Investigating the Effect of Hydrafiber and Biochar as a Substitute for Peat-Based Substrate for Zinnia (Zinnia elegans) and Snapdragon (Antirrhinum majus) Production
Abstract
1. Introduction
2. Materials and Methods
2.1. Plant Materials and Substrate Treatments
2.2. Physical and Chemical Properties of the Substrates
2.3. Plant Growth and Development
2.4. Experimental Design and Statistical Analysis
3. Results
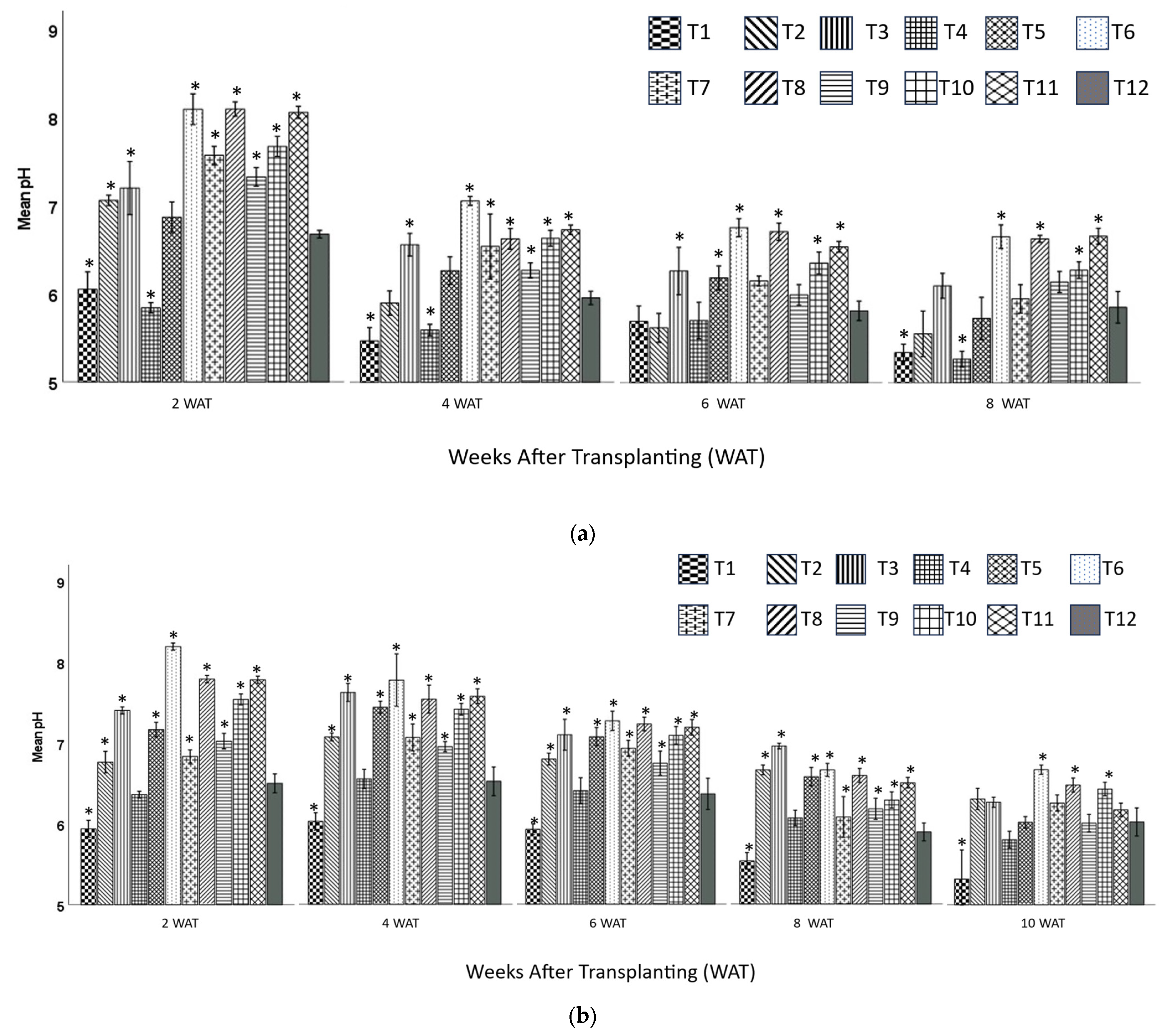
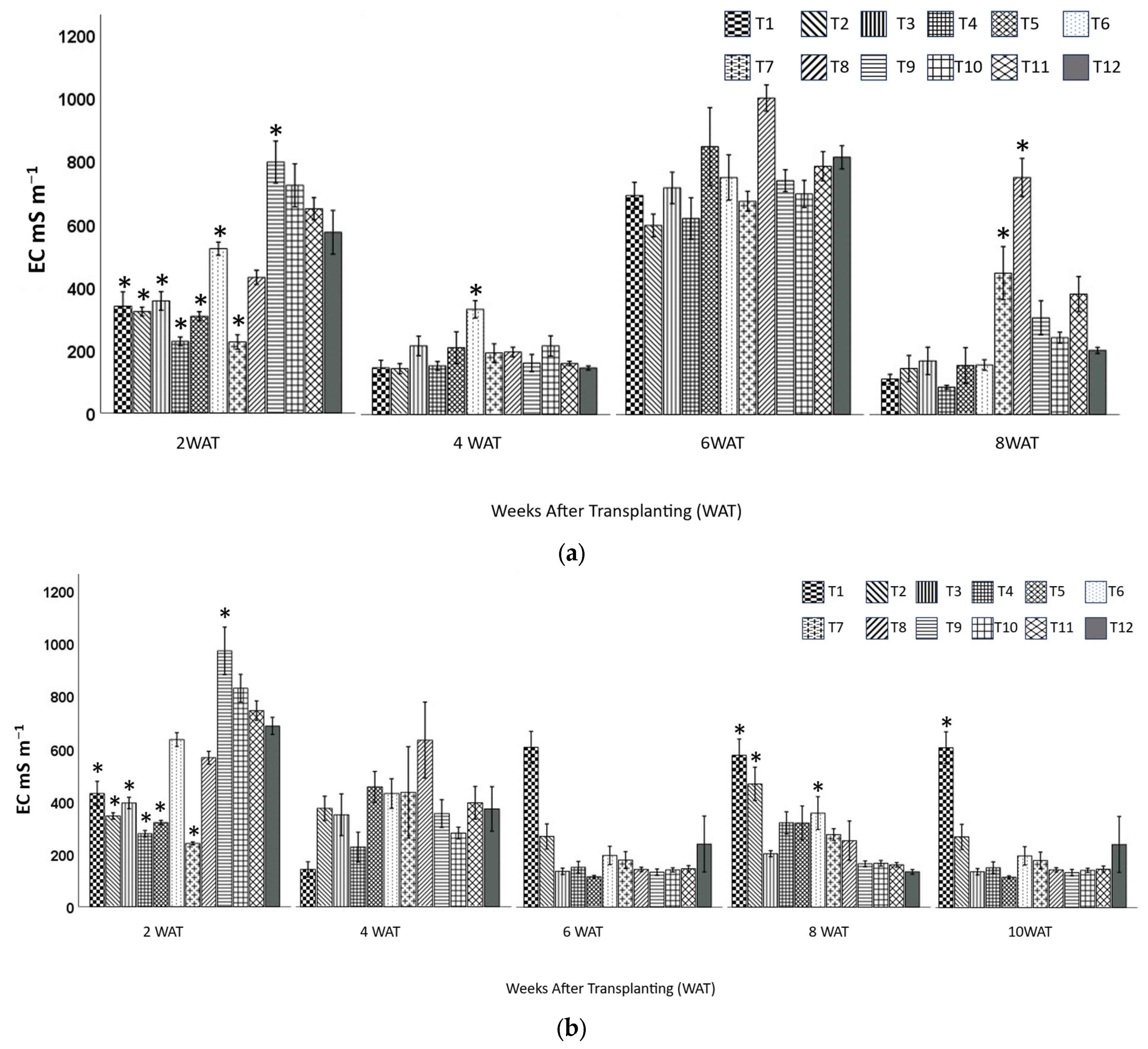
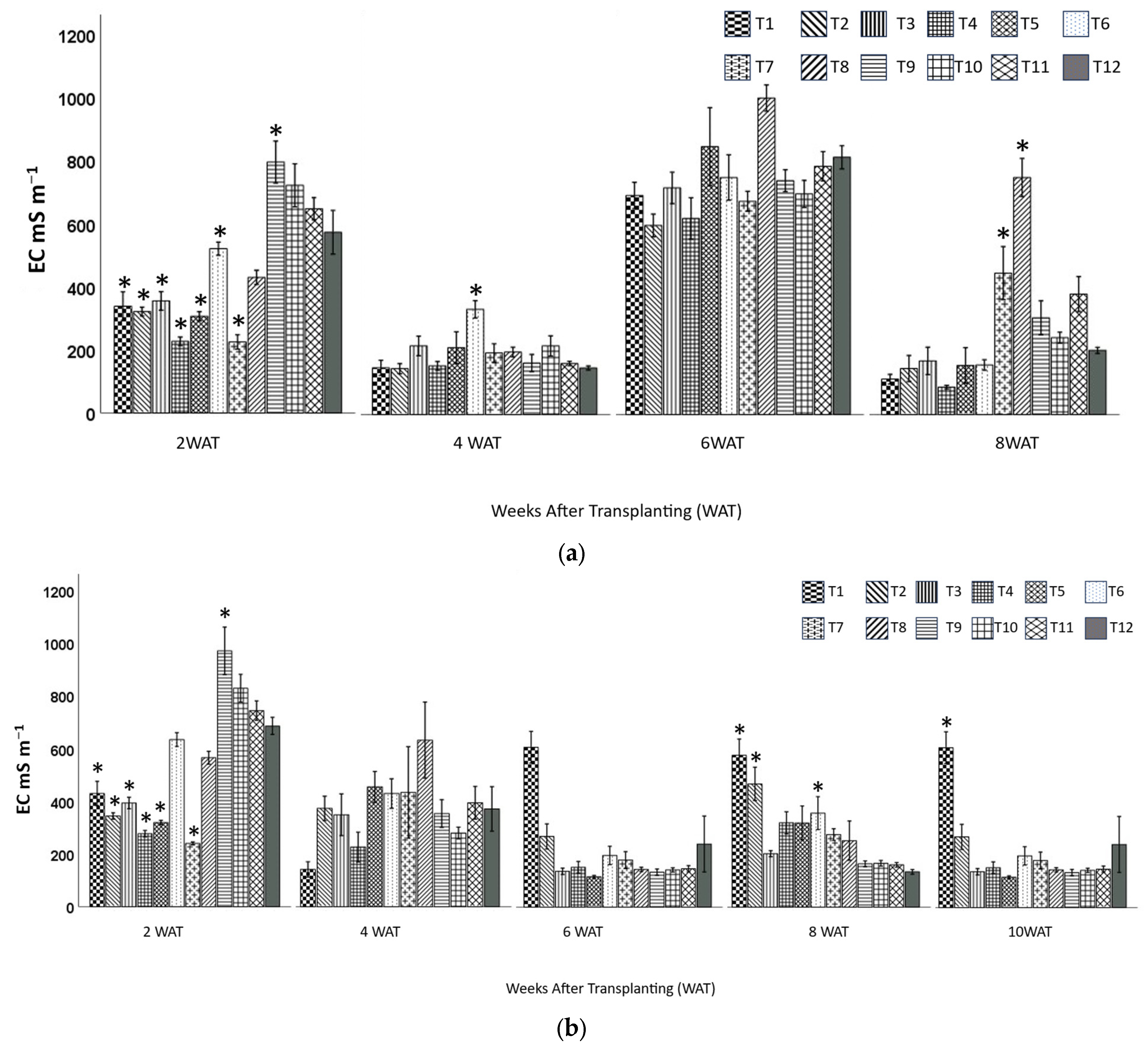
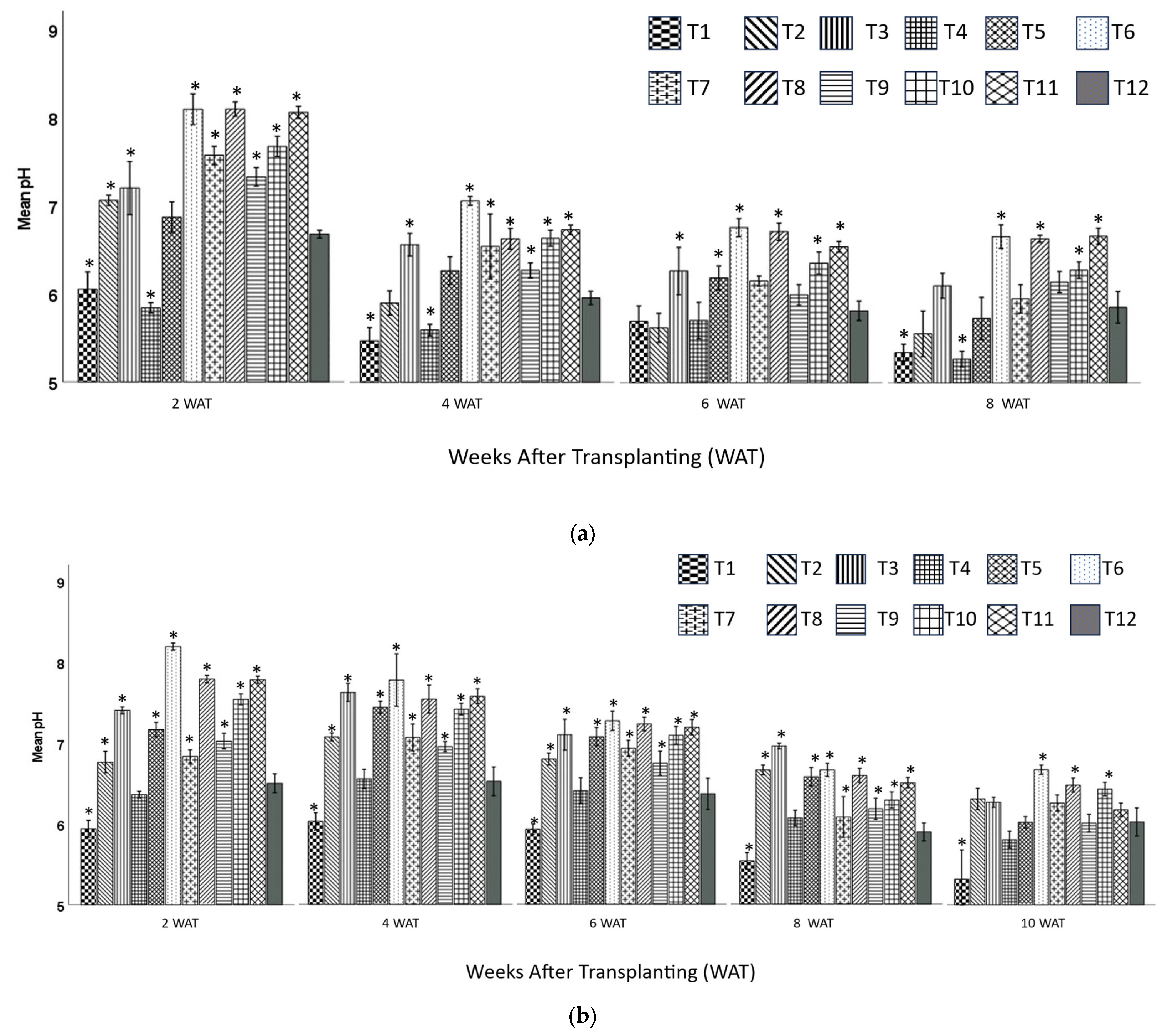
3.1. Physical and Chemical Properties of the Substrates
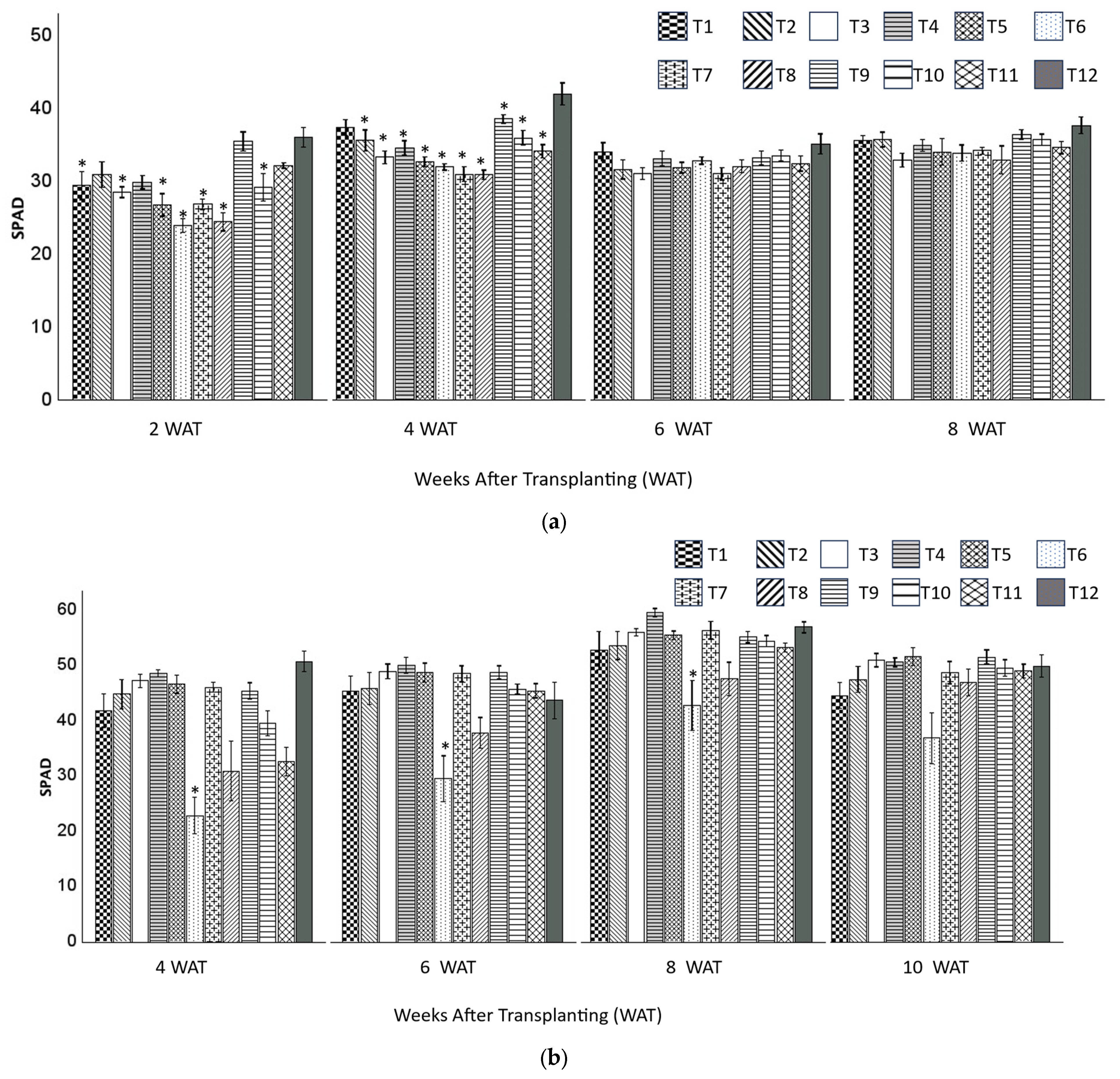
3.2. Plant Growth and Development
4. Discussion
4.1. Physical and Chemical Properties of the Substrates
4.2. Plant Growth and Development
5. Conclusions
Author Contributions
Funding
Data Availability Statement
Conflicts of Interest
References
- National Minerals Information Center Peat—Historical Statistics (Data Series 140). Available online: https://www.usgs.gov/media/files/peat-historical-statistics-data-series-140 (accessed on 4 October 2023).
- Huang, L.; Gu, M. Effects of Biochar on Container Substrate Properties and Growth of Plants—A Review. Horticulturae 2019, 5, 14. [Google Scholar] [CrossRef]
- Sradnick, A.; Werner, M.; Körner, O. Make a Choice: A Rapid Strategy for Minimizing Peat in Horticultural Press Pots Substrates Using a Constrained Mixture Design and Surface Response Approach. PLoS ONE 2023, 18, e0289320. [Google Scholar] [CrossRef]
- Page, S.E.; Siegert, F.; Rieley, J.O.; Boehm, H.D.V.; Jaya, A.; Limin, S. The Amount of Carbon Released from Peat and Forest Fires in Indonesia during 1997. Nature 2002, 420, 61–65. [Google Scholar] [CrossRef]
- Yu, P.; Qin, K.; Niu, G.; Gu, M. Alleviate Environmental Concerns with Biochar as a Container Substrate: A Review. Front. Plant Sci. 2023, 14, 1176646. [Google Scholar] [CrossRef] [PubMed]
- Page, S.E.; Rieley, J.O.; Banks, C.J. Global and Regional Importance of the Tropical Peatland Carbon Pool. Glob. Chang. Biol. 2011, 17, 798–818. [Google Scholar] [CrossRef]
- McCarter, C.P.R.; Wilkinson, S.L.; Moore, P.A.; Waddington, J.M. Ecohydrological Trade-Offs from Multiple Peatland Disturbances: The Interactive Effects of Drainage, Harvesting, Restoration and Wildfire in a Southern Ontario Bog. J. Hydrol. 2021, 601, 126793. [Google Scholar] [CrossRef]
- Gruda, N.S. Increasing Sustainability of Growing Media Constituents and Stand-Alone Substrates in Soilless Culture Systems. Agronomy 2019, 9, 298. [Google Scholar] [CrossRef]
- Beaulieu, J.; Belayneh, B.; Lea-Cox, J.D.; Swett, C.L. Improving Containerized Nursery Crop Sustainability: Effects of Conservation-Driven Adaptations in Soilless Substrate and Water Use on Plant Growth and Soil-Borne Disease Development. HortScience 2022, 57, 674–683. [Google Scholar] [CrossRef]
- Demirbaş, A.; Arin, G. An Overview of Biomass Pyrolysis. Energy Sources 2002, 24, 471–482. [Google Scholar] [CrossRef]
- Weber, K.; Quicker, P. Properties of Biochar. Fuel 2018, 217, 240–261. [Google Scholar] [CrossRef]
- Ding, Y.; Liu, Y.; Liu, S.; Li, Z.; Tan, X.; Huang, X.; Zeng, G.; Zhou, L.; Zheng, B. Biochar to Improve Soil Fertility. A Review. Agron. Sustain. Dev. 2016, 36, 36. [Google Scholar] [CrossRef]
- Liu, Z.; Dugan, B.; Masiello, C.A.; Gonnermann, H.M. Biochar Particle Size, Shape, and Porosity Act Together to Influence Soil Water Properties. PLoS ONE 2017, 12, e0179079. [Google Scholar] [CrossRef]
- Tomczyk, A.; Sokołowska, Z.; Boguta, P. Biochar Physicochemical Properties: Pyrolysis Temperature and Feedstock Kind Effects. Rev. Environ. Sci. Biotechnol. 2020, 19, 191–215. [Google Scholar] [CrossRef]
- Jahromi, N.B.; Walker, F.; Fulcher, A.; Altland, J.; Wright, W.C. Growth Response, Mineral Nutrition, and Water Utilization of Container-Grown Woody Ornamentals Grown in Biochar-Amended Pine Bark. HortScience 2018, 53, 347–353. [Google Scholar] [CrossRef]
- Altland, J.E.; Locke, J.C. Biochar Affects Macronutrient Leaching from a Soilless Substrate. HortScience 2012, 47, 1136–1140. [Google Scholar] [CrossRef]
- Regmi, A.; Singh, S.; Moustaid-Moussa, N.; Coldren, C.; Simpson, C. The Negative Effects of High Rates of Biochar on Violas Can Be Counteracted with Fertilizer. Plants 2022, 11, 491. [Google Scholar] [CrossRef]
- Fascella, G.; Mammano, M.M.; D’Angiolillo, F.; Rouphael, Y. Effects of Conifer Wood Biochar as a Substrate Component on Ornamental Performance, Photosynthetic Activity, and Mineral Composition of Potted Rosa rugosa. J. Hortic. Sci. Biotechnol. 2018, 93, 519–528. [Google Scholar] [CrossRef]
- Huang, L.; Gu, M.; Yu, P.; Zhou, C.; Liu, X. Biochar and Vermicompost Amendments Affect Substrate Properties and Plant Growth of Basil and Tomato. Agronomy 2020, 10, 224. [Google Scholar] [CrossRef]
- HydraFiber Hub. Available online: https://www.hydrafiber.com/ (accessed on 26 February 2024).
- Lahti, S.; Fridefors, L.; Heinänen, S. The Effects of Added Wood Fibre in Peat-Based Growing Medium on Petunia × hybrida. Master’s Thesis, Novia University, Vaasa, Finland, 2022. [Google Scholar]
- Zawadzińska, A.; Salachna, P.; Nowak, J.S.; Kowalczyk, W. Response of Interspecific Geraniums to Waste Wood Fiber Substrates and Additional Fertilization. Agriculture 2021, 11, 119. [Google Scholar] [CrossRef]
- Harris, C.N.; Dickson, R.W.; Fisher, P.R.; Jackson, B.E.; Poleatewich, A.M. Evaluating Peat Substrates Amended with Pine Wood Fiber for Nitrogen Immobilization and Effects on Plant Performance with Container-Grown Petunia. Horttechnology 2020, 30, 107–116. [Google Scholar] [CrossRef]
- Yu, P.; Ong, K.; Ueckert, J.; Gu, M. Biochar and Trichoderma Reduce Containerized Poinsettia Root Rot Caused by Pythium aphanidermatum. HortScience 2023, 58, 846–854. [Google Scholar] [CrossRef]
- Wright, R.D. The Pour-through Nutrient Extraction Procedure. HortScience 1986, 21, 227–229. [Google Scholar] [CrossRef]
- Holcomb, E.J.; Berghage, R.; Fonteno, W. Student Laboratory Exercise to Understand Air and Water Relations in Container Substrates. HortScience 1995, 30, 900B-900. [Google Scholar] [CrossRef]
- Guo, Y.; Niu, G.; Starman, T.; Volder, A.; Gu, M. Poinsettia Growth and Development Response to Container Root Substrate with Biochar. Horticulturae 2018, 4, 1. [Google Scholar] [CrossRef]
- Zhang, L.; Sun, X.; Tian, Y.; Gong, X. Biochar and Humic Acid Amendments Improve the Quality of Composted Green Waste as a Growth Medium for the Ornamental Plant Calathea Insignis. Sci. Hortic. 2014, 176, 70–78. [Google Scholar] [CrossRef]
- Garrett Owen, W.; Lopez, R.G. Evaluating Container Substrates and Their Components Commercial Greenhouse and Nursery Production Local Faces Countless Connections. Available online: https://www.extension.purdue.edu/extmedia/HO/HO-255-W.pdf (accessed on 22 March 2024).
- Vaughn, S.F.; Kenar, J.A.; Thompson, A.R.; Peterson, S.C. Comparison of Biochars Derived from Wood Pellets and Pelletized Wheat Straw as Replacements for Peat in Potting Substrates. Ind. Crop. Prod. 2013, 51, 437–443. [Google Scholar] [CrossRef]
- Dickson, R.W.; Helms, K.M.; Jackson, B.E.; Machesney, L.M.; Lee, J.A. Evaluation of Peat Blended with Pine Wood Components for Effects on Substrate Physical Properties, Nitrogen Immobilization, and Growth of Petunia (Petunia × hybrida Vilm.-Andr.). HortScience 2022, 57, 304–311. [Google Scholar] [CrossRef]
- Conversa, G.; Bonasia, A.; Lazzizera, C.; Elia, A. Influence of Biochar, Mycorrhizal Inoculation, and Fertilizer Rate on Growth and Flowering of Pelargonium (Pelargonium zonale L.) Plants. Front. Plant Sci. 2015, 6, 127299. [Google Scholar] [CrossRef]
- Harris, C. Evaluating Wood Fiber Soilless Soilless Substrates for Effect Aluating Wood Fiber on Plant Performance and Nutrient Management in Container Crops. Master’s Thesis, University of New Hampshire, Durham, NH, USA, 2019. [Google Scholar]
- Atkinson, C.J. How Good Is the Evidence That Soil-Applied Biochar Improves Water-Holding Capacity? Soil Use Manag. 2018, 34, 177–186. [Google Scholar] [CrossRef]
- Pennisi, B.; Thomas, P.A. Essential pH Management in Greenhouse Crops: pH and Plant Nutrition|UGA Cooperative Extension. Available online: https://extension.uga.edu/publications/detail.html?number=B1256&title=essential-ph-management-in-greenhouse-crops-ph-and-plant-nutrition# (accessed on 2 November 2023).
- Garcia-Gomez, A.; Bernal, M.P.; Roig, A. Growth of Ornamental Plants in Two Composts Prepared from Agroindustrial Wastes. Bioresour. Technol. 2002, 83, 81–87. [Google Scholar] [CrossRef] [PubMed]
- Torres, A.P.; Mickelbart, M.V.; Lopez, R.G. Measuring pH and EC of Large Container Crops. Available online: https://www.canr.msu.edu/uploads/resources/pdfs/measuring_ph_and_ec_of_crops_grown_in_large_containers.pdf (accessed on 2 November 2023).
- Whipker, B.E.; Henry, J.; Owen, W.G. Nutritional Monitoring Series Zinnia (Zinnia elegans). Available online: https://fertdirtsquirt.com/pdf/zinnia.pdf (accessed on 20 December 2023).








| Substrate | Size Fraction (%) | ||||
|---|---|---|---|---|---|
| <0.25 mm | 0.25–0.5 mm | 0.5–1 mm | 1–2 mm | >2 mm | |
| 1-20BC:20HF:60P | 13.2 ± 1.2 abc Z | 12.2 ± 2.1 ab | 16.0 ± 0.2 ab | 16.9 ± 1.0 ab | 41.8 ± 1.9 def |
| 2-40BC:20HF:40P | 14.7 ± 2.0 ab | 11.7 ± 1.4 ab | 15.8 ± 0.8 ab | 17.7 ± 0.3 a | 40.1 ± 3.7 def |
| 3-60BC:20HF:20P | 11.8 ± 2.1 bc | 9.6 ± 1.0 bcd | 14.0 ± 0.7 bcd | 17.7 ± 0.0 a | 46.9 ± 3.8 cd |
| 4-20BC:40HF:40P | 14.0 ± 0.9 abc | 11.0 ± 0.4 abc | 14.3 ± 0.5 bc | 16.4 ± 0.5 abc | 44.3 ± 2.0 cde |
| 5-40BC:40HF:20P | 16.2 ± 1.3 ab | 11.9 ± 0.5 ab | 15.4 ± 0.4 ab | 17.5 ± 0.7 a | 39.0 ± 1.4 ef |
| 6-60BC:40HF | 10.0 ± 1.3 cd | 8.7 ± 0.7 cd | 13.0 ± 0.7 cd | 17.8 ± 0.5 a | 50.6 ± 3.0 bc |
| 7-20BC:60HF:20P | 16.5 ± 2.8 a | 12.9 ± 0.7 a | 16.4 ± 0.8 a | 17.7 ± 1.4 a | 36.5 ± 2.3 f |
| 8-40BC:60HF | 15.2 ± 1.5 ab | 12.0 ± 0.8 ab | 15.2 ± 0.1 ab | 17.1 ± 0.9 ab | 40.5 ± 1.4 def |
| 9-20BC:80CS | 6.3 ± 1.1 de | 8.5 ± 0.7 cd | 12.5 ± 0.7 cd | 14.7 ± 0.3 c | 58.0 ± 2.9 ab |
| 10-40BC:60CS | 12.8 ± 0.8 abc | 12.6 ± 0.8 a | 15.4 ± 0.7 ab | 15.4 ± 0.4 bc | 43.8 ± 2.6 cdef |
| 11-60BC:40CS | 6.7 ± 0.7 de | 7.5 ± 1.0 d | 12.1 ± 1.3 d | 17.2 ± 0.2 ab | 56.5 ± 3.3 ab |
| 12-100CS | 5.5 ± 0.7 e | 8.7 ± 0.8 cd | 12.8 ± 0.5 cd | 14.5 ± 0.2 c | 58.5 ± 1.9 a |
| Substrate | Container Capacity (%) | Air Space (%) | Total Porosity (%) | Bulk Density (g cm−3) |
|---|---|---|---|---|
| 20BC:20HF:60P | 56.89 ± 1.8 abc Z | 4.58 ± 2.1 | 61.47 ± 3.2 abc | 0.16 ± 0.05 |
| 40BC:20HF:40P | 57.25 ± 1.3 abc | 5.06 ± 0.8 | 62.31 ± 2.1 abc | 0.13 ± 0.00 |
| 60BC:20HF:20P | 56.18 ± 3.7 bc | 8.39 ± 3.7 | 64.57 ± 2.1 abc | 0.14 ± 0.09 |
| 20BC:40HF:40P | 68.11 ± 0.9 a | 9.83 ± 4.1 | 77.95 ± 3.2 a | 0.12 ± 0.00 |
| 40BC:40HF:20P | 60.38 ± 1.7 ab | 13.35 ± 1.7 | 73.73 ± 2.5 ab | 0.11 ± 0.00 |
| 60BC:40HF | 47.05 ± 1.8 cd | 11.09 ± 5.2 | 58.14 ± 4.3 bc | 0.11 ± 0.01 |
| 20BC:60HF:20P | 61.97 ± 1.7 ab | 11.57 ± 1.5 | 73.54 ± 0.4 ab | 0.10 ± 0.00 |
| 40BC:60HF | 51.75 ± 1.0 bcd | 13.79 ± 6.9 | 65.53 ± 7.6 abc | 0.12 ± 0.01 |
| 20BC:80CS | 44.36 ± 5.6 d | 9.01 ± 0.5 | 53.37 ± 6.0 c | 0.15 ± 0.00 |
| 40BC:60CS | 53.56 ± 1.2 bcd | 5.98 ± 1.2 | 59.53 ± 1.5 bc | 0.18 ± 0.00 |
| 60BC:40CS | 30.55 ± 3.1 e | 5.78 ± 1.4 | 36.34 ± 2.7 d | 0.12 ± 0.01 |
| 100CS | 47.17 ± 1.7 cd | 6.03 ± 0.5 | 53.19 ± 1.1 c | 0.16 ± 0.01 |
Disclaimer/Publisher’s Note: The statements, opinions and data contained in all publications are solely those of the individual author(s) and contributor(s) and not of MDPI and/or the editor(s). MDPI and/or the editor(s) disclaim responsibility for any injury to people or property resulting from any ideas, methods, instructions or products referred to in the content. |
© 2024 by the authors. Licensee MDPI, Basel, Switzerland. This article is an open access article distributed under the terms and conditions of the Creative Commons Attribution (CC BY) license (https://creativecommons.org/licenses/by/4.0/).
Share and Cite
Chen, L.; Rycyna, J.; Yu, P. Investigating the Effect of Hydrafiber and Biochar as a Substitute for Peat-Based Substrate for Zinnia (Zinnia elegans) and Snapdragon (Antirrhinum majus) Production. Horticulturae 2024, 10, 589. https://doi.org/10.3390/horticulturae10060589
Chen L, Rycyna J, Yu P. Investigating the Effect of Hydrafiber and Biochar as a Substitute for Peat-Based Substrate for Zinnia (Zinnia elegans) and Snapdragon (Antirrhinum majus) Production. Horticulturae. 2024; 10(6):589. https://doi.org/10.3390/horticulturae10060589
Chicago/Turabian StyleChen, Lilin, Julia Rycyna, and Ping Yu. 2024. "Investigating the Effect of Hydrafiber and Biochar as a Substitute for Peat-Based Substrate for Zinnia (Zinnia elegans) and Snapdragon (Antirrhinum majus) Production" Horticulturae 10, no. 6: 589. https://doi.org/10.3390/horticulturae10060589
APA StyleChen, L., Rycyna, J., & Yu, P. (2024). Investigating the Effect of Hydrafiber and Biochar as a Substitute for Peat-Based Substrate for Zinnia (Zinnia elegans) and Snapdragon (Antirrhinum majus) Production. Horticulturae, 10(6), 589. https://doi.org/10.3390/horticulturae10060589

