Nutrient Imbalance and Cell-Wall Remodeling Drive Pineapple Translucency: A Two-Season Survey in Hainan, China
Abstract
1. Introduction
2. Materials and Methods
2.1. Sample Collection
2.2. Measurements and Methods
2.2.1. Fruit Quality Indicators
2.2.2. Nutrient Content
2.2.3. Fruit Pectin and Cellulose Content
2.2.4. Endogenous Hormone Content
2.2.5. Microscopic Structure Observation
2.3. Data Analysis
3. Results
3.1. Changes in Fruit Quality
3.2. Changes in Fruit Cell Wall Components
3.3. Changes in Fruit Cell Wall Microstructure
3.4. Changes in Nutrient Status of Translucent Pineapple Fruits
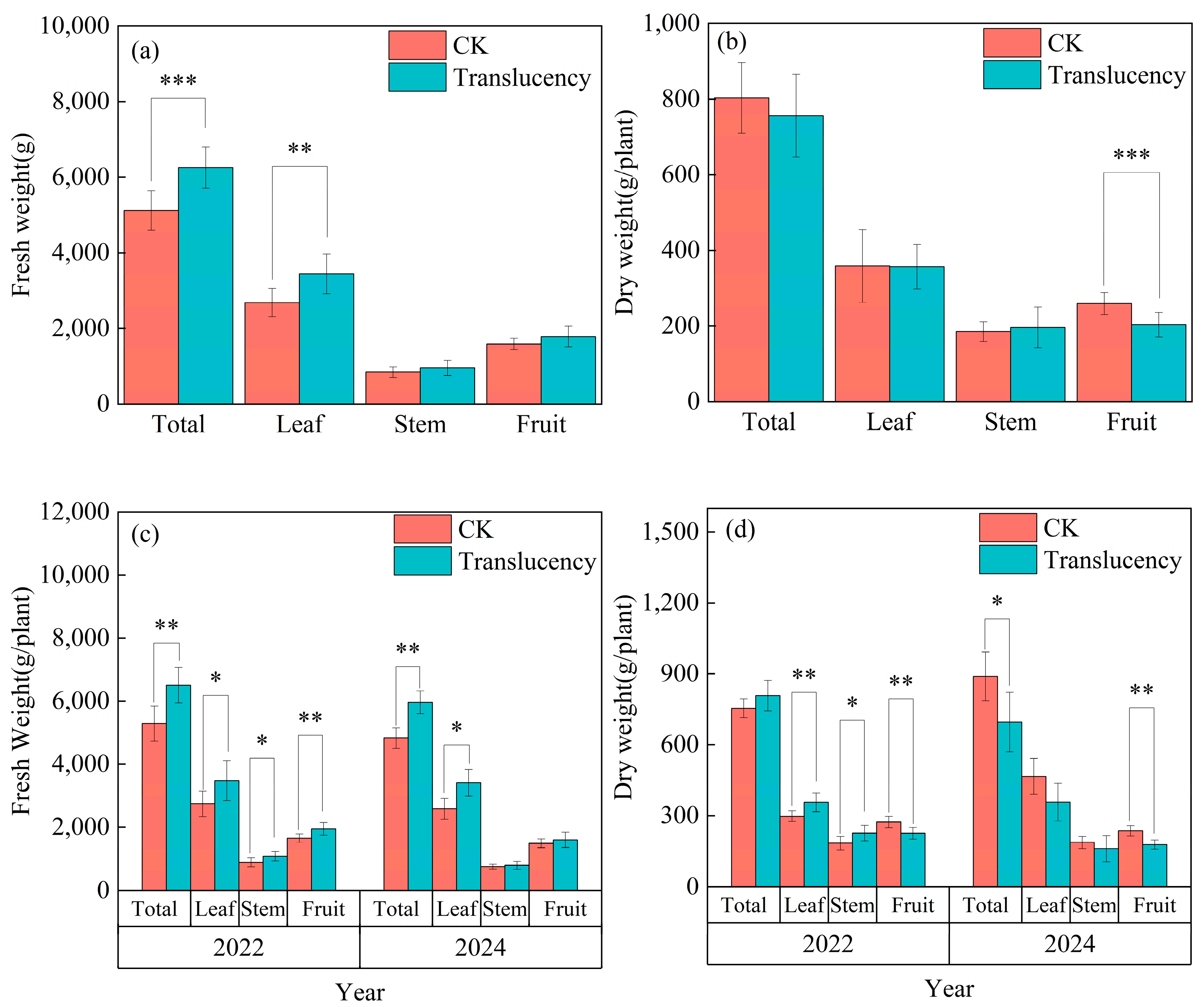
3.4.1. Dry Matter Accumulation in Fruits
3.4.2. Nutrient Uptake
3.5. Endogenous Abscisic Acid (ABA)
3.6. Soil Conditions
3.7. Key Factors Influencing the Occurrence of Pineapple Translucency
4. Discussion
4.1. Prevalence and Characteristics of Pineapple Translucency
4.2. Effects of Nitrogen Status on Translucency Occurrence
4.3. Potential Measures
5. Conclusions
Author Contributions
Funding
Data Availability Statement
Acknowledgments
Conflicts of Interest
References
- Li, Q.R.; Sun, G.M. Development Status of Pineapple Industry in the World. Chin. J. Trop. Agric. 2012, 32, 72–75. (In Chinese) [Google Scholar] [CrossRef]
- FAO. Food and Agriculture Organization of the United Nations, Rome. 2021. Available online: http://faostat.fao.org/ (accessed on 26 May 2025).
- Su, W.Q.; Liu, Y.Q.; Ren, H.; Ou, G.L.; Li, J.J.; Luo, R.H.; Lu, Y.Y. Introduction and Performance of the new pineapple variety Tainong No. 17 introduced in Nanning, Guangxi. China Fruits 2011, 5, 46–48. [Google Scholar] [CrossRef]
- He, J.H.; Lua, A.P. Occurrence and Control Measures of Pineapple Water Core and Fruit Cracking. Sci. Plant. Breed. 2019, 7, 40–41. (In Chinese) [Google Scholar] [CrossRef]
- Yao, Y.l.; Fu, Q.; Zhou, D.; Zhu, Z.Y.; Yang, Y.M.; Zhang, X.M. Changes of Physiological Indexes and Endogenous Hormone Content of Watercore Pineapple Fruit. Chin. J. Trop. Crops 2021, 42, 2587–2593. (In Chinese) [Google Scholar] [CrossRef]
- Paull, R.E.; Reyes, M.E.Q. Preharvest weather conditions and pineapple fruit translucency. Sci. Hortic. 1996, 66, 59–67. [Google Scholar] [CrossRef]
- Murai, K.; Chen, N.J.; Paull, R.E. Pineapple crown and slip removal on fruit quality and translucency. Sci. Hortic. 2021, 283, 110087. [Google Scholar] [CrossRef]
- Wang, W.B.; Yao, Y.L.; Li, C.I.; He, J.J.; Fu, Q.; Yang, Y.Q.; Lin, S.P.; Zhang, X.M. Effects of Preharvest High Temperature Stress on Physiological Characteristics and Fruit Quality in Pineapple. South China Fruits 2025, 1007–1431. (In Chinese) [Google Scholar] [CrossRef]
- Chen, C.C. Effects of Fruit Temperature, Calcium, Crown and Sugar-Metabolizing Enzymes on the Occurrence of Pineapple Fruit Translucency. Ph.D. Dissertation, University of Hawaii at Manoa, Honolulu, HI, USA, 1999. [Google Scholar]
- Paull, R.E.; Chen, N.J. Pineapple translucency and chilling injury in new low-acid hybrids. In Proceedings of the II Southeast Asia Symposium on Quality Management in Postharvest Systems, Vientiane, Laos, 4–6 December 2013; Volume 1088, pp. 61–66. [Google Scholar] [CrossRef]
- Dayondon, R.R.; Valleser, V.C. Effects of Urea and Calcium-Boron Applied at Flower-Bud Stage on ‘Md2’ Pineapple Fruit. Int. J. Sci. Res. Publ. 2018, 8, 322–328. [Google Scholar] [CrossRef]
- Tian, W.; Wang, C.; Gao, Q.; Li, L.; Luan, S. Calcium spikes, waves and oscillations in plant development and biotic interactions. Nat. Plants 2020, 6, 750–759. [Google Scholar] [CrossRef]
- Brett, C.T.; Waldron, K.W. Physiology and Biochemistry of Plant Cell Walls; Springer Science Business Media: Berlin/Heidelberg, Germany, 1996; Volume 2. [Google Scholar]
- Zhou, W.; Wang, H. Physiological and Molecular Mechanisms of Calcium Absorption, Transport and Metabolism in Plants. Chin. Bull. Bot. 2007, 24, 762–778. (In Chinese) [Google Scholar] [CrossRef]
- Li, T.; Hong, X.; Liu, S.; Wu, X.; Fu, S.; Liang, Y.; Li, J.; Li, R.; Zhang, C.; Song, X.; et al. Cropland degradation and nutrient overload on Hainan Island: A review and synthesis. Environ. Pollut. 2022, 313, 120100. [Google Scholar] [CrossRef]
- Marschner, H. Mineral Nutrition of Higher Plants, 2nd ed.; Academic Press: London, UK, 1995; pp. 285–299. [Google Scholar]
- Zhang, J.B. Occurrence and Control of Apple Watercore Disease. Hebei Fruits1 2011, 1, 36. (In Chinese) [Google Scholar] [CrossRef]
- Jiang, Y.B.; Wang, Z.H.; Jin, C.S. Research progress on pathogenesis of watercore in apple. China Fruits 2022, 1, 8–14. (In Chinese) [Google Scholar] [CrossRef]
- Perring, M.; Pearson, K.; Martin, K. The distribution of calcium in apples with watercore. J. Sci. Food Agric. 1984, 35, 1326–1328. [Google Scholar] [CrossRef]
- Yang, M.; Lin, Q.; Luo, Z.; Ban, Z.; Li, X.; Reiter, R.J.; Zhang, S.; Wang, L.; Liang, Z.; Qi, M.; et al. Ongoings in the apple watercore: First evidence from proteomic and metabolomic analysis. Food Chem. 2023, 402, 134–226. [Google Scholar] [CrossRef]
- Stefaniak, J.; Stasiak, A.; Latocha, P.; Łata, B. Seasonal Changes in Macronutrients in the Leaves and Fruit of Kiwiberry: Nitrogen Level and Cultivar Effects. Commun. Soil Sci. Plant Anal. 2019, 50, 2913–2926. [Google Scholar] [CrossRef]
- Larocca, G.N.; Baldi, E.; Toselli, M. Understanding the Role of Calcium in Kiwifruit: Ion Transport, Signaling, and Fruit Quality. Horticulturae 2025, 11, 335. [Google Scholar] [CrossRef]
- Hirschi, K.D. The Calcium Conundrum. Both Versatile Nutrient and Specific Signal. Plant Physiol. 2004, 136, 2438–2442. [Google Scholar] [CrossRef] [PubMed]
- Zhang, Y.Z. Effect of Nitrogen Application and Interstem Rootstock on Calcium Absorption and Fruit Quality of Fuji Apples; Chinese Academy of Agricultural Sciences: Beijing, China, 2021. (In Chinese) [Google Scholar] [CrossRef]
- LI, J.; Jiang, Y.M.; Wei, S.C.; Ge, S.F.; Li, H.N.; Men, Y.G.; Zhou, L. Annual utilization and allocation of urea-13C by M. hupehensis Rehd. under different N rates. J. Plant Nutr. Fertil. 2015, 21, 800–806. (In Chinese) [Google Scholar] [CrossRef]
- Bush, D.S. Calcium regulation in plant cells and its role in signaling. Annu. Rev. Plant Biol. 1995, 46, 95–122. [Google Scholar] [CrossRef]
- Zhang, W.; Wu, L.; Ding, Y.; Yao, X.; Wu, X.; Weng, F.; Li, G.; Liu, Z.; Tang, S.; Ding, C.; et al. Nitrogen fertilizer application affects lodging resistance by altering secondary cell wall synthesis in japonica rice (Oryza sativa). J. Plant Res. 2017, 130, 859–871. [Google Scholar] [CrossRef] [PubMed]
- Patterson, K.; Cakmak, T.; Cooper, A.; Lager, I.; Rasmusson, A.G.; Escobar, M.A. Distinct signalling pathways and transcriptome response signatures differentiate ammonium- and nitrate-supplied plants: Transcriptome signatures of ammonium and nitrate responses. Plant Cell Environ. 2010, 33, 1486–1501. [Google Scholar] [CrossRef]
- Duprat, F.; Grotte, M.; Pietri, E.; Loonis, D.; Studman, C.J. The acoustic impulse response method for measuring the overall firmness of fruit. J. Agric. Eng. Res. 1997, 66, 251–259. [Google Scholar] [CrossRef]
- Huang, T.W.; Bhat, S.A.; Huang, N.F.; Chang, C.Y.; Chan, P.C.; Elepano, A.R. Artificial intelligence-based real-time pineapple quality classification using acoustic spectroscopy. Agriculture 2022, 12, 129. [Google Scholar] [CrossRef]
- AOAC International. Official Method 942.15: Acidity (Titratable) of Fruit Products. In Official Methods of Analysis of AOAC International, 20th ed.; AOAC International: Rockville, MD, USA, 2023; p. C37-11. [Google Scholar] [CrossRef]
- AOAC International. Vitamin C (Ascorbic Acid) in Vitamin Preparations and Juices, Official Method 967.21. In Official Methods of Analysis of AOAC International, 20th ed.; AOAC International: Rockville, MD, USA, 2023; p. C45-22. [Google Scholar] [CrossRef]
- Bradford, M.M. A rapid and sensitive method for the quantitation of microgram quantities of protein utilizing the principle of protein-dye binding. Anal. Biochem. 1976, 72, 248–254. [Google Scholar] [CrossRef]
- GB 5009.268-2025; National Food Safety Standard—Determination of Multi-Elements in Foods. National Health Commission of the People’s Republic of China, State Administration for Market Regulation: Beijing, China, 2025.
- Bao, S.D. Soil Agrochemical Analysis, 3rd ed.; China Agriculture Press: Beijing, China, 2000; pp. 263–282. (In Chinese) [Google Scholar]
- Tansupo, P.; Suwannasom, P.; Luthria, D.L.; Chanthai, S.; Ruangviriyachai, C. Optimised separation procedures for the simultaneous assay of three plant hormones in liquid biofertilisers. Phytochem. Anal. 2010, 21, 157–162. (In Chinese) [Google Scholar] [CrossRef] [PubMed]
- Chen, N.J.; Paull, R.E. Production and postharvest handling of low acid hybrid pineapple. Acta Hortic. 2017, 1166, 25–34. [Google Scholar] [CrossRef]
- Joomwong, A. Impact of Cropping Season in Northern Thailand on the Quality of Smooth Cayenne Pineapple. II. Influence on Physico-chemical Attributes. Int. J. Agric. Biol. 2006, 8, 330–336. Available online: https://www.researchgate.net/publication/228728029_Impact_of_cropping_season_in_Northern_Thailand_on_the_quality_of_Smooth_Cayenne_pineapple_II_Influence_on_physicochemical_attributes (accessed on 26 May 2025).
- Mohammed, D.M. Optimizing Postharvest Handling and Maintaining Quality of Fresh Pineapples (Ananas cosmosus (L.)); Inter-American Institute for Cooperation on Agriculture: San Isidro, Costa Rica, 2014. [Google Scholar]
- Fritz, C.; Palacios-Rojas, N.; Feil, R.; Stitt, M. Regulation of secondary metabolism by the carbon-nitrogen status in tobacco: Nitrate inhibits large sectors of phenylpropanoid metabolism. Plant J. Cell Mol. Biol. 2006, 46, 533–548. [Google Scholar] [CrossRef] [PubMed]
- Aranjuelo, I.; Tcherkez, G.; Molero, G.; Gilard, F.; Avice, J.C.; Nogués, S. Concerted changes in N and C primary metabolism in alfalfa (Medicago sativa) under water restriction. J. Exp. Bot. 2013, 64, 885–897. [Google Scholar] [CrossRef] [PubMed]
- Wang, F.; Sha, J.; Chen, Q.; Xu, X.; Zhu, Z.; Ge, S.; Jiang, Y. Exogenous Abscisic Acid Regulates Distribution of 13C and 15N and Anthocyanin Synthesis in ‘Red Fuji’ Apple Fruit Under High Nitrogen Supply. Front. Plant Sci. 2020, 10, 1738. [Google Scholar] [CrossRef]
- Wang, F. The Mechanism of High Nitrogen Regulating Carbon and Nitrogen Metabolism in Apple Fruit and Nitrogen Regulation Techniques. Master’s Thesis, Shandong Agricultural University, Tai’an, China, 2021. (In Chinese with English abstract). [Google Scholar] [CrossRef]
- Jiang, Y.; Jiang, S.; Liu, L. Understanding the multifaceted role of ABA signaling in orchestrating plant developmental transition. Stress Biol. 2025, 5, 5. [Google Scholar] [CrossRef]
- Ma, X.; Wang, W.; Zhang, J.; Jiang, Z.; Xu, C.; Zhu, W.; Shi, B.; Yang, W.; Su, H.; Wang, X.H.; et al. NRT1.1B acts as an abscisic acid receptor in integrating compound environmental cues for plants. Cell 2025, 188, 5231–5248. [Google Scholar] [CrossRef]
- Wolf, S.; Hématy, K.; Höfte, H. Growth Control and Cell Wall Signaling in Plants. Annu. Rev. Plant Biol. 2012, 63, 381–407. [Google Scholar] [CrossRef]
- Clarkson, D.T.; Hanson, J.B. The mineral. nutrition of higher plants. Annu. Rev. Physiol. 1980, 31, 239–298. [Google Scholar] [CrossRef]
- Liu, X.Y.; Yin, X.N.; Zhao, C.Z.; Zhang, H.Y. Effects of Foliar Nutrition Supplementation on Apple Watercore Disease. Hebei Fruits 2005, 5, 4–5. (In Chinese) [Google Scholar] [CrossRef]
- Ma, M.; Yin, X.N.; Liu, X.Y.; Niu, J.J.; Li, K.Y. Study on the Relationship Between Boron and Apple Watercore Disease. China Fruits 2009, 10, 1000–8047. (In Chinese) [Google Scholar] [CrossRef]
- Du, Y.M.; Wang, W.H.; Hang, B.; Tong, W.; Wang, Z.H.; Jia, X.H. Relationship of Carbohydrate, Mineral Content, Reactive Oxygen Species Metabolism and ‘Fuji’ Apple Watercore Occurred. Acta Hortic. Sin. 2015, 42, 2023–2030. (In Chinese) [Google Scholar] [CrossRef]
- Shi, L.; Xu, F.S. Advances and prospects of boron nutrition in plants. Chin. Bull. Bot. 2007, 24, 789–798. (In Chinese) [Google Scholar] [CrossRef]
- Sepaskhah, A.R.; Maftoun, M. Seedling growth and chemical. composition of two pistachio cultivars as affected by boron and nitrogen application. J. Plant Nutr. 2008, 17, 155–171. [Google Scholar] [CrossRef]
- Dinh, A.Q.; Naeem, A.; Sagervanshi, A.; Wimmmer, M.A.; Mühling, K.H. Boron uptake and distribution by oilseed rape (Brassica napus L.) as affected by different nitrogen forms under low and high boron supply. Plant Physiol. Biochem. 2021, 161, 156–165. [Google Scholar] [CrossRef]
- Kaplan, B.; Davydov, O.; Knight, H.; Galon, Y.; Knight, M.R.; Fluhr, R.; Fromm, H. Rapid transcriptome changes induced by cytosolic Ca2+ transients reveal ABRE related sequences as Ca2+responsive cis elements in Arabidopsis. Plant Cell 2006, 18, 2733–2748. [Google Scholar] [CrossRef] [PubMed]
- Xiong, T.; Tan, Q.; Li, S.; Mazars, C.; Galaud, J.P.; Zhu, X. Interactions between calcium and ABA signaling pathways in the regulation of fruit ripening. J. Plant Physiol. 2021, 256, 153–309. [Google Scholar] [CrossRef] [PubMed]
- Guo, J.Y. Investigation and Gold Pineapple Fertilization Nutritional: Properties and Weight Loss Technology Research. Master’s Thesis, Hainan University, Hai’kou, China, 2019. (In Chinese with English abstract). [Google Scholar] [CrossRef]
- Zhang, H.Q. Effects of Soil Nutrient Status and Soil Amendments on Nutrient Accumulation, Yield and Quality of Tainong 17 Pineapple. Master’s Thesis, Hainan University, Hai’kou, China, 2019. (In Chinese with English abstract). [Google Scholar] [CrossRef]
- Chen, J.; Zeng, H.; Zhang, X. Integrative transcriptomic and metabolomic analysis of D-leaf of seven pineapple varieties differing in N-P-K% contents. BMC Plant Biol. 2021, 21, 550. [Google Scholar] [CrossRef]
- Zhang, H.Q.; Lu, M.; Deng, Y. Effect of nitrogen, phosphorus and potassium fertilization on perfumed pineapple and suitable application amounts. Trop. Crops 2021, 42, 1619–1624. (In Chinese) [Google Scholar] [CrossRef]
- Bartholomew, D.P.; Rohrbach, K.G.; Evans, D.O. Pineapple cultivation in Hawaii. Fruits Nuts 2002, 7, 1–8. Available online: http://hdl.handle.net/10125/2444 (accessed on 26 May 2025).
- Razzaque, A.H.M.; Musa, M.H.; Abd Rahim, A.; Hanif, A.H.M. Pineapple response to nitrogen application on tropical peat: II. Effect on fruit yield and quality. Fruits 2000, 55, 207–212. [Google Scholar]
- Bartholomew, D.P.; Hawkins, R.A.; Lopez, J.A. Hawaii Pineapple: The Rise and Fall of an Industry. Hort. Sci. 2012, 47, 1390–1398. [Google Scholar] [CrossRef]
- Shen, Q.R. General Theory of Soil and Fertilizer; Higher Education Press: Beijing, China, 2001; pp. 178–180. (In Chinese) [Google Scholar]








Disclaimer/Publisher’s Note: The statements, opinions and data contained in all publications are solely those of the individual author(s) and contributor(s) and not of MDPI and/or the editor(s). MDPI and/or the editor(s) disclaim responsibility for any injury to people or property resulting from any ideas, methods, instructions or products referred to in the content. |
© 2025 by the authors. Licensee MDPI, Basel, Switzerland. This article is an open access article distributed under the terms and conditions of the Creative Commons Attribution (CC BY) license (https://creativecommons.org/licenses/by/4.0/).
Share and Cite
Yao, J.; Han, Z.; Lin, F.; He, S.; Li, T. Nutrient Imbalance and Cell-Wall Remodeling Drive Pineapple Translucency: A Two-Season Survey in Hainan, China. Horticulturae 2025, 11, 1264. https://doi.org/10.3390/horticulturae11101264
Yao J, Han Z, Lin F, He S, Li T. Nutrient Imbalance and Cell-Wall Remodeling Drive Pineapple Translucency: A Two-Season Survey in Hainan, China. Horticulturae. 2025; 11(10):1264. https://doi.org/10.3390/horticulturae11101264
Chicago/Turabian StyleYao, Jinshuang, Zeyong Han, Fangcong Lin, Shanlin He, and Tingyu Li. 2025. "Nutrient Imbalance and Cell-Wall Remodeling Drive Pineapple Translucency: A Two-Season Survey in Hainan, China" Horticulturae 11, no. 10: 1264. https://doi.org/10.3390/horticulturae11101264
APA StyleYao, J., Han, Z., Lin, F., He, S., & Li, T. (2025). Nutrient Imbalance and Cell-Wall Remodeling Drive Pineapple Translucency: A Two-Season Survey in Hainan, China. Horticulturae, 11(10), 1264. https://doi.org/10.3390/horticulturae11101264
