Effect of Nitrogen Fertilizer on Capsaicinoids and Related Metabolic Substances of Dried Chili Pepper Fruit
Abstract
1. Introduction
2. Materials and Methods
2.1. Overview of the Test Site
2.2. Plant Material
2.3. Fertilizer Treatment
2.4. Indicator Measurement
2.4.1. Determination of Fruit Morphological Indicators
2.4.2. Determination of the Contents of Capsaicinoids and the Precursors and Competitive Substances
2.4.3. Determination of Capsaicin-Related Enzyme Activity
2.4.4. qRT-PCR
2.5. Data Analysis
3. Results
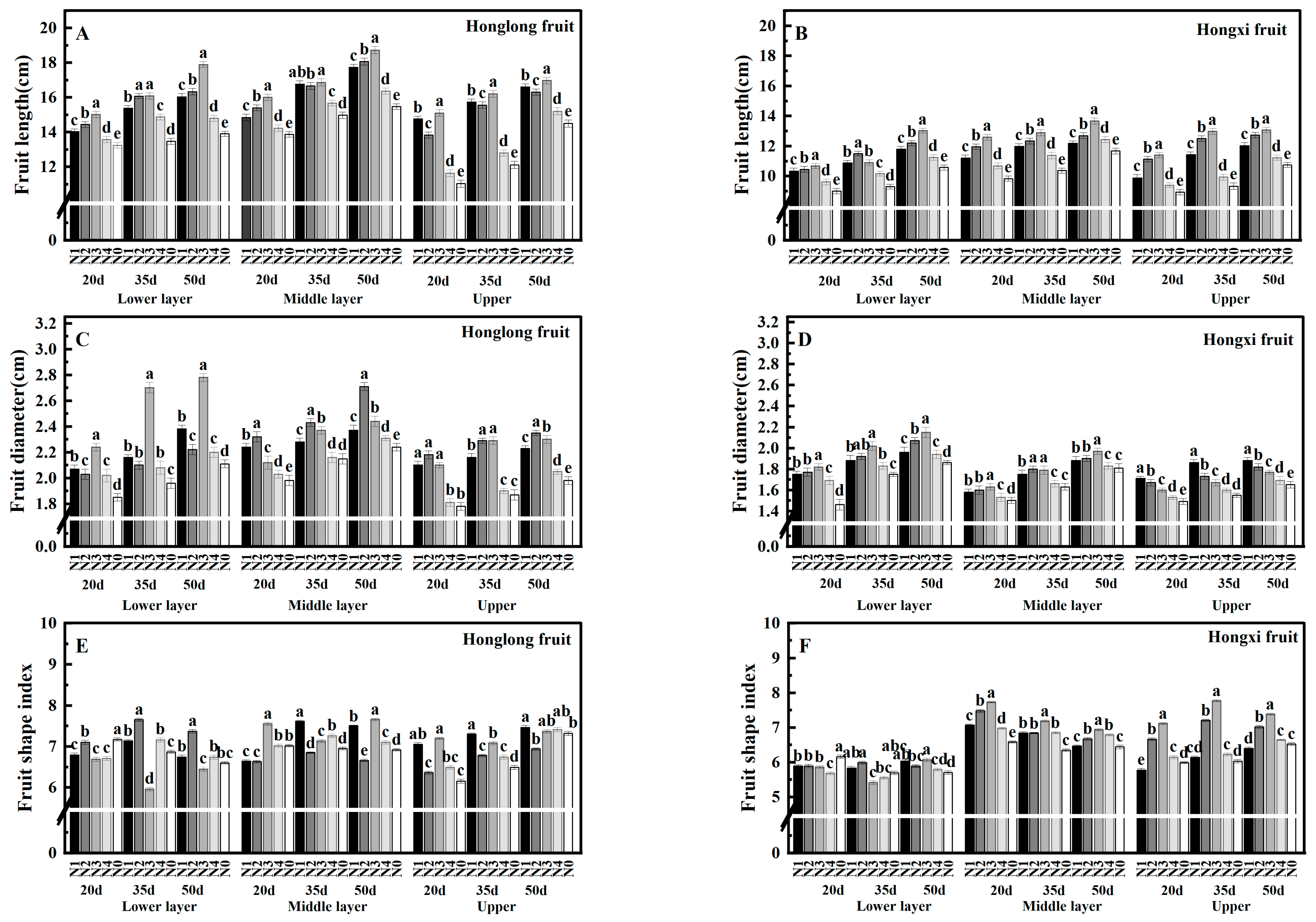
3.1. Effect of Nitrogen Fertilizer on the Morphological Characteristics of Dried Chili Peppers Fruit
3.2. Effect of Nitrogen Fertilizer on the Capsaicin Content of Dried Chili Pepper Fruit
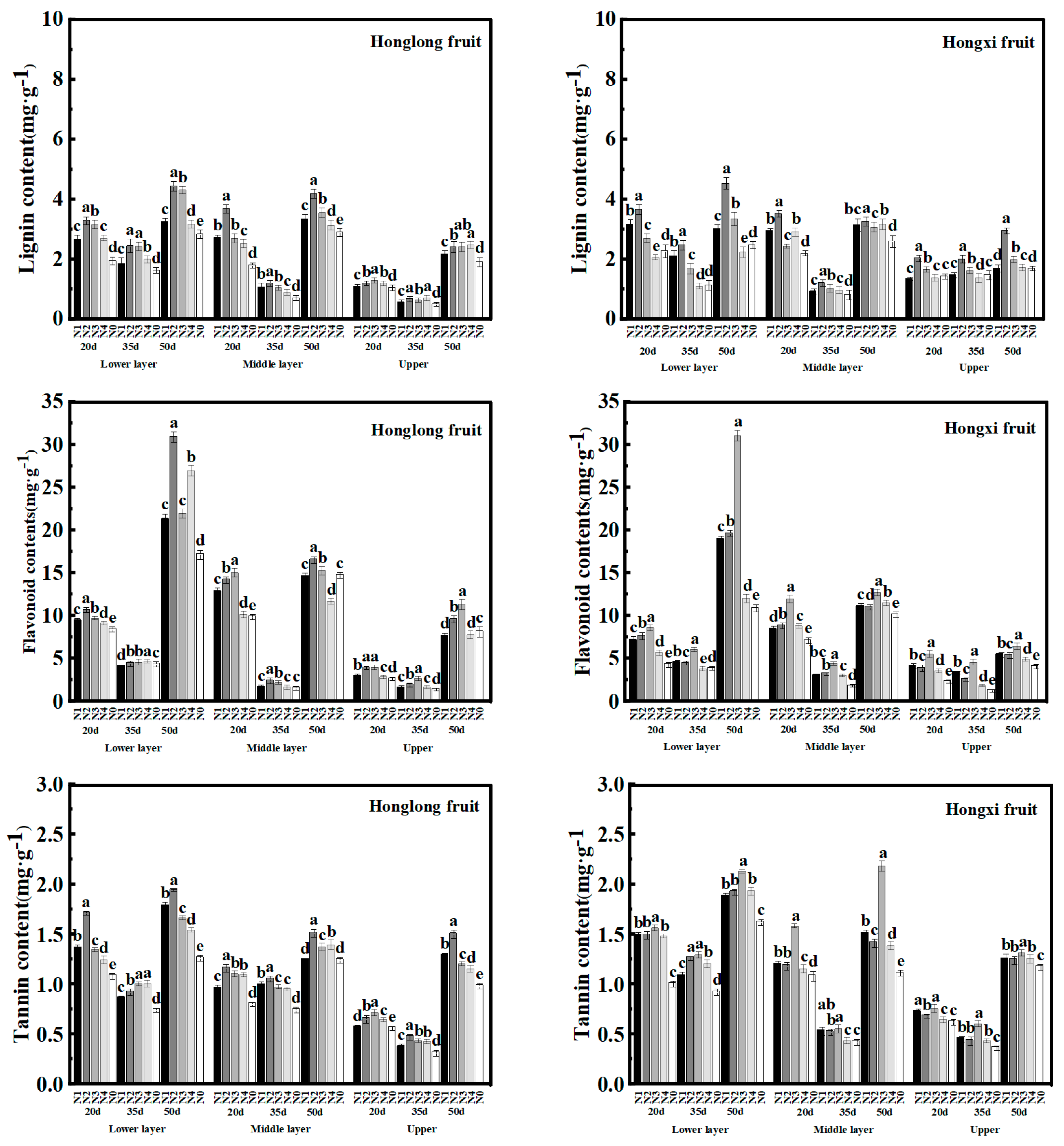
3.3. Effect of Nitrogen Fertilizer on the Precursor Substances of Capsaicin
3.4. Effect of Nitrogen Fertilizer on the Competitive Substances of Capsaicin
3.5. Effect of Nitrogen Fertilizer on the Activity of Capsaicinoid-Related Enzymes in Dried Chili Pepper Fruit
3.6. Effect of Nitrogen Fertilizer on the Expression of Capsaicin Synthetic Genes of the Dried Chili Pepper Fruit
4. Discussion
4.1. Effect of Nitrogen Fertilizer on the Development of Pepper Fruits
4.2. Effect of Nitrogen Fertilizer on the Activity of Capsaicin Enzymes
4.3. Effect of Nitrogen Fertilization on Capsaicin Precursors and Competitive Substances
4.4. Effect of Nitrogen Fertilizer on Capsaicin-Related Genes
4.5. Effect of Environmental Factors on Capsaicin
5. Conclusions
Author Contributions
Funding
Data Availability Statement
Conflicts of Interest
References
- Calvete, D.P.; Medina, J.G.; Torres, M.F.V.; Montoya, G. Analysis of triacylglycerides, carotenoids and capsaicinoids as disposable molecules from Capsicum agroindustry. Hortic. Environ. Biotechnol. 2019, 60, 227–238. [Google Scholar] [CrossRef]
- Kothari, S.L.; Joshi, A.; Kachhwaha, S.; Alejo, N.O. Chilli peppers—A review on tissue culture and transgenesis. Biotechnol. Adv. 2009, 28, 35–48. [Google Scholar] [CrossRef]
- Pandhair, V.; Sharma, S. Accumulation of Capsaicin in Seed, Pericarp and Placenta of Capsicum annuum L Fruit. J. Plant Biochem. Biotechnol. 2008, 17, 23–27. [Google Scholar] [CrossRef]
- Ananthan, R.; Subhash, K.; Longvah, T. Capsaicinoids, amino acid and fatty acid profiles in different fruit components of the world hottest Naga king chilli (Capsicum chinense Jacq). Food Chem. 2018, 238, 51–57. [Google Scholar] [CrossRef] [PubMed]
- Ramos, E.F.; Ruano, N.V.; Martínez, D.H.; Martínez, E.B. 1 H NMR-based fingerprinting of eleven Mexican Capsicum annuum cultivars. Food Res. Int. 2019, 121, 12–19. [Google Scholar] [CrossRef] [PubMed]
- Qiu, H.F. China’s Annual Production of Chili Peppers Ranks First in the World. China Food Safety News, 10 October 2023. Available online: https://x.cnki.net/xmlRead/xml.html?pageType=web&fileName=SPZL20231010A013&tableName=CCNDTOTAL&dbCode=CCND&topic=&fileSourceType=1&taskId=&from=&groupId=&appId=CRSP_BASIC_PSMC&act=&customReading= (accessed on 10 May 2024).
- Tetsuya, S.; Hideshi, F.; Kazuo, I. Intracellular localization of capsaicin and its analogues, capsaicinoid, in Capsicum fruit 1. Microscopic investigation of the structure of the placenta of Capsicum annuum var. annuum cv. Karayatsubusa. Plant Cell Physiol. 1980, 21, 839–853. [Google Scholar] [CrossRef]
- Saowarose, T.; Thittaya, D.; Kwanchanok, U.; Thanaporn, S.; Nathawut, S.; Thanet, L.; Chatchai, B.; Uthai, W.; Kenjiro, M.; Pimonrat, K. Beneficial effects of capsaicin and dihydrocapsaicin on endothelial inflammation, nitric oxide production and antioxidant activity. Biomed. Pharmacother. 2022, 154, 113521. [Google Scholar] [CrossRef]
- Min, H.Y.; Sang, H.J.; Sethi, M.; Ahn, K.S. Pleiotropic Pharmacological Actions of Capsazepine, a Synthetic Analogue of Capsaicin, against Various Cancers and Inflammatory Diseases. Molecules 2019, 24, 995. [Google Scholar] [CrossRef] [PubMed]
- Manon, S.; Andreas, D.; Julia, F.; Philipp, H.; Ralf, B. Capsaicin treatment in neuropathic pain: Axon reflex vasodilatation after four weeks correlates with pain reduction. Pain 2022, 164, 534–542. [Google Scholar] [CrossRef]
- Aida, R.; Hamed, H.; Ali, E.; Zahra, G.; Ehsan, M.K. Applications of capsaicin in food industry: Functionality, utilization and stabilization. Crit. Rev. Food Sci. Nutr. 2021, 63, 4009–4025. [Google Scholar] [CrossRef]
- Zewdie, Y.; Bosland, P.W. Capsaicinoid profiles are not good chemotaxonomic indicators for Capsicum species. Biochem. Syst. Ecol. 2001, 29, 161–169. [Google Scholar] [CrossRef] [PubMed]
- Vázquez-Espinosa, M.; Fayos, O.; González-De-Peredo, A.V.; Espada-Bellido, E.; Ferreiro-González, M.; Palma, M.; Garcés-Claver, A.; Barbero, G.F. Changes in Capsiate Content in Four Chili Pepper Genotypes (Capsicum spp.) at Different Ripening Stages. Agronomy 2020, 10, 1337. [Google Scholar] [CrossRef]
- Islam, M.A.; Sharma, S.S.; Sinha, P.; Negi, M.S.; Neog, B.; Tripathi, S.B. Variability in capsaicinoid content in different landraces of Capsicum cultivated in north-eastern India. Sci. Hortic. 2015, 183, 66–71. [Google Scholar] [CrossRef]
- Michael, M.; Anuradha, P.; Yelena, B.; Ilan, P.; Lukas, M. A dynamic interface for capsaicinoid systems biology. Plant Physiol. 2009, 150, 1806–1821. [Google Scholar] [CrossRef]
- Estrada, B.; Bernal, M.A.; Federico, D.J.P.; Fuencisla, M. Capsaicinoids in vegetative organs of Capsicum annuum L. in relation to fruiting. J. Agric. Food Chem. 2002, 50, 1188–1191. [Google Scholar] [CrossRef] [PubMed]
- Estrada, B.; Bernal, M.A.; Federico, D.J.P.; Merino, F. Fruit development in Capsicum annuum: Changes in capsaicin, lignin, free phenolics, and peroxidase patterns. J. Agric. Food Chem. 2000, 48, 6234–6239. [Google Scholar] [CrossRef] [PubMed]
- Estrada, B.; Bernal, M.A.; Pomar, F.; Merino, F. Identification and quantification of some capsaicinoids in P adron pepper (Capsicum annuum L. var. annuum) fruits. Acta Aliment. Int. J. Food Sci. 2001, 30, 373–380. [Google Scholar] [CrossRef]
- Arce-Rodríguez, M.L.; Ochoa, A.N. An R2R3-MYB Transcription Factor Regulates Capsaicinoid Biosynthesis. Plant Physiol. 2017, 174, 1359–1370. [Google Scholar] [CrossRef] [PubMed]
- Zhang, M.M.; Dong, B.D.; Qiao, Y.Z.; Shi, C.H.; Yang, H.; Wang, Y.K.; Liu, M.Y. Yield and water use responses of winter wheat to irrigation and nitrogen application in the North China Plain. J. Agric. Sci. 2018, 17, 1194–1206. [Google Scholar] [CrossRef]
- Aminifard, M.H.; Aroiee, H.; Nemati, H.; Azizi, M.; Khayyat, M. Effect of Nitrogen Fertilizer on Vegetative and Reproductive Growth of Pepper Plants Under Field Conditions. J. Plant Nutr. 2012, 35, 235–242. [Google Scholar] [CrossRef]
- Li, Y.H.; Tian, J.C. Quality of Reclaimed Domestic Water Irrigated Peppers-NPK Couple Model Based on Optimized Combination Technique. Mob. Inf. Syst. 2022, 2022, 8414975. [Google Scholar] [CrossRef]
- Wei, W.; Gao, X.; Chen, H.Y.; Zhu, Y.B.; Wei, C.X. Effects of Combined Application of N, P and K on Yield and Quality of Guijiao 4, a Pepper Variety. Guizhou Agric. Sci. 2010, 7, 31–34. [Google Scholar]
- Zhang, J.; Lv, J.; Dawuda, M.M.; Xie, J.M.; Yu, J.H.; Li, J.; Zhang, X.D.; Tang, C.N.; Wang, C.; Gan, Y.T. Appropriate Ammonium-Nitrate Ratio Improves Nutrient Accumulation and Fruit Quality in Pepper (Capsicum annuum L.). Agronomy 2019, 9, 683. [Google Scholar] [CrossRef]
- Johnson, C.D.; Decoteau, D.R. Nitrogen and Potassium Fertility Affects Jalapeño Pepper Plant Growth, Pod Yield, and Pungency. HortScience 1996, 31, 1119–1123. [Google Scholar] [CrossRef]
- Da Soares, S.M.P.; Simone, M.F.M.; Pires, P.J.A.; Dos Cesa, S.P.; De Cordeiro, C.A.J.; Curcino, V.I.J.; Rosana, R. Capsaicinoids and mineral composition of peppers produced under nutrient deficiencies. J. Plant Nutr. 2021, 44, 845–853. [Google Scholar] [CrossRef]
- Tilen, Z.; Sonja, L.; Ana, S.; Vesna, Z. Effect of deficit irrigation on nitrogen accumulation and capsaicinoid content in Capsicum plants using the isotope 15N. Agric. Water Manag. 2022, 260, 107304. [Google Scholar] [CrossRef]
- Zhang, H.Y. Effects of Salt Stress and Alkali Salt Stress on the Growth and Fruit Quality of the Industry Pepper. Master’s Thesis, Shihezi University, Shihezi, China, 2019. Available online: https://kns.cnki.net/KCMS/detail/detail.aspx?dbname=CMFD202001&filename=1019662880.nh (accessed on 10 May 2024).
- Li, Z.W.; Wang, S.L. Determination of Capsaicin and Dihydrocapsaicin in Capsicum by High Performance Liquid Chromatography. Chin. Seas. 2017, 42, 123–126. [Google Scholar] [CrossRef]
- Hang, L.M.; Zhou, P.Y.; Zhang, S.T.; Li, L.X.; Cui, Y.; Sun, B.S. The quantitative determination of polyphenol content and antioxidant activity of different varieties of wine grape. J. Shenyang Pharm. Univ. 2019, 6, 539–548. [Google Scholar] [CrossRef]
- Li, G.H.; Guo, X.; Sun, Y.B.; Zhang, W.N.; Zhao, H.L.; Zhao, H.J.; Wang, X.J.; Fu, C.; Zhao, C.Z. Flavonoid contents and antioxidant enzyme activities of different peanut cultivars under salt stress. Chin. J. Oil Crop Sci. 2023, 45, 803–809. [Google Scholar] [CrossRef]
- Li, H.T.; Yao, K.; Jia, D.Y.; He, Q. The Detecting Techniques of Content of Lignin. Leather Sci. Eng. 2011, 31–34. [Google Scholar] [CrossRef]
- Liu, A.D.; Ma, X.L.; Zhang, Z.; Liu, J.H.; Luo, D.; Yang, L.R.; Lv, N.; Zhang, Y.J.; Yang, G.Z.; Dong, H.Z. Single dose fertilization at reduced nitrogen rate improves nitrogen utilization without yield reduction in late-planted cotton under a wheat–cotton cropping system. Ind. Crops Prod. 2022, 176, 114346. [Google Scholar] [CrossRef]
- Aminifard, M.H.; Aroiee, H.; Fatemi, H.; Ameri, A.; Karimpour, S. Responses of Eggplant (Solanum melongena L.) to Different Rates of Nitrogen Under Field Conditions. J. Cent. Eur. Agric. 2011, 11, 453–458. Available online: https://www.cqvip.com/doc/journal/3325024995 (accessed on 10 May 2024). [CrossRef]
- Pradi, V.E.; Cardoso, C.L.F.; Alexsander, S.; De Ferreira, L.S.; De Almeida Prado, B.F.P.; Battistuzzi, M.M.; De Castro, S.C.; De Ingrid, S.M. Azospirillum brasilense and Nitrogen Fertilizer Affect the Development and Quality of Cantaloupe Melons. J. Plant Growth Regul. 2023, 42, 5452–5460. [Google Scholar] [CrossRef]
- Zhang, Y.P. Effects of Water and Nitrogen Coupling on Matter Production and Nitrogen Absorption and Allocation of Tomato. Master’s Thesis, Shanxi Agricultural University, Jinzhong, China, 2018. Available online: https://kns.cnki.net/KCMS/detail/detail.aspx?dbname=CMFD201901&filename=1019026365.nh (accessed on 10 May 2024).
- Li, H.H.; Song, J.W.; Sun, J.S.; Wang, J.L.; Qiang, X.M.; Liu, H.; Zheng, M.; Lou, Y.J. Effects of Water and Nitrogen Applications on Yield Components and Nutritional Composition of Greenhouse Tomatoes in Different Trusses. J. Irrig. Drain. 2023, 42, 1–9. [Google Scholar] [CrossRef]
- Gonzalez, K.R.; Erdei, L.; Lips, S.H. The activity of antioxidant enzymes in maize and sunflower seedlings as affected by salinity and different nitrogen sources. Plant Sci. 2002, 162, 923–930. [Google Scholar] [CrossRef]
- Wang, J.D.; Cao, Y.; Chang, Z.Z.; Zhang, Y.C.; Ma, H.B. Effects of combined application of biogas slurry with chemical fertilizers on fruit qualities of Prunus persica L. and soil nitrogen accumulation risk. J. Plant Nutr. Fertil. 2013, 19, 379–386. [Google Scholar] [CrossRef]
- Wu, Y. Effects of Nitrogen Supply on Pepper Quality and Mechanism. Master’s Thesis, Southwest University, El Paso, TX, USA, 2020. [Google Scholar] [CrossRef]
- Alan, O.; Eser, B. Pepper Seed Yield and Quality in Relation to Fruit Position on the Mother Plant. Pak. J. Biol. Sci. 2007, 10, 4251–4255. [Google Scholar] [CrossRef]
- Wang, P. Study on the Coupling and Alternating Effects between Water and Nitrogen (N) on Yield and Quality Development of Chili Pepper (Capsicum annuum L. var. acuminatum Fingern). Master’s Thesis, Shihezi University, Shihezi, China, 2015. Available online: https://kns.cnki.net/KCMS/detail/detail.aspx?dbname=CMFD201601&filename=1015994016.nh (accessed on 10 May 2024).
- Medina, L.F.; Echevarria, M.I.; Pacheco, A.R.; Ruiz, L.N.; Guzman, A.A.; Martinez, E.M. Influence of nitrogen and potassium fertilization on fruiting and capsaicin content in Habanero pepper (Capsicum chinense Jacq.). HortScience 2008, 43, 1549–1554. [Google Scholar] [CrossRef]
- Han, S.; Zhu, X.Q.; Liu, D.M.; Wang, L.B.; Pei, D.L. Optimisation of the amount of nitrogen enhances quality and yield of pepper. Plant Soil Environ. 2021, 67, 643–652. [Google Scholar] [CrossRef]
- Wang, C.P.; Zhang, S.C.; Huang, R.Z.; Tang, R.L.; Li, Y.F.; Wu, H.; Jiang, X.Y.; Yang, X.M.; Lei, K.R.; Huang, Q.Z.; et al. Growth, Yield and Quality Characteristics of Processed Pepper under Different Nitrogen Levels. Mol. Plant Breed. 2020, 18, 1379–1384. [Google Scholar] [CrossRef]
- Huang, K.; Liu, M.Y.; Cai, Y.P.; Wen, Q.F. Correletion of Npk Application with the Quality of Hot Pepper. Southwest China J. Agric. Sci. 2002, 349–352+356. [Google Scholar] [CrossRef]
- Lv, C.S.; Wang, J.L.; Yu, G.J. Effects of Nitrogen Fertilizer in Capsaicin Content of Pepper Fruits. J. Chang. Veg. 2005, 46–47. [Google Scholar] [CrossRef]
- Fujiwake, H.; Suzuki, T.; Oka, S.; Iwai, K. Enzymatic Formation of Capsaicinoid from Vanillylamine and Iso-type Fatty Acids by Cell-free Extracts of Capsicum annuum var. annuum cv. Karayatsubusa. Agric. Biol. Chem. 2014, 44, 2907–2912. [Google Scholar] [CrossRef]
- Wang, J.L.; Lv, C.S.; Hu, Z.B.; Yu, G. Variation of capsaicin, ascorbic acid and soluble sugar contents in different layers of fruits of Capsicum annuum. China Veg. 2006, 2, 24–25. [Google Scholar]
- Wu, Y. Analysis of the Effects of Different Nitrogen Levels on Capsaicin Synthesis in Capsicum annuum var. conoides Based on Transcriptome. Master’s Thesis, Guizhou University, Guiyang, China, 2023. [Google Scholar] [CrossRef]
- Bosland, P.W.; Zewdie, Y. Pungency of Chile (Capsicum annuum L.) Fruit Is Affected by Node Position. HortScience 2000, 35, 1174. [Google Scholar] [CrossRef]
- Chen, J.Q. Studies on Capsaicin Biosynthetic Related Substances and Polyamines Regulatory Mechanisms for Capsaicin in Pepper (Capsicum annuum L.). Master’s Thesis, Shengyang Agricultural University, Shengyang, China, 2015. Available online: https://kns.cnki.net/KCMS/detail/detail.aspx?dbname=CDFDLAST2016&filename=1016036637.nh (accessed on 10 May 2024).
- Di, Y.; Jiang, J.Z.; Shi, Z.Q. Current status of research on the metabolic physiology of capsaicinoids. China Veg. 2000, 50–52. [Google Scholar] [CrossRef]
- Díaz, J.; Pomar, F.; Bernal, A.; Merino, F. Peroxidases and the metabolism of capsaicin in Capsicum annuum L. Phytochem. Rev. Proc. Phytochem. Soc. Eur. 2004, 3, 141–157. [Google Scholar] [CrossRef]
- Chen, J.Q.; He, L.L.; Zhang, K.P.; Liu, L. Effects of PUT on Capsaicin, Endogenous Polyamines and Relevant Enzymes in Pepper Fruit. J. Shenyang Aricultural Univ. 2015, 46, 521–525. [Google Scholar] [CrossRef]
- Yang, S. Study on the Changes of Capsaicinoids and Nutritional Quality and Related Enzymes in Pepper. Master’s Thesis, Sichuan Agricultural University, Sichuan, China, 2020. Available online: https://kns.cnki.net/KCMS/detail/detail.aspx?dbname=CMFD202201&filename=1021681216.nh (accessed on 10 May 2024).
- Hall, R.D.; Yeoman, M.M. The influence of intracellular pools of phenylalanine derivatives upon the synthesis of capsaicin by immobilized cell cultures of the chilli pepper, Capsicum frutescens. Planta 1991, 185, 72–80. [Google Scholar] [CrossRef] [PubMed]
- Ionică, M.E.; Nour, N.; Trandafir, I. Bioactive compounds and antioxidant activity of hot pepper fruits at different stages of growth and ripening. J. Appl. Bot. Food Qual. 2017, 90, 232–237. [Google Scholar] [CrossRef]
- Chen, J.Q.; He, L.L.; Wang, S.J. Effects of Different Nitrogen Levels on Capsaicin Content and Relevant Substances to Capsaicin Metablic in Hot Pepper Fruit. J. Shenyang Aricultural Univ. 2013, 44, 645–649. [Google Scholar]
- Sarita, K.S.; Riitta, J.T. Resource allocation in different parts of juvenile mountain birch plants: Effect of nitrogen supply on seedling phenolics and growth. Physiol. Plant. 2003, 118, 114–126. [Google Scholar] [CrossRef]
- Broderick, C.E.; Cooke, P.H. Fruit composition, tissues, and localization of antioxidants and capsaicinoids in Capsicum peppers by fluorescence microscopy. Acta Hortic. 2009, 2009, 85–90. [Google Scholar] [CrossRef]
- Li, Y.L. Capsaicin Accumulation and Expression Analysis of Biosynthesis-Related Genes during Pepper Fruit Development. Master’s Thesis, Jilin University, Changchun, China, 2013. Available online: https://kns.cnki.net/KCMS/detail/detail.aspx?dbname=CMFD201302&filename=1013196474.nh (accessed on 10 May 2024).
- Sarpras, M.; Gaur, R.; Sharma, V.; Chhapekar, S.S.; Das, J.; Kumar, A.; Yadava, S.K.; Nitin, M.; Brahma, V.; Abraham, S.K.; et al. Comparative Analysis of Fruit Metabolites and Pungency Candidate Genes Expression between Bhut Jolokia and Other Capsicum Species. PLoS ONE 2017, 11, e0167791. [Google Scholar] [CrossRef]
- Okunlola, G.O.; Olatunji, O.A.; Akinwale, R.O.; Adelusi, A.A. Physiological response of the three most cultivated pepper species (Capsicum spp.) in Africa to drought stress imposed at three stages of growth and development. Sci. Hortic. 2017, 224, 198–205. [Google Scholar] [CrossRef]
- Kpinkoun, J.K.; Amoussa, A.M.; Mensah, A.C.G.; Komlan, F.A.; Kinsou, E.; Lagnika, L.; Gandonou, C.B. Effect of salt stress on flowering, fructification and fruit nutrients concentration in a local cultivar of chili pepper (Capsicum frutescens L.). Int. J. Plant Physiol. Biochem. 2019, 11, 1–7. [Google Scholar] [CrossRef][Green Version]
- Ramesh, M.N.; Wolf, W.; Tevini, D.; Jung, G. Influence of processing parameters on the drying of spice paprika. J. Food Eng. 2001, 49, 63–72. [Google Scholar] [CrossRef]








| Gene Name | Forward Primer | Reverse Primer |
|---|---|---|
| Actin (internal reference gene) | CACCCTGTCCTGCTCACTG | AAGAATGGCATGCGGCAAAG |
| PAL | CACAGTTTCAACATTACCCTTAGC | AAATGGTGGCAGAGTTTAGGAA |
| AT3 | TTCCCATATAGCCCACTTGC | CAGCTCCCATATCGTTACAGTC |
| C4H | CTTTGGGACGTTTGGTGCAG | TCTCCAGAGCCCCTTAACTGA |
| 4CL | CTTCTTCTCAACCATCCCAACA | ACGAAATCCTTGACTTCATCCTC |
| COMT | TAGCACATAACCCAGGAGGC | CACAGCACACCTTACGGAATCT |
| HCT | GTGTGGTGGAGTCTGCTTAGGT | GGTCAGTTGGTCGCTTGTGATC |
| PAMT | ATTGCCGCTGTCCTTGTA | CAGTTCCCCTTATCTCCCC |
Disclaimer/Publisher’s Note: The statements, opinions and data contained in all publications are solely those of the individual author(s) and contributor(s) and not of MDPI and/or the editor(s). MDPI and/or the editor(s) disclaim responsibility for any injury to people or property resulting from any ideas, methods, instructions or products referred to in the content. |
© 2024 by the authors. Licensee MDPI, Basel, Switzerland. This article is an open access article distributed under the terms and conditions of the Creative Commons Attribution (CC BY) license (https://creativecommons.org/licenses/by/4.0/).
Share and Cite
Zhang, C.; Shen, L.; Yang, S.; Chang, T.; Luo, M.; Zhen, S.; Ji, X. Effect of Nitrogen Fertilizer on Capsaicinoids and Related Metabolic Substances of Dried Chili Pepper Fruit. Horticulturae 2024, 10, 831. https://doi.org/10.3390/horticulturae10080831
Zhang C, Shen L, Yang S, Chang T, Luo M, Zhen S, Ji X. Effect of Nitrogen Fertilizer on Capsaicinoids and Related Metabolic Substances of Dried Chili Pepper Fruit. Horticulturae. 2024; 10(8):831. https://doi.org/10.3390/horticulturae10080831
Chicago/Turabian StyleZhang, Chenfei, Lingfeng Shen, Shasha Yang, Tian Chang, Maolin Luo, Shanashan Zhen, and Xuehua Ji. 2024. "Effect of Nitrogen Fertilizer on Capsaicinoids and Related Metabolic Substances of Dried Chili Pepper Fruit" Horticulturae 10, no. 8: 831. https://doi.org/10.3390/horticulturae10080831
APA StyleZhang, C., Shen, L., Yang, S., Chang, T., Luo, M., Zhen, S., & Ji, X. (2024). Effect of Nitrogen Fertilizer on Capsaicinoids and Related Metabolic Substances of Dried Chili Pepper Fruit. Horticulturae, 10(8), 831. https://doi.org/10.3390/horticulturae10080831

