The Natural Habitats, Nutrients, and Heavy Metal Status of Wild Steppe Peony Populations in Serbia
Abstract
1. Introduction
2. Materials and Methods
2.1. Habitats and Associated Climatic Conditions
2.2. Soil Characterization and Chemical Analyses
2.3. Plant Material and Chemical Analyses
2.4. Statistical Analysis
3. Results
3.1. Habitats and Associated Climatic Conditions
3.2. Soil Characteristics and Chemical Analyses
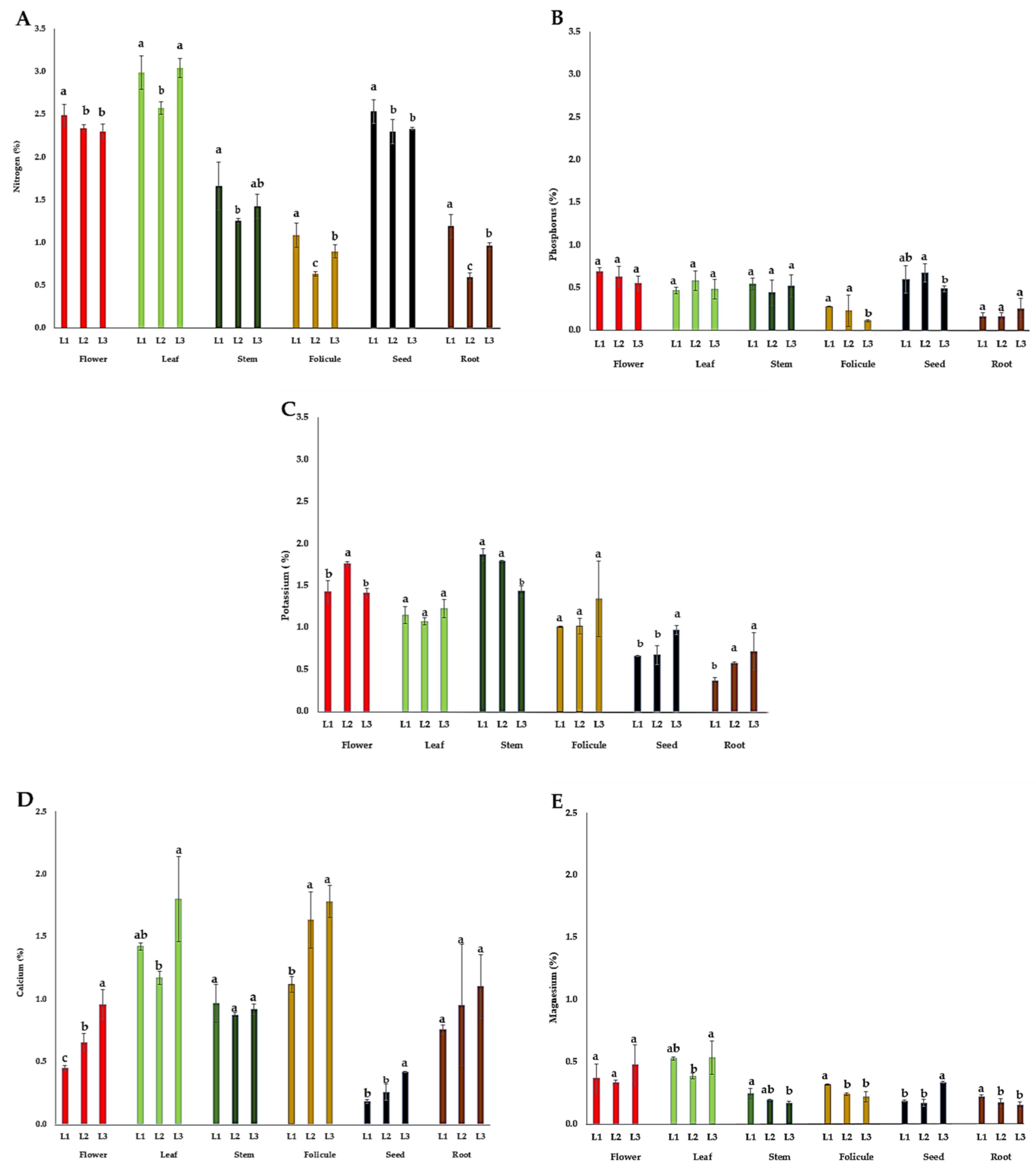
3.3. Chemical Analyses of Plant Material
3.4. Correlations
4. Discussion
4.1. Habitats and Associated Climate
4.2. Soil
4.3. Plant Material
5. Conclusions
Supplementary Materials
Author Contributions
Funding
Data Availability Statement
Conflicts of Interest
References
- Hong, D.Y. Peonies of the World: Taxonomy and Phytogeography; Missouri Botanical Garden: St. Louis, MI, USA, 2010; p. 302. [Google Scholar]
- Suleymanova, G.; Boldyrev, V.; Savinov, V. Post-fire restoration of plant communities with Paeonia tenuifolia in the Khvalynsky National Park (Russia). Nat. Conserv. Res. 2019, 4, 57–77. [Google Scholar] [CrossRef]
- Seliverstova, E.N.; Khrapach, V.V.; Volkova, V.V.; Shegrinets, N.V. The Results of Plant Monitoring in the Semistozhki Area of Stavropol Region. In Proceedings of the International Scientific and Practical Conference AgroSMART—Smart Solutions for Agriculture, Tyumen, Russia, 16–20 July 2018; KnE Life Sciences: Cambridge, MA, USA, 2019; pp. 1013–1022. [Google Scholar] [CrossRef]
- Prijić, Ž.; Marković, T.; Radanović, D.; Jingqi, X.; Xiuxin, Z.; Gordanić, S.; Mikić, S.; Dragumilo, A.; Čutović, N.; Batinić, P. The effect of the year on the steppe peony’s morphological and ornamental traits. Acta Herbol. 2023, 32, 65–72. [Google Scholar] [CrossRef]
- Ivanova, A.; Delcheva, I.; Tsvetkova, I.; Kujumgiev, A.; Kostova, I. GC-MS Analysis and Anti-Microbial Activity of Acidic Fractions Obtained from Paeonia peregrina and Paeonia tenuifolia Roots. Z. Naturforsch C J. Biosci. 2002, 57, 624–628. [Google Scholar] [CrossRef] [PubMed]
- Marković, M.; Stankov-Jovanović, V.; Smiljić, M. Medicinal flora of the Vidlic mountain in Serbia. Univ. Thought-Publ. Nat. Sci. 2019, 9, 17–26. [Google Scholar] [CrossRef]
- Čutović, N.; Marković, T.; Kostić, M.; Gašić, U.; Prijić, Ž.; Ren, X.; Lukić, M.; Bugarski, B. Chemical Profile and Skin-Beneficial Activities of the Petal Extracts of Paeonia tenuifolia L. from Serbia. Pharmaceuticals 2022, 15, 1537. [Google Scholar] [CrossRef]
- Čutović, N.; Marković, T.; Carević, T.; Stojković, D.; Bugarski, B.; Jovanović, A.A. Liposomal and Liposomes-Film Systems as Carriers for Bioactives from Paeonia tenuifolia L. Petals: Physicochemical Characterization and Biological Potential. Pharmaceutics 2023, 15, 2742. [Google Scholar] [CrossRef]
- Batinić, P.; Jovanović, A.; Stojković, D.; Čutović, N.; Cvijetić, I.; Gašić, U.; Carević, T.; Zengin, G.; Marinković, A.; Marković, T. A novel source of biologically active compounds—The leaves of Serbian herbaceous peonies. Saudi Pharm. J. 2024, 32, 102090. [Google Scholar] [CrossRef]
- Batinić, P.; Jovanović, A.; Stojković, D.; Zengin, G.; Cvijetić, I.; Gašić, U.; Čutović, N.; Pešić, M.B.; Milinčić, D.D.; Carević, T.; et al. Phytochemical analysis, biological activities, and molecular docking studies of root extracts from Paeonia species in Serbia. Pharmaceuticals 2024, 17, 518. [Google Scholar] [CrossRef]
- Lazarević, P.; Stojanović, V. Wild peonies (Paeonia L.) in Serbia—Distribution, state of populations, threat and protection. Zaštita Prir. 2012, 62, 19–44. (In Serbian) [Google Scholar]
- Bilz, M. Paeonia tenuifolia (Europe Assessment). In The IUCN Red List of Threatened Species 2011: E.T165143A5981869; 2024; Available online: https://www.iucnredlist.org/species/165143/5981869 (accessed on 25 August 2024).
- Stevanović, V. Ed Red Book of Flora; Serbia 1—Extinct and Extremely Endangered Taxa; Ministry of Environmental Protection of Republic of Serbia: Belgrade, Serbia, 1999; pp. 167–169. [Google Scholar]
- Yom Din, G.; Cohen, M.; Kamenetsky, R. Database for Herbaceous Peony Cultivated in Warm Climate Regions: Effects of Temperature on Plant Dormancy and Growth. J. Hortic. 2015, 2, 3. [Google Scholar] [CrossRef]
- Marković, T.; Prijić, Ž.; Xue, J.; Zhang, X.; Radanović, D.; Ren, X.; Filipović, V.; Lukić, M.; Gordanić, S. The seed traits associated with dormancy and germination of herbaceous peonies, focusing on species native in Serbia and China. Horticulturae 2022, 8, 585. [Google Scholar] [CrossRef]
- Rockström, J.; Steffen, W.; Noone, K.; Persson, A.; Chapin, F.S.; Lambin, E.; Lenton, T.M.; Scheffer, M.; Folke, C.; Schellnhuber, H.; et al. Planetary boundaries: Exploring the safe operating space for humanity. Ecol. Soc. 2009, 14, 32. Available online: http://www.ecologyandsociety.org/vol14/iss2/art32/ (accessed on 23 March 2022). [CrossRef]
- Zhang, K.; Zhang, Y.; Tao, J. Predicting the potential distribution of Paeonia veitchii (Paeoniaceae) in China by incorporating climate change into a maxent model. Forests 2019, 10, 190. [Google Scholar] [CrossRef]
- Andrieu, E.; Thompson, J.D.; Debussche, M. The impact of forest spread on a marginal population of a protected peony (Paeonia officinalis L.): The importance of conserving the habitat mosaic. Biodivers. Conserv. 2007, 16, 643–658. [Google Scholar] [CrossRef]
- Ne’eman, G. To be or not to be—The effect of nature conservation management on flowering of Paeonia mascula (L.). Mill. Israel. Biol. Conserv. 2003, 109, 103–109. [Google Scholar] [CrossRef]
- Đorđević, S. Temperature and Precipitation Trends in Belgrade and Indicators of Changing Extremes for Serbia. Geogr. Pannonica 2008, 12, 62–68. [Google Scholar] [CrossRef]
- Perković, S.; Paul, C.; Vasić, F.; Helming, K. Human Health and Soil Health Risks from Heavy Metals, Micro(nano)plastics, and Antibiotic Resistant Bacteria in Agricultural Soils. Agronomy 2022, 12, 2945. [Google Scholar] [CrossRef]
- Li, C.; Yan, S.; Daqiu, Z.; Jun, T.; Liguo, F. Research Article Relationship between Major Mineral Nutrient Elements Contents and Flower Colors of Herbaceous Peony (Paeonia lactiflora Pall.). Adv. J. Food Sci. Technol. 2015, 7, 374–382. [Google Scholar] [CrossRef]
- Weixing, L.; Shunbo, Y.; Hui, C.; Yanmin, H.; Jun, T.; Chunhua, Z. Nutritional evaluation of herbaceous peony (Paeonia lactiflora Pall.). Emir. J. Food Agric. 2017, 29, 518–531. [Google Scholar] [CrossRef]
- Grzeszczuk, M.; Stefaniak, A.; Meller, E.; Wysocka, G. Mineral composition of some edible flowers. J. Elem. 2018, 23, 151–162. [Google Scholar] [CrossRef]
- Li, Z.; Dexi, L.; Lijie, Z.; Linghao, L. Mineral Elements and Active Ingredients in Root of Wild Paeonia lactiflora Growing at Duolun County; Inner Mongolia Biological Trace Element Research: Inner, China, 2019. [Google Scholar] [CrossRef]
- Wang, J.; Hu, Y. Translocality and accumulation of heavy metals from the rhizosphere soil to the medicinal plant (Paeonia lactiflora Pall.) grown in Bozhou, Anhui Province, China. Env. Pollut. Bioavail. 2023, 35, 2223768. [Google Scholar] [CrossRef]
- Gunn, C.; Kim, M.P.; Jason, P.B. Nest microclimate at northern Black Swift colonies in Colorado, New Mexico, and California: Temperature and relative humidity. Wilson J. Ornithol. 2012, 124, 797–802. [Google Scholar] [CrossRef]
- Belić, M.; Nešić, L.; Ćirić, V. Practicum in Pedology; Faculty of Agriculture, University of Novi Sad: Novi Sad, Serbia, 2014; pp. 1–90. (In Serbian) [Google Scholar]
- Škorić, A.; Filipovski, G.; Cirić, M. Classification of Yugoslav Soils; Interacademic Board for Soil Science Book 13; Academy of Sciences and Arts of Bosnia and Herzegovina: Sarajevo, Bosnia and Herzegovina, 1985. (In Serbian) [Google Scholar]
- World Reference Base for Soil Resources 2014, International Soil Classification System for Naming Soils and Creating Legends for Soil Maps; FAO Food and Agriculture Organization of the United Nations: Rome, Italy, 2015.
- Manual for Soil Testing, Book I; Chemical Methods of Soil Testing; Yugoslav Society for Soil Research: Zemun, Belgrade, 1966; pp. 78–86. (In Serbian)
- ISO 10693:1995; Soil Quality—Determination of Carbonate Content. Volumetric Method. International Organization for Standardization: Geneva, Switzerland, 1995.
- ISO 14235:1998; Soil Quality—Determination of Organic Carbon by Sulfochromic Oxidation. International Organization for Standardization: Geneva, Switzerland, 1998.
- SRPS ISO 10694:2005; Soil Quality—Determination of Organic and Total Carbon after Dry Combustion (Elementary Analysis). Institute for Standardization of Serbia: Belgrade, Serbia, 2005.
- Jarvis, K.E.; Gray, A.L.; Houk, R.S.; Jarvis, I.; Mac Laren, J.W.; Williams, J.G. Handbook of Inductively Coupled Plasma Mass Spectrometry; Springer: New York, NY, USA, 1992; Available online: https://link.springer.com/book/10.1007/978-1-4613-0697-9 (accessed on 12 August 2024).
- Thun, R.; Hermann, R.; Knickmann, F. Die Untersuchung von Böden. Band I, Methodenbuches des Verbandes Deutscher Landwirtschaftlicher Untersuchungs-und Forschungsanstalten. 3. Aufl.; Neumann: Radebeul/Berlin, Germany, 1955. [Google Scholar]
- USDA United States Department of Agriculture Soil Survey Manual (Handbook No. 18); Government Printing Office: Washington, DC, USA, 2017.
- Sáez-Plaza, P.; Navas, M.J.; Wybraniec, S.; Michałowski, T.; Asuero, A.G. An Overview of the Kjeldahl Method of Nitgen Determination. Part II. Sample Preparation, Working Scale, Instrumental Finish, and Quality Control. Crit. Rev. Anal. Chem. 2013, 43, 224–272. [Google Scholar] [CrossRef]
- Republic Hydrometeorological Service of Serbia. Annual Bulletin for Serbia the year of 2022: Division for Climate Monitoring and Climate Forecast, Department of National Center for Climate Change, Climate Model Development and Disaster Risk Assessment. 2022. Belgrade. Available online: https://www.hidmet.gov.rs/data/klimatologija/eng/2022.pdf (accessed on 12 August 2024).
- Official Gazette of Republic of Serbia 23/1994. Available online: https://www.pravno-informacioni-sistem.rs/arhslgl-sgarh (accessed on 12 August 2024).
- Rudaya, O.A.; Chesnokov, N.N.; Kirina, I.B.; Tarova, Z.N.; Bobrovich, L.V.; Kiriakova, O.I. The research of seed reproduction peculiarities of wild-growing Paeonia L. genus and perspectives of using peony seeds in food-processing industry. In IOP Conference Series: Earth and Environmental Science; IOP Publishing: Bristol, UK, 2021; Volume 845, p. 012002. [Google Scholar] [CrossRef]
- Bohajar, Y.A.M. Droughts and the Process of Aridification as Soil Degradation Factor in Deliblato Sands. Ph.D. Thesis, University of Belgrade, Faculty of Forestry, Beograd, Belgrade, 2016. [Google Scholar]
- Kabata-Pendias, A. Trace Elements in Soils and Plants, 4th ed.; CRC Press Taylor & Francis Group: Boca Raton, FL, USA, 2011; pp. 1–505. [Google Scholar]
- Mengel, K.; Kirkby, E.A. Principles of Plant Nutrition, 5th ed.; Kluwer Academic Publishers: Berlin/Heidelberg, Germany, 2001; pp. 1–849. [Google Scholar]
- Salvador-Blanes, S.; Cornu, S.; Bourennane, H.; King, D. Controls of the spatial variability of Cr concentration in top soils of a central French landscape. Geoderma 2006, 132, 143–157. [Google Scholar] [CrossRef]
- Selim, H.M.; Amacher, M.C. Reactivity and Transport of Heavy Metals in Soils; CRC Press/Lewis Publishers: Boca Raton, FL, USA, 1997; p. 201. [Google Scholar]
- Lott, J.N.A.; Bojarski, M.; Kolasa, J.; Batten, G.D.; Campbell, L.C. A review of the phosphorus content of dry cereal and legume crops of the world. Int. J. Agric. Resour. Gov. Ecol. 2009, 8, 351–370. [Google Scholar] [CrossRef]
- Bould, C.; Parfitt, R.I. Leaf analysis as a guide to the nutrition of fruit crops. X. Magnesium and phosphorus sand culture experiments with apple. J. Sci. Food Agric. 1973, 24, 175–185. [Google Scholar] [CrossRef]
- Barry, D.A.J.; Miller, M.H. Phosphorus nutritional requirement of maize seedlings for maximum yield. Agron J. 1989, 81, 95. [Google Scholar] [CrossRef]
- Lambers, H.; Shane, M.W.; Cramer, M.D.; Pearse, S.J.; Veneklaas, E.J. Root structure and functioning for efficient acquisition of phosphorus: Matching morphological and physiological traits. Ann. Bot. 2006, 98, 693–713. [Google Scholar] [CrossRef]
- Marschner, H.; Cakmak, I. High light intensity enhances chlorosis and necrosis in leaves of zinc, potassium, and magnesium deficient bean (Phaseolus vulgaris) plants. J. Plant Physiol. 1989, 134, 308–315. [Google Scholar] [CrossRef]
- Hawkesford, M.; Horst, W.; Kichey, T.; Lambers, H.; Schjoerring, J.; Skrumsager-Møller, I.; White, P. Functions of Macronutrients. In Marschner’s Mineral Nutrition of Higher Plants, 3rd ed.; Petra Marschner, P., Ed.; Elsevier: Amsterdam, The Netherlands, 2012; pp. 135–189. [Google Scholar]
- Bommala, V.K.; Krishna, M.G.; Rao, C.T. Magnesium matrix composites for biomedical applications: A review. J. Magnes. Alloy 2019, 7, 72–79. [Google Scholar] [CrossRef]
- Broadley, M.; Brown, P.; Cakmak, I.; Rengel, Z.; Fangjie, Z. Function of Micronutrients. In Marschner’s Mineral Nutrition of Higher Plants, 3rd ed.; Petra Marschner, P., Ed.; Elsevier: Amsterdam, The Netherlands, 2012; pp. 191–248. [Google Scholar]
- Robson, A.D.; Reuter, D.J. Diagnosis of copper deficiency and toxicity. In Copper in Soils and Plants; Loneragan, J.F., Robson, A.D., Graham, R.D., Eds.; Academic Press: London, UK; Orlando, FL, USA, 1981; pp. 287–312. [Google Scholar]
- Zayed, A.; Lytle, C.M.; Qian, J.H.; Terry, N. Chromium accumulation, translocality and chemical speciation in vegetable crops. Planta 1998, 206, 239. [Google Scholar] [CrossRef]
- Solimene, U.; Alkofahi, A.; Allemann, C.; Amigoni, M.; Aspan, R.; Azimova, S.; Bloodworth, B.C.; Caccialanza, G.; Caizzi, A.; Cheraghali, M.; et al. WHO Guidelines for Assessing Quality of Herbal Medicines with Reference to Contaminants and Residues; World Health Organization: Geneva, Switzerland, 2007; p. 105. Available online: https://www.who.int/publications/i/item/9789241594448 (accessed on 12 August 2024).
- Steinhof, B. Standardisierung der Qualität von Johanniskrautdrogen und–zubereitungen. Z. För Arznei-Und Gewürzpflanzen 1998, 3, 63–66. [Google Scholar]






| Collected Data | Natural Habitat | ||
|---|---|---|---|
| L1 | L2 | L3 | |
| I. Site data | |||
| Locality name | Deliblato sands | Bogovo Gumno | Gulenovci |
| Latitude | 44°57′ N | 43°33′ N | 43°06′ N |
| Longitude | 21°02′ E | 22°01′ E | 22°49′ E |
| Elevation | 150–164 m | 950 m | 813 m |
| II. Site environment data | |||
| Topography | Gently undulating 3–5.9% | Almost flat 0.6–2.9% | Gently undulating 3–5.9% |
| Higher-level landform | Upland | Mountain | Mountain |
| Slope | 1–3° | 1° | 2–3° |
| Slope form | Complex (irregular) | Straight | Straight |
| Slope aspect | N, E, S, W | S–SE | S–SW |
| Land element and position | Valley floor, channel, lower slope | Rounded summit | Mid-slope |
| Overall vegetation surrounding and at the site | Grassland (grasses, subordinate forbs, no woody species) | Forbland (herbaceous plants predominant) | Scrub and grassland (grasses with a discontinuous layer of trees or shrubs) |
| Possible sources of contamination | No | No | No |
| Habitat | Month Average | Year Average | ||||||||||||
|---|---|---|---|---|---|---|---|---|---|---|---|---|---|---|
| I | II | III | IV | V | VI | VII | VIII | IX | X | XI | XII | |||
| L1 (Deliblato sands) | T (°C) | 0.3 | 4.5 | 4.6 | 11.2 | 19.4 | 23.2 | 24.4 | 24.0 | 16.3 | 13.3 | 8.6 | 4.4 | 12.9 |
| Rh (%) | 90.4 | 74.6 | 59.6 | 60.6 | 51.9 | 57.3 | 47.2 | 57.4 | 75.6 | 74.7 | 83.5 | 88.7 | 68.5 | |
| L2 (Bogovo Gumno) | T (°C) | −2.1 | 1.8 | 1.1 | 7.5 | 15.0 | 18.2 | 20.6 | 20.3 | 13.5 | 11.6 | 6.2 | 1.6 | 9.6 |
| Rh (%) | 86.5 | 77.3 | 65.8 | 61.2 | 56.4 | 70.2 | 56.1 | 62.2 | 75.0 | 70.3 | 81.4 | 90.8 | 71.2 | |
| L3 (Gulenovci) | T (°C) | −0.42 | 3.3 | 2.2 | 9.2 | 17.4 | 20.7 | 22.8 | 23.0 | 16.0 | 13.6 | 8.1 | 4.6 | 11.7 |
| Rh (%) | 75.8 | 65.5 | 55.6 | 55.8 | 54.8 | 66.9 | 55.1 | 57.5 | 65.8 | 60.42 | 70.7 | 82.0 | 63.8 | |
| Soil Property | L1 (Deliblato Sands) | L2 (Bogovo Gumno) | L3 (Gulenovci) |
|---|---|---|---|
| Chernozem Arenic | Calcomelanosol * | Calcomelanosol * | |
| Sampling depth | 0–25 cm | 0–10 (20) cm | 0–20 (25) cm |
| pH/H2O | 7.36 ± 0.09 a | 6.86 ± 0.17 a | 7.36 ± 0.41 a |
| pH/KCl | 7.11 ± 0.08 a | 6.06 ± 0.25 b | 6.76 ± 0.44 b |
| Total CaCO3 (%) | 3.69 ± 0.58 a | 0.00 b | 2.63 ± 1.31 a |
| Humus (%) | 4.36 ± 1.11a | 5.73 ± 0.33 a | 5.56 ± 1.40 a |
| Total N (%) | 0.34 ± 0.06 a | 0.37 ± 0.08 a | 0.37 ± 0.04 a |
| Available P2O5 mg/100 g | 3.76 ± 0.61a | 1.16 ± 0.17 b | 3.50 ± 1.00 a |
| Available K2O mg/100 g | 12.53 ± 1.30 b | 27.63 ± 1.11 b | 52.40 ± 12.35 a |
| ** Coarse sand (%) | 12.63 | 13.00 *** | 22.68 *** |
| ** Fine sand (%) | 72.69 | 27.80 | 36.00 |
| ** Silt (%) | 10.32 | 38.52 | 24.48 |
| ** Clay (%) | 4.36 | 20.68 | 16.84 |
| Content [mg kg−1] | L1 Deliblato Sands | L2 Bogovo Gumno | L3 Gulenovci | MDL * |
|---|---|---|---|---|
| Fe | 9278.66 ± 393.3 c | 14,506.66 ± 57.9 a | 12,556.66 ± 41.9 b | - |
| Mn | 341.70 ± 22.68 b | 697.40 ± 48.04 a | 431.16 ± 50.33 b | - |
| Zn | 40.56 ± 1.81 b | 88.53 ± 1.82 a | 79.60 ± 4.99 b | 300.0 |
| Cu | 14.16 ± 2.09 b | 26.86 ± 1.16 a | 23.86 ± 0.96 a | 100.0 |
| Ni | 22.76 ± 2.49 b | 38.50 ± 0.85 a | 24.06 ± 1.56 b | 50.0 |
| Cr | 18.93 ± 1.76 c | 46.43 ± 5.61 a | 36.16 ± 2.81 b | 100.0 |
| Cd | <MDL (1.5) | <MDL (1.5) | <MDL (1.5) | 3.0 |
| Pb | 10.70 ± 0.75 c | 34.53 ± 2.88 a | 24.80 ± 4.99 b | 100.0 |
Disclaimer/Publisher’s Note: The statements, opinions and data contained in all publications are solely those of the individual author(s) and contributor(s) and not of MDPI and/or the editor(s). MDPI and/or the editor(s) disclaim responsibility for any injury to people or property resulting from any ideas, methods, instructions or products referred to in the content. |
© 2024 by the authors. Licensee MDPI, Basel, Switzerland. This article is an open access article distributed under the terms and conditions of the Creative Commons Attribution (CC BY) license (https://creativecommons.org/licenses/by/4.0/).
Share and Cite
Marković, T.; Tanasić, B.; Gordanić, S.; Prijić, Ž.; Mrđan, S.; Dragumilo, A.; Lukić, M.; Radanović, D. The Natural Habitats, Nutrients, and Heavy Metal Status of Wild Steppe Peony Populations in Serbia. Horticulturae 2024, 10, 972. https://doi.org/10.3390/horticulturae10090972
Marković T, Tanasić B, Gordanić S, Prijić Ž, Mrđan S, Dragumilo A, Lukić M, Radanović D. The Natural Habitats, Nutrients, and Heavy Metal Status of Wild Steppe Peony Populations in Serbia. Horticulturae. 2024; 10(9):972. https://doi.org/10.3390/horticulturae10090972
Chicago/Turabian StyleMarković, Tatjana, Bojana Tanasić, Stefan Gordanić, Željana Prijić, Snežana Mrđan, Ana Dragumilo, Milan Lukić, and Dragoja Radanović. 2024. "The Natural Habitats, Nutrients, and Heavy Metal Status of Wild Steppe Peony Populations in Serbia" Horticulturae 10, no. 9: 972. https://doi.org/10.3390/horticulturae10090972
APA StyleMarković, T., Tanasić, B., Gordanić, S., Prijić, Ž., Mrđan, S., Dragumilo, A., Lukić, M., & Radanović, D. (2024). The Natural Habitats, Nutrients, and Heavy Metal Status of Wild Steppe Peony Populations in Serbia. Horticulturae, 10(9), 972. https://doi.org/10.3390/horticulturae10090972

