Effect of Coal Gangue Powder Addition on Hydraulic Properties of Aeolian Sandy Soil and Plant Growth
Abstract
1. Introduction
2. Materials and Methods
2.1. Coal Gangue and Soil Sampling
2.2. Plant Growth Experiments
2.3. Laboratory Measurements for Soil
2.4. Measurements of Plant Characteristics
2.5. Statistical Analysis
3. Results
3.1. Soil Particle Composition and Bulk Density
3.2. Soil Hydraulic Properties
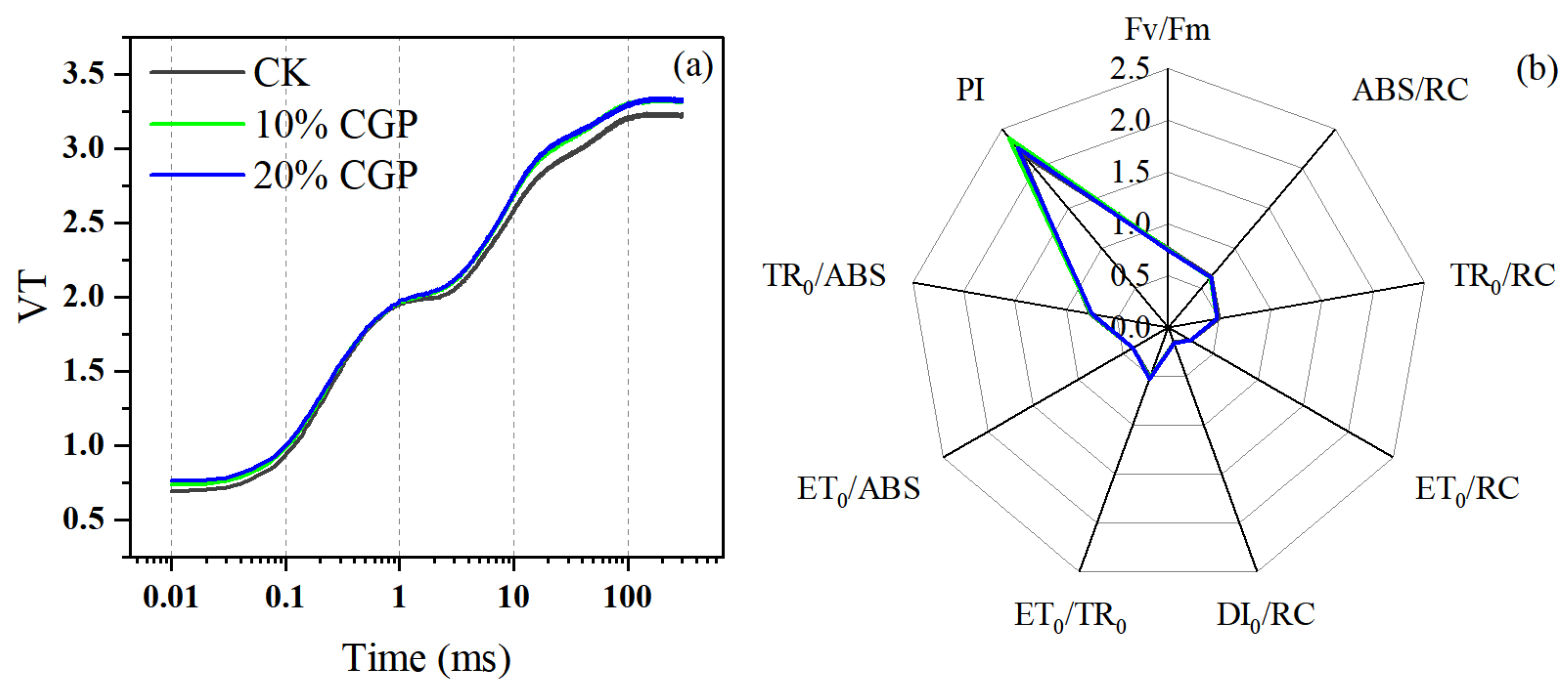
3.3. Plant Growth and Photosynthetic Characteristics
4. Discussion
4.1. Effect of Applying CGP on Soil Hydraulic Properties
4.2. Effect of Applying CGP on Plant Growth and Photosynthetic Characteristics
5. Conclusions
Author Contributions
Funding
Data Availability Statement
Acknowledgments
Conflicts of Interest
References
- Zhou, Y.; Chen, X.; Yuen, D.; Xu, M. Effects of Near-Surface Complexities on Differential Travel Times and Amplitude Ratios Between PP and Its Precursors. JGR Solid Earth 2020, 125, e2019JB019139. [Google Scholar] [CrossRef]
- Su, B.; Shangguan, Z. Stoichiometric Homeostasis in Response to Variable Water and Nutrient Supply in a Robinia Pseudoacacia Plant–Soil System. J. Plant Ecol. 2022, 15, 991–1006. [Google Scholar] [CrossRef]
- Wu, W.; Chen, G.; Meng, T.; Li, C.; Feng, H.; Si, B.; Siddique, K.H.M. Effect of Different Vegetation Restoration on Soil Properties in the Semi-Arid Loess Plateau of China. CATENA 2023, 220, 106630. [Google Scholar] [CrossRef]
- Kumari, D.; Prajapat, G.; Goyal, S.; Agrawal, A. Modification of Desert Sand to Soil Using Polymers for Its Agricultural Potential. J. Arid Environ. 2023, 209, 104899. [Google Scholar] [CrossRef]
- Liang, J.; Li, Y.; Si, B.; Wang, Y.; Chen, X.; Wang, X.; Chen, H.; Wang, H.; Zhang, F.; Bai, Y.; et al. Optimizing Biochar Application to Improve Soil Physical and Hydraulic Properties in Saline-Alkali Soils. Sci. Total Environ. 2021, 771, 144802. [Google Scholar] [CrossRef]
- He, H.; Zhang, Z.; Su, R.; Dong, Z.; Zhen, Q.; Pang, J.; Lambers, H.; He, H.; Zhang, Z.; Su, R.; et al. Amending Aeolian Sandy Soil in the Mu Us Sandy Land of China with Pisha Sandstone and Increasing Phosphorus Supply Were More Effective than Increasing Water Supply for Improving Plant Growth and Phosphorus and Nitrogen Nutrition of Lucerne (Medicago Sativa). Crop Pasture Sci. 2020, 71, 785–793. [Google Scholar] [CrossRef]
- Liu, Y.; Wang, J.; Peng, Z.; Xiong, Z.; Zeng, Y.; Fu, X.; Zhang, R.; Hu, S.; Liu, H.; Liu, Q. Advanced Coal Fly Ash Modification by Using Corrosive Microorganisms as Alternative Filler-Reinforcing Fluororubbers. Mater. Lett. 2019, 246, 32–35. [Google Scholar] [CrossRef]
- Fu, G.; Qiu, X.; Xu, X.; Zhang, W.; Zang, F.; Zhao, C. The Role of Biochar Particle Size and Application Rate in Promoting the Hydraulic and Physical Properties of Sandy Desert Soil. CATENA 2021, 207, 105607. [Google Scholar] [CrossRef]
- Zhu, D.; Miao, S.; Xue, B.; Jiang, Y.; Wei, C. Effect of Coal Gasification Fine Slag on the Physicochemical Properties of Soil. Water Air Soil Poll. 2019, 230, 155. [Google Scholar] [CrossRef]
- Hamanaka, A.; Sasaoka, T.; Shimada, H.; Matsumoto, S. Amelioration of Acidic Soil Using Fly Ash for Mine Revegetation in Post-Mining Land. Int. J. Coal Sci. Technol. 2022, 9, 33. [Google Scholar] [CrossRef]
- Li, J.; Wang, J. Comprehensive Utilization and Environmental Risks of Coal Gangue: A Review. J. Clean. Prod. 2019, 239, 117946. [Google Scholar] [CrossRef]
- Kholod, N.; Evans, M.; Pilcher, R.C.; Roshchanka, V.; Ruiz, F.; Coté, M.; Collings, R. Global Methane Emissions from Coal Mining to Continue Growing Even with Declining Coal Production. J. Clean. Prod. 2020, 256, 120489. [Google Scholar] [CrossRef] [PubMed]
- Lv, B.; Zhao, Z.; Deng, X.; Fang, C.; Dong, B.; Zhang, B. Sustainable and Clean Utilization of Coal Gangue: Activation and Preparation of Silicon Fertilizer. J. Mater. Cycles Waste Manag. 2022, 24, 1579–1590. [Google Scholar] [CrossRef]
- Liu, H.; Liu, Z. Recycling Utilization Patterns of Coal Mining Waste in China. Resour. Conserv. Recycl. 2010, 54, 1331–1340. [Google Scholar] [CrossRef]
- Motesharezadeh, B.; Ahmadiyan, E.; Alikhani, H.A.; Azarnivand, H. The Use of Coal Gangue as a Cultivation Bed Conditioner in Forage Maize Inoculated with Arbuscular Mycorrhizal Fungi. Commun. Soil Sci. Plant Anal. 2017, 48, 1266–1279. [Google Scholar] [CrossRef]
- Wei, H.; Lu, Y.; Bai, L.; Niu, J.; Chen, S.; Mojid, M.A.; Yang, Y.; Li, M. Water Uptake Characteristics of Stipa Bungeana Trin: Affected by Subsidence in the Coal Mining Areas of Northwest China. Agronomy 2024, 14, 424. [Google Scholar] [CrossRef]
- Fan, L.; Li, T.; Xiang, M.; He, W.; Wu, B.; Peng, J.; Li, Y.; Li, C.; Zheng, M.; Chen, J.; et al. Effect of Coal Mining on Springs in the Yushenfu Mining Area of China. Geofluids 2018, 2018, 1–16. [Google Scholar] [CrossRef]
- Liu, S.; Li, W.; Qiao, W.; Wang, Q.; Hu, Y.; Wang, Z. Effect of Natural Conditions and Mining Activities on Vegetation Variations in Arid and Semiarid Mining Regions. Ecol. Indic. 2019, 103, 331–345. [Google Scholar] [CrossRef]
- Shao, X.; Wang, L.; Li, X.; Fang, Z.; Zhao, B.; Tao, Y.; Liu, L.; Sun, W.; Sun, J. Study on Rheological and Mechanical Properties of Aeolian Sand-Fly Ash-Based Filling Slurry. Energies 2020, 13, 1266. [Google Scholar] [CrossRef]
- Shi, Y.; Mu, X.; Li, K.; Shao, H. Soil Characterization and Differential Patterns of Heavy Metal Accumulation in Woody Plants Grown in Coal Gangue Wastelands in Shaanxi, China. Environ. Sci. Pollut. Res. 2016, 23, 13489–13497. [Google Scholar] [CrossRef]
- Qiu, J.; Zhu, M.; Zhou, Y.; Guan, X. Effect and Mechanism of Coal Gangue Concrete Modification by Fly Ash. Constr. Build. Mater. 2021, 294, 123563. [Google Scholar] [CrossRef]
- Amoozegar, A. Examination of Models for Determining Saturated Hydraulic Conductivity by the Constant Head Well Permeameter Method. Soil Tillage Res. 2020, 200, 104572. [Google Scholar] [CrossRef]
- Blanco-Canqui, H.; Ruis, S.J. Cover Crop Impacts on Soil Physical Properties: A Review. Soil Sci. Soc. Am. J. 2020, 84, 1527–1576. [Google Scholar] [CrossRef]
- Libohova, Z.; Schoeneberger, P.; Bowling, L.C.; Owens, P.R.; Wysocki, D.; Wills, S.; Williams, C.O.; Seybold, C. Soil Systems for Upscaling Saturated Hydraulic Conductivity for Hydrological Modeling in the Critical Zone. Vadose Zone J. 2018, 17, 1–20. [Google Scholar] [CrossRef]
- van Genuchten, M.T. A Closed-Form Equation for Predicting the Hydraulic Conductivity of Unsaturated Soils. Soil Sci. Soc. Am. J. 1980, 44, 892–898. [Google Scholar] [CrossRef]
- Yang, T.; Xing, X.; Gao, Y.; Ma, X. An Environmentally Friendly Soil Amendment for Enhancing Soil Water Availability in Drought-Prone Soils. Agronomy 2022, 12, 133. [Google Scholar] [CrossRef]
- Zangiabadi, M.; Gorji, M.; Shorafa, M.; Khavari Khorasani, S.; Saadat, S. Effect of Soil Pore Size Distribution on Plant-Available Water and Least Limiting Water Range as Soil Physical Quality Indicators. Pedosphere 2020, 30, 253–262. [Google Scholar] [CrossRef]
- Wang, J.; Wang, P.; Qin, Q.; Wang, H. The Effects of Land Subsidence and Rehabilitation on Soil Hydraulic Properties in a Mining Area in the Loess Plateau of China. CATENA 2017, 159, 51–59. [Google Scholar] [CrossRef]
- Wu, L.; Xu, L.; Yang, H.; Ma, X. Effects of Biochar Addition or Grass Planting on Infiltrations into a Sandy Soil in the Loess Plateau in China. Earth Surf. Proc. Land. 2024, 49, 3789–3805. [Google Scholar] [CrossRef]
- Lai, J.; Ren, L. Estimation of Effective Hydraulic Parameters in Heterogeneous Soils at Field Scale. Geoderma 2016, 264, 28–41. [Google Scholar] [CrossRef]
- Guo, Z.; Li, P.; Yang, X.; Wang, Z.; Lu, B.; Chen, W.; Wu, Y.; Li, G.; Zhao, Z.; Liu, G.; et al. Soil Texture Is an Important Factor Determining How Microplastics Affect Soil Hydraulic Characteristics. Environ. Int. 2022, 165, 107293. [Google Scholar] [CrossRef] [PubMed]
- Zhang, L.; Han, J. Improving Water Retention Capacity of an Aeolian Sandy Soil with Feldspathic Sandstone. Sci. Rep. 2019, 9, 14719. [Google Scholar] [CrossRef]
- Belviso, C.; Satriani, A.; Lovelli, S.; Comegna, A.; Coppola, A.; Dragonetti, G.; Cavalcante, F.; Rivelli, A.R. Impact of Zeolite from Coal Fly Ash on Soil Hydrophysical Properties and Plant Growth. Agriculture 2022, 12, 356. [Google Scholar] [CrossRef]
- Zarebanadkouki, M.; Hosseini, B.; Gerke, H.H.; Schaller, J. Amorphous Silica Amendment to Improve Sandy Soils’ Hydraulic Properties for Sustained Plant Root Access under Drying Conditions. Front. Environ. Sci. 2022, 10, 935012. [Google Scholar] [CrossRef]
- Asante, B.; Schmidt, G.; Teixeira, R.; Krause, A.; Savastano Junior, H. Influence of Wood Pretreatment and Fly Ash Particle Size on the Performance of Geopolymer Wood Composite. Eur. J. Wood Prod. 2021, 79, 597–609. [Google Scholar] [CrossRef]
- Oleszczuk, P.; Ćwikła-Bundyra, W.; Bogusz, A.; Skwarek, E.; Ok, Y.S. Characterization of Nanoparticles of Biochars from Different Biomass. J. Anal. Appl. Pyrolysis 2016, 121, 165–172. [Google Scholar] [CrossRef]
- Dou, Y.; Yang, Y.; An, S.; Zhu, Z. Effects of Different Vegetation Restoration Measures on Soil Aggregate Stability and Erodibility on the Loess Plateau, China. CATENA 2020, 185, 104294. [Google Scholar] [CrossRef]
- Talukder, R.; Plaza-Bonilla, D.; Cantero-Martínez, C.; Wendroth, O.; Lampurlanés, J. Soil Hydraulic Properties and Pore Dynamics under Different Tillage and Irrigated Crop Sequences. Geoderma 2023, 430, 116293. [Google Scholar] [CrossRef]
- Niu, F.; Huo, L.; Wang, Z.; Liu, J.; Gao, Z.; Li, M.; Xu, B. Effects of Nitrogen Addition and Watering on Soil Seed Bank Germination in a Semiarid Grassland on the Loess Plateau of China. Land Degrad. Dev. 2023, 34, 142–155. [Google Scholar] [CrossRef]
- Yan, W.; Lu, Y.; Guo, L.; Liu, Y.; Li, M.; Zhang, B.; Zhang, B.; Zhang, L.; Qin, D.; Huo, J. Effects of Drought Stress on Photosynthesis and Chlorophyll Fluorescence in Blue Honeysuckle. Plants 2024, 13, 2115. [Google Scholar] [CrossRef]
- Helms, T.C.; Deckard, E.L.; Goos, R.J.; Enz, J.W. Soil Moisture, Temperature, and Drying Influence on Soybean Emergence. Agron. J. 1996, 88, 662–667. [Google Scholar] [CrossRef]
- Hosseini, N.M.; Palta, J.A.; Berger, J.D.; Siddique, K.H.M. Sowing Soil Water Content Effects on Chickpea (Cicer arietinum L.): Seedling Emergence and Early Growth Interaction with Genotype and Seed Size. Agric. Water Manag. 2009, 96, 1732–1736. [Google Scholar] [CrossRef]
- Scoffoni, C.; Chatelet, D.S.; Pasquet-kok, J.; Rawls, M.; Donoghue, M.J.; Edwards, E.J.; Sack, L. Hydraulic Basis for the Evolution of Photosynthetic Productivity. Nat. Plants 2016, 2, 16072. [Google Scholar] [CrossRef] [PubMed]
- Wu, J.; Wang, J.; Hui, W.; Zhao, F.; Wang, P.; Su, C.; Gong, W. Physiology of Plant Responses to Water Stress and Related Genes: A Review. Forests 2022, 13, 324. [Google Scholar] [CrossRef]
- Zait, Y.; Shemer, O.E.; Cochavi, A. Dynamic Responses of Chlorophyll Fluorescence Parameters to Drought across Diverse Plant Families. Physiol. Plant. 2024, 176, e14527. [Google Scholar] [CrossRef]
- Liu, J.; Hu, T.; Fang, L.; Peng, X.; Liu, F. CO2 Elevation Modulates the Response of Leaf Gas Exchange to Progressive Soil Drying in Tomato Plants. Agric. For. Meteorol. 2019, 268, 181–188. [Google Scholar] [CrossRef]
- Engelaar, W.; Vanbruggen, M.; Vandenhoek, W.; Huyser, M.; Blom, C. Root Porosities and Radial Oxygen Losses of Rumex and Plantago Species as Influenced by Soil Pore Diameter and Soil Aeration. New Phytol. 1993, 125, 565–574. [Google Scholar] [CrossRef]
- Liang, J.; Zhang, J.; Wong, M.H. Effects of Air-Filled Soil Porosity and Aeration on the Initiation and Growth of Secondary Roots of Maize (Zea Mays). Plant Soil 1996, 186, 245–254. [Google Scholar] [CrossRef]








| Sand (%) | Silt (%) | Clay (%) | Texture | |
|---|---|---|---|---|
| CGP | 15.52 | 61.36 | 23.12 | Silty Clay Loam |
| Aeolian Sandy Soil | 67.78 | 27.67 | 4.55 | Sandy Loam |
| θs (%) | θr (%) | α (cm−1) | n | m | R2 | |
|---|---|---|---|---|---|---|
| CK | 0.361 ± 0.017 | 0.050 ± 0.004 | 0.040 ± 0.002 | 1.878 ± 0.081 | 0.466 ± 0.023 | 0.999 |
| 10% CGP | 0.336 ± 0.001 | 0.046 ± 0.002 | 0.059 ± 0.005 | 1.591 ± 0.048 | 0.371 ± 0.019 | 1.000 |
| 20% CGP | 0.330 ± 0.001 | 0.039 ± 0.003 | 0.057 ± 0.004 | 1.388 ± 0.017 | 0.280 ± 0.009 | 0.998 |
Disclaimer/Publisher’s Note: The statements, opinions and data contained in all publications are solely those of the individual author(s) and contributor(s) and not of MDPI and/or the editor(s). MDPI and/or the editor(s) disclaim responsibility for any injury to people or property resulting from any ideas, methods, instructions or products referred to in the content. |
© 2025 by the authors. Licensee MDPI, Basel, Switzerland. This article is an open access article distributed under the terms and conditions of the Creative Commons Attribution (CC BY) license (https://creativecommons.org/licenses/by/4.0/).
Share and Cite
Ding, X.; He, R.; Xing, Z.; Wei, H.; Niu, J.; Chen, S.; Li, M. Effect of Coal Gangue Powder Addition on Hydraulic Properties of Aeolian Sandy Soil and Plant Growth. Horticulturae 2025, 11, 634. https://doi.org/10.3390/horticulturae11060634
Ding X, He R, Xing Z, Wei H, Niu J, Chen S, Li M. Effect of Coal Gangue Powder Addition on Hydraulic Properties of Aeolian Sandy Soil and Plant Growth. Horticulturae. 2025; 11(6):634. https://doi.org/10.3390/horticulturae11060634
Chicago/Turabian StyleDing, Xiaoyun, Ruimin He, Zhenguo Xing, Haoyan Wei, Jiping Niu, Shi Chen, and Min Li. 2025. "Effect of Coal Gangue Powder Addition on Hydraulic Properties of Aeolian Sandy Soil and Plant Growth" Horticulturae 11, no. 6: 634. https://doi.org/10.3390/horticulturae11060634
APA StyleDing, X., He, R., Xing, Z., Wei, H., Niu, J., Chen, S., & Li, M. (2025). Effect of Coal Gangue Powder Addition on Hydraulic Properties of Aeolian Sandy Soil and Plant Growth. Horticulturae, 11(6), 634. https://doi.org/10.3390/horticulturae11060634

