Next Article in Journal
Genome-Wide Identification of the WUSCHEL-Related Homeobox (WOX) Gene Family in Three Cymbidium Species and Expression Patterns in C. goeringii
Next Article in Special Issue
Physiological and Biochemical Responses of Juvenile Achachairu Trees (Garcinia humilis (Vahl) C.D. Adams) to Elevated Soil Salinity Induced by Saline Irrigation
Previous Article in Journal
Hot Water Treatment Preserves Chinese Chestnut (Castanea mollissima Blume) Quality during Storage by Increasing Its Sugar Accumulation and ROS-Scavenging Ability
Previous Article in Special Issue
Growing Salicornia europaea L. with Saline Hydroponic or Aquaculture Wastewater
 
 
Font Type:
Arial Georgia Verdana
Font Size:
Aa Aa Aa
Line Spacing:
Column Width:
Background:
Article

Behind the Loss of Salinity Resistance during Domestication: Alternative Eco-Physiological Strategies Are Revealed in Tomato Clade

by
Antonio Pompeiano
1,2,
Tommaso Michele Moles
1,
Viviana Viscomi
1,
Andrea Scartazza
3,4,
Thais Huarancca Reyes
1,* and
Lorenzo Guglielminetti
1,2
1
Department of Agriculture, Food and Environment, University of Pisa, 56124 Pisa, Italy
2
Centre of Agro-Ecological Research “Enrico Avanzi” (CiRAA), 56122 Pisa, Italy
3
Research Institute on Terrestrial Ecosystems, National Research Council, 56124 Pisa, Italy
4
National Biodiversity Future Center (NBFC), 90133 Palermo, Italy
*
Author to whom correspondence should be addressed.
Horticulturae 2024, 10(6), 644; https://doi.org/10.3390/horticulturae10060644
Submission received: 8 April 2024 / Revised: 12 June 2024 / Accepted: 13 June 2024 / Published: 15 June 2024
(This article belongs to the Collection Biosaline Agriculture)

Abstract

Salinity stress impairs growth and physiological performance in tomato, which is one of the most economically important vegetables and is widely cultivated in arid and semi-arid areas of the world. Plant landraces, which are heterogeneous, local adaptations of domesticated species, offer a unique opportunity to valorize available germplasm, underpinning the productivity, resilience, and adaptive capacity of staple crops in vulnerable environments. Here, we investigated the response of fully mature tomato plants from a commercial variety, an ancestral wild relative, and a landrace under short-term salinity exposure, as well as their ability to recover upon cessation of stress. The heterogeneous panel evaluated in this study revealed different adaptative strategies to cope the stress. Our data highlighted the ability of the tomato clade to handle low and intermediate salinity stress for short-term exposure time, as well as its capacity to recover after the cessation of stress, although inter- and intraspecific variations in morphological and physiological responses to salinity were observed. Overall, the landrace and the wild type performed similarly to control conditions under low salinity, demonstrating an improved ability to maintain ionic balance. In contrast, the commercial genotype showed susceptibility and severe symptoms even under low salinity, with pronounced reductions in K+/Na+ ratio, PSII photochemical efficiency, and photosynthetic pigments. This research confirmed that improved salt tolerant genotypes can lead to substantial, positive impacts on horticultural production. While the salt tolerance mechanism of domesticated tomato was efficient under mild stress conditions, it failed at higher salinity levels.

1. Introduction

To achieve higher-demand food production goals, agriculture will inevitably expand further into marginal, degraded lands, which are commonly characterized by poor soil structure, low fertility, and often soil salinity. Soil salinization has become a significant global environmental issue and is expected to worsen with projected climate change. The nature of soils and irrigation practice, crop type and phenology, climate-type and seasonal weather, and the duration of crop exposure together determine the extent and impact of salinity on plant growth and crop productivity, involving complex, multi-faceted plant tolerance traits. Soil is generally considered salt-affected when its electrical conductivity (EC) exceeds 4 dS·m−1. At the plant level, salt toxicity occurs when Na+ and Cl accumulate above the concentrations required [1].
In higher plants, salinity can trigger hyperosmotic and hyperionic stress, leading to important morphological, physiological and biochemical alterations that, over time, may contribute to the eventual demise of the plant [2]. The overaccumulation of Na+ results in an increase in the soil’s osmotic pressure, a decrease in water potential, and a reduction in root water uptake, consequently diminishing water availability and resulting in a slower rate of plant growth [3,4,5]. The ion imbalance occurs when harmful amounts of salt accumulate in mature and older leaves, subsequently entering the xylem transpiration stream essential for maintaining the plant’s water balance. Excessive Na+ accumulation can compete with the uptake of other major cations, such as K+ and Ca2+ [6]. In susceptible species unable to efficiently regulate Na+ transport, the ionic effect outweighs the osmotic one, reducing photosynthetic capacity and impairing the carbohydrate supply required by young growing tissues, further decreasing plant growth rate [7]. Salinity can also cause a dramatic reduction in stomatal aperture and induce a stress-related decline in photosystem II (PSII) photochemistry, leading to PSII photoinhibition and/or photodamage [8]. Additionally, reduced leaf expansion can result in a buildup of unused photosynthate in growing tissues, generating signals to downregulate photosynthesis. To cope with salinity, plants have evolved complex mechanisms to modulate ion homeostasis, ion compartmentalization and export, and osmolyte biosynthesis. Frequently observed metabolites with osmolyte functions include sugars, sugar alcohols, and complex sugars, whose biosynthesis and accumulation play important roles in maintaining homeostasis, osmotic adjustment, and cellular redox balance [2].
Tomato (Solanum lycopersicum L., formerly Lycopersicon esculentum Mill.) is the most-consumed berry fruit worldwide, both as fresh and processed food, and is a key component of the Mediterranean diet [9]. It is an excellent source of nutrients and bioactive compounds beneficial for human health and chronic diseases, including lycopene, a potent liposoluble antioxidant and anti-inflammatory agent. Native to western South America, the tomato’s wild relatives have adapted to severely saline coastal regions, which has contributed to the selection of genetic or physiological traits that ensure high fitness and stress tolerance. However, during domestication, modern varieties have lost much of their stress resistance. As a result, most commercial tomato varieties are classified as moderately salt-tolerant, with seed germination, plant growth, and fruit development being drastically affected by high salinity levels. This loss of stress resistance is due to varietal improvement programs that primarily focused on yield, market demands for shelf-life, fruit size, and organoleptic quality, often at the expense of relevant traits, such as stress tolerance/resistance [10].
Fortunately, potential tolerance traits have been identified within ancestral tomato-related germplasm and landraces. Solanum pimpinellifolium L. (SP), the closest wild relative of the cultivated tomato, is a bushy plant with small red fruits about 1.5 cm in diameter and is found in the dry coastal regions of South America. In these areas, it frequently encounters brackish groundwater, salt-laden mist, and other harsh environmental conditions. Having evolved under such challenging conditions, SP demonstrates phenotypic robustness that was lost during the domestication of cultivated tomatoes. Furthermore, numerous quantitative trait loci have been identified in wild tomatoes, including those for biotic stress (tomato yellow leaf curl virus), abiotic stress (salinity), fruit quality, and other agronomic traits. As a result, SP is considered an important source of genes that can confer favorable stress tolerance to cultivated tomatoes.
Landraces are recognized as local community heritage [11], with these diverse plant populations having been selected and maintained over time by traditional farmers to meet their social, economic, cultural and ecological needs. Moreover, they are often suited to low-input or organic farming due to their adaptability to local agroclimatic conditions [12], and they currently play a key role in agrobiodiversity conservation. Thus, there is a growing emphasis on incentives and measures supporting the ex situ and in situ conservation and sustainable use of landrace germplasm to develop plants capable of counteracting future climate change [13]. Ciettaicale (CE) is a landrace cultivated in the Basilicata region of southern Italy, where it faces intense drought fluctuations during summer and brackish water from aquifers. Despite these harsh environmental conditions, CE demonstrates a notable capacity for adaptation. Compared to other commercial tomato genotypes, this landrace has shown interesting tolerance to salt at germination and post-germination stages [14] and the early vegetative stage [15] and has achieved a tolerable balance between yield and fruit quality under moderate salinity stress [16].
Given that the cultivation of food crops is encouraged on marginal, degraded lands abandoned by agricultural users, it becomes imperative to select species based on their ability to thrive under unfavorable conditions. Therefore, this study aimed to scrutinize the biometric and physiological performance of fully mature tomato plants belonging to a commercial variety, an ancestral wild relative, and a landrace. We assessed their responses to short-term exposure of sodium chloride (NaCl) and examined their capacity for recovery upon cessation of stress.

2. Materials and Methods

2.1. Plant Material and Growth Conditions

In the present study, a standard tomato variety, a traditional southern Italian landrace, and a wild species were used as genetic material. Specifically, the following genotypes were selected: the standard commercial variety “Moneymaker” (Thompson and Morgan, Ipswich, UK), an indeterminate type of tomato that can grow up to 2 m tall and produces rounded, vibrant red fruits; the landrace “Ciettaicale” (De Angelis S.r.l., Tolve, Italy), hailing from the Basilicata region, which is an indeterminate growth habit tomato with pear-shaped or globose fruits; and Solanum pimpinellifolium L. LA1579 (Tomato Genetics Resource Center, Department of Plant Sciences, University of California-Davis, CA, USA), chosen as the closest wild relative of the cultivated tomato. This wild species has a smaller stature and produces diminutive, round fruits. Its ability to hybridize with cultivated tomato varieties makes it a valuable source of resistance traits within breeding initiatives.
The research was carried out at the Department of Agriculture, Food, and Environment, University of Pisa, Italy. Seeds were germinated in rockwool propagation cube (Grodan®, Roermond, Netherlands, Ø 25 mm) receiving a basal nutrient solution, as described in Kiferle et al. [17]. The EC and pH of the nutrient solution were mantained between 2.3–2.6 dS m−1 and 5.5–5.8 (adjusted with diluted H2SO4), respectively. After 10 days, selected uniform seedlings were transferred to larger rockwool cubes (Grodan®, 133 × 133 × 160 mm; 2 rockwool cubes per plant) within an open hydroponic system. Sixty-four seedlings of each genotype were arranged in a randomized block design on benches and fertigated with the basal nutrient solution for three weeks. Throughout the experiment, the pots were rotated within their blocks at one-week intervals to minimize the confounding effects of external factors. Irrigation was supplied to the plants for 1 min 4 times per day. No shoot pruning or inflorescence thinning was performed during the entire experiment.
After five weeks, plants were divided into four groups (16 plants for each genotype × treatment). The nutrient solution system encompassed a non-treated control (S0) and three increasing salinity levels, with NaCl concentrations of 120 (S120), 240 (S240), and 360 mM (S360). These concentrations represented moderate to severe salinity stress for the species based on preliminary observations. Salinity stress was incrementally increased by approximately 6.3 mS cm−1 (equivalent to 60 mM NaCl) daily to prevent osmotic shock, reaching the final concentrations within two, four, and six days, respectively. Once the highest salt concentration was achieved, the plants were subjected to salt stress for one week. Following this period, all rockwool cubes underwent a 10 min irrigation with tap water to wash off previous nutrient solutions and then were fertilized with the basal nutrient solution for an additional recovery week. Climatic parameters were continuously monitored using a weather station inside the glasshouse. The mean values for air temperature, relative humidity and daily global radiation were 21.7 °C, 72.6%, and 21.8 MJ m−2, respectively.

2.2. Biometric and Cations Analyses

Biometric traits were evaluated at the end of the treatment (7 days after treatment, DAT) through destructive measurements. For each treatment, 10 plants were harvested, and the epigeal fraction was separated and washed with water to remove dust and debris. Fresh weight (FW) was recorded, after which the samples were dried for at least 72 h at 60 °C and then weighed to determine dry weight (DW). Additional sets of plants, not used for biometric trait testing, were collected and immediately processed or ground in liquid nitrogen, then stored at −80 °C for further molecular and biochemical analyses.
The content of cations, including Na+, K+, Ca2+, Mg2+, Fe2+, Zn2+, Cu2+, and Mn2+, were determined as described by Moles et al. [15].

2.3. Chlorophyll a Fluorescence

Chlorophyll a fluorescence was measured using a pulse-amplitude modulated fluorometer (Mini-PAM; Heinz Walz GmbH, Effeltrich, Germany), as previously described [18]. Briefly, measurements were taken at growing light intensity of 1500 μmol m−2 s−1 on fully expanded leaves to monitor the effects of salinity during the application of stress (1, 4 and 7 DAT) and after 7d of recovery. The actual photochemical efficiency of photosystem II in the light (ΦPSII) was determined as ΦPSII = (Fm’ − F’)/Fm’ at steady state, where Fm’ is the maximum fluorescence yield emitted by the leaves after a saturating light flash during actinic light exposure, and F’ is the fluorescence yield emitted under actinic illumination.

2.4. Relative Water Content and Leaf Water Potential

Relative water content (RWC) was determined at 4 and 7 DAT according to Barrs and Weatherley [19] using mid-leaf section of fully expanded leaves from at least nine replicates. Tissue FW was recorded, and leaf samples were transferred to tubes with de-ionized water and kept overnight in the dark at 4 °C. On the second day, after carefully removing excess water from the leaf surfaces, turgid weight (TW) was recorded. The leaves were then dried at 80 °C for 24 h, after which they were reweighed to determine DW. RWC was calculated using the following equation: RWC (%) = (FW − DW)/(TW − DW) × 100.
Leaf water potential (ΨW) was measured before dawn (pre-dawn, pd) on three fully expanded leaves of similar age situated on the median portion of stems and well exposed to light using a Scholander-type pressure chamber.

2.5. Analysis of Pigments

Pigments were extracted by incubating tissues (~100 mg) in 1.5 mL 80% acetone for 1 week at 4 °C in darkness. The absorbance of extracts was measured spectrophotometrically at 470.0, 663.2, and 646.8 nm. These absorbance values were used for calculation of chlorophyll a (Chl a), chlorophyll b (Chl b), and total carotenoids (Car) contents [20].

2.6. Soluble Carbohydrate Quantification

Leaf samples of 100 mg FW were ground to a powder in liquid nitrogen and then extracted and assayed using coupled enzymatic assay methods to ascertain the increase in A340, as described by Pompeiano et al. [18]. The method’s accuracy was verified using known amounts of standards.
Extraction performance was evaluated through a recovery experiment. Glucose (Glc), fructose (Fru), and sucrose (Suc) were added twice as standards to the sample before extraction. Depending on the sugar, the recovery percentage ranged between 96% and 103%. The amount of soluble carbohydrates was adjusted based on the recovery results and expressed as µmol hexose equivalents per g FW.

2.7. Statistical Analysis

After performing the Shapiro–Wilk test to diagnose normality assumptions, linear mixed-effects models were used to control the effects of experimental runs and blocks (i.e., random variables) while testing the effects of genotype, treatment, exposure and/or recovery time, as well as their interactions, on all response variables. To achieve this, the “lmer” function implemented in the lme4 R package [21] was used. The lmerTest package was employed to estimate p-values for each factor in the model, applying the Satterthwaite approximation for the denominator degrees of freedom or the F-statistic [22]. Statistically different means in the other response variables were identified by Tukey’s HSD via the multcomp package [23], with probability levels lower than 0.05 considered significant.
To identify relationships among the experimental conditions (species by treatments) based on biometric and physiological data recorded during the time-course experiment, multiple factorial analysis (MFA) was utilized, implemented in the FactoMineR R package [24]. MFA was performed in two steps, as described by Pompeiano et al. [20]. The individual data sets were then projected onto the global analysis to examine communalities and discrepancies. Traits (biomass, cations, PSII efficiency, RWC and LWP, nonstructural carbohydrates, and pigments) that significantly contributed to MFA dimensions were used to explain differences among experimental conditions (α = 0.05). All computations were performed with R 4.3.2 [25], and the R package ggplot2 [26] was used for data visualization.

3. Results

Analysis of all the biometric and physiological traits revealed a significant (p < 0.05) genotype × treatment × exposure–recovery time interaction. Consequently, subsequent data are presented for clarity within each genotype.

3.1. Biometric Traits and Cations Content

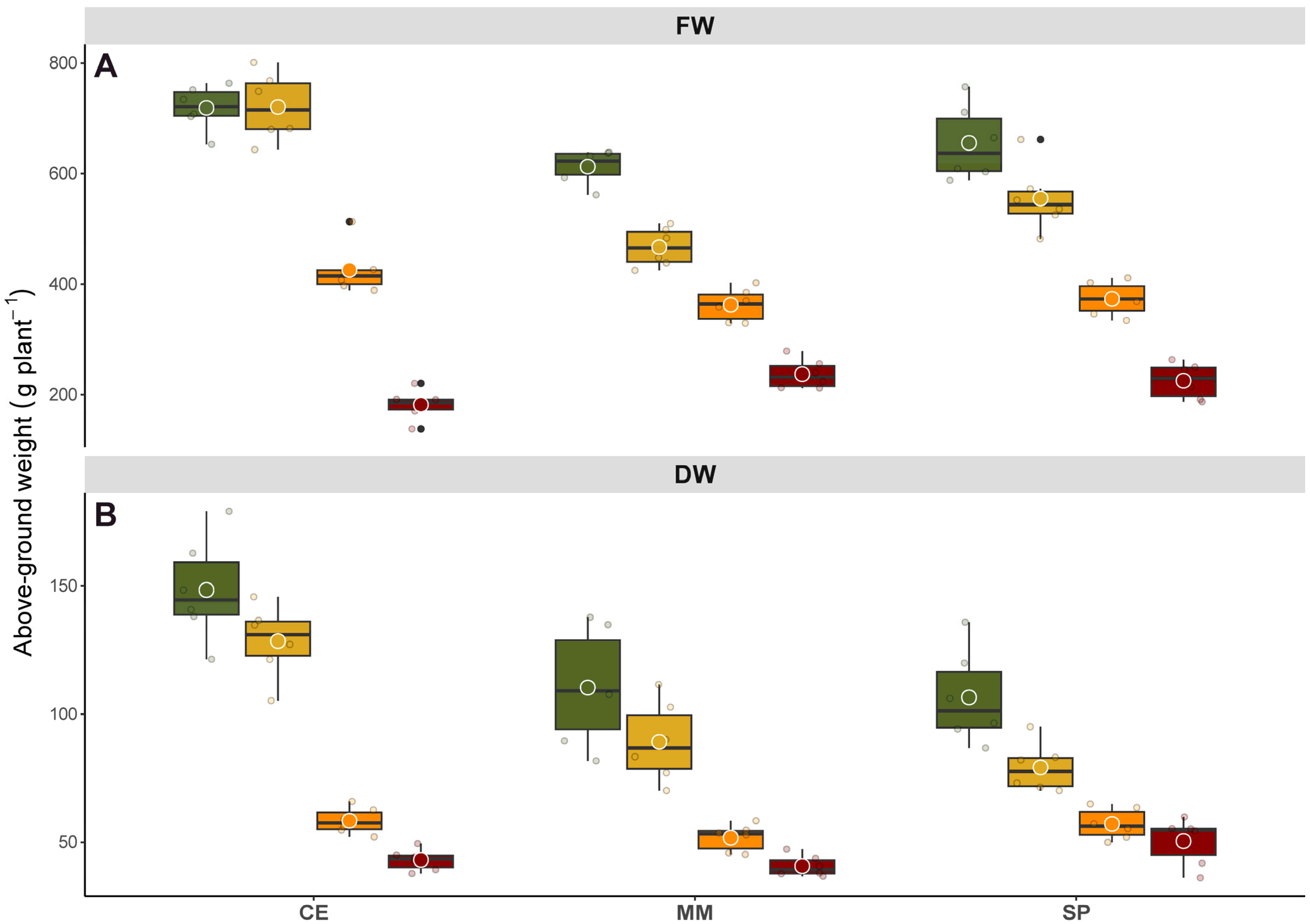
Under control conditions, CE exhibited higher FW, DW, and dry matter compared to the other two genotypes (+13, +37, and +20%, respectively). Under stress, tomatoes displayed vulnerability in all major biometric traits as salinity increased (Figure 1). The prevailing trend was that epigeal FW and DW significantly decreased with increasing salinity, although marked differences were observed between genotypes. Under S120 conditions, a significant decrease in FW was recorded in MM and PP (−20% compared to the control, on average; Figure 1A), whereas no differences compared to the control were detected in CE. As the salinity level increased, a similar reduction was observed among the genotypes (−41%), although under the highest salinity conditions, CE suffered the most (−75% vs. −63% on average). In terms of DW, MM and SP showed higher sensitivities starting at the lower salinity level (−22% compared to the control, on average; Figure 1B), with no differences among the genotypes detected under higher-stress conditions. Regarding dry matter (DM), SP showed no significant differences until intermediate salinity levels, although at the highest salinity level, a pronounced increase in the DM was observed in all plants.
Significant disparities among the genotypes were evident in leaf cation content (see Table 1). Moneymaker displayed a progressive rise in Na+ levels with increasing salinity, while the other two genotypes exhibited distinct behaviors. No significant differences were noted at lower salinity levels compared to their respective controls; however, there was a sudden increase under intermediate and higher salinity conditions (~2.6-fold higher on average than untreated and S120 plants). Notably, SP retained, on average, 21% more sodium than CE regardless of the salinity treatment. In MM, K+ levels gradually declined in response to rising salinity, whereas CE and SP showed no significant decrease compared to the non-saline control, except for the former at EC360. CE and MM did not experience a decrease in Ca2+ content under S120, although a more pronounced decrease was observed as stress level increased (−28% on average under intermediate and higher salinity treatments compared to lower and control condition), unlike SP, where it rapidly declined under EC120 (by 17% compared to control) and remained relatively stable as salinity increased. Mg2+ exhibited a similar trend to K+. However, Fe2+, Zn2+, and Cu2+ levels appeared to remain relatively stable at control levels across all genotypes, unaffected by the salinity treatments. In MM and SP, Mn2+ levels gradually decreased with increasing salinity, while in CE, a significant decrease was observed under the highest stress conditions. Moreover, when considering all the main ratios, a general increase was noted in CE in response to lower salinity stress, followed by a significant decline under EC240 treatment. Conversely, for the other genotypes, the general trend was a significant decrease in ratios as salinity increased. In CE and SP, the ratios remained relatively stable between intermediate and higher salinity levels.

3.2. PSII Photochemical Efficiency

Under control conditions, MM consistently demonstrated a significantly lower actual PSII photochemical efficiency throughout the experimental period compared to other genotypes (−10% on average; Figure 2). When subjected to salinity stress, all tested genotypes displayed susceptibility in PSII efficiency as salinity levels increased. Overall, ΦPSII experienced a sharp decline at lower salinity levels (−38% on average) and this decline accelerated with increasing salinity (reaching average decreases of 58% and 74% compared to the control for EC240 and EC360, respectively). Irrespective of genotype, plants exposed to the highest salinity levels showed no survival during recovery. Under such aforementioned stage, no differences in ΦPSII were observed in CE and SP at lower salinity treatment compared to the control, whereas a marked difference was detected in MM (−18% compared to the control).

3.3. Relative Water Content and Leaf Water Potential

Throughout the experimental period, salinity treatments did not seemingly affect RWC in CE, nor MM at 4 DAT (Figure S1). In SP a pronounced increase was recorded under EC120 (+36% compared to non-treated plants), followed by a gradual return to control levels under the highest salinity level. After prolonged exposure, both MM and SP exhibited an increase in RWC under EC120 similar to the initial observations, although no differences in RWC were detected compared to the control under intermediate and highest salinity levels (Figure 3A).
Changes in ΨW were recorded at the end of the time-course experiment (Figure 3B). Under control conditions, MM displayed lower ΨW than other genotypes (−36% on average). Tomato plants showed no symptoms of water stress under moderate and intermediate salinity conditions, except for SP, which began to show initial symptoms of salinity stress under the latter condition (2.5-fold decrease compared to control). Upon exposure to the highest salinity levels, an abrupt decrease in ΨW was observed, more pronounced in SP than in the other two genotypes (8.2 and 5.3-fold decreases on average compared to their controls, respectively).

3.4. Nonstructural Carbohydrates

Throughout the experimental period, SP exhibited lower concentrations of TSS under control conditions compared to the other two genotypes (−19% on average; Figure 4A). Prolonged exposure to salinity stress led to significant variations in leaf carbohydrate content, depending on genotype and treatment. CE showed a pronounced decline in TSS under S120 and S240 compared to the control (−33% on average), though the differences were less pronounced at prolonged exposure level. In MM, a similar decline was observed under S120, but TSS content increased with higher salinity, showing a slight but significant rise under S360 compared to untreated plants (+13% on average). In contrast, salinity did not seemingly affect TSS content in SP, which remained relatively stable at control levels, except under S360, where there was an average decrease of 39% compared to the control.
During the recovery phase, TSS exhibited a dose-dependent decrease in response to salinity, with variations detected among genotypes (Figure 4B). CE showed the highest reduction in TSS, with an immediate decrease observed in S120 plants and a more pronounced decline under S240 (−38% and −47% compared to the control, respectively). Conversely, MM and SP displayed susceptibility only under intermediate salinity, with an average decrease of 24% compared to the control. Plants treated with S360 did not survive beyond 7 days of treatment.

3.5. Leaf Photosynthetic Pigments

Changes in leaf photosynthetic pigments were observed at the end of the salinity treatment and during recovery, revealing marked differences among genotypes and treatments (Figure 5). Chlorophyll a and b exhibited parallel responses. In MM, there was a prompt decrease under S120, followed by a dose-dependent decline. Under the highest salinity, the commercial genotype showed the greatest reduction in chlorophyll levels (−57% compared to the control, on average). In CE, chlorophylls remained relatively stable under low salinity treatment, but there was an abrupt decrease under S240, with no significant changes observed at higher salinity levels. In SP, chlorophyll content gradually decreased with increasing salinity, showing the smallest decline among the genotypes (−24% compared to the control, on average). Additionally, in CE, the trend observed in chlorophyll content was mirrored in carotenoid content. In MM, a rapid decline in carotenoids was recorded under S120, but carotenoid levels increased with higher salinity, remaining not significantly different from control levels under S240 and S360. Carotenoid content in SP remained relatively stable across all treatments.
During the recovery phase, the general trend was a reduction in pigment concentrations in response to salinity treatments. At S240, CE and SP exhibited similar declines in photosynthetic pigments (−28% compared to the control, on average), which was more substantial than the decline observed in MM (−10% compared to the control). Overall, CE and MM showed a linear response in pigment levels, except for chlorophyll content in MM under lower salinity levels. In SP, no significant differences in pigment concentrations were observed between the S120 and S240 treatments.

3.6. Multiple Factorial Analysis

MFA revealed a canonical relationship between the experimental condition fingerprints obtained from biometric and physiological data recorded throughout the time-course experiment. The coordinates of the six groups of variables were displayed and used to create a map of these groups (Figure 6A, group representation). The coordinates were calculated using the first two dimensions of the MFA (Dim 1 and 2 on the diagram), which accounted for 71.5% of the total inertia (the inertia represents the total variance of a dataset, i.e., the trace of the correlation matrix).
Regarding the contribution of individual groups of variables, a general equilibrium can be observed for Axis 1 in a range that varies from 13.6% (W) up to 19.2% (PSII). In contrast, the contribution of each group to axis 2 vary remarkably. TSS and W are the most statistically significant contributors (51.3 and 32.5% respectively), while the other variables contribute minimally (4.0% on average), making them the least useful for discriminating among the experimental conditions on Axis 2 of the MFA.
The representation of the experimental conditions provided by MFA can be interpreted similarly to a principal component analysis (Figure 6B, Individuals). Factorial Axis 1, which accounts for 57.1% of the variance, clearly separated the experimental conditions based on salinity treatments. In contrast, the second axis, accounting for 14.4% of the variance, separates the experimental conditions based on genotypes. The hierarchical clustering conducted by the MFA emphasizes the collective performance of the treatments as determined by the individual analysis of biometric and physiological data (Figure 6C, Hierarchical clustering). The three phylogenetic trees show that genotypes under control conditions share more similarities with those under low salinity, except for MM.S120, which is clearly differentiated from the other treatments. Meanwhile, SP and CE cannot be separated based on their biometric and physiological traits under high salinity conditions.

4. Discussion

Tomato stress tolerance is recognized as a developmentally regulated, state-specific phenomenon. For instance, stress tolerance during tomato germination appears to be distinct from stress tolerance during vegetative growth stages. Building upon evaluations of biometric and eco-physiological performances during germination and post-germination stages [14], early growth stages [15], and characteristics related to yield and fruit quality [16], this study investigated the response of three distinct tomato genotypes to escalating salinity levels. Our focus was on assessing biometric changes and time-dependent alterations in physiological traits during fully mature stage.
Our data underscore the tomato clade’s capacity to withstand short-term exposure to low and intermediate salinity stress, as well as its ability to recover once stress is removed, albeit inter- and intraspecific variations in morphological and physiological responses have been clearly observed. It is important to note that direct comparisons with prior research, particularly studies characterizing species exposed to salinity across different growth and developmental stages under controlled environmental conditions, may not be feasible due to the unique parameters of our experiment. In a previous study examining early tomato growth stages [15], irrigation with 300 mM NaCl was found to stimulate dry matter production compared to untreated plants, with more pronounced effect observed in CE over a commercial variety. In contrast, each salinity level in our study negatively impacted biomass production, even over a short period (Figure 1). Notably, even the lowest salt concentration (120 mM NaCl) led to a significant reduction in biomass after prolonged exposure, likely due to the initial and transient osmotic stress following salt shock. Interestingly, CE appeared less affected, displaying a characteristic response observed in halophyte species under salt stress and drought conditions. Under moderate salinity stress, enhanced synthesis of root cytokinins has been reported to alter the hormonal balance in tomato shoots [27], resulting in a higher root-to-shoot biomass ratio due to restricted aboveground growth and a greater allocation of photosynthates to belowground organs to enhance scavenging capacity and alleviate osmotic pressure [28]. This adaptive root system architecture modulation, driven by negative halotropism under abiotic stress, representing a crucial strategy for enhancing plant water usage and stress resilience [29]. This may elucidate the severe reduction in above-ground biomass observed across all genotypes when exposed to 240 mM NaCl. At the highest salinity levels, as ion concentrations surpass a threshold, the plant’s exclusion mechanism fails, leading to stunted growth and eventual decline due to induced low osmotic potential, nutritional imbalance, specific ion effect, or a combination thereof [30].
Ion exclusion serves as a crucial mechanism for plants to adapt to saline stress, primarily by preventing the accumulation of Na+ ions in the shoots and leaves to toxic levels. Under control conditions, SP and CE exhibited lower ions levels compared to MM (Table 1). Interestingly, these concentrations remained relatively stable even under low stress conditions, indicating the enhanced ability of these genotypes to maintain ionic balance. This resilience could be attributed to improvements in cellular uptake, sequestration, and both ion inclusion and exclusion mechanisms. A similar trend was observed in the K+/Na+ ratio, a key indicator of salt tolerance closely linked to efficient compartmentalization and/or exclusion of ions [31,32]. This underscores the sensitivity of MM to salinity stress. Furthermore, the higher concentration of Ca2+ and Ca2+/Na+ ratio in CE under low salinity levels stood out its superior salt tolerance. Given that Ca2+ plays a pivotal role in determining a plant’s salt sensitivity and the associated ratio reflects the plant’s ability to survive osmotic stress [33], these findings highlight the robustness of CE in adverse conditions.
Relative water content serves as a valuable indicator of a plant’s water status, offering insights into leaf survival and metabolic activity, making it a key parameter for comparing plants’ sensitivity and tolerance to salinity stress [34]. In this study, it was observed that MM and SP exhibited increased RWC only under low salinity levels, suggesting the activation of specific pathways geared towards enhancing salinity stress tolerance (Figure 3). Conversely, RWC in CE remained unaffected by any treatment, implying that its unique salt tolerance might stem from environmental adaptations developed in response to saline soils in the Mediterranean region. Furthermore, the consistent RWC in CE could be attributed to its superior K+/Na+ ratio under stress conditions compared to other genotypes.
Unlike other water status indicators, ΨW provides a genuine measure of soil–plant–atmosphere balance, offering valuable insights into plant water relationships. In this study, ΨW data revealed markedly differences among genotypes, suggesting different strategies to cope with stress (Figure 3). Specifically, SP exhibited higher salt sensibility, with a decrease in ΨW observed from intermediate stress levels onwards, likely as a mechanism to alleviate osmotic imbalances and maintain cell turgor. In contrast, halophytes and salt-tolerant species synthesize organic solutes for osmotic adjustment within the vacuole, representing a more energy-efficient strategy [35]. Additionally, the sustained high ΨW observed in CE under the highest salinity level may be attributed to dehydration avoidance mechanisms [30].
In this study, we investigated the levels of carbohydrate in leaves both at the conclusion of the salinity treatment and during the recovery phase, aiming to provide a comprehensive understanding of the plants’ condition. Consistent with previous research, changes in carbohydrate metabolism appear to be a widespread response, potentially enhancing tolerance through enhanced catabolism of compatible osmolytes (Figure 4). Soluble carbohydrates may interact with membrane phospholipids and proteins to stabilize their structures, thereby mitigating desiccation caused by salinity, drought, and freezing stress [20], while also stimulating the activity of antioxidant enzymes [36,37]. Here, the heightened TSS catabolism observed in CE and MM at the onset of the stress may be indicative of efficient physiological and metabolic plasticity. Conversely, the increase in TSS recorded in MM from the intermediate salinity levels onwards and in CE at highest salinity level could be attributed to sink-limitation consequences, as previously observed in stressed Paspalum vaginatum (Swartz) plants [20]. Concerning SP’s response to increasing salinity, this genotype exhibited an opposing adaptation strategy, maintaining control of sugar homeostasis in the source tissues until intermediate salinity levels. However, exposure to the highest salt treatment led to dramatic changes in plant metabolism for SP. Upon removal of the stress, MM and SP under low salinity treatment had fully recovered their TSS levels within a week, underscoring the prompt osmotic adjustment ability of these genotypes. Conversely, CE subjected to salt treatment still exhibited distressed TSS levels after the recovery period, suggesting ongoing carbohydrate translocation and metabolism.
The response of pigments to salinity markedly differed among genotypes, revealing distinct defense mechanisms (Figure 5). Typically, photosynthetic pigments in tomato gradually decrease in response to increasing salinity, correlating with oxidative damage that induces chlorosis [38,39]. Both ionic and oxidative stresses contribute to Chls degradation due to ROS-induced higher chlorophyllase activity under salinity conditions [40]. Overall, we observed reductions in Chl contents parallel to the decay of both Chl a and b, with the latter generally exhibiting more stability in plants tolerant to salinity stress [41]. Consistent with previous findings [15], the landrace CE showed a gradual reduction in Chl a and b along to salt gradient, albeit less pronounced than in the commercial MM. In fact, the decline in Chls content in MM was quite abrupt even with moderate salt levels, correlating with its higher Na+ accumulation compared to CE and SP, highlighting MM’s salt-hypersensitive behavior. Changes in Chls content, whether due to slow synthesis or fast breakdown, are normally part of a defense photoprotection mechanism aimed at limiting light absorbance and thereby affecting photosynthesis. Correspondingly, post-recovery, salinity affected ΦPSII with variations between genotypes, where CE and SP displayed similar photosynthetic performance but better than MM under salt stress (Figure 2). Carotenoids act as antioxidants, scavenging ROS, and function in photosynthesis as collectors and quenchers, favoring the dissipation of excess radiant energy and preserving PSII activity [42]. Moreover, changes in the ratio between pigments might reflect rearrangements in the stoichiometry of PSII core and its associated light harvesting complexes (LHCII), promoting excessive energy dissipation [20], thus serving as stress indicators. The pronounced salt-induced increase in Car/Chls observed in MM (+71% on average under intermediate and higher salinity treatments compared to the other two genotypes, data derived from Figure 5) confirmed its hypersensitivity to salinity. In contrast, the lower ratios in CE and SP suggested greater salt tolerance in these genotypes, with more efficient antioxidant mechanisms protecting photosynthesis.
MFA facilitated the examination of observations based on biometric and physiological data within a unified framework, providing a cohesive representation of the associations between variables recorded throughout the time-course experiment (Figure 6). The use of the multicanonical analysis emphasized a general equilibrium among the genotypes under control and low salinity level, with the exception of the commercial variety, wherein the complexity of salt stress response hindered the introgression of tolerance traits. Particularly under high salinity levels, MM shared fewer similarities with the other two genotypes.
Our previous studies, conducted at various growth stages of the species, suggest that utilizing tomato landrace germplasm can be an effective strategy to counteract detrimental environmental factors, including salinity. While genetic variation for salt tolerance in wild germplasm and landrace populations remains largely unexploited, the present research underscores that improved salt tolerant genotypes can lead to substantial, positive impacts on horticultural production. The salt tolerance mechanism of domesticated tomato (exhibiting a glycophytic-like response) demonstrates efficiency under mild stress conditions but proves inadequate at higher salinity levels.

Supplementary Materials

The following supporting information can be downloaded at: https://www.mdpi.com/article/10.3390/horticulturae10060644/s1, Figure S1: RWC 4 DAT.

Author Contributions

Conceptualization, L.G.; formal analysis, A.P.; investigation, T.M.M., V.V., A.S. and T.H.R.; resources, L.G.; data curation, T.M.M., A.S. and T.H.R.; writing—original draft preparation, A.P.; writing—review and editing, A.P., T.M.M., A.S., T.H.R. and L.G.; visualization, A.P.; supervision, L.G.; project administration, L.G.; funding acquisition, L.G. All authors have read and agreed to the published version of the manuscript.

Funding

This research received no external funding.

Data Availability Statement

Data are contained within the article and Supplementary Materials.

Acknowledgments

The authors would like to extend their heartfelt thanks to Giovanni Infantino (De Angelis S.r.l., Tolve, Potenza, Italy) for generously providing the Ciettaicale seeds.

Conflicts of Interest

The authors declare no conflict of interest.

References

  1. Shabala, S.; Munns, R. Salinity stress: Physiological constraints and adaptive mechanisms. In Plant Stress Physiol; Shabala, S., Ed.; CABI: Wallingford, UK, 2012; pp. 59–93. [Google Scholar]
  2. Hasegawa, P.M.; Bressan, R.A.; Zhu, J.K.; Bohnert, H.J. Plant cellular and molecular responses to high salinity. Annu. Rev. Plant Physiol. Plant Mol. Biol. 2000, 51, 463–499. [Google Scholar] [CrossRef] [PubMed]
  3. Chaves, M.M.; Flexas, J.; Pinheiro, C. Photosynthesis under drought and salt stress: Regulation mechanisms from whole plant to cell. Ann. Bot. 2009, 103, 551–560. [Google Scholar] [CrossRef] [PubMed]
  4. Guo, M.; Wang, X.-S.; Guo, H.-D.; Bai, S.-Y.; Khan, A.; Wang, X.-M.; Gao, Y.-M.; Li, J.-S. Tomato salt tolerance mechanisms and their potential applications for fighting salinity: A review. Front. Plant Sci. 2022, 13, 949541. [Google Scholar] [CrossRef] [PubMed]
  5. Munns, R. Physiological processes limiting plant growth in saline soils: Some dogmas and hypotheses. Plant Cell Environ. 1993, 16, 15–24. [Google Scholar] [CrossRef]
  6. Niu, X.; Bressan, R.A.; Hasegawa, P.M.; Pardo, J.M. lon homeostasis in NaCl stress environments. Plant Physiol. 1995, 109, 735–742. [Google Scholar] [CrossRef] [PubMed]
  7. Munns, R.; Tester, M. Mechanisms of salinity tolerance. Annu. Rev. Plant. Biol. 2008, 59, 651–681. [Google Scholar] [CrossRef] [PubMed]
  8. Degl’Innocenti, E.; Hafsi, C.; Guidi, L.; Navari-Izzo, F. The effect of salinity on photosynthetic activity in potassium-deficient barley species. J. Plant Physiol. 2009, 166, 1968–1981. [Google Scholar] [CrossRef] [PubMed]
  9. Cruz, S.; Gómez, C. Effects of daily light integral on compact tomato plants grown for indoor gardening. Agronomy 2022, 12, 1704. [Google Scholar] [CrossRef]
  10. Bai, Y.; Lindhout, P. Domestication and breeding of tomatoes: What have we gained and what can we gain in the future? Ann. Bot. 2007, 100, 1085–1094. [Google Scholar] [CrossRef]
  11. Hagenblad, J.; Zie, J.; Leino, M.W. Exploring the population genetics of genebank and historical landrace varieties. Genet. Resour. Crop Evol. 2012, 59, 1185–1199. [Google Scholar] [CrossRef]
  12. Negri, V. Landraces in central Italy: Where and why they are conserved and perspectives for their on-farm conservation. Genet. Resour. Crop Evol. 2003, 50, 871–885. [Google Scholar] [CrossRef]
  13. Halford, N.G.; Foyer, C.H. Producing a road map that enables plants to cope with future climate change. J. Exp. Bot. 2015, 66, 3433–3434. [Google Scholar] [CrossRef] [PubMed]
  14. Moles, T.M.; Guglielminetti, L.; Huarancca Reyes, T. Differential effects of sodium chloride on germination and post-germination stages of two tomato genotypes. Sci. Hortic. 2019, 257, 108730. [Google Scholar] [CrossRef]
  15. Moles, T.M.; Pompeiano, A.; Huarancca Reyes, T.; Scartazza, A.; Guglielminetti, L. The efficient physiological strategy of a tomato landrace in response to short-term salinity stress. Plant Physiol. Bioch. 2016, 109, 262–272. [Google Scholar] [CrossRef] [PubMed]
  16. Moles, T.M.; de Brito Francisco, R.; Mariotti, L.; Pompeiano, A.; Lupini, A.; Incrocci, L.; Carmassi, G.; Scartazza, A.; Pistelli, L.; Guglielminetti, L.; et al. Salinity in autumn-winter season and fruit quality of tomato landraces. Front. Plant Sci. 2019, 10, 468493. [Google Scholar] [CrossRef] [PubMed]
  17. Kiferle, C.; Gonzali, S.; Beltrami, S.; Martinelli, M.; Hora, K.; Holwerda, H.T.; Perata, P. Improvement in fruit yield and tolerance to salinity of tomato plants fertigated with micronutrient amounts of iodine. Sci. Rep. 2022, 12, 14655. [Google Scholar] [CrossRef] [PubMed]
  18. Pompeiano, A.; Huarancca Reyes, T.; Moles, T.M.; Villani, M.; Volterrani, M.; Guglielminetti, L.; Scartazza, A. Inter- and intraspecific variability in physiological traits and post-anoxia recovery of photosynthetic efficiency in grasses under oxygen deprivation. Physiol. Plant. 2017, 161, 385–399. [Google Scholar] [CrossRef] [PubMed]
  19. Barrs, H.; Weatherley, P. A re-examination of the relative turgidity technique for estimating water deficits in leaves. Aust. J. Biol. Sci. 1962, 15, 413–428. [Google Scholar] [CrossRef]
  20. Pompeiano, A.; Di Patrizio, E.; Volterrani, M.; Scartazza, A.; Guglielminetti, L. Growth responses and physiological traits of seashore paspalum subjected to short-term salinity stress and recovery. Agr. Water Manage. 2016, 163, 57–65. [Google Scholar] [CrossRef]
  21. Bates, D.; Mächler, M.; Bolker, B.; Walker, S. Fitting linear mixed-effects models using lme4. J. Stat. Softw. 2015, 67, 48. [Google Scholar] [CrossRef]
  22. Kuznetsova, A.; Brockhoff, P.B.; Christensen, R.H.B. lmerTest package: Tests in linear mixed effects models. J. Stat. Softw. 2017, 82, 26. [Google Scholar] [CrossRef]
  23. Hothorn, T.; Bretz, F.; Westfall, P. Simultaneous inference in general parametric models. Biome. J. 2008, 50, 346–363. [Google Scholar] [CrossRef] [PubMed]
  24. Lê, S.; Josse, J.; Husson, F. FactoMineR: An R package for multivariate analysis. J. Stat. Softw. 2008, 25, 18. [Google Scholar] [CrossRef]
  25. R Core Team. R: A Language and Environment for Statistical Computing, 4.3.2; R Foundation for Statistical Computing: Vienna, Austria, 2023. [Google Scholar]
  26. Wickham, H. ggplot2: Elegant Graphics for Data Analysis; Springer: New York, NY, USA, 2009. [Google Scholar]
  27. Ghanem, M.E.; Albacete, A.; Smigocki, A.C.; Frébort, I.; Pospíšilová, H.; Martínez-Andújar, C.; Acosta, M.; Sánchez-Bravo, J.; Lutts, S.; Dodd, I.C.; et al. Root-synthesized cytokinins improve shoot growth and fruit yield in salinized tomato (Solanum lycopersicum L.) plants. J. Exp. Bot. 2011, 62, 125–140. [Google Scholar] [CrossRef] [PubMed]
  28. Lynch, J. Root architecture and plant productivity. Plant Physiol. 1995, 109, 7–13. [Google Scholar] [CrossRef] [PubMed]
  29. Karlova, R.; Boer, D.; Hayes, S.; Testerink, C. Root plasticity under abiotic stress. Plant Physiol. 2021, 187, 1057–1070. [Google Scholar] [CrossRef]
  30. Foolad, M.R. Current status of breeding tomatoes for salt and drought tolerance. In Advances in Molecular Breeding toward Drought and Salt Tolerant Crops; Jenks, M.A., Hasegawa, P.M., Jain, S.M., Eds.; Springer: Dordrecht, The Netherlands, 2007; pp. 669–700. [Google Scholar]
  31. Pompeiano, A.; Landi, M.; Meloni, G.; Vita, F.; Guglielminetti, L.; Guidi, L. Allocation pattern, ion partitioning, and chlorophyll a fluorescence in Arundo donax L. in responses to salinity stress. Plant Biosyst. 2017, 151, 613–622. [Google Scholar] [CrossRef]
  32. Zhu, J.-K. Regulation of ion homeostasis under salt stress. Curr. Opin. Plant Biol. 2003, 6, 441–445. [Google Scholar] [CrossRef]
  33. Shahid, M.A.; Sarkhosh, A.; Khan, N.; Balal, R.M.; Ali, S.; Rossi, L.; Gómez, C.; Mattson, N.; Nasim, W.; Garcia-Sanchez, F. Insights into the physiological and biochemical impacts of salt stress on plant growth and development. Agronomy 2020, 10, 938. [Google Scholar] [CrossRef]
  34. Sinclair, T.; Ludlow, M. Influence of soil water supply on the plant water balance of four tropical grain legumes. Funct. Plant Biol. 1986, 13, 329–341. [Google Scholar] [CrossRef]
  35. Munns, R.; James, R.A.; Gilliham, M.; Flowers, T.J.; Colmer, T.D. Tissue tolerance: An essential but elusive trait for salt-tolerant crops. Funct. Plant Biol. 2016, 43, 1103–1113. [Google Scholar] [CrossRef] [PubMed]
  36. Boriboonkaset, T.; Theerawitaya, C.; Pichakum, A.; Cha-um, S.; Takabe, T.; Kirdmanee, C. Expression levels of some starch metabolism related genes in flag leaf of two contrasting rice genotypes exposed to salt stress. Aust. J. Crop Sci. 2012, 6, 1579–1586. [Google Scholar]
  37. Sperdouli, I.; Moustakas, M. Leaf developmental stage modulates metabolite accumulation and photosynthesis contributing to acclimation of Arabidopsis thaliana to water deficit. J. Plant Res. 2014, 127, 481–489. [Google Scholar] [CrossRef] [PubMed]
  38. Uddin, M.K.; Juraimi, A.S.; Ismail, M.R.; Hossain, M.A.; Othman, R.; Rahim, A.A. Effect of salinity stress on nutrient uptake and chlorophyll content of tropical turfgrass species. Aust. J. Crop Sci. 2011, 5, 620–629. [Google Scholar]
  39. Parvin, K.; Hasanuzzaman, M.; Bhuyan, M.H.M.B.; Mohsin, S.M.; Fujita, M. Quercetin mediated salt tolerance in tomato through the enhancement of plant antioxidant defense and glyoxalase systems. Plants 2019, 8, 247. [Google Scholar] [CrossRef] [PubMed]
  40. Rahman, A.; Nahar, K.; Hasanuzzaman, M.; Fujita, M. Calcium supplementation improves Na+/K+ ratio, antioxidant defense and glyoxalase systems in salt-stressed rice seedlings. Front. Plant Sci. 2016, 7, 188581. [Google Scholar] [CrossRef] [PubMed]
  41. Pompeiano, A.; Giannini, V.; Gaetani, M.; Vita, F.; Guglielminetti, L.; Bonari, E.; Volterrani, M. Response of warm–season grasses to N fertilization and salinity. Sci. Hortic. 2014, 177, 92–98. [Google Scholar] [CrossRef]
  42. Fusaro, L.; Mereu, S.; Brunetti, C.; Di Ferdinando, M.; Ferrini, F.; Manes, F.; Salvatori, E.; Marzuoli, R.; Gerosa, G.; Tattini, M. Photosynthetic performance and biochemical adjustments in two co-occurring Mediterranean evergreens, Quercus ilex and Arbutus unedo, differing in salt-exclusion ability. Funct. Plant Biol. 2014, 41, 391–400. [Google Scholar] [CrossRef]
Figure 1. Boxplot depicting above-ground (A) fresh and (B) dry weight (FW and DW, respectively) as affected by the salinity × genotype interaction evaluated 7 days after the onset of treatments recorded on the tomato landrace Ciettaicale (CE), the commercial variety Moneymaker (MM), and the wild ancestor Solanum pimpinellifolium L. (SP). Dark olive green, goldenrod, dark orange, and dark red boxplots represent control, S120, S240, and S360 conditions, respectively. The dot in the boxplot indicates the arithmetic mean of the evaluated biometric trait (n = 6).
Figure 1. Boxplot depicting above-ground (A) fresh and (B) dry weight (FW and DW, respectively) as affected by the salinity × genotype interaction evaluated 7 days after the onset of treatments recorded on the tomato landrace Ciettaicale (CE), the commercial variety Moneymaker (MM), and the wild ancestor Solanum pimpinellifolium L. (SP). Dark olive green, goldenrod, dark orange, and dark red boxplots represent control, S120, S240, and S360 conditions, respectively. The dot in the boxplot indicates the arithmetic mean of the evaluated biometric trait (n = 6).
Horticulturae 10 00644 g001
Figure 2. Boxplot depicting actual (ΦPSII) photochemical PSII efficiency in leaves as affected by salinity × genotype interaction, assayed (A) 1 day, 4 days (B), 7 days (C) after treatment (DAT), and (D) after 7 d of recovery (Rec), recorded on the tomato landrace Ciettaicale (CE), the commercial variety Moneymaker (MM), and the wild ancestor Solanum pimpinellifolium L. (SP). Dark olive green, goldenrod, dark orange, and dark red boxplots represent control, S120, S240, and S360 conditions, respectively. The dot in the boxplot indicates the arithmetic mean of the evaluated trait (n ≥ 4).
Figure 2. Boxplot depicting actual (ΦPSII) photochemical PSII efficiency in leaves as affected by salinity × genotype interaction, assayed (A) 1 day, 4 days (B), 7 days (C) after treatment (DAT), and (D) after 7 d of recovery (Rec), recorded on the tomato landrace Ciettaicale (CE), the commercial variety Moneymaker (MM), and the wild ancestor Solanum pimpinellifolium L. (SP). Dark olive green, goldenrod, dark orange, and dark red boxplots represent control, S120, S240, and S360 conditions, respectively. The dot in the boxplot indicates the arithmetic mean of the evaluated trait (n ≥ 4).
Horticulturae 10 00644 g002
Figure 3. Boxplot depicting (A) relative water content (RWC), and (B) leaf water potential (ΨW) levels as affected by salinity × genotype interaction observed 7 days after treatment (DAT) recorded on the tomato landrace Ciettaicale (CE), the commercial variety Moneymaker (MM), and the wild ancestor Solanum pimpinellifolium L. (SP). Dark olive green, goldenrod, dark orange, and dark red boxplots represent control, S120, S240, and S360 conditions, respectively. The dot in the boxplot indicates the arithmetic mean of the evaluated trait (n = 12 and 3, respectively for RWC and ΨW).
Figure 3. Boxplot depicting (A) relative water content (RWC), and (B) leaf water potential (ΨW) levels as affected by salinity × genotype interaction observed 7 days after treatment (DAT) recorded on the tomato landrace Ciettaicale (CE), the commercial variety Moneymaker (MM), and the wild ancestor Solanum pimpinellifolium L. (SP). Dark olive green, goldenrod, dark orange, and dark red boxplots represent control, S120, S240, and S360 conditions, respectively. The dot in the boxplot indicates the arithmetic mean of the evaluated trait (n = 12 and 3, respectively for RWC and ΨW).
Horticulturae 10 00644 g003
Figure 4. Boxplot depicting total nonstructural carbohydrates (TSS) content expressed as hexose equivalents in leaves tissues as affected by salinity × genotype interaction, assayed (A) 7 days after treatment (DAT), and (B) after 7 d of recovery (Rec), recorded on the tomato landrace Ciettaicale (CE), the commercial variety Moneymaker (MM), and the wild ancestor Solanum pimpinellifolium L. (SP). Dark olive green, goldenrod, dark orange, and dark red boxplots represent control, S120, S240, and S360 conditions, respectively. The dot in the boxplot indicates the arithmetic mean of the evaluated trait (n = 3).
Figure 4. Boxplot depicting total nonstructural carbohydrates (TSS) content expressed as hexose equivalents in leaves tissues as affected by salinity × genotype interaction, assayed (A) 7 days after treatment (DAT), and (B) after 7 d of recovery (Rec), recorded on the tomato landrace Ciettaicale (CE), the commercial variety Moneymaker (MM), and the wild ancestor Solanum pimpinellifolium L. (SP). Dark olive green, goldenrod, dark orange, and dark red boxplots represent control, S120, S240, and S360 conditions, respectively. The dot in the boxplot indicates the arithmetic mean of the evaluated trait (n = 3).
Horticulturae 10 00644 g004
Figure 5. Boxplot depicting chlorophyll a (Chl a), chlorophyll b (Chl b), and carotenoids (Car) levels as affected by salinity × genotype interaction, assayed (A,C,E) 7 days after treatment (DAT), and (B,D,F) after 7 d of recovery (Rec), recorded on the tomato landrace Ciettaicale (CE), the commercial variety Moneymaker (MM), and the wild ancestor Solanum pimpinellifolium L. (SP). Dark olive green, goldenrod, dark orange, and dark red boxplots represent control, S120, S240, and S360 conditions, respectively. The dot in the boxplot indicates the arithmetic mean of the evaluated trait (n = 3).
Figure 5. Boxplot depicting chlorophyll a (Chl a), chlorophyll b (Chl b), and carotenoids (Car) levels as affected by salinity × genotype interaction, assayed (A,C,E) 7 days after treatment (DAT), and (B,D,F) after 7 d of recovery (Rec), recorded on the tomato landrace Ciettaicale (CE), the commercial variety Moneymaker (MM), and the wild ancestor Solanum pimpinellifolium L. (SP). Dark olive green, goldenrod, dark orange, and dark red boxplots represent control, S120, S240, and S360 conditions, respectively. The dot in the boxplot indicates the arithmetic mean of the evaluated trait (n = 3).
Horticulturae 10 00644 g005
Figure 6. Multiple factor analysis (MFA) of biometric and physiological data recorded on the tomato landrace Ciettaicale (CE), the commercial variety Moneymaker (MM), and the wild ancestor Solanum pimpinellifolium L. (SP) plants as affected by incremental salinity stress. (A) Representation of groups of variables. Key: sienna3 “Biomass”, above-ground FW–DW; light steel blue “Cations”, leaf cation contents and ratio; goldenrod “PSII”, ΦPSII evaluated at 1, 4, 7 days after treatment (DAT) and after 7 d of recovery (Rec); deep sky blue “W”, RWC and ΨW; dark slate grey “TSS”, total nonstructural carbohydrates recorded in leaves tissues 7 DAT and Rec; forest green “PIGs”, chlorophyll a, b, and carotenoids content recorded 7 DAT and Rec. (B) Score plot describing the experimental conditions (species by treatments) of the two-first principal components. (C) Hierarchical clustering of treatments based on their biometric and physiological traits.
Figure 6. Multiple factor analysis (MFA) of biometric and physiological data recorded on the tomato landrace Ciettaicale (CE), the commercial variety Moneymaker (MM), and the wild ancestor Solanum pimpinellifolium L. (SP) plants as affected by incremental salinity stress. (A) Representation of groups of variables. Key: sienna3 “Biomass”, above-ground FW–DW; light steel blue “Cations”, leaf cation contents and ratio; goldenrod “PSII”, ΦPSII evaluated at 1, 4, 7 days after treatment (DAT) and after 7 d of recovery (Rec); deep sky blue “W”, RWC and ΨW; dark slate grey “TSS”, total nonstructural carbohydrates recorded in leaves tissues 7 DAT and Rec; forest green “PIGs”, chlorophyll a, b, and carotenoids content recorded 7 DAT and Rec. (B) Score plot describing the experimental conditions (species by treatments) of the two-first principal components. (C) Hierarchical clustering of treatments based on their biometric and physiological traits.
Horticulturae 10 00644 g006
Table 1. Effect of different salt concentrations (120, 240, and 360 mM NaCl, plus control) on leaf cation contents and ratio of the landrace Ciettaicale (CE), the commercial variety Moneymaker (MM), and the wild ancestor Solanum pimpinellifolium L. (SP). All concentrations are expressed in g kg−1 DW. For each genotype, means within a column followed by the same letter are not significantly different based on Tukey’s HSD (α = 0.05) test. ns, not significant.
Table 1. Effect of different salt concentrations (120, 240, and 360 mM NaCl, plus control) on leaf cation contents and ratio of the landrace Ciettaicale (CE), the commercial variety Moneymaker (MM), and the wild ancestor Solanum pimpinellifolium L. (SP). All concentrations are expressed in g kg−1 DW. For each genotype, means within a column followed by the same letter are not significantly different based on Tukey’s HSD (α = 0.05) test. ns, not significant.
GenotypeSalinityNa+K+Ca2+Mg2+Fe2+Zn2+Cu2+Mn2+K+/Na+Ca2+/Na+Mg2+/Na+
CEControl100.6 b156.4 a75.1 a24.9 a0.83 ns0.44 ns0.20 ns0.39 a1.56 a0.75 b0.25 b
120 mM92.9 b148.2 a86.8 a31.4 a0.87 ns0.51 ns0.21 ns0.45 a1.61 a0.94 a0.34 a
240 mM244.1 a147.6 a53.3 b32.1 a0.77 ns0.47 ns0.15 ns0.46 a0.61 b0.22 c0.13 c
360 mM250.4 a124.0 b57.0 b21.1 b0.75 ns0.36 ns0.17 ns0.20 b0.50 b0.23 c0.08 c
MMControl116.4 c149.2 a69.9 a27.3 a0.80 ns0.38 ns0.20 ns0.36 a1.28 a0.60 a0.23 a
120 mM156.3 b126.4 b65.2 a27.7 a0.80 ns0.33 ns0.19 ns0.28 b0.81 b0.42 b0.18 b
240 mM174.7 b116.1 c49.8 b27.6 a0.77 ns0.36 ns0.15 ns0.20 c0.67 c0.29 c0.16 b
360 mM287.0 a93.9 d52.9 b21.1 b0.82 ns0.39 ns0.16 ns0.23 c0.33 d0.18 d0.07 c
SPControl74.8 b150.6 ns69.2 a23.9 ns0.99 ns0.37 ns0.24 ns0.60 a2.03 a0.93 a0.32 a
120 mM86.1 b146.1 ns58.8 b24.7 ns1.02 ns0.43 ns0.25 ns0.44 b1.70 b0.68 b0.29 a
240 mM202.2 a140.6 ns54.7 b23.0 ns0.87 ns0.40 ns0.18 ns0.20 c0.70 c0.27 c0.11 b
360 mM207.3 a148.0 ns58.6 b21.1 ns0.89 ns0.30 ns0.20 ns0.23 c0.71 c0.28 c0.10 b
Disclaimer/Publisher’s Note: The statements, opinions and data contained in all publications are solely those of the individual author(s) and contributor(s) and not of MDPI and/or the editor(s). MDPI and/or the editor(s) disclaim responsibility for any injury to people or property resulting from any ideas, methods, instructions or products referred to in the content.

Share and Cite

MDPI and ACS Style

Pompeiano, A.; Moles, T.M.; Viscomi, V.; Scartazza, A.; Huarancca Reyes, T.; Guglielminetti, L. Behind the Loss of Salinity Resistance during Domestication: Alternative Eco-Physiological Strategies Are Revealed in Tomato Clade. Horticulturae 2024, 10, 644. https://doi.org/10.3390/horticulturae10060644

AMA Style

Pompeiano A, Moles TM, Viscomi V, Scartazza A, Huarancca Reyes T, Guglielminetti L. Behind the Loss of Salinity Resistance during Domestication: Alternative Eco-Physiological Strategies Are Revealed in Tomato Clade. Horticulturae. 2024; 10(6):644. https://doi.org/10.3390/horticulturae10060644

Chicago/Turabian Style

Pompeiano, Antonio, Tommaso Michele Moles, Viviana Viscomi, Andrea Scartazza, Thais Huarancca Reyes, and Lorenzo Guglielminetti. 2024. "Behind the Loss of Salinity Resistance during Domestication: Alternative Eco-Physiological Strategies Are Revealed in Tomato Clade" Horticulturae 10, no. 6: 644. https://doi.org/10.3390/horticulturae10060644

APA Style

Pompeiano, A., Moles, T. M., Viscomi, V., Scartazza, A., Huarancca Reyes, T., & Guglielminetti, L. (2024). Behind the Loss of Salinity Resistance during Domestication: Alternative Eco-Physiological Strategies Are Revealed in Tomato Clade. Horticulturae, 10(6), 644. https://doi.org/10.3390/horticulturae10060644

Note that from the first issue of 2016, this journal uses article numbers instead of page numbers. See further details here.

Article Metrics

Back to TopTop