |
| T3 | 2.97 bc | 1.37 a | 0.16 ab | 0.12 a | 4.05 ab | 1.67 c |
| T4 | 2.55 c | 1.38 a | 0.15 bc | 0.09 b | 3.91 ab | 1.43 d |
| T5 | 3.06 b | 0.99 b | 0.18 a | 0.14 a | 4.31 a | 1.21 e |
| T6 | 3.51 a | 1.03 b | 0.07 d | 0.03 c | 2.47 c | 0.65 f |
| p-value | 0.000 | 0.015 | 0.000 | 0.000 | 0.000 | 0.000 |
| C.V. (%) | 8.50 | 14.23 | 6.59 | 14.10 | 6.77 | 5.36 |
| Treatment | First Crop Period | Second Crop Period | |||||||
|---|---|---|---|---|---|---|---|---|---|
| Total Sale (USD) | Gross Margin (%) | Net Income (USD) | Net Profit Margin (%) | Total Sale (USD) | Gross Margin (%) | Net Income (USD) | Net Profit Margin (%) | ||
| T1 | 63.07 f | −947.77 d | −4033.45 f | −6402.83 c | 63.07 f | −407.68 c | −857.94 f | −1362.02 c | |
| T2 | 602.39 d | −1.66 c | −3446.49 e | −572.14 b | 602.39 d | 54.82 b | −270.99 e | −44.99 b | |
| T3 | 822.69 a | 33.28 a | −3162.68 a | −384.45 a | 822.69 a | 74.64 a | 12.82 a | 1.56 a | |
| T4 | 780.57 b | 32.00 a | −3186.65 b | −408.25 a | 780.57 b | 75.59 a | −11.15 b | −1.43 a | |
| T5 | 745.06 c | 27.55 ab | −3231.24 c | −433.70 a | 745.06 c | 73.21 a | −55.74 c | −7.48 a | |
| T6 | 585.73 e | 8.19 bc | −3420.14 d | −583.91 b | 585.73 e | 66.27 a | −244.63 d | −41.77 b | |
| p-value | 0.000 | 0.000 | 0.000 | 0.000 | 0.000 | 0.000 | 0.000 | 0.000 | |
| C.V. (%) | 0.53 | 11.38 | 0.09 | 6.82 | 0.53 | 7.40 | 1.13 | 9.25 | |
| Treatment | First Crop Period | Second Crop Period | |||||||
|---|---|---|---|---|---|---|---|---|---|
| Total Sale (USD) | Gross Margin (%) | Net Income (USD) | Net Profit Margin (%) | Total Sale (USD) | Gross Margin (%) | Net Income (USD) | Net Profit Margin (%) | ||
| T1 | 184.81 e | −257.97 b | −3991.70 f | −2121.71 b | 184.81 e | −73.45 c | −736.20 f | −399.50 b | |
| T2 | 4296.26 a | 85.75 a | 247.38 b | 5.76 a | 4296.26 a | 93.66 a | 3422.88 b | 79.67 a | |
| T3 | 4151.21 b | 86.82 a | 165.84 c | 4.00 a | 4151.21 b | 94.97 a | 3341.34 c | 80.49 a | |
| T4 | 4302.93 a | 87.66 a | 335.71 a | 7.80 a | 4302.93 a | 95.57 a | 3511.21 a | 81.60 a | |
| T5 | 4095.54 c | 86.82 a | 119.24 d | 2.91 a | 4095.54 c | 95.13 a | 3294.75 d | 80.45 a | |
| T6 | 3612.11 d | 85.11 a | −393.79 e | −10.90 a | 3612.11 d | 45.32 b | 2781.75 e | 77.01 a | |
| p-value | 0.000 | 0.000 | 0.000 | 0.000 | 0.000 | 0.000 | 0.000 | 0.000 | |
| C.V. (%) | 0.39 | 26.87 | 2.35 | 13.75 | 0.39 | 6.46 | 0.52 | 2.93 | |
Disclaimer/Publisher’s Note: The statements, opinions and data contained in all publications are solely those of the individual author(s) and contributor(s) and not of MDPI and/or the editor(s). MDPI and/or the editor(s) disclaim responsibility for any injury to people or property resulting from any ideas, methods, instructions or products referred to in the content. |
© 2025 by the authors. Licensee MDPI, Basel, Switzerland. This article is an open access article distributed under the terms and conditions of the Creative Commons Attribution (CC BY) license (https://creativecommons.org/licenses/by/4.0/).
Share and Cite
Thepsilvisut, O.; Imorachorn, P.; Boonkaen, S.; Chutimanukul, P.; Chutimanukul, P.; Trithaveesak, O.; Ehara, H. Evaluation of Nutrient-Rich Growing Media for Eco-Friendly Basil Production. Horticulturae 2025, 11, 1040. https://doi.org/10.3390/horticulturae11091040
Thepsilvisut O, Imorachorn P, Boonkaen S, Chutimanukul P, Chutimanukul P, Trithaveesak O, Ehara H. Evaluation of Nutrient-Rich Growing Media for Eco-Friendly Basil Production. Horticulturae. 2025; 11(9):1040. https://doi.org/10.3390/horticulturae11091040
Chicago/Turabian StyleThepsilvisut, Ornprapa, Phanawan Imorachorn, Saowakol Boonkaen, Preuk Chutimanukul, Panita Chutimanukul, Opas Trithaveesak, and Hiroshi Ehara. 2025. "Evaluation of Nutrient-Rich Growing Media for Eco-Friendly Basil Production" Horticulturae 11, no. 9: 1040. https://doi.org/10.3390/horticulturae11091040
APA StyleThepsilvisut, O., Imorachorn, P., Boonkaen, S., Chutimanukul, P., Chutimanukul, P., Trithaveesak, O., & Ehara, H. (2025). Evaluation of Nutrient-Rich Growing Media for Eco-Friendly Basil Production. Horticulturae, 11(9), 1040. https://doi.org/10.3390/horticulturae11091040

