Reduced Root Volume at Establishment, Canopy Growth and Fruit Production in ‘Lapins’/‘Colt’ and ‘Regina’/‘Gisela 12’ Sweet Cherry Trees
Abstract
1. Introduction
2. Materials and Methods
2.1. Plant Material and Site Description
2.2. Treatments
2.3. Evaluations
2.4. Statistical Analysis
3. Results
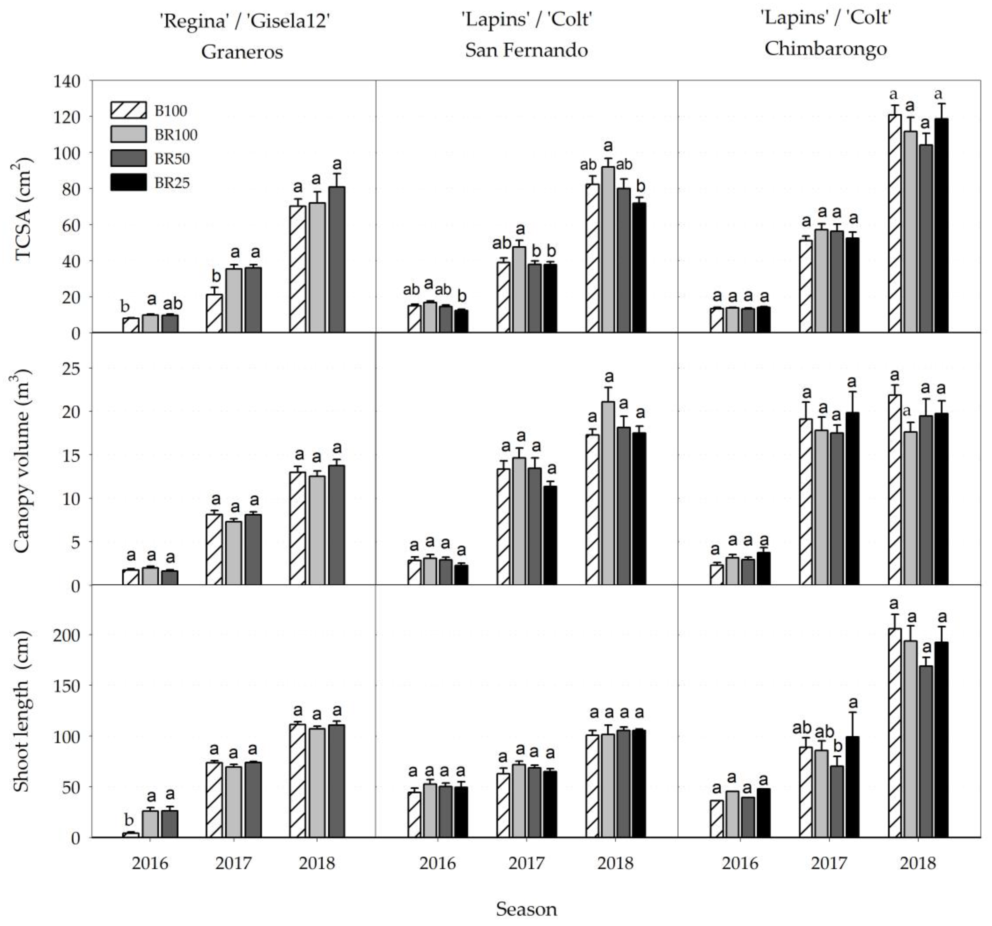
3.1. Vegetative Growth and Survival
3.2. Foliar Mineral Content
3.3. Fruit Production and Fruit Quality
4. Discussion
5. Conclusions
Author Contributions
Funding
Data Availability Statement
Acknowledgments
Conflicts of Interest
References
- Bujdosó, G.; Hrotkó, K. Cherry production. In Cherries: Botany, Production and Uses; Quero-García, J., Iezzoni, A., Puławska, J., Lang, G., Eds.; CABI Publishing: Wallingford, UK, 2017; pp. 1–13. [Google Scholar]
- CIREN-ODEPA Estadísticas Productivas. Available online: https://www.odepa.gob.cl/estadisticas-del-sector/estadisticas-productivas (accessed on 20 February 2023).
- AGV Anuario de Viveros 2022. Available online: https://viverosdechile.cl/anuario-agv/ (accessed on 20 February 2023).
- ODEPA Comercio Exterior. Available online: https://www.odepa.gob.cl/estadisticas-del-sector/comercio-exterior (accessed on 20 February 2023).
- Grossnickle, S.C. Importance of root growth in overcoming planting stress. New For. 2005, 30, 273–294. [Google Scholar] [CrossRef]
- Esen, D.; Yildiz, O.; Esen, U.; Edis, S.; Cetintas, C. Effects of cultural treatments, seedling type and morphological characteristics on survival and growth of wild cherry seedlings in Turkey. Iforest-Biogeosci. For. 2012, 5, 283–289. [Google Scholar] [CrossRef]
- Neilsen, G.H.; Neilsen, D.; Forge, T. Environmental Limiting Factors for Cherry Production. In Cherries: Botany, Production and Uses; Quero-García, J., Iezzoni, A., Putawska, J., Lang, G., Eds.; CABI Publishing: Boston, MA, USA, 2017; pp. 189–222. [Google Scholar]
- Koumanov, K.S.; Long, L.E. Site preparation and orchard infrastructure. In Cherries: Botany, Production and Uses; Quero-García, J., Iezzoni, A., Pulawska, J., Lang, G., Eds.; CABI Publishing: Boston, MA, USA, 2017; pp. 223–243. [Google Scholar]
- Robinson, T.L. Recent advances and future directions in orchard planting systems. Acta Hortic. 2007, 732, 367–381. [Google Scholar] [CrossRef]
- Ayala, M.; Lang, G.A. Morphology, Cropping Physiology and Canopy Training. In Cherries: Botany, Production and Uses; Quero-García, J., Iezzoni, A., Pulawska, J., Lang, G.A., Eds.; CABI Publishing: Boston, MA, USA, 2017; pp. 269–304. [Google Scholar]
- Grossnickle, S.C.; El-Kassaby, Y.A. Bareroot versus container stocktypes: A performance comparison. New For. 2016, 47, 1–51. [Google Scholar] [CrossRef]
- Hrotkó, K.; Magyar, L.; Simon, G.; Gyeviki, M. Development in intensive orchard systems of cherries in Hungary. Int. J. Hortic. Sci. 2007, 13, 76–86. [Google Scholar] [CrossRef]
- Neri, D.; Mazzoni, M.; Zucconi, F.; Dradi, G. Feathering control in sweet cherry (Prunus avium L.) nursery, by deblading and cytokinin. Acta Hortic. 2004, 636, 119–127. [Google Scholar] [CrossRef]
- Hochmuth, G.; Cantliffe, D.; Chandler, C.; Stanley, C.; Bish, E.; Waldo, E.; Legard, D.; Duval, J. Containerized Strawberry Transplants Reduce Establishment-Period Water Use and Enhance Early Growth and Flowering Compared with Bare-Root Plants. HortTechnology 2006, 16, 46–54. [Google Scholar] [CrossRef]
- Levinsson, A. Post-transplant shoot growth of trees from five different production methods is affected by site and species. Arboricult. Urban 2013, 39, 201–210. [Google Scholar] [CrossRef]
- Watson, G.W.; Hewitt, A.M. Development of Root Architecture in Thirty-seven Tree Species of Field Grown Nursery Stock1. J. Environ. Hortic. 2020, 38, 143–148. [Google Scholar] [CrossRef]
- McKay, H.M. A review of the effect of stresses between lifting and planting on nursery stock quality and performance. New For. 1997, 13, 369–399. [Google Scholar] [CrossRef]
- Burdett, A.N. Physiological processes in plantation establishment and the development of specifications for forest planting stock. Can. J. For. Res. 1990, 20, 415–427. [Google Scholar] [CrossRef]
- Rietveld, W.J. Transplanting Stress in Bareroot Conifer Seedlings: Its Development and Progression to Establishment. N. J. Appl. For. 1989, 6, 99–107. [Google Scholar] [CrossRef]
- Allen, K.S.; Harper, R.W.; Bayer, A.; Brazee, N.J. A review of nursery production systems and their influence on urban tree survival. Urban For. Urban Green. 2017, 21, 183–191. [Google Scholar] [CrossRef]
- Amoroso, G.; Frangi, P.; Piatti, R.; Ferrini, F.; Fini, A.; Faoro, M. Effect of Container Design on Plant Growth and Root Deformation of Littleleaf Linden and Field Elm. HortScience 2010, 45, 1824–1829. [Google Scholar] [CrossRef]
- Jakab-Ilyefalvi, Z. Root system distribution of sweet cherry trees grafted on vigorous rootstock in molic eutricambosoil in Northern Transylvania. Bull. Univ. Agric. Sci. Vet. Med. Cluj-Napoca. Hortic. 2021, 78, 71–75. [Google Scholar] [CrossRef]
- Lang, G.A. Precocious, Dwarfing, and Productive—How Will New Cherry Rootstocks Impact the Sweet Cherry Industry? HortTechnology 2000, 10, 719–725. [Google Scholar] [CrossRef]
- Long, L.E.; Iezzoni, A.; Seavert, C.; Auvil, T.; Kaiser, C.; Brewer, L.J. New cherry rootstock and cultivar interactions directly affect orchard profitability. Acta Hortic. 2019, 1235, 197–206. [Google Scholar] [CrossRef]
- Morandi, B.; Manfrini, L.; Lugli, S.; Tugnoli, A.; Boini, A.; Perulli, G.D.; Bresilla, K.; Venturi, M.; Corelli Grappadelli, L. Sweet cherry water relations and fruit production efficiency are affected by rootstock vigor. J. Plant Physiol. 2019, 237, 43–50. [Google Scholar] [CrossRef] [PubMed]
- Nour, A.E.M.; Weibel, D.L. Evaluation of root characteristics in grain sorghum. Agron. J. 1978, 70, 217–218. [Google Scholar] [CrossRef]
- Sadzawka, R.A.; Carrasco, R.M.A.; Demanet, F.R.; Flores, P.H.; Grez, Z.R.; Mora, G.M.d.l.L.; Neaman, A. Métodos de Análisis de Tejidos Vegetales. Available online: https://hdl.handle.net/20.500.14001/8570 (accessed on 20 February 2023).
- Long, L.; Lang, S.; Musacchi, S.; Whiting, M. PNW 667: Cherry Training Systems; Pacific Northwest Extension Publication: Moscow, ID, USA, 2015. [Google Scholar]
- Hrotkó, K.; Rozpara, E. Rootstocks and Improvement. In Cherries: Botany, Production and Uses; Quero-García, J., Iezzoni, A., Putawska, J., Lang, G., Eds.; CABI Publishing: Boston, MA, USA, 2017; pp. 117–139. [Google Scholar]
- Symeonidou, M.V.; Buckley, G.P. The effect of pre-planting desiccation stress and root pruning on the physiological condition and subsequent field performance of one year old Prunus avium and P. cerasifera seedlings. J. Hortic. Sci. Biotechnol. 1999, 74, 386–394. [Google Scholar] [CrossRef]
- Rytter, L.; Ericsson, T.; Rytter, R. Effects of Demand-driven Fertilization on Nutrient Use, Root:Plant Ratio and Field Performance of Betula pendula and Picea abies. Scand. J. For. Res. 2003, 18, 401–415. [Google Scholar] [CrossRef]
- Kupka, I. The root-plant ratio changes in the first growing periods of wild cherry (Prunus avium L.) plantations. J. For. Sci. 2007, 53, 113–118. [Google Scholar] [CrossRef]
- Bonomelli, C.; Bonilla, C.A.; Acuña, E.; Vargas, P.A. Seasonal pattern of root growth in relation to shoot phenology and soil temperature in sweet cherry trees (Prunus avium): A preliminary study in central Chile. Cienc. E Investig. Agrar. Rev. Latinoam. De Cienc. De La Agric. 2012, 39, 127–136. [Google Scholar] [CrossRef]
- Baddeley, J.A.; Watson, C.A. Seasonal patterns of fine-root production and mortality in Prunus avium in Scotland. Can. J. For. Res. 2004, 34, 1534–1537. [Google Scholar] [CrossRef]
- Munro, P.; Forge, T.A.; Jones, M.D.; Nelson, L.M. Soil biota from newly established orchards are more beneficial to early growth of cherry trees than biota from older orchards. Appl. Soil Ecol. 2020, 155, 103658. [Google Scholar] [CrossRef]
- Franco, J.A.; Bañón, S.; Vicente, M.J.; Miralles, J.; Martínez-Sánchez, J.J. Root development in horticultural plants grown under abiotic stress conditions—A review. J. Hortic. Sci. Biotechnol. 2011, 86, 543–556. [Google Scholar] [CrossRef]
- Levinsson, A.; Sæbø, A.; Fransson, A.-M. Influence of nursery production system on water status in transplanted trees. Sci. Hortic. 2014, 178, 124–131. [Google Scholar] [CrossRef]



| Location | Latitude | Longitude | Cultivar | Training System | Tree Spacing (m) | Planting Density (trees ha−1) |
|---|---|---|---|---|---|---|
| Graneros | 34°03′ S | 70°42′ W | ‘Regina’/‘Gisela 12’ | bi-axis | 4.0 × 2.0 | 1250 |
| San Fernando | 34°34′ S | 70°56′ W | ‘Lapins’/‘Colt’ | multi-axis | 3.5 × 2.0 | 1428 |
| Chimbarongo | 34°42′ S | 71°00′ W | ‘Lapins’/‘Colt’ | bi-axis | 4.5 × 2.25 | 988 |
| Season | Graneros | San Fernando | Chimbarongo | |||||||||
|---|---|---|---|---|---|---|---|---|---|---|---|---|
| Temperature | GDD | Temperature | GDD | Temperature | GDD | |||||||
| Mean | Max. | Min. | Mean | Max. | Min. | Mean | Max. | Min. | ||||
| 2016 | 16.1 | 24.5 | 7.5 | 745 | 17.0 | 24.6 | 10.6 | 894 | 15.7 | 23.2 | 9.3 | 768 |
| 2017 | 14.0 | 22.3 | 6.0 | 617 | 16.3 | 23.1 | 10.3 | 805 | 15.2 | 22.1 | 9.1 | 697 |
| 2018 | 14.8 | 22.9 | 6.7 | 694 | 15.9 | 22.9 | 9.9 | 767 | 15.5 | 22.7 | 9.2 | 729 |
| Treatment | ‘Regina’/‘Gisela 12’ Graneros | ‘Lapins’/‘Colt’ San Fernando | ‘Lapins’/‘Colt’ Chimbarongo | ||||||
|---|---|---|---|---|---|---|---|---|---|
| Root Volume | Plant Height | Stem Diameter | Root Volume | Plant Height | Stem Diameter | Root Volume | Plant Height | Stem Diameter | |
| (cm3) | (m) | (mm) | (cm3) | (m) | (mm) | (cm3) | (m) | (mm) | |
| BR100 | 197 a | 1.70 a | 16 a | 401 a | 1.75 a | 18 a | 410 a | 1.74 a | 19 a |
| BR50 | 104 b | 1.72 a | 16 a | 206 b | 1.74 a | 16 a | 205 b | 1.74 a | 15 b |
| BR25 | n.a. | n.a | n.a | 105 c | 1.74 a | 16 a | 100 c | 1.74 a | 18 a |
| B100 | n.a. | 1.44 b | 12 b | n.a. | 1.67 b | 15 a | n.a. | 1.70 a | 15 b |
| Cultivar Location | Treatment | N | P | K | Ca | Mg | Mn | Zn | Cu | Fe | B |
|---|---|---|---|---|---|---|---|---|---|---|---|
| ‘Regina’/‘Gisela 12’ Graneros | BR100 | 3.4 | 0.21 | 2.4 | 1.0 | 0.31 | 104 | 35 | 99 | 165 | 77 |
| BR50 | 3.3 | 0.20 | 2.5 | 1.0 | 0.31 | 106 | 28 | 76 | 252 | 83 | |
| B100 | 3.3 | 0.20 | 2.5 | 1.0 | 0.31 | 103 | 34 | 99 | 137 | 77 | |
| ‘Lapins’/‘Colt’ San Fernado | BR100 | 3.1 | 0.19 | 1.4 | 2.0 | 0.43 | 194 | 13 | 10 | 330 | 88 |
| BR50 | 2.8 | 0.20 | 1.3 | 1.9 | 0.43 | 118 | 15 | 10 | 351 | 90 | |
| BR25 | 2.7 | 0.21 | 1.7 | 2.0 | 0.42 | 135 | 13 | 11 | 491 | 93 | |
| B100 | 2.7 | 0.21 | 1.5 | 2.1 | 0.39 | 111 | 13 | 9 | 368 | 84 | |
| ‘Lapins’/‘Colt’ Chimbarongo | BR100 | 1.8 | 0.26 | 1.6 | 1.6 | 0.48 | 69 | 44 | 7 | 104 | 86 |
| BR50 | 1.9 | 0.25 | 1.5 | 1.8 | 0.52 | 76 | 45 | 7 | 108 | 92 | |
| BR25 | 2.0 | 0.24 | 1.4 | 1.7 | 0.46 | 71 | 45 | 7 | 94 | 90 | |
| B100 | 2.0 | 0.25 | 1.5 | 1.8 | 0.52 | 77 | 42 | 6 | 97 | 88 |
| Treatment | ‘Regina’/‘Gisela 12’ Graneros | ‘Lapins’/‘Colt’ San Fernando | ‘Lapins’/‘Colt’ Chimbarongo |
|---|---|---|---|
| BR100 | n.d. | 1.2 a | 4.6 a |
| BR50 | n.d. | 1.0 a | 3.1 a |
| BR25 | n.d. | 0.8 a | 3.3 a |
| B100 | n.d. | 1.1 a | 4.5 a |
| ‘Regina’/‘Gisela 12’ Graneros | ‘Lapins’/‘Colt’ San Fernando | ‘Lapins’/‘Colt’ Chimbarongo | ||||||||||
|---|---|---|---|---|---|---|---|---|---|---|---|---|
| Treatment | Weight (g) | Diameter (mm) | Firmness (g mm−1) | SSC (°Bx) | Weight (g) | Diameter (mm) | Firmness (g mm−1) | SSC (°Bx) | Weight (g) | Diameter (mm) | Firmness (g mm−1) | SSC (°Bx) |
| BR100 | 10.1 a | 27.0 a | 273 a | 22.2 a | 10.6 b | 26.7 b | 267 ab | 22.5 ab | 9.8 b | 25.4 b | 468 a | 19.3 a |
| BR50 | 9.5 b | 26.0 b | 226 b | 22.7 a | 10.7 b | 26.5 b | 271 ab | 22.5 ab | 10.6 a | 25.8 b | 302 c | 17.2 b |
| BR25 | n.a. | n.a. | n.a. | n.a. | 10.0 b | 26.0 b | 248 b | 21.5 b | 8.8 c | 26.1 b | 327 b | 16.8 b |
| B100 | 9.2 b | 25.4 b | 266 a | 19.7 b | 11.6 a | 27.9 a | 274 a | 23.3 a | 10.4 ab | 27.4 a | 291 c | 16.7 b |
Disclaimer/Publisher’s Note: The statements, opinions and data contained in all publications are solely those of the individual author(s) and contributor(s) and not of MDPI and/or the editor(s). MDPI and/or the editor(s) disclaim responsibility for any injury to people or property resulting from any ideas, methods, instructions or products referred to in the content. |
© 2024 by the authors. Licensee MDPI, Basel, Switzerland. This article is an open access article distributed under the terms and conditions of the Creative Commons Attribution (CC BY) license (https://creativecommons.org/licenses/by/4.0/).
Share and Cite
Yuri, J.A.; Simeone, D.; Fuentes, M.; Sepúlveda, Á.; Palma, M.; Moya, M.; Sánchez-Contreras, J. Reduced Root Volume at Establishment, Canopy Growth and Fruit Production in ‘Lapins’/‘Colt’ and ‘Regina’/‘Gisela 12’ Sweet Cherry Trees. Horticulturae 2024, 10, 579. https://doi.org/10.3390/horticulturae10060579
Yuri JA, Simeone D, Fuentes M, Sepúlveda Á, Palma M, Moya M, Sánchez-Contreras J. Reduced Root Volume at Establishment, Canopy Growth and Fruit Production in ‘Lapins’/‘Colt’ and ‘Regina’/‘Gisela 12’ Sweet Cherry Trees. Horticulturae. 2024; 10(6):579. https://doi.org/10.3390/horticulturae10060579
Chicago/Turabian StyleYuri, José Antonio, Daniela Simeone, Mauricio Fuentes, Álvaro Sepúlveda, Miguel Palma, Mariana Moya, and Javier Sánchez-Contreras. 2024. "Reduced Root Volume at Establishment, Canopy Growth and Fruit Production in ‘Lapins’/‘Colt’ and ‘Regina’/‘Gisela 12’ Sweet Cherry Trees" Horticulturae 10, no. 6: 579. https://doi.org/10.3390/horticulturae10060579
APA StyleYuri, J. A., Simeone, D., Fuentes, M., Sepúlveda, Á., Palma, M., Moya, M., & Sánchez-Contreras, J. (2024). Reduced Root Volume at Establishment, Canopy Growth and Fruit Production in ‘Lapins’/‘Colt’ and ‘Regina’/‘Gisela 12’ Sweet Cherry Trees. Horticulturae, 10(6), 579. https://doi.org/10.3390/horticulturae10060579

