Adapting Viticulture to Climate Change: Impact of Shading in Sicily
Abstract
1. Introduction
2. Materials and Methods
2.1. Trial Location and Vineyard Description
2.2. Macroclimate and Microclimate Data Acquisition
2.3. Experimental Design and Shading Treatments
- N26: A black net with a shading factor of 26%, manufactured from high-tenacity, UV-stabilized polyethylene (70 g/m2, mesh size 7.1 × 1.7 mm; Arrigoni S.p.A., Uggiate Trevano, CO, Italy).
- N40: A black net with a shading factor of 40%, manufactured from the same material but heavier (95 g/m2, mesh size 0.97 × 1.39 mm).
2.4. Vegetative Growth and Phenology
2.5. Leaf Nutritional Status
2.6. Bunch Damage Assessment
2.7. Grape Yield and Berry Characteristics
2.8. Statistical Analysis
3. Results
3.1. Macroclimatic Data
3.2. Microclimatic Data
3.3. Phenology, Nutritional Status, Vegetative Development, and Vine Vigor
3.3.1. Phenological Stages
3.3.2. Leaf Nutritional Status
3.3.3. Vegetative Growth and Vine Vigor
3.4. Grape Withering
3.5. Yield and Fruit Quality
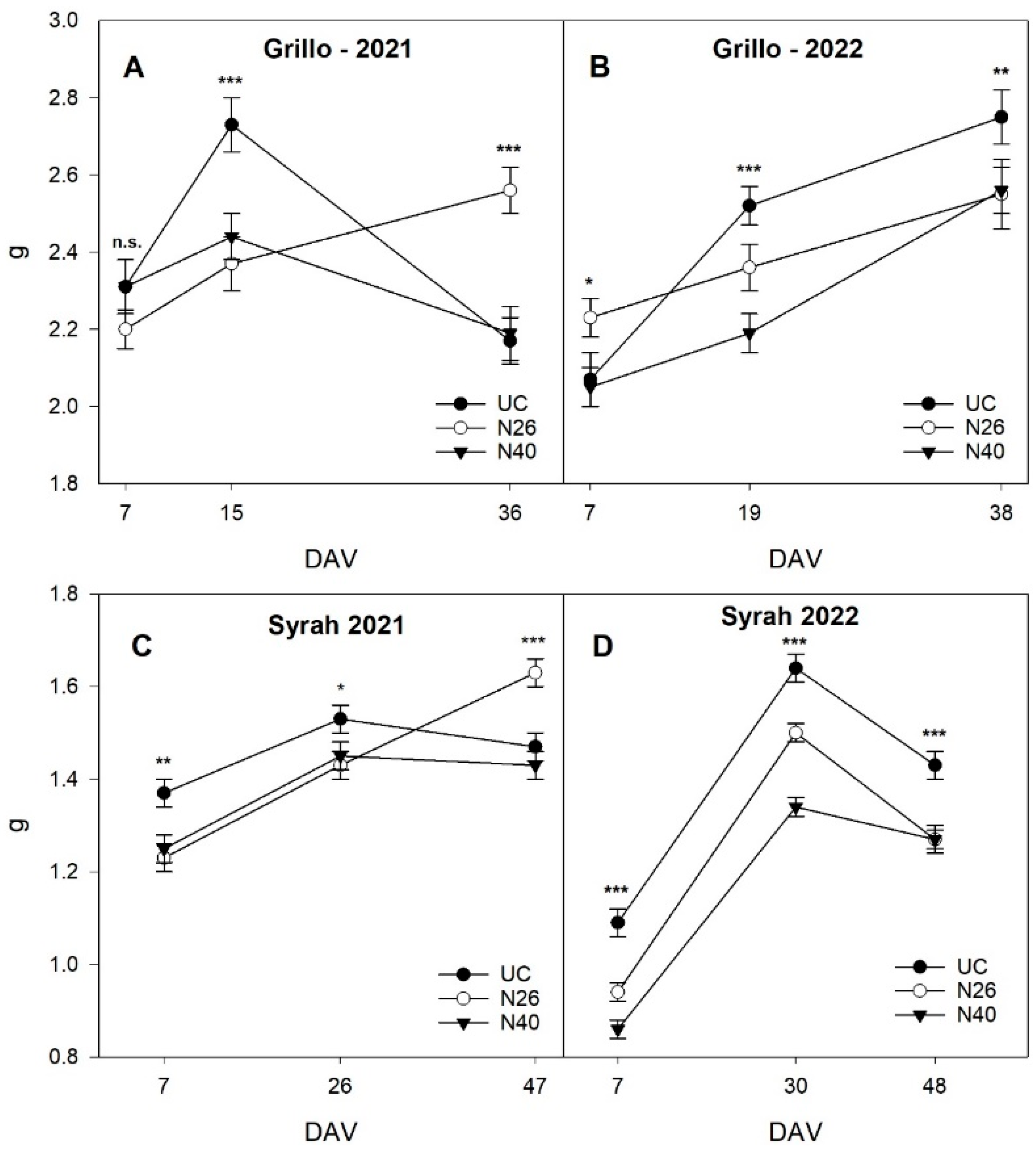
3.5.1. Fruitfulness, Berry Weight, Bunch Size, and Average Yield Per Vine
3.5.2. Grape Composition
Total Soluble Solid (TSS-°brix)
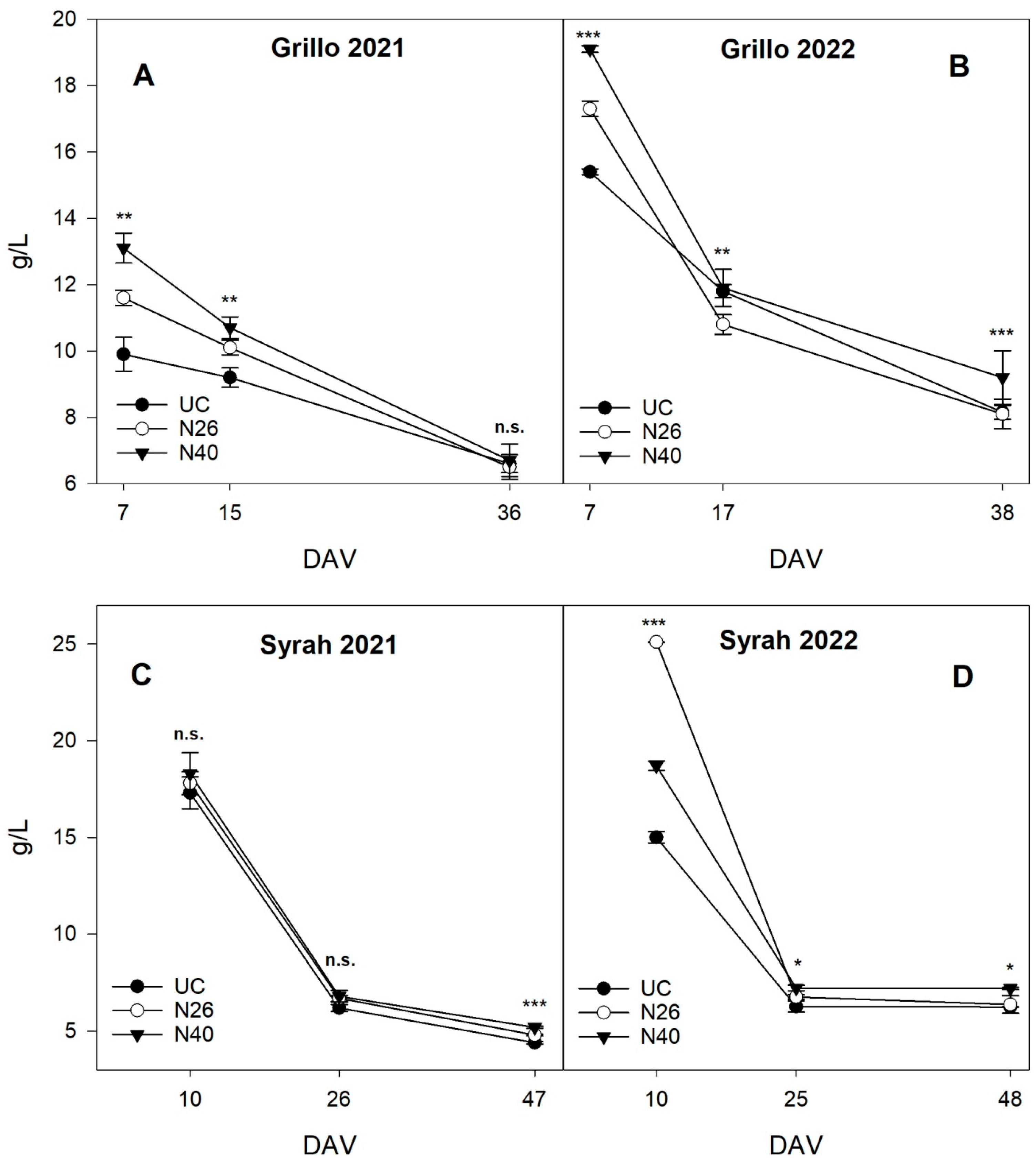
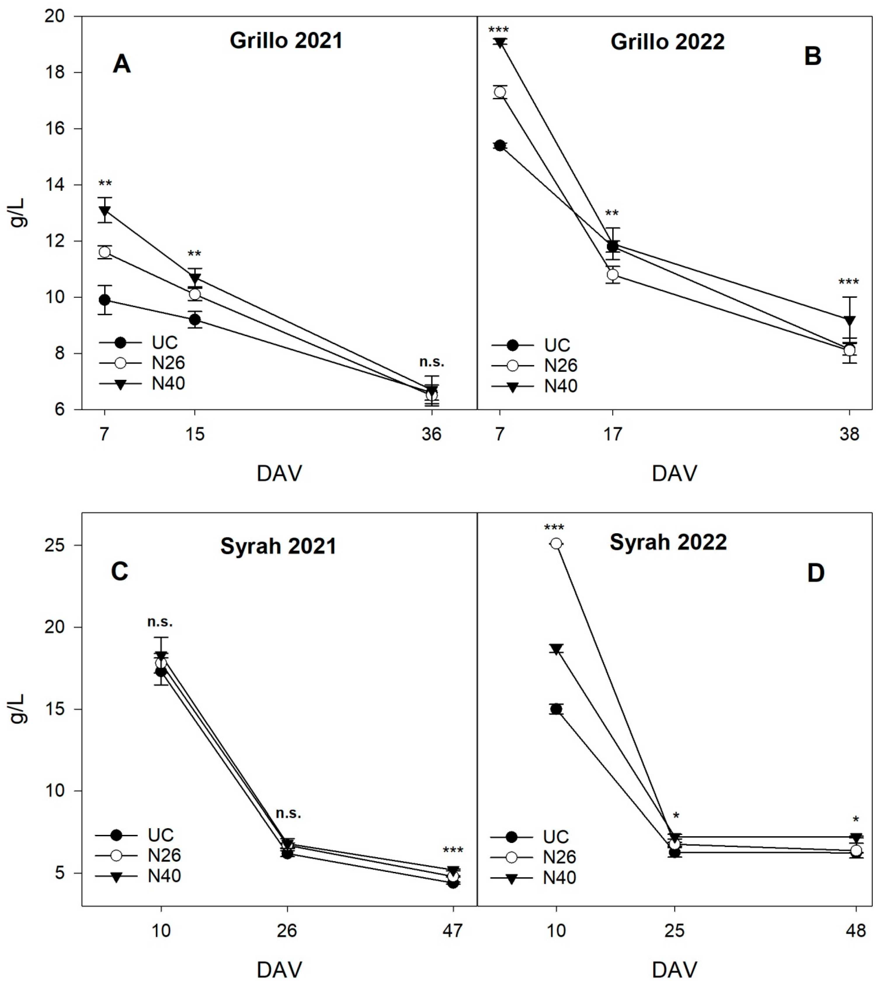
Total Acidity (TA-g/L)
4. Discussion
4.1. Macro e and Microclimate Impacts
4.2. Vegetative Growth and Leaf Nutritional Status
4.3. Grape Withering and Yield
4.4. Phenological Stages and Grape Quality
5. Conclusions
Author Contributions
Funding
Data Availability Statement
Acknowledgments
Conflicts of Interest
References
- IPCC. Global Warming of 1.5 °C: IPCC Special Report on Impacts of Global Warming of 1.5 °C Above Pre-Industrial Levels in Context of Strengthening Response to Climate Change, Sustainable Development, and Efforts to Eradicate Poverty; Cambridge University: Cambridge, UK, 2022; Available online: http://dlib.hust.edu.vn/handle/HUST/21737 (accessed on 2 August 2024).
- Easterling, D.R.; Evans, J.L.; Groisman, P.Y.; Karl, T.R.; Kunkel, K.E.; Ambenje, P. Observed variability and trends in extreme climate events: A brief review. Bull. Am. Meteorol. Soc. 2000, 81, 417–426. [Google Scholar] [CrossRef]
- Mozell, M.R.; Thachn, L. The impact of climate change on the global wine industry: Challenges & solutions. Wine Econ. Policy 2014, 3, 81–89. [Google Scholar] [CrossRef]
- Aschenfelter, O.; Storchmann, K. Climate change and wine: A review of the economic implications. J. Wine Econ. 2016, 11, 105–138. [Google Scholar] [CrossRef]
- Malheiro, A.C.; Campos, R.; Fraga, H.; Eiras-Dias, J.; Silvestre, J.; Santos, J.A. Winegrape phenology and temperature relationships in the Lisbon wine region, Portugal. OENO One 2013, 47, 287–299. [Google Scholar] [CrossRef]
- Fraga, H.; Santos, J.A. Daily prediction of seasonal grapevine production in the Douro wine region based on favourable meteorological conditions. Aust. J. Grape Wine Res. 2017, 23, 296–304. [Google Scholar] [CrossRef]
- Cugnetto, A.; Masoero, G. Colored Anti-Hail Nets Modify the Ripening Parameters of Nebbiolo and a Smart NIRS can Predict the Polyphenol Features. J. Agron. Res. 2021, 4, 23–45. [Google Scholar] [CrossRef]
- Greer, D.H.; Weedon, M.M.; Weston, C. Modifying the microclimate of grapevines using shade: Effects on the temperature of leaves, shoots, and clusters. Funct. Plant Biol. 2010, 37, 206–214. [Google Scholar]
- Martínez-Lüscher, J.; Chen, C.C.; Brillante, L.; Kurtural, S.K. Mitigating Heat Wave and Exposure Damage to “Cabernet Sauvignon” Wine Grape With Partial Shading Under Two Irrigation Amounts. Front. Plant Sci. 2020, 11, 579192. [Google Scholar] [CrossRef]
- Ristic, R.; Downey, M.O.; Iland, P.G.; Bindon, K.; Francis, I.L.; Herderich, M.; Robinson, S.P. Exclusion of sunlight from Shiraz grapes alters wine colour, tannin, and sensory properties. Aust. J. Grape Wine Res. 2007, 13, 53–65. [Google Scholar] [CrossRef]
- Porro, D.; Masoero, G. Shading impacts on Chardonnay grapevine: Effects on productivity and leaf area. Acta Hortic. 2001, 564, 253–260. [Google Scholar] [CrossRef]
- Basile, B.; Marsal, J. Effects of shading intensity on Aglianico grapevine physiology and yield components. Aust. J. Grape Wine Res. 2015, 21, 575–587. [Google Scholar] [CrossRef]
- Greer, D.H.; Weston, C. Responses of Semillon grapevines to partial canopy shading: Compensation in the light-exposed leaves. Funct. Plant Biol. 2012, 39, 848–859. [Google Scholar] [CrossRef]
- Lu, H.C.; Wei, W.; Wang, Y.; Duan, C.Q.; Chen, W.; Li, S.D. Effects of sunlight exclusion on leaf gas exchange, berry composition, and wine flavour profile of Cabernet-Sauvignon. OENO One 2021, 55, 267–283. [Google Scholar] [CrossRef]
- Caravia, L.; Greer, D.H. Influence of canopy shading on Syrah grapevine productivity and berry composition. Funct. Plant Biol. 2016, 43, 527–539. [Google Scholar]
- Ranjitha, K.; Shivashankar, S.A.; Prakash, G.; Sampathkumar, P.; Roy, T.; Suresh, E.R. Effect of vineyard shading on the composition, sensory quality, and volatile flavours of Pinot Noir wines. J. Appl. Hortic. 2015, 17, 12–18. [Google Scholar] [CrossRef]
- Friedel, M.; Sobe, C.; Schwab, W. Influence of sunlight exposure on the aroma and phenolic composition of Riesling wine. J. Agric. Food Chem. 2016, 64, 8894–8903. [Google Scholar]
- Scafidi, P.; Pisciotta, A.; Puccio, S. Shading treatments on Grillo grapevines and their impact on grape and wine quality. Front. Plant Sci. 2013, 4, 101. [Google Scholar] [CrossRef][Green Version]
- Bureau, S.M.; Razungles, A.J.; Baumes, R.L. The aroma of Muscat of Alexandria wines: Effect of grape maturity. J. Agric. Food Chem. 2000, 48, 5360–5365. [Google Scholar]
- Shahak, Y.; Gal, E.; Offir, Y.; Ben-Yakir, D. Photoselective netting: An innovative approach for sustainable agriculture. Acta Hortic. 2016, 1134, 13–20. [Google Scholar] [CrossRef]
- Reshef, N.; Wallach, R.; Horesh, D. Effects of partial shading on the physiological responses and fruit composition of Cabernet-Sauvignon vines under semi-arid conditions. OENO One 2017, 51, 97–109. [Google Scholar]
- Falquina, R.; de la Vara, A.; Cabos, W.; Sein, D.; Gallardo, C. Impact of ocean-atmosphere coupling on present and future Köppen-Geiger climate classification in Europe. Atmos. Res. 2022, 275, 106223. [Google Scholar] [CrossRef]
- Winkler, A.J.; Cook, J.A.; Kliewer, W.M.; Lider, L.A. General Viticulture; University of California Press: Berkeley, Australia, 1974. [Google Scholar]
- Jones, G.V.; Duff, A.A.; Hall, A.; Myers, J.W. Spatial analysis of climate in winegrape growing regions in the western United States. Am. J. Enol. Vitic. 2010, 61, 313–326. [Google Scholar] [CrossRef]
- Hernández-Montes, E.; Zhang, Y.; Chang, B.M.; Shcherbatyuk, N.; Keller, M. Soft, sweet, and colorful: Stratified sampling reveals sequence of events at the onset of grape ripening. Am. J. Enol. Vitic. 2010, 72, 137–151. [Google Scholar] [CrossRef]
- Goulas, Y.; Cerovic, Z.C.; Cartelat, A.; Moya, I. Dualex: A new instrument for field measurements of epidermal ultraviolet absorbance by chlorophyll fluorescence. Appl. Opt. 2004, 43, 4488–4496. [Google Scholar] [CrossRef] [PubMed]
- Cerovic, Z.G.; Cartelat, A.; Goulas, Y.; Meyer, S. In-the-field assessment of wheat leaf polyphenolics using the new optical leaf-clip DUALEX. Precis. Agric. 2005, 5, 243–249. [Google Scholar]
- Gambetta, J.M.; Holzapfel, B.P.; Stoll, M.; Friedel, M. Sunburn in Grapes: A Review. Front. Plant Sci. 2021, 11, 604691. [Google Scholar] [CrossRef] [PubMed]
- Pisciotta, A.; Abruzzo, F.; Barbagallo, M.G.; Di Lorenzo, R. Effetti della dimensione degli acini sui parametri qualitativi nella cv Cabernet Sauvignon. Italus Hort. 2010, 17, 520–524. [Google Scholar]
- Tardaguila, J.; Baluja, J.; Arpon, L.; Balda, P.; Oliveira, M.T. Variations of soil properties affect the vegetative growth and yield components of Tempranillo grapevines. Precis. Agric. 2011, 12, 762–773. [Google Scholar] [CrossRef]
- Pisciotta, A.; Abruzzo, F.; Barbagallo, M.G.; Santangelo, T.; Di Lorenzo, R. Ulteriori approfondimenti degli effetti della dimensione degli acini sulla qualità dell’uva nella cv Cabernet Sauvignon. Italus Hort. 2012, 3, 82–88. [Google Scholar]
- Pisciotta, A.; Di Lorenzo, R.; Barbagallo, M.G.; Hunter, J.J. Berry characterization of cv. Shiraz according to position on the rachis. S. Afr. J. Enol. Vitic. 2013, 34, 100–107. [Google Scholar]
- Cola, G.; Failla, O.; Maghradze, D.; Megrelidze, L.; Mariani, L. Grapevine phenology and climate change in Georgia. Int. J. Biometeorol. 2017, 61, 761–773. [Google Scholar] [CrossRef]
- Jarvis, C.; Barlow, E.; Darbyshire, R.; Eckard, R.; Goodwin, I. Relationship between viticultural climatic indices and grape maturity in Australia. Int. J. Biometeorol. 2017, 61, 1849–1862. [Google Scholar] [CrossRef]
- Alikadic, A.; Pertot, I.; Eccel, E.; Dolci, C.; Zarbo, C.; Caffarra, A.; De Filippi, R.; Furlanello, C. The impact of climate change on grapevine phenology and the influence of altitude: A regional study. Agric. For. Meteorol. 2019, 271, 73–82. [Google Scholar] [CrossRef]
- Zhang, L.; Yu, X.X.J.; Zhou, T.J.; Zhang, W.X.; Hu, S.; Clark, R. Understanding and attribution of extreme heat and drought events in 2022: Current situation and future challenges. Adv. Atmos. Sci. 2023, 40, 1941–1951. [Google Scholar] [CrossRef]
- Palliotti, A.; Poni, S. Grapevine under light and heat stresses. In Grapevine in a Changing Environment: A Molecular and Ecophysiological Perspective; John Wiley & Sons, Ltd.: Hoboken, NJ, USA, 2015; pp. 148–178. [Google Scholar] [CrossRef]
- Chalker-Scott, L. Environmental significance of anthocyanins in plant stress responses. Photochem. Photobiol. 1999, 70, 1–9. [Google Scholar] [CrossRef]
- Miccichè, D.; de Rosas, M.I.; Ferro, M.V.; Di Lorenzo, R.; Puccio, S.; Pisciotta, A. Effects of artificial canopy shading on vegetative growth and ripening processes of cv. Nero d’Avola (Vitis vinifera L.). Front. Plant Sci. 2023, 14, 1210574. [Google Scholar] [CrossRef]
- Grime, J.P. Primary strategies in plants. Trans. Bot. Soc. Edinb. 1979, 43, 151–160. [Google Scholar] [CrossRef]
- Smith, H.; Whitelam, G.C. The shade avoidance syndrome: Multiple responses mediated by multiple phytochromes. Plant Cell. Environ. 1997, 20, 840–844. [Google Scholar] [CrossRef]
- Bonada, M.; Sadras, V.O.; Fuentes, S. Effect of elevated temperature on the onset and rate of mesocarp cell death in berries of shiraz and chardonnay and its relationship with berry shrivel. Aust. J. Grape Wine Res. 2013, 19, 87–94. [Google Scholar] [CrossRef]
- Greer, D.H.; Weston, C. Heat stress affects flowering, berry growth, sugar accumulation and photosynthesis of Vitis vinifera cv. Semillon grapevines grown in a controlled environment. Funct. Plant Biol. 2010, 37, 206–214. [Google Scholar] [CrossRef]
- Sweetman, C.; Sadras, V.O.; Hancock, R.D.; Soole, K.L.; Ford, C.M. Metabolic effects of elevated temperature on organic acid degradation in ripening Vitis vinifera fruit. J. Exp. Bot. 2014, 65, 5975–5988. [Google Scholar] [CrossRef]
- Gouot, J.C.; Smith, J.P.; Holzapfel, B.P.; Walker, A.R.; Barril, C. Grape berry flavonoids: A review of their biochemical responses to high and extreme high temperatures. J. Exp. Bot. 2019, 70, 397–423. [Google Scholar] [CrossRef] [PubMed]
- Deloire, A.; Rogiers, S.; Šuklje, K.; Antalick, G.; Zeyu, X.; Pellegrino, A. Grapevine berry shriveling, water loss and cell death: An increasing challenge for growers in the context of climate change. IVES Tech. Rev. Vine Wine 2021. [Google Scholar] [CrossRef]
- Coombe, B.G. Research on development and ripening of the grape berry. Am. J. Enol. Vitic. 1992, 43, 101–110. [Google Scholar] [CrossRef]
- Dokoozlian, N.K.; Kliewer, W.M. Influence of light on grape berry growth and composition varies during fruit development. J. Am. Soc. Hortic. Sci. 1996, 121, 869–874. [Google Scholar] [CrossRef]
- Gladstones, J. Wine, Terroir and Climate Change; Wakefield Press: Adelaide, Australia, 2011. [Google Scholar]
- Jones, G.V.; Alves, F. Impact of climate change on wine production: A global overview and regional assessment in the Douro Valley of Portugal. Int. J. Global Warm. 2017, 12, 103–142. [Google Scholar] [CrossRef]
- Smith, P. Climate change impacts on viticulture and wine production in Bordeaux, France. Clim. Res. 2018, 75, 245–259. [Google Scholar]
- Pallotti, L.; Dottori, E.; Lattanzi, T.; Lanari, V.; Brillante, L.; Silvestroni, O. Anti-hail shading net and kaolin application: Protecting grape production to ensure grape quality in Mediterranean vineyards. Horticulturae 2025, 11, 110. [Google Scholar] [CrossRef]
- Martinelli, N.L.; Amorim, D.A. Climate change impacts on grapevine phenology and wine quality in the Douro Valley, Portugal. Int. J. Biometeorol. 2021, 65, 397–411. [Google Scholar]
- van Leeuwen, C.; Destrac-Irvine, A. Modified grape composition under climate change conditions requires adaptations in the vineyard. OENO One 2017, 51, 147–154. [Google Scholar] [CrossRef]
- Kliewer, W.M.; Lider, L.A. Influence of cluster exposure to the sun on the composition of Thompson seedless fruit. Am. J. Enol. Vitic. 1968, 19, 175–184. [Google Scholar] [CrossRef]
- Kliewer, W.M. The glucose-fructose ratio of vitis vinifera grapes. Am. J. Enol. Vitic. 1967, 18, 33–41. [Google Scholar] [CrossRef]
- Kliewer, W.; Dokoozlian, N. Leaf area/crop weight ratios of grapevines: Influence on fruit composition and wine quality. Am. J. Enol. Vitic. 2005, 56, 170–181. [Google Scholar] [CrossRef]
- Coombe, B.G. Distribution of solutes within the developing grape berry in relation to its morphology. Am. J. Enol. Vitic. 1987, 38, 120–127. [Google Scholar] [CrossRef]
- Kliewer, W.M.; Lider, L.A. Effects of day temperature and light intensity on growth and composition of Vitis vinifera L. fruits. J. Amer. Soc. Hort. Sci. 1970, 95, 766–796. [Google Scholar] [CrossRef]
- Pagay, V.; Reynolds, A.G.; Fisher, K.H. The influence of bird netting on yield and fruit, juice, and wine composition of Vitis vinifera L. OENO One 2013, 47, 1536. [Google Scholar] [CrossRef]






| Parameters | Year | UC | N26 | N40 | |||
|---|---|---|---|---|---|---|---|
| ∑ h > 32 °C | 2021 | 1197 | 1179 | 1146 | |||
| 2022 | 1172 | 1149 | 1079 | ||||
| ∑ h > 35 °C | 2021 | 719 | 688 | 528 | |||
| 2022 | 775 | 709 | 576 | ||||
| ∑ h > 40 °C | 2021 | 139 | 123 | 85 | |||
| 2022 | 158 | 128 | 77 | ||||
| T mean > 32 °C | 2021 | 35.8 ± 0.07 | n.s. | 35.4 ± 0.07 | 35.1 ± 0.07 | ||
| 2022 | 36.5 ± 0.08 | a | 36.2 ± 0.08 | b | 35.5 ± 0.07 | c | |
| T mean > 35 °C | 2021 | 37.4 ± 0.05 | a | 36.8 ± 0.06 | a | 36.1 ± 0.06 | b |
| 2022 | 38.1 ± 0.06 | a | 37.6 ± 0.06 | ab | 37.2 ± 0.06 | b | |
| T mean > 40 °C | 2021 | 41.3 ± 0.05 | a | 40.9 ± 0.08 | ab | 40.5 ± 0.06 | b |
| 2022 | 41.7 ± 0.08 | a | 41.2 ± 0.08 | b | 40.7 ± 0.06 | c |
| Veraison (%) | ||||
|---|---|---|---|---|
| 2021 | 2022 | |||
| 10 | 15 | 10 | 15 | |
| Grillo | ||||
| UC | 85.6 | 100 | 94.7 | 100 |
| N26 | 71.2 | 93.5 | 80 | 92.7 |
| N40 | 52.8 | 92.1 | 42.7 | 88 |
| Syrah | ||||
| UC | 74.7 | 97.5 | 79.3 | 98.7 |
| N26 | 62.1 | 81.4 | 49.3 | 73.3 |
| N40 | 49.2 | 75.2 | 28.3 | 71.1 |
| Parameters | Source | Significance | |
|---|---|---|---|
| Grillo | Syrah | ||
| Chl (µg/cm2) | Y | n.s. | n.s. |
| T | *** | *** | |
| Y × T | n.s. | n.s. | |
| Anth (µg/cm2) | Y | n.s. | n.s. |
| T | *** | *** | |
| Y × T | n.s. | n.s. | |
| NBI | Y | n.s. | n.s. |
| T | ** | *** | |
| Y × T | n.s. | n.s. | |
| Grillo | Syrah | |||
|---|---|---|---|---|
| Chl (µg/cm2) | ||||
| UC | 30.2 ± 0.53 | c | 26.5 ± 0.35 | c |
| N26 | 33.9 ± 0.44 | a | 28.4 ± 0.38 | b |
| N40 | 32.1 ± 0.25 | b | 30.2 ± 0.34 | a |
| Anth (µg/cm2) | ||||
| UC | 0.038 ± 0.004 | a | 0.023 ± 0.002 | a |
| N26 | 0.014 ± 0.002 | b | 0.009 ± 0.001 | b |
| N40 | 0.013 ± 0.002 | b | 0.005 ± 0.001 | b |
| NBI | ||||
| UC | 34.9 ± 2.12 | b | 26.9 ± 1.91 | c |
| N26 | 44.3 ± 3.21 | a | 48.0 ± 4.46 | a |
| N40 | 46.1 ± 3.41 | a | 38.4 ± 3.28 | b |
| Parameters | Source | Significance | |
|---|---|---|---|
| Grillo | Syrah | ||
| Short length (cm) | Y | n.s. | n.s. |
| T | * | ** | |
| Y × T | n.s. | n.s. | |
| Internode length (cm) | Y | n.s. | n.s. |
| T | ** | ** | |
| Y × T | n.s. | n.s. | |
| Leaf area per vine (m2) | Y | n.s. | n.s. |
| T | n.s. | n.s. | |
| Y × T | n.s. | n.s. | |
| Leaf (cm2)/berry (g) | Y | n.s. | n.s. |
| T | n.s. | n.s. | |
| Y × T | n.s. | n.s. | |
| UC | N26 | N40 | ||||
|---|---|---|---|---|---|---|
| Grillo | ||||||
| Shoot length (cm) | 147.5 ± 4.2 | b | 153.9 ± 5.7 | ab | 155.4 ± 6.30 | a |
| Internode length (cm) | 5.8 ± 0.55 | b | 5.7 ± 0.32 | b | 6.3 ± 0.63 | a |
| Leaf area per vine (m2) | 4.6 ± 0.31 | n.s. | 4.5 ± 0.44 | 4.6 ± 0.37 | ||
| Leaf (cm2)/berry (g) | 9.1 ± 0.36 | n.s. | 11.1 ± 0.53 | 11.3 ± 0.48 | ||
| Syrah | ||||||
| Shoot length (cm) | 141.8 ± 6.0 | b | 152.7 ± 8.0 | a | 150.3 ± 8.0 | a |
| Internode length (cm) | 6.2 ± 0.38 | b | 7.2 ± 0.35 | a | 7.0 ± 0.42 | a |
| Leaf area per vine (m2) | 2.6 ± 0.52 | n.s. | 2.8 ± 0.31 | 2.5 ± 0.33 | ||
| Leaf (cm2)/berry (g) | 9.5 ± 0.59 | n.s. | 9.9 ± 0.50 | 9.7± 0.51 |
| Parameters (%) | UC | N26 | N40 |
|---|---|---|---|
| Sunburn | 16.58 | 9.28 | 6.33 |
| Dehydration | 20.38 | 13.78 | 14.43 |
| Healthy berries | 63.04 | 76.94 | 79.24 |
| Parameters | Source | Significance | |
|---|---|---|---|
| Grillo | Syrah | ||
| Berries per bunch | Y | ** | n.s. |
| T | n.s. | n.s. | |
| Y × T | n.s. | n.s. | |
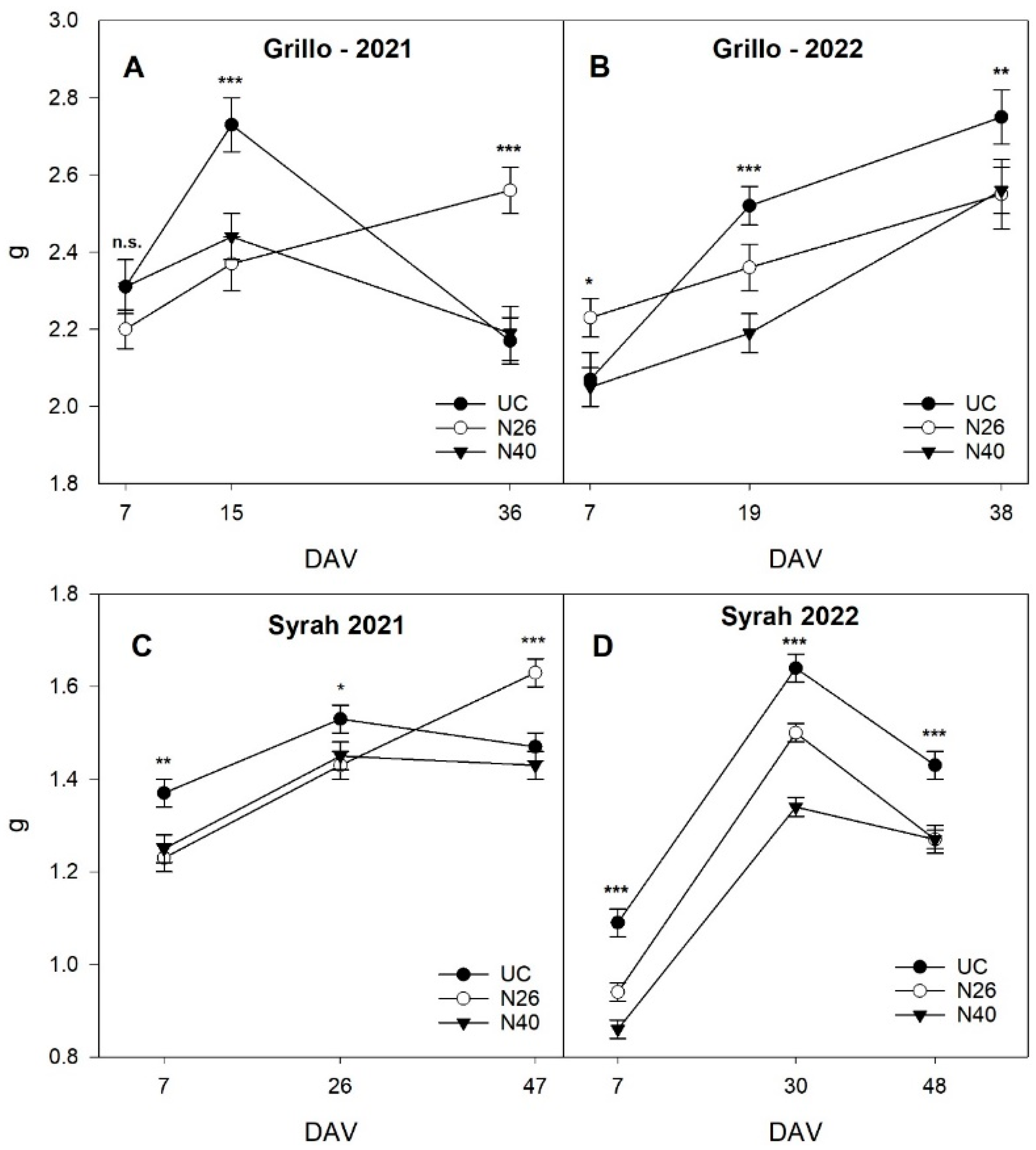
| Berry weight (g) | Y | n.s. | *** |
| T | *** | *** | |
| Y × T | *** | *** | |
| Bunch per shoot | Y | n.s. | *** |
| T | n.s. | n.s. | |
| Y × T | n.s. | n.s. | |
| Bunch weight (g) | Y | n.s. | n.s. |
| T | *** | *** | |
| Y × T | n.s. | n.s. | |
| Yield per vine (kg) | Y | n.s. | ** |
| T | ** | ** | |
| Y × T | n.s. | ** | |
| Grillo | UC | N26 | N40 | µ | Significance | |||
|---|---|---|---|---|---|---|---|---|
| 2021 | 1.43 ± 0.05 | 1.43 ± 0.05 | 1.43 ± 0.05 | 1.43 ± 0.05 | ||||
| 2022 | 1.53 ± 0.07 | 1.38 ± 0.06 | 1.51 ± 0.07 | 1.48 ± 0.05 | n.s. | |||
| Significance | n.s. | n.s. | n.s. | n.s. | ||||
| Syrah | UC | N26 | N40 | µ | Significance | |||
| 2021 | 1.83 ± 0.07 | 1.83 ± 0.07 | 1.83 ± 0.07 | 1.83 ± 0.09 | ||||
| 2022 | 1.49 ± 0.08 | a | 1.55 ± 0.12 | b | 1.67 ± 0.09 | b | 1.57 ± 0.08 | n.s. |
| Significance | ** | * | n.s. | * |
| UC | N26 | N40 | ||||
|---|---|---|---|---|---|---|
| Grillo | ||||||
| Bunch weight (g) | 227.3 ± 0.02 | a | 167.3 ± 0.01 | b | 175.5 ± 0.01 | b |
| Yield per vine (kg) | 4.8 ± 0.62 | a | 4.2 ± 0.59 | ab | 3.8 ± 0.51 | b |
| Syrah | ||||||
| Bunch weight (g) | 218.1 ± 0.01 | a | 185.3 ± 0.02 | b | 190.0 ± 0.01 | b |
| Yield per vine (kg) | 3.8 ± 0.27 | a | 2.8 ± 0.29 | b | 3.1 ± 0.21 | b |
| Parameters | Source | Significance | |
|---|---|---|---|
| Grillo | Syrah | ||
| TSS (°Brix) | Y | n.s. | n.s. |
| T | *** | *** | |
| Y × T | n.s. | n.s. | |
| pH | Y | n.s. | n.s. |
| T | n.s. | n.s. | |
| Y × T | n.s. | n.s. | |
| TA (g/L) | Y | *** | *** |
| T | *** | *** | |
| Y × T | ** | * | |
Disclaimer/Publisher’s Note: The statements, opinions and data contained in all publications are solely those of the individual author(s) and contributor(s) and not of MDPI and/or the editor(s). MDPI and/or the editor(s) disclaim responsibility for any injury to people or property resulting from any ideas, methods, instructions or products referred to in the content. |
© 2025 by the authors. Licensee MDPI, Basel, Switzerland. This article is an open access article distributed under the terms and conditions of the Creative Commons Attribution (CC BY) license (https://creativecommons.org/licenses/by/4.0/).
Share and Cite
Miccichè, D.; Puccio, S.; Di Lorenzo, R.; Turano, L.; Di Carlo, F.; Pisciotta, A. Adapting Viticulture to Climate Change: Impact of Shading in Sicily. Horticulturae 2025, 11, 163. https://doi.org/10.3390/horticulturae11020163
Miccichè D, Puccio S, Di Lorenzo R, Turano L, Di Carlo F, Pisciotta A. Adapting Viticulture to Climate Change: Impact of Shading in Sicily. Horticulturae. 2025; 11(2):163. https://doi.org/10.3390/horticulturae11020163
Chicago/Turabian StyleMiccichè, Daniele, Stefano Puccio, Rosario Di Lorenzo, Lucia Turano, Francesco Di Carlo, and Antonino Pisciotta. 2025. "Adapting Viticulture to Climate Change: Impact of Shading in Sicily" Horticulturae 11, no. 2: 163. https://doi.org/10.3390/horticulturae11020163
APA StyleMiccichè, D., Puccio, S., Di Lorenzo, R., Turano, L., Di Carlo, F., & Pisciotta, A. (2025). Adapting Viticulture to Climate Change: Impact of Shading in Sicily. Horticulturae, 11(2), 163. https://doi.org/10.3390/horticulturae11020163

