Leveraging Observations of Untrained Panelists to Screen for Quality of Fresh-Cut Romaine Lettuce
Abstract
1. Introduction
2. Materials and Methods
2.1. Processing and Packaging
2.2. Sensory Evaluation Using Consumer and Trained Panels
2.3. Gas Analysis of the Headspace
2.4. Electrolyte Leakage
2.5. Color Quantification by Image Analysis
2.6. Statistical Analysis
3. Results and Discussion
3.1. Color Quantification
3.2. Electrolyte Leakage
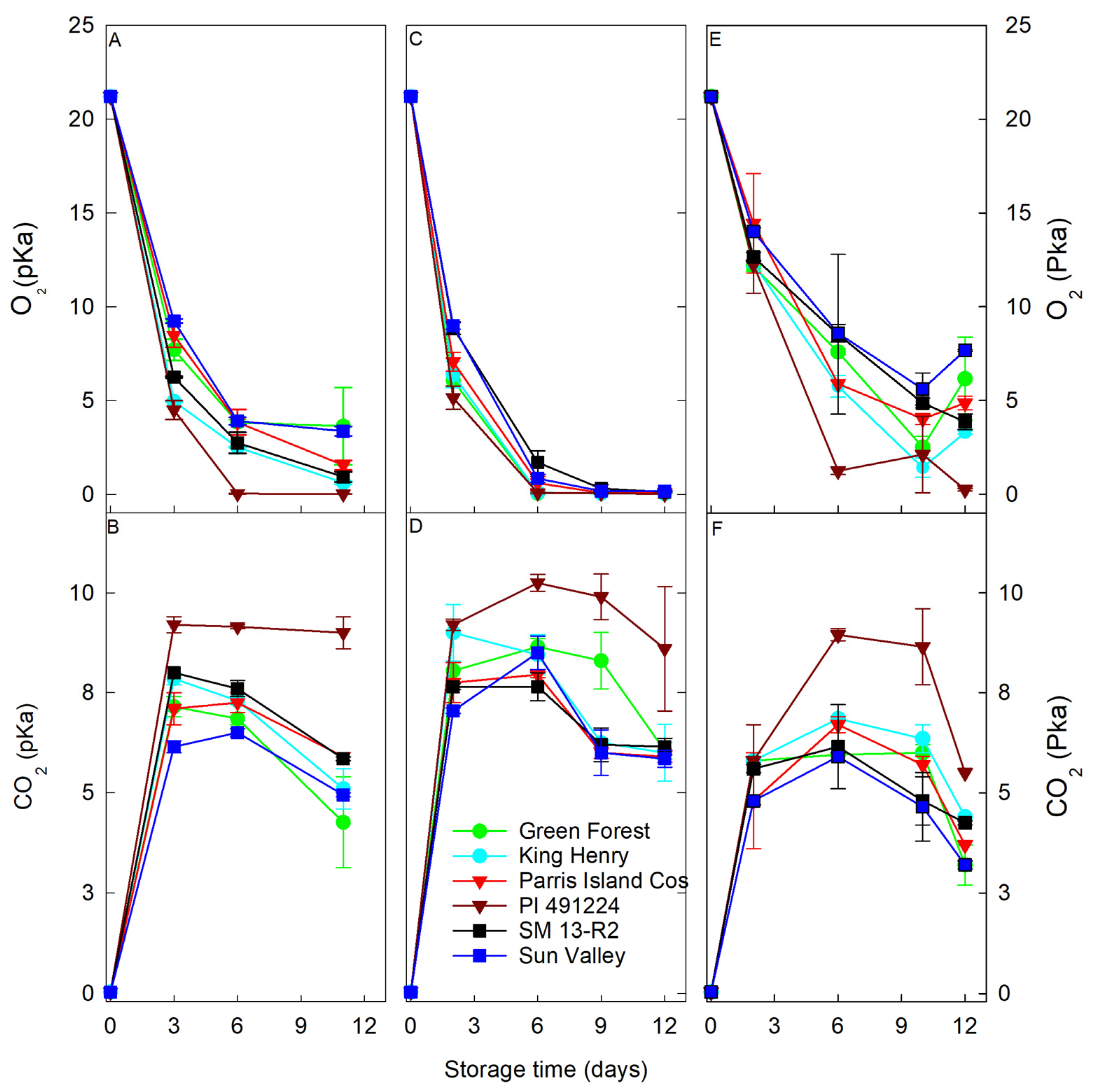
3.3. Gas Composition
3.4. Sensory Quality
3.4.1. Browning
3.4.2. Green Color
3.4.3. Decay
3.4.4. Overall Visual Quality
3.5. Correlation between Sensory Assessments and Instrumentation Measurement
3.6. Comparing Accession Quality
3.7. Sensory Evaluation and Accession Pedigree
4. Conclusions
Author Contributions
Funding
Institutional Review Board Statement
Informed Consent Statement
Data Availability Statement
Acknowledgments
Conflicts of Interest
References
- Glaser, L.K.; Thompson, G.D.; Handy, C.R. Recent Changes in Marketing and Trade Practices in the U. S. Lettuce and Fresh-Cut Vegetables Industries; Agriculture Information Bulletin Number 767; US Department of Agriculture, Economic Research Service: Washington, DC, USA, 2001. [CrossRef]
- Simko, I.; Hayes, R.J.; Truco, M.; Michelmore, R.W.; Antonise, R.; Massoudi, M. Molecular markers reliably predict postharvest deterioration of fresh-cut lettuce in modified atmosphere packaging. Hortic. Res. 2018, 5, 21. [Google Scholar] [CrossRef] [PubMed]
- Simko, I.; Hayes, R.J. Accuracy, reliability, and timing of visual evaluations of decay in fresh-cut lettuce. PLoS ONE 2018, 13, e0194635. [Google Scholar] [CrossRef] [PubMed]
- Janick, J.; Whipkey, A. (Eds.) Trends in New Crops and New Uses; No. 630/J33t; ASHS Press: Alexandria, VA, USA, 2002; pp. 153–156. [Google Scholar]
- Davis, W.; Lucier, G. Vegetable and Pulses Outlook: April 2021; US Department of Agriculture, Economic Research Service: Washington, DC, USA, 2021.
- Grand View Research, Inc. Market Research Reports & Consulting 2021. Available online: https://www.grandviewresearch.com/industry-analysis/packaged-salad-market (accessed on 15 November 2021).
- Hodges, D.M.; Toivonen, P.M. Quality of fresh-cut fruits and vegetables as affected by exposure to abiotic stress. Postharvest Biol. Technol. 2008, 48, 155–162. [Google Scholar] [CrossRef]
- García, C.J.; Gil, M.I.; Tomas-Barberan, F.A. LC–MS untargeted metabolomics reveals early biomarkers to predict browning of fresh-cut lettuce. Postharvest Biol. Technol. 2018, 146, 9–17. [Google Scholar] [CrossRef]
- Peng, H.; Luo, Y.; Teng, Z.; Zhou, B.; Bornhorst, E.R.; Fonseca, J.M.; Simko, I. Phenotypic characterization and inheritance of enzymatic browning on cut surfaces of stems and leaf ribs of romaine lettuce. Postharvest Biol. Technol. 2021, 181, 111653. [Google Scholar] [CrossRef]
- Teng, Z.; Luo, Y.; Bornhorst, E.R.; Zhou, B.; Simko, I.; Trouth, F. Identification of romaine lettuce (Lactuca sativa var. longifolia) cultivars with reduced browning discoloration for fresh cut processing. Postharvest Biol. Technol. 2019, 156, 110931. [Google Scholar] [CrossRef]
- Galanakis, C.M. Recovery of high added-value components from food waste: Conventional, emerging technologies and commercialized applications. Trends Food Sci. Technol. 2012, 26, 68–87. [Google Scholar] [CrossRef]
- Plazzotta, S.; Manzocco, L.; Nicoli, M.C. Fruit and vegetable waste management and the challenge of fresh-cut salad. Trend Food Sci. Technol. 2017, 63, 51–59. [Google Scholar] [CrossRef]
- Watada, A.; Qi, L. Quality of fresh-cut produce. Postharvest Biol. Technol. 1999, 15, 201–205. [Google Scholar] [CrossRef]
- Hayes, R.; Simko, I. Breeding lettuce for improved fresh-cut processing. Acta Hortic. 2016, 1141, 65–76. [Google Scholar] [CrossRef]
- Simko, I.; Jimenez-Berni, J.A.; Furbank, R.T. Detection of decay in fresh-cut lettuce using hyperspectral imaging and chlorophyll fluorescence imaging. Postharvest Biol. Technol. 2015, 106, 44–52. [Google Scholar] [CrossRef]
- Peng, H.; Sthapit Kandel, J.; Michelmore, R.W.; Simko, I. Identification of Factors Affecting the Deterioration Rate of Fresh-Cut Lettuce in Modified Atmosphere Packaging. Food Bioprocess Technol. 2020, 13, 1997–2011. [Google Scholar] [CrossRef]
- Simko, I.; Luo, Y.; Trent, M.A.; Atallah, A.J.; Ryder, E.J.; Sideman, R.G. Characterization and performance of 16 new inbred lines of lettuce. HortScience 2014, 49, 679–687. [Google Scholar] [CrossRef]
- Simko, I.; Hayes, R.J.; Mou, B.; McCreight, B. Lettuce and Spinach. In Yield Gains in Major U.S. Field Crops; Smith, S., Diers, B., Specht, J., Carver, B., Eds.; American Society of Agronomy Inc.; Crop Science Society of America, Inc.; Soil Science Society of America, Inc.: Madison, WI, USA, 2014; Volume 3, pp. 53–85. ISBN 978089186205. [Google Scholar]
- Djekic, I.; Lorenzo, J.M.; Munekata, P.E.; Gagaoua, M.; Tomasevic, I. Review on characteristics of trained sensory panels in food science. J. Texture Stud. 2021, 52, 501–509. [Google Scholar] [CrossRef] [PubMed]
- Heymann, H.; Lawless, H.T. Sensory Evaluation of Food: Principles and Practices; An Aspen Publishers, Inc: Gaithersburg, MD, USA, 2013; pp. 548–584. ISBN 0-8342-1752-X. [Google Scholar]
- Moskowitz, H.R. Experts versus consumers: A comparison. J. Sens. Stud. 1996, 11, 19–37. [Google Scholar] [CrossRef]
- Worch, T.; Lê, S.; Punter, P. How reliable are the consumers? Comparison of sensory profiles from consumers and experts. Food Qual. Prefer. 2010, 21, 309–318. [Google Scholar] [CrossRef]
- Bornhorst, E.R.; Luo, Y.; Park, E.; Vinyard, B.T.; Nou, X.; Zhou, B.; Turner, E.; Millner, P.D. Immersion-free, single-pass, commercial fresh-cut produce washing system: An alternative to flume processing. Postharvest Biol. Technol. 2018, 146, 124–133. [Google Scholar] [CrossRef]
- Posada-Izquierdo, G.D.; Pérez-Rodríguez, F.; López-Gálvez, F.; Allende, A.; Selma, M.V.; Gil, M.I.; Zurera, G. Modelling growth of Escherichia coli O157: H7 in fresh-cut lettuce submitted to commercial process conditions: Chlorine washing and modified atmosphere packaging. Food Microbiol. 2013, 33, 131–138. [Google Scholar] [CrossRef] [PubMed]
- Luna, M.C.; Tudela, J.A.; Martínez-Sánchez, A.; Allende, A.; Gil, M.I. Optimizing water management to control respiration rate and reduce browning and microbial load of fresh-cut romaine lettuce. Postharvest Biol. Technol. 2013, 80, 9–17. [Google Scholar] [CrossRef]
- Holmes, S.C.; Wells, D.E.; Pickens, J.M.; Kemble, J.M. Selection of heat tolerant lettuce (Lactuca sativa L.) cultivars grown in deep water culture and their marketability. Horticulturae 2019, 5, 50. [Google Scholar] [CrossRef]
- McWatters, K.H.; Chinnan, M.S.; Walker, S.L.; Doyle, M.P.; Lin, C.M. Consumer Acceptance of fresh-cut iceberg lettuce treated with 2% hydrogen peroxide and mild heat. J. Food Prot. 2002, 65, 1221–1226. [Google Scholar] [CrossRef] [PubMed]
- Ares, G.; Varela, P. Trained vs. consumer panels for analytical testing: Fueling a long-lasting debate in the field. Food Qual. Prefer. 2017, 61, 79–86. [Google Scholar] [CrossRef]
- Park, E.; Luo, Y.; Marine, S.C.; Everts, K.L.; Micallef, S.A.; Bolten, S.; Stommel, J. Consumer preference and physicochemical evaluation of organically grown melons. Postharvest Biol. Technol. 2018, 141, 77–85. [Google Scholar] [CrossRef]
- Luo, Y.; McEvoy, J.L.; Wachtel, M.R.; Kim, J.G.; Hung, Y. Package Atmosphere Affects postharvest biology and quality of fresh-cut Cilantro Leaves. HortScience 2004, 39, 567–570. [Google Scholar] [CrossRef]
- Luo, Y. Wash operation affects water quality and packaged fresh-cut romaine lettuce quality and microbial growth. HortScience 2007, 42, 1413–1419. [Google Scholar] [CrossRef]
- Kim, J.G.; Luo, Y.; Gross, K.C. Effect of package film on the quality of fresh-cut salad savoy. Postharvest Biol. Technol. 2004, 32, 99–107. [Google Scholar] [CrossRef]
- Hong, J.H.; Gross, K.C. Surface sterilization of whole tomato fruit with sodium hypochlorite influence subsequent postharvest behavior of fresh-cut slices. Postharvest Biol. Technol. 1998, 13, 51–58. [Google Scholar] [CrossRef]
- Lopez-Galvez, F.; Ragaert, P.; Palermo, L.A.; Eriksson, M.; Devlieghere, F. Effect of new sanitizing formulations on quality of fresh-cut iceberg lettuce. Postharvest Biol. Technol. 2013, 85, 102–108. [Google Scholar] [CrossRef]
- Gao, X.; Tan, T.; Shatadal, P.; Heyman, H. Evaluating expanded-food sensory properties by image analysis. J. Texture Stud. 1999, 30, 291–304. [Google Scholar] [CrossRef]
- Otsu, N. A threshold selection method from gray-level histogram. IEEE Trans. Syst. Man Cybern. 1979, 9, 62–66. [Google Scholar] [CrossRef]
- Amodio, M.L.; Cabezas-Serrano, A.B.; Peri, G.; Colelli, G. Post-cutting quality changes of fresh-cut artichokes treated with different anti-browning agents as evaluated by image analysis. Postharvest Biol. Technol. 2011, 62, 213–220. [Google Scholar] [CrossRef]
- Tudela, J.A.; Hernández, N.; Pérez-Vicente, A.; Gil, M.I. Growing season climates affect quality of fresh-cut lettuce. Postharvest Biol. Technol. 2017, 123, 60–68. [Google Scholar] [CrossRef]
- Clarkson, D.T. Calcium transport between tissues and its distribution in the plant. Plant Cell Environ. 1984, 7, 449–456. [Google Scholar] [CrossRef]
- Hartz, T.K.; Johnstone, P.R.; Smith, R.F.; Cahn, M.D. Soil calcium status unrelated to tipburn of romaine lettuce. HortScience 2007, 42, 1681–1684. [Google Scholar] [CrossRef]
- Hilton, H.W.; Cliffprd, S.C.; Wurr, D.C.E.; Burton, K.S. The influence of agronomic factors on the visual quality of field-grown, minimally-processed lettuce. J. Hortic. Sci. Biotechnol. 2009, 84, 193–198. [Google Scholar] [CrossRef]
- Home: Weather Underground. Available online: https://www.wunderground.com/history/monthly/us/ca/salinas/KSNS/date/ (accessed on 8 January 2022).
- Saltveit, M.E. Physical and physiological changes in minimally processed fruit and vegetables. In Phytochemistry of Fruit and Vegetables; Tomás-Barberán, F.A., Ed.; Oxford University Press: New York, NY, USA, 1997; pp. 205–220. ISBN 978-01-9857-790-4. [Google Scholar]
- Saltveit, M.E. Wounded induced changes in phenolic metabolism and tissue browning are altered by heat shock. Postharvest Biol. Technol. 2000, 21, 61–69. [Google Scholar] [CrossRef]
- Saltveit, M.E. Pinking of lettuce. Postharvest Biol. Technol. 2018, 145, 41–52. [Google Scholar] [CrossRef]
- Cantwell, M.; Suslow, T. Chapter 36: Postharvest Handling systems: Fresh-cut Fruits and Vegetables. In Postharvest Technology of Horticultural Crops, 3rd ed.; Kader, A.A., Ed.; University of California Agriculture and Natural Resources: Richmond, CA, USA, 2002; pp. 445–463. ISBN 13-978-60107-743-1. [Google Scholar]
- Böttcher, H.; Günther, I.; Kabelitz, L. Physiological postharvest responses of Common Saint-Johnõs wort herbs (Hypericum perforatum L.). Postharvest Biol. Technol. 2003, 29, 342–350. [Google Scholar] [CrossRef]
- Leonard, S.R.; Simko, I.; Mammel, M.K.; Richter, T.K.; Brandl, M.T. Seasonality, shelf life and storage atmosphere are main drivers of the microbiome and E. coli O157: H7 colonization of post-harvest lettuce cultivated in a major production area in California. Environ. Microbiome 2021, 16, 25. [Google Scholar] [CrossRef] [PubMed]
- López-Gálvez, G.; Saltveit, M.; Cantwell, M. The visual quality of minimally processed lettuces stored in air or controlled atmosphere with emphasis on romaine and iceberg types. Postharvest Biol. Technol. 1996, 8, 179–190. [Google Scholar] [CrossRef]
- Tudela, J.A.; Hernández, N.; Pérez-Vicente, A.; Gil, M.I. Comprehensive evaluation of different storage conditions for the varietal screening of lettuce for fresh-cut performance. Postharvest Biol. Technol. 2016, 120, 36–44. [Google Scholar] [CrossRef]
- Fonseca, J.M. Postharvest quality and microbial population of head lettuce as affected by moisture at harvest. J. Food Sci. 2006, 71, 45–49. [Google Scholar] [CrossRef]
- Abbott, J.A. Quality measurement of fruits and vegetable. Postharvest Biol. Technol. 1999, 15, 207–225. [Google Scholar] [CrossRef]
- Peiser, G.; López-Gálvez, G.; Cantwell, M.; Saltveit, M.E. Phenylalanine ammonia lyase inhibitors control browning of cut lettuce. Postharvest Biol. Technol. 1998, 14, 171–177. [Google Scholar] [CrossRef]
- Clapperton, J.F.; Piggott, J.R. Flavor characterization by trained and untrained assessors. J. Inst. Brew. 1979, 85, 275–277. [Google Scholar] [CrossRef]
- Fernández-Vázquez, R.; Stinco, C.M.; Hernanz, D.; Heredia, F.J.; Vicario, I.M. Colour training and colour differences thresholds in orange juice. Food Qual. Prefer. 2013, 30, 320–327. [Google Scholar] [CrossRef]
- Meilgaard, M.C.; Carr, B.T.; Civille, G.V. Sensory Evaluation Techniques, 3rd ed.; CRC Press: Boca Raton, FL, USA, 1999; pp. 232–254. ISBN 0-8493-0276-5. [Google Scholar]
- Rousseau, B. Sensory discrimination testing and consumer relevance. Food Qual. Prefer. 2015, 43, 122–125. [Google Scholar] [CrossRef]
- Stone, H.; Sidel, J.L. Sensory Evaluation Practices, 3rd ed.; Academic Press: San Diego, CA, USA, 2004; pp. 247–277. ISBN 978-0080474359. [Google Scholar]
- Wheeler, T.L.; Shackelford, S.D.; Koohmaraie, M. The accuracy and repeatability of untrained laboratory consumer panelists in detecting differences in beef longissimus tenderness. J. Anim. Sci. 2004, 82, 557–562. [Google Scholar] [CrossRef] [PubMed]
- Simko, I.; Pechenick, D.A.; McHale, L.K.; Truco, M.J.; Ochoa, O.E.; Michelmore, R.W.; Scheffler, B.E. Association mapping and marker-assisted selection of the lettuce dieback resistance gene Tvr1. BMC Plant Biol. 2009, 9, 135. [Google Scholar] [CrossRef]
- Home: Agricultural Marketing Service. Sun Valley. Available online: https://apps.ams.usda.gov/cms/adobeimages/200800060.pdf (accessed on 20 March 2022).
- Home: Agricultural Marketing Service. Green Forest. Available online: https://apps.ams.usda.gov/cms/adobeimages/200000013.pdf (accessed on 20 March 2022).
- Home: Agricultural Marketing Service. King Henry. Available online: https://apps.ams.usda.gov/CMS/AdobeImages/009600323.pdf (accessed on 20 March 2022).
- Lee, Y.M.; Chung, S.J.; Prescott, J.; Kim, K.O. Flavor Profiling by Consumers Segmented According to Product Involvement and Food Neophobia. Foods 2021, 10, 598. [Google Scholar] [CrossRef]
- Park, E.; Luo, Y.; Trouth, F.; Fonseca, J.M. Charting the Future of E-Grocery: An Evaluation of the Use of Digital Imagery as a Sensory Analysis Tool for Fresh Fruits. Horticulturae 2021, 7, 262. [Google Scholar] [CrossRef]









Disclaimer/Publisher’s Note: The statements, opinions and data contained in all publications are solely those of the individual author(s) and contributor(s) and not of MDPI and/or the editor(s). MDPI and/or the editor(s) disclaim responsibility for any injury to people or property resulting from any ideas, methods, instructions or products referred to in the content. |
© 2024 by the authors. Licensee MDPI, Basel, Switzerland. This article is an open access article distributed under the terms and conditions of the Creative Commons Attribution (CC BY) license (https://creativecommons.org/licenses/by/4.0/).
Share and Cite
Park, E.; Luo, Y.; Bornhorst, E.R.; Simko, I.; Trouth, F.; Fonseca, J.M. Leveraging Observations of Untrained Panelists to Screen for Quality of Fresh-Cut Romaine Lettuce. Horticulturae 2024, 10, 830. https://doi.org/10.3390/horticulturae10080830
Park E, Luo Y, Bornhorst ER, Simko I, Trouth F, Fonseca JM. Leveraging Observations of Untrained Panelists to Screen for Quality of Fresh-Cut Romaine Lettuce. Horticulturae. 2024; 10(8):830. https://doi.org/10.3390/horticulturae10080830
Chicago/Turabian StylePark, Eunhee, Yaguang Luo, Ellen R. Bornhorst, Ivan Simko, Frances Trouth, and Jorge M. Fonseca. 2024. "Leveraging Observations of Untrained Panelists to Screen for Quality of Fresh-Cut Romaine Lettuce" Horticulturae 10, no. 8: 830. https://doi.org/10.3390/horticulturae10080830
APA StylePark, E., Luo, Y., Bornhorst, E. R., Simko, I., Trouth, F., & Fonseca, J. M. (2024). Leveraging Observations of Untrained Panelists to Screen for Quality of Fresh-Cut Romaine Lettuce. Horticulturae, 10(8), 830. https://doi.org/10.3390/horticulturae10080830

