Comparative Analysis of Phytochemical Composition and Antioxidant Properties of Smilax china Rhizome from Different Regions
Abstract
1. Introduction
2. Materials and Methods
2.1. Plant Materials
2.2. Instruments and Reagents
2.3. Sample Extraction
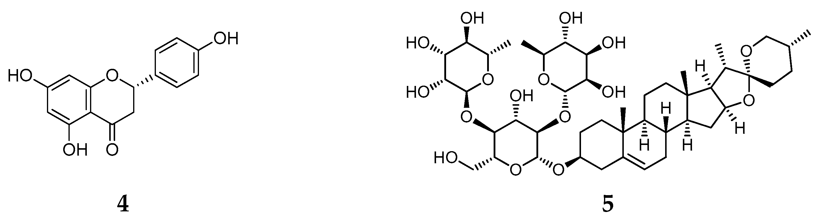
2.4. Preparation of Standards and Sample Solutions
2.5. Analysis of TPC
2.6. Analysis of TFC
2.7. DPPH Radical Scavenging Assay
2.8. ABTS+ Assay
2.9. UPLC/UV Conditions
2.10. HPLC/ELSD Conditions
2.11. Calibration Curve
2.12. Statistical Analysis
3. Results
4. Discussion
5. Conclusions
Author Contributions
Funding
Institutional Review Board Statement
Informed Consent Statement
Data Availability Statement
Conflicts of Interest
References
- Zhong, H.; Ben, C. Editorial Committee of Chinese Materia Medica; Shanghai Science and Technology Press: Shanghai, China, 1999. [Google Scholar]
- Chen, Y.; Wang, Q.; Li, B.; Li, L.; Pan, L.N.; Huang, Y. Study on identification and quality for Smilax china L. of compound gout granules. Asia-Pac. Tradit. Med. 2008, 4, 237–239. [Google Scholar]
- Chen, L.; Yin, H.; Lan, Z.; Ma, S.; Zhang, C.; Yang, Z.; Li, P.; Lin, B. Anti-hyperuricemic and nephroprotective effects of Smilax china L. J. Ethnopharmacol. 2011, 135, 399–405. [Google Scholar] [CrossRef]
- Mohamad, H.S.; Wenli, S.; Qi, C. Tremendous health benefits and clinical aspects of Smilax china. Afr. J. Pharm. Pharmacol. 2019, 13, 253–258. [Google Scholar] [CrossRef][Green Version]
- Xie, Y.; Hu, D.; Zhong, C.; Liu, K.F.; Fang, E.; Zhang, Y.J.; Zhou, C.; Tian, L.W. Anti-inflammatory furostanol saponins from the rhizomes of Smilax china L. Steroids 2018, 140, 70–76. [Google Scholar] [CrossRef] [PubMed]
- Fang, L.; Shen, Z.; Xu, S.; Chen, Y.; Wang, S. Mining novel natural reactive oxygen species (ROS) inhibitors by targeting Rho Kinase for prevention of secondary spinal cord injury: An in-silico trial using traditional Chinese medicinal compounds. J. King Saud Univ.-Sci. 2020, 32, 2540–2552. [Google Scholar] [CrossRef]
- Kruk, J.; Aboul-Enein, B.H.; Duchnik, E.; Marchlewicz, M. Antioxidative properties of phenolic compounds and their effect on oxidative stress induced by severe physical exercise. J. Physiol. Sci. 2022, 72, 1–24. [Google Scholar] [CrossRef] [PubMed]
- Liang, C.; Lim, J.H.; Kim, S.H.; Kim, D.S. Dioscin: A synergistic tyrosinase inhibitor from the roots of Smilax china. Food Chem. 2012, 134, 1146–1148. [Google Scholar] [CrossRef]
- Lee, H.E.; Kim, J.A.; Whang, W.K. Chemical constituents of Smilax china L. stems and their inhibitory activities against glycation, aldose reductase, α-glucosidase, and lipase. Molecules 2017, 22, 451. [Google Scholar] [CrossRef] [PubMed]
- Xu, M.; Xue, H.; Li, X.; Zhao, Y.; Lin, L.; Yang, L.; Zheng, G. Chemical composition, antibacterial properties, and mechanism of Smilax china L. polyphenols. Appl. Microbiol. Biotechnol. 2019, 103, 9013–9022. [Google Scholar] [CrossRef]
- Challinor, V.L.; Parsons, P.G.; Chap, S.; White, E.F.; Blanchfield, J.T.; Lehmann, R.P.; De Voss, J.J. Steroidal saponins from the roots of Smilax sp.: Structure and bioactivity. Steroids 2012, 77, 504–511. [Google Scholar] [CrossRef]
- Sapna, D.D.; Dhruv, D.G.; Harmeet, K. Saponins and their biological activities. Pharma Times 2009, 41, 13–16. [Google Scholar]
- Rahman, M.M.; Rahaman, M.S.; Islam, M.R.; Rahman, F.; Mithi, F.M.; Alqahtani, T.; Almikhlafi, M.A.; Alghamdi, S.Q.; Alruwaili, A.S.; Hossain, M.S.; et al. Role of phenolic compounds in human disease: Current knowledge and future prospects. Molecules 2022, 27, 233. [Google Scholar] [CrossRef] [PubMed]
- Wang, M.; Bai, Q.X.; Zheng, X.X.; Hu, W.J.; Wang, S.; Tang, H.P.; Yu, A.Q.; Yang, B.Y.; Kuang, H.X. Smilax china L.: A review of its botany, ethnopharmacology, phytochemistry, pharmacological activities, actual and potential applications. J. Ethnopharmacol. 2024, 318, 116992. [Google Scholar] [CrossRef] [PubMed]
- Jiang, S.; Wei, Q.; Ye, X.; Luo, D.; Zhang, X.; Li, Z.; You, P.; Huang, X.; Liu, Y. The anti-inflammatory effect of Smilax china L. extract on LPS-stimulated THP-1 via downregulation of MAPK and NF- B signaling pathway. Evid.-Based Complement. Altern. Med. 2021, 2021, 9958808. [Google Scholar] [CrossRef] [PubMed]
- Liang, N.; Kitts, D.D. Role of chlorogenic acids in controlling oxidative and inflammatory stress conditions. Nutrients 2015, 8, 16. [Google Scholar] [CrossRef] [PubMed]
- Yamaga, I.; Tonooka, C.; Emoto, Y. A comprehensive analysis of gibberellic acid and prohydrojasmon treatments for mitigating rind puffing and rind disorder of early-maturing cultivar of satsuma mandarin. Hortic. Environ. Biotechnol. 2024, 65, 627–636. [Google Scholar] [CrossRef]
- Sayyaed, A.; Saraswat, N.; Kulkarni, A.; Vyawahare, N. Neuroprotective action of Smilax china ethanolic bark extract in treatment of a prominent aging disorder: Parkinson’s disease induced by rotenone. Future J. Pharm. Sci. 2023, 9, 79. [Google Scholar] [CrossRef]
- Al-Rajhi, A.M.H.; Ghany, T.M.A. In vitro repress of breast cancer by bio-product of edible Pleurotus ostreatus loaded with chitosan nanoparticles. Appl. Biol. Chem. 2023, 66, 33. [Google Scholar] [CrossRef]
- Yokozawa, T.; Dong, E.; Kawai, Y.; Gemba, M.; Shimizu, M. Protective effects of some flavonoids on the renal cellular membrane. Exp. Toxicol. Pathol. 1999, 51, 9–14. [Google Scholar] [CrossRef]
- Casanova, L.M.; dos Santos Nascimento, L.B.; Costa, S.S. What is new about parsley, a potential source of cardioprotective therapeutic substances? Nutraceuticals 2024, 4, 104–126. [Google Scholar] [CrossRef]
- Choi, J.; Kim, J.; Lee, H.D.; Cho, H.; Leo, A.P.; Shin, H.; Lee, S. Development of an analytical approach for the utilization of edible tree sprouts. Nat. Prod. Sci. 2022, 28, 27–32. [Google Scholar] [CrossRef]
- Kwon, C.S.; Sohn, H.Y.; Kim, S.H.; Kim, J.H.; Son, K.H.; Lee, J.S.; Lim, J.K.; Kim, J.S. Anti-obesity effect of Dioscorea nipponica makino with lipase-inhibitory activity in rodents. Biosci. Biotechnol. Biochem. 2003, 67, 1451–1456. [Google Scholar] [CrossRef] [PubMed]
- Xu, L.N.; Yin, L.H.; Jin, Y.; Qi, Y.; Han, X.; Xu, Y.W.; Liu, K.X.; Zhao, Y.Y.; Peng, J.Y. Effect and possible mechanisms of dioscin on ameliorating metabolic glycolipid metabolic disorder in type-2-diabetes. Phytomedicine 2020, 67, 153139. [Google Scholar] [CrossRef] [PubMed]
- Lee, K.; Park, J.H.; Lee, D.H.; Jo, S.M.; Park, Y.; Kang, T.J. Corchorus olitorius ethanolic extract has anti-inflammatory and wound healing effects in vitro. Nat. Prod. Sci. 2023, 29, 291–296. [Google Scholar] [CrossRef]
- Chen, X.; Pan, S.; Li, F.; Xu, X.; Xing, H. Plant-derived bioactive compounds and potential health benefits: Involvement of the gut microbiota and Its metabolic activity. Biomolecules 2022, 12, 1871. [Google Scholar] [CrossRef] [PubMed]
- Chaachouay, N.; Zidane, L. Plant-derived natural products: A source for drug discovery and development. Drugs Drug Candidates 2024, 3, 184–207. [Google Scholar] [CrossRef]
- Nguyen, V.T.; Thao, V.T.M.; Hanh, L.L.P.; Rol, T.H.; Thao, N.H.P.; Nguyen, T.X.; Luu, P.T.; Thuy, D.T. Exploring the phytochemical diversity and antioxidant potential of the Vietnamese Smilax glabra Roxb: Insights from UPLC-QTOF-MS/MS and zebrafish model studies. Appl. Biochem. Biotechnol. 2024, 1–18. [Google Scholar] [CrossRef] [PubMed]
- Kim, Y.J.; Son, D.-Y. Antioxidant and anticancer properties of hot water and ethanol extracts from the roots of Smilax china L. Korean J. Food Preserv. 2013, 20, 691–698. [Google Scholar] [CrossRef]
- Kim, J.S.; Cuong, D.M.; Bae, Y.B.; Cho, S.K. Antioxidant and antiproliferative activities of solvent fractions of broccoli (Brassica oleracea L.) sprout. Appl. Biol. Chem. 2022, 65, 34. [Google Scholar] [CrossRef]
- Uy, N.P.; Kim, H.; Ku, J.; Lee, S. Regional variations in Peucedanum japonicum antioxidants and phytochemicals. Plants 2024, 13, 377. [Google Scholar] [CrossRef]
- Yang, S.J.; Paudel, P.; Shrestha, S.; Seong, S.H.; Jung, H.A.; Choi, J.S. In vitro protein tyrosine phosphatase 1B inhibition and antioxidant property of different onion peel cultivars: A comparative study. Food Sci. Nutr. 2019, 7, 205–215. [Google Scholar] [CrossRef] [PubMed]
- Baschieri, A.; Amorati, R. Methods to determine chain-breaking antioxidant activity of nanomaterials beyond DPPH•. A review. Antioxidants 2021, 10, 1551. [Google Scholar] [CrossRef]
- Kim, J.; Soh, S.Y.; Bae, H.; Nam, S.Y. Antioxidant and phenolic contents in potatoes (Solanum tuberosum L.) and micropropagated potatoes. Appl. Biol. Chem. 2019, 62, 17. [Google Scholar] [CrossRef]
- Choi, J.; Lee, H.D.; Cho, H.; Lee, C.D.; Tran, G.H.; Kim, H.; Moon, S.K.; Lee, S. Antioxidative phenolic compounds from the aerial parts of Cyperus exaltatus var. iwasakii and their HPLC analysis. Appl. Biol. Chem. 2023, 66, 61. [Google Scholar] [CrossRef]
- Zhou, Y.; Li, C.; Feng, B.; Chen, B.; Jin, L.; Shen, Y. UPLC-ESI-MS/MS based identification and antioxidant, antibacterial, cytotoxic activities of aqueous extracts from storey onion (Allium cepa L. var. proliferum Regel). Food Res. Int. 2020, 130, 108969. [Google Scholar] [CrossRef]
- Qadir, A.; Aqil, M.; Ali, A.; Ahmad, F.J.; Ahmad, S.; Arif, M.; Khan, N. GC-MS analysis of the methanolic extracts of Smilax China and Salix alba and their antioxidant activity. Turk. J. Chem. 2020, 44, 352–363. [Google Scholar] [CrossRef]
- Song, H.-S.; Park, Y.-H.; Jung, S.-H.; Kim, D.-P.; Jung, Y.-H.; Lee, M.-K.; Moon, K.-Y. Antioxidant activity of extracts from Smilax china root. J. Korean Soc. Food Sci. Nutr. 2006, 35, 1133–1138. [Google Scholar] [CrossRef]
- Lee, S.E.; Ju, E.M.; Kim, J.H. Free radical scavenging and antioxidant enzyme fortifying activities of extracts from Smilax china root. Exp. Mol. Med. 2001, 33, 263–268. [Google Scholar] [CrossRef]
- Kumar, S.; Yadav, M.; Yadav, A.; Yadav, J.P. Impact of spatial and climatic conditions on phytochemical diversity and in vitro antioxidant activity of Indian Aloe vera (L.) Burm.f. S. Afr. J. Bot. 2017, 111, 50–59. [Google Scholar] [CrossRef]
- Raúl, S.C.; Beatriz, H.C.; Joseoziel, L.G.; Santos-Sánchez, N.F. Phenolic Compounds in Genus Smilax (Sarsaparilla). In Phenolic Compounds-Natural Sources, Importance and Applications, 1st ed.; Soto-Hernández, M., Palma-Tenango, M., Garcia-Mateos, M.R., Eds.; Intech: Wellington, New Zealand, 2017; pp. 233–260. [Google Scholar]
- Jeong, C.H.; Jeong, H.R.; Kwak, J.H.; Kim, J.H.; Choi, G.N.; Kim, D.O.; Lee, U.; Heo, H.J. Phenolic composition and in vitro antioxidant activities of Smilax china root. J. Food Biochem. 2013, 37, 98–107. [Google Scholar] [CrossRef]








| Compound | tR 1 | Calibration Equation 2 | Correlation Factor, r 2,3 |
|---|---|---|---|
| chlorogenic acid (1) | 6.9 | Y = 5841.3X + 7448.6 | 0.9999 |
| apiin (2) | 12.6 | Y = 7569.2X + 1310.3 | 0.9998 |
| afzelin (3) | 13.8 | Y = 15,911X + 7070.6 | 0.9999 |
| naringenin (4) | 17.1 | Y = 2504X + 2174.9 | 0.9997 |
| dioscin (5) | 40.3 | Y = 1.6104X + 2.5067 | 0.9992 |
| Compound | Contents (mg/g) **** | |||
|---|---|---|---|---|
| SC1 | SC2 | SC3 | SC4 | |
| chlorogenic acid (1) | 1.99 ± 0.03 c | 13.87 ± 0.52 a | 7.28 ± 0.13 b | 6.73 ± 0.01 b |
| apiin (2) | 0.85 ± 0.02 d | 2.52 ± 0.07 c | 2.69 ± 0.07 b | 4.05 ± 0.03 a |
| afzelin (3) | tr | 1.56 ± 0.05 | ND | ND |
| naringenin (4) | tr | tr | ND | tr |
| dioscin (5) | ND | tr | 1.20 ± 0.06 b | 1.65 ± 0.06 a |
| Total | 2.84 | 17.95 | 11.17 | 12.43 |
Disclaimer/Publisher’s Note: The statements, opinions and data contained in all publications are solely those of the individual author(s) and contributor(s) and not of MDPI and/or the editor(s). MDPI and/or the editor(s) disclaim responsibility for any injury to people or property resulting from any ideas, methods, instructions or products referred to in the content. |
© 2024 by the authors. Licensee MDPI, Basel, Switzerland. This article is an open access article distributed under the terms and conditions of the Creative Commons Attribution (CC BY) license (https://creativecommons.org/licenses/by/4.0/).
Share and Cite
Lee, C.-D.; Uy, N.P.; Lee, Y.; Lee, D.-H.; Lee, S. Comparative Analysis of Phytochemical Composition and Antioxidant Properties of Smilax china Rhizome from Different Regions. Horticulturae 2024, 10, 850. https://doi.org/10.3390/horticulturae10080850
Lee C-D, Uy NP, Lee Y, Lee D-H, Lee S. Comparative Analysis of Phytochemical Composition and Antioxidant Properties of Smilax china Rhizome from Different Regions. Horticulturae. 2024; 10(8):850. https://doi.org/10.3390/horticulturae10080850
Chicago/Turabian StyleLee, Chang-Dae, Neil Patrick Uy, Yunji Lee, Dong-Ha Lee, and Sanghyun Lee. 2024. "Comparative Analysis of Phytochemical Composition and Antioxidant Properties of Smilax china Rhizome from Different Regions" Horticulturae 10, no. 8: 850. https://doi.org/10.3390/horticulturae10080850
APA StyleLee, C.-D., Uy, N. P., Lee, Y., Lee, D.-H., & Lee, S. (2024). Comparative Analysis of Phytochemical Composition and Antioxidant Properties of Smilax china Rhizome from Different Regions. Horticulturae, 10(8), 850. https://doi.org/10.3390/horticulturae10080850

