Exploring the Potential of Biostimulants to Optimize Lettuce Cultivation in Coupled and Decoupled Aquaponics Systems: Growth Performance, Functional Characteristics and Metabolomic Analysis
Abstract
1. Introduction
2. Materials and Methods
2.1. Experimental Setup
- (1)
- HP (Hydroponics—no biostimulant)
- (2)
- HP-BS1 (Hydroponics—1st biostimulant formulation)
- (3)
- HP-BS2 (Hydroponics—2nd biostimulant formulation)
- (4)
- DCAP (Decoupled aquaponics—no biostimulant)
- (5)
- DCAP-BS1 (Decoupled aquaponics—1st biostimulant formulation)
- (6)
- DCAP-BS2 (Decoupled aquaponics—2nd biostimulant formulation)
- (7)
- CAP (Coupled aquaponics—no biostimulant)
- (8)
- CAP-BS1 (Coupled aquaponics—1st biostimulant formulation)
- (9)
- CAP-BS2 (Coupled aquaponics—2nd biostimulant formulation)
| BS1 | BS2 | |
|---|---|---|
| Free amino acids | 12.5 | 14.4 |
| Nitrogen (N) total | 3 | 3 |
| Organic nitrogen (N) | 3 | 3 |
| Potassium oxide (K2O) | 1.2 | 1.2 |
| Total amino acids | 14.5 | 16.8 |
| Low-molecular-weight peptides | 45 | 49.2 |
| Organic material | - | 28.8 |
| Azotobacter chroococcum | No | Yes |
| pH | 5.8 | 5.5 |
| Amino acids | Ala, Arg, Asp, Cys, Gly, Glu, Hyp, His, Iso, Leu, Lys, Met, Phe, Pro, Ser, Thr, Tyr, Va | |
2.2. Measurements
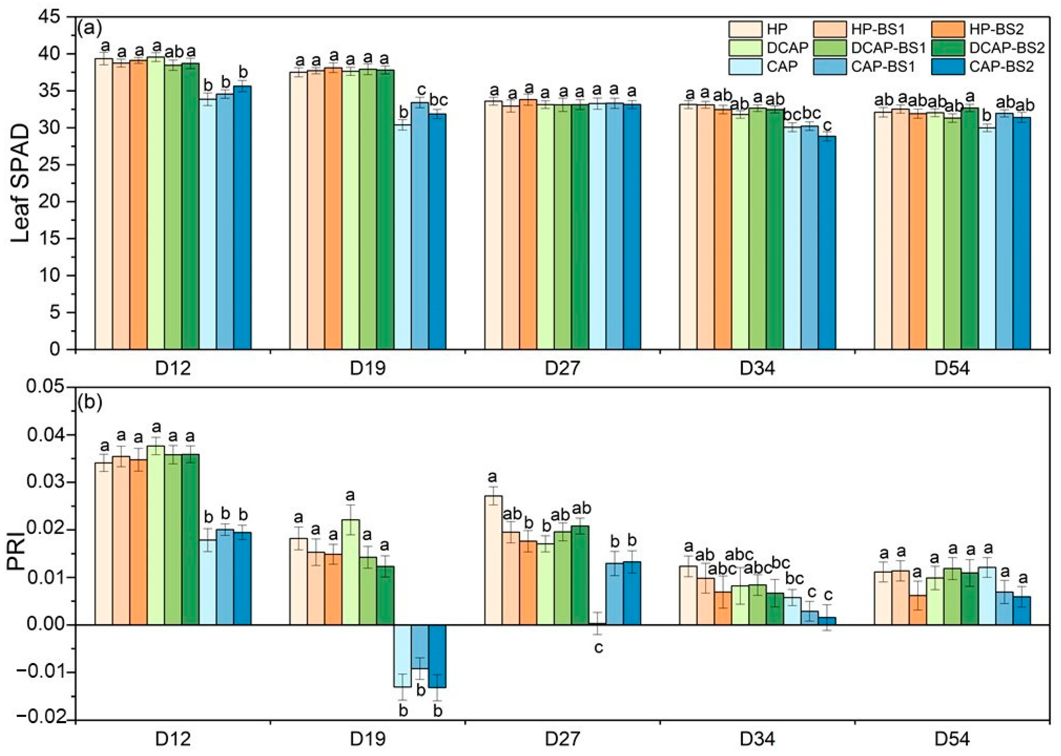
2.2.1. Plant Growth Assessment
2.2.2. Plant Physiology Parameters
2.2.3. Metabolomics Analysis
2.3. Statistical Analysis
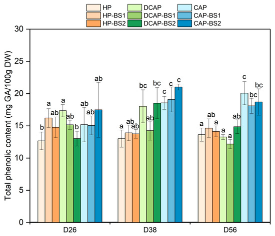
3. Results
4. Discussion
5. Conclusions
Supplementary Materials
Author Contributions
Funding
Institutional Review Board Statement
Data Availability Statement
Conflicts of Interest
References
- Joyce, A.; Goddek, S.; Kotzen, B.; Wuertz, S. Aquaponics: Closing the Cycle on Limited Water, Land and Nutrient Resources. In Aquaponics Food Production Systems: Combined Aquaculture and Hydroponic Production Technologies for the Future; Goddek, S., Joyce, A., Kotzen, B., Burnell, G.M., Eds.; Springer International Publishing: Cham, Switzerland, 2019; pp. 19–34. ISBN 978-3-030-15943-6. [Google Scholar]
- Goddek, S.; Joyce, A.; Kotzen, B.; Burnell, G.M. (Eds.) Aquaponics Food Production Systems: Combined Aquaculture and Hydroponic Production Technologies for the Future; Springer International Publishing: Cham, Switzerland, 2019; ISBN 978-3-030-15942-9. [Google Scholar]
- Junge, R.; König, B.; Villarroel, M.; Komives, T.; Jijakli, M. Strategic Points in Aquaponics. Water 2017, 9, 182. [Google Scholar] [CrossRef]
- Yang, T.; Kim, H.-J. Comparisons of Nitrogen and Phosphorus Mass Balance for Tomato-, Basil-, and Lettuce-Based Aquaponic and Hydroponic Systems. J. Clean. Prod. 2020, 274, 122619. [Google Scholar] [CrossRef]
- Baganz, G.F.M.; Junge, R.; Portella, M.C.; Goddek, S.; Keesman, K.J.; Baganz, D.; Staaks, G.; Shaw, C.; Lohrberg, F.; Kloas, W. The Aquaponic Principle—It Is All about Coupling. Rev. Aquac. 2022, 14, 252–264. [Google Scholar] [CrossRef]
- Palm, H.W.; Knaus, U.; Appelbaum, S.; Goddek, S.; Strauch, S.M.; Vermeulen, T.; Haïssam Jijakli, M.; Kotzen, B. Towards Commercial Aquaponics: A Review of Systems, Designs, Scales and Nomenclature. Aquac. Int. 2018, 26, 813–842. [Google Scholar] [CrossRef]
- Cristofano, F.; El-Nakhel, C.; Rouphael, Y. Biostimulant Substances for Sustainable Agriculture: Origin, Operating Mechanisms and Effects on Cucurbits, Leafy Greens, and Nightshade Vegetables Species. Biomolecules 2021, 11, 1103. [Google Scholar] [CrossRef] [PubMed]
- Aslanidou, M.; Elvanidi, A.; Mourantian, A.; Levizou, E.; Mente, E.; Katsoulas, N. Nutrients Use Efficiency in Coupled and Decoupled Aquaponic Systems. Horticulturae 2023, 9, 1077. [Google Scholar] [CrossRef]
- Mourantian, A.; Aslanidou, M.; Mente, E.; Katsoulas, N.; Levizou, E. Basil Functional and Growth Responses When Cultivated via Different Aquaponic and Hydroponics Systems. PeerJ 2023, 11, e15664. [Google Scholar] [CrossRef]
- Bittsánszky, A.; Uzinger, N.; Gyulai, G.; Mathis, A.; Junge, R.; Villarroel, M.; Kotzen, B.; Kőmíves, T. Nutrient Supply of Plants in Aquaponic Systems. Ecocycles 2016, 2, 17–20. [Google Scholar] [CrossRef]
- Tsoumalakou, E.; Mente, E.; Kormas, K.A.; Katsoulas, N.; Vlahos, N.; Kapsis, P.; Levizou, E. Precise Monitoring of Lettuce Functional Responses to Minimal Nutrient Supplementation Identifies Aquaponic System’s Nutrient Limitations and Their Time-Course. Agriculture 2022, 12, 1278. [Google Scholar] [CrossRef]
- Rayhan, M.Z.; Rahman, M.A.; Hossain, M.A.; Akter, T.; Akter, T. Effect of Stocking Density on Growth Performance of Monosex Tilapia (Oreochromis niloticus) with Indian Spinach (Basella alba) in a Recirculating Aquaponic System. Int. J. Environ. Agric. Biotechnol. 2018, 3, 343–349. [Google Scholar] [CrossRef]
- Monsees, H.; Suhl, J.; Paul, M.; Kloas, W.; Dannehl, D.; Würtz, S. Lettuce (Lactuca sativa, Variety salanova) Production in Decoupled Aquaponic Systems: Same Yield and Similar Quality as in Conventional Hydroponic Systems but Drastically Reduced Greenhouse Gas Emissions by Saving Inorganic Fertilizer. PLoS ONE 2019, 14, e0218368. [Google Scholar] [CrossRef] [PubMed]
- Parađiković, N.; Teklić, T.; Zeljković, S.; Lisjak, M.; Špoljarević, M. Biostimulants Research in Some Horticultural Plant Species—A Review. Food Energy Secur. 2019, 8, e00162. [Google Scholar] [CrossRef]
- Irani, H.; ValizadehKaji, B.; Naeini, M.R. Biostimulant-Induced Drought Tolerance in Grapevine Is Associated with Physiological and Biochemical Changes. Chem. Biol. Technol. Agric. 2021, 8, 5. [Google Scholar] [CrossRef]
- Abdelkader, M.; Voronina, L.; Baratova, L.; Shelepova, O.; Zargar, M.; Puchkov, M.; Loktionova, E.; Amantayev, B.; Kipshakbaeva, A.; Arinov, B. Biostimulants-Based Amino Acids Augment Physio-Biochemical Responses and Promote Salinity Tolerance of Lettuce Plants (Lactuca sativa L.). Horticulturae 2023, 9, 807. [Google Scholar] [CrossRef]
- Du Jardin, P. Plant Biostimulants: Definition, Concept, Main Categories and Regulation. Sci. Hortic. 2015, 196, 3–14. [Google Scholar] [CrossRef]
- Baudoin, W. Good Agricultural Practices for Greenhouse Vegetable Crops: Principles for Mediterranean Climate Areas; Organisation des Nations Unies pour L’alimentation et L’agriculture, Société Internationale de la Science Horticole, Centre National pour la Recherche Agricole et la Vulgarisation, Eds.; FAO Plant Production and Protection Paper; FAO: Rome, Italy, 2013; ISBN 978-92-5-107649-1. [Google Scholar]
- Strasser, R.J.; Srivastava, A.; Tsimilli-Michael, M. The Fluorescence Transient as a Tool to Characterize and Screen Photosynthetic Samples. Probing Photosynth. Mech. Regul. Adapt. 2000, 25, 445–483. [Google Scholar]
- Tsoumalakou, E.; Mente, E.; Vlahos, N.; Levizou, E. Spinach Responds to Minimal Nutrient Supplementation in Aquaponics by Up-Regulating Light Use Efficiency, Photochemistry, and Carboxylation. Horticulturae 2023, 9, 291. [Google Scholar] [CrossRef]
- Ainalidou, A.; Tanou, G.; Belghazi, M.; Samiotaki, M.; Diamantidis, G.; Molassiotis, A.; Karamanoli, K. Integrated Analysis of Metabolites and Proteins Reveal Aspects of the Tissue-Specific Function of Synthetic Cytokinin in Kiwifruit Development and Ripening. J. Proteom. 2016, 143, 318–333. [Google Scholar] [CrossRef]
- Mellidou, I.; Ainalidou, A.; Papadopoulou, A.; Leontidou, K.; Genitsaris, S.; Karagiannis, E.; Van De Poel, B.; Karamanoli, K. Comparative Transcriptomics and Metabolomics Reveal an Intricate Priming Mechanism Involved in PGPR-Mediated Salt Tolerance in Tomato. Front. Plant Sci. 2021, 12, 713984. [Google Scholar] [CrossRef]
- Roosta, H.R.; Hamidpour, M. Mineral Nutrient Content of Tomato Plants in Aquaponic and Hydroponic Systems: Effect of Foliar Application of Some Macro- and Micro-Nutrients. J. Plant Nutr. 2013, 36, 2070–2083. [Google Scholar] [CrossRef]
- Maucieri, C.; Nicoletto, C.; Junge, R.; Schmautz, Z.; Sambo, P.; Borin, M. Hydroponic Systems and Water Management in Aquaponics: A Review. Ital. J. Agron. 2018, 13, 1–11. [Google Scholar] [CrossRef]
- Yang, T.; Kim, H.-J. Characterizing Nutrient Composition and Concentration in Tomato-, Basil-, and Lettuce-Based Aquaponic and Hydroponic Systems. Water 2020, 12, 1259. [Google Scholar] [CrossRef]
- Nozzi, V.; Graber, A.; Schmautz, Z.; Mathis, A.; Junge, R. Nutrient Management in Aquaponics: Comparison of Three Approaches for Cultivating Lettuce, Mint and Mushroom Herb. Agronomy 2018, 8, 27. [Google Scholar] [CrossRef]
- Delaide, B.; Goddek, S.; Gott, J.; Soyeurt, H.; Jijakli, M. Lettuce (Lactuca sativa L. Var. Sucrine) Growth Performance in Complemented Aquaponic Solution Outperforms Hydroponics. Water 2016, 8, 467. [Google Scholar] [CrossRef]
- Piñero, M.C.; Otálora, G.; Collado-González, J.; López-Marín, J.; Del Amor, F.M. Effects of Selenium on the Chlorophylls, Gas Exchange, Antioxidant Activity and Amino Acid Composition of Lettuce Grown under an Aquaponics System. Horticulturae 2021, 8, 30. [Google Scholar] [CrossRef]
- Lenz, G.L.; Loss, A.; Lourenzi, C.R.; Luiz De Alcantara Lopes, D.; Siebeneichler, L.D.M.; Brunetto, G. Lettuce Growth in Aquaponic System and in Soil Fertilized with Fish Sludge. Aquac. Res. 2021, 52, 5008–5021. [Google Scholar] [CrossRef]
- Anderson, T.; Martini, M.; De Villiers, D.; Timmons, M. Growth and Tissue Elemental Composition Response of Butterhead Lettuce (Lactuca sativa, Cv. Flandria) to Hydroponic Conditions at Different PH and Alkalinity. Horticulturae 2017, 3, 41. [Google Scholar] [CrossRef]
- Schneider, O.; Sereti, V.; Eding, E.H.; Verreth, J.A.J. Analysis of Nutrient Flows in Integrated Intensive Aquaculture Systems. Aquac. Eng. 2005, 32, 379–401. [Google Scholar] [CrossRef]
- Roosta, H.R. Effects of Foliar Spray of K on Mint, Radish, Parsley and Coriander Plants in Aquaponic System. J. Plant Nutr. 2014, 37, 2236–2254. [Google Scholar] [CrossRef]
- Patel, M.; Fatnani, D.; Parida, A.K. Potassium Deficiency Stress Tolerance in Peanut (Arachis hypogaea) through Ion Homeostasis, Activation of Antioxidant Defense, and Metabolic Dynamics: Alleviatory Role of Silicon Supplementation. Plant Physiol. Biochem. 2022, 182, 55–75. [Google Scholar] [CrossRef]
- Krastanova, M.; Sirakov, I.; Ivanova-Kirilova, S.; Yarkov, D.; Orozova, P. Aquaponic Systems: Biological and Technological Parameters. Biotechnol. Biotechnol. Equip. 2022, 36, 305–316. [Google Scholar] [CrossRef]
- Harika, N.; Verma, A.K.; Krishnani, K.K.; Hittinahalli, C.M.; Reddy, R.; Pai, M. Supplementation of Potassium in Aquaculture Wastewater and Its Effect on Growth Performance of Basil (Ocimum basilicum L.) and Pangasius (Pangasianodon Hypophthalmus) in NFT-Based Aquaponics. Sci. Hortic. 2024, 323, 112521. [Google Scholar] [CrossRef]
- Ru, D.; Liu, J.; Hu, Z.; Zou, Y.; Jiang, L.; Cheng, X.; Lv, Z. Improvement of Aquaponic Performance through Micro- and Macro-Nutrient Addition. Environ. Sci. Pollut. Res. 2017, 24, 16328–16335. [Google Scholar] [CrossRef] [PubMed]
- Kasozi, N.; Kaiser, H.; Wilhelmi, B. Effect of Bacillus spp. on Lettuce Growth and Root Associated Bacterial Community in a Small-Scale Aquaponics System. Agronomy 2021, 11, 947. [Google Scholar] [CrossRef]
- Patloková, K.; Pokluda, R. Optimization of Plant Nutrition in Aquaponics: The Impact of Trichoderma Harzianum and Bacillus Mojavensis on Lettuce and Basil Yield and Mineral Status. Plants 2024, 13, 291. [Google Scholar] [CrossRef] [PubMed]
- Avdouli, D.; Max, J.F.J.; Katsoulas, N.; Levizou, E. Basil as Secondary Crop in Cascade Hydroponics: Exploring Salinity Tolerance Limits in Terms of Growth, Amino Acid Profile, and Nutrient Composition. Horticulturae 2021, 7, 203. [Google Scholar] [CrossRef]
- Cabot, C.; Sibole, J.V.; Barceló, J.; Poschenrieder, C. Lessons from Crop Plants Struggling with Salinity. Plant Sci. 2014, 226, 2–13. [Google Scholar] [CrossRef]
- Kim, H.-J.; Fonseca, J.M.; Choi, J.-H.; Kubota, C.; Kwon, D.Y. Salt in Irrigation Water Affects the Nutritional and Visual Properties of Romaine Lettuce (Lactuca sativa L.). J. Agric. Food Chem. 2008, 56, 3772–3776. [Google Scholar] [CrossRef] [PubMed]
- Hniličková, H.; Hnilička, F.; Orsák, M.; Hejnák, V. Effect of Salt Stress on Growth, Electrolyte Leakage, Na+ and K+ Content in Selected Plant Species. Plant Soil Environ. 2019, 65, 90–96. [Google Scholar] [CrossRef]
- Breś, W.; Kleiber, T.; Markiewicz, B.; Mieloszyk, E.; Mieloch, M. The Effect of NaCl Stress on the Response of Lettuce (Lactuca sativa L.). Agronomy 2022, 12, 244. [Google Scholar] [CrossRef]
- Grattan, S.R.; Grieve, C.M. Mineral Element Acquisition and Growth Response of Plants Grown in Saline Environments. Agric. Ecosyst. Environ. 1992, 38, 275–300. [Google Scholar] [CrossRef]
- Hartz, T.K.; Johnstone, P.R.; Williams, E.; Smith, R.F. Establishing Lettuce Leaf Nutrient Optimum Ranges Through DRIS Analysis. HortScience 2007, 42, 143–146. [Google Scholar] [CrossRef]
- Carillo, P.; Colla, G.; El-Nakhel, C.; Bonini, P.; D’Amelia, L.; Dell’Aversana, E.; Pannico, A.; Giordano, M.; Sifola, M.; Kyriacou, M.; et al. Biostimulant Application with a Tropical Plant Extract Enhances Corchorus Olitorius Adaptation to Sub-Optimal Nutrient Regimens by Improving Physiological Parameters. Agronomy 2019, 9, 249. [Google Scholar] [CrossRef]
- Teklić, T.; Parađiković, N.; Špoljarević, M.; Zeljković, S.; Lončarić, Z.; Lisjak, M. Linking Abiotic Stress, Plant Metabolites, Biostimulants and Functional Food. Ann. Appl. Biol. 2021, 178, 169–191. [Google Scholar] [CrossRef]
- Vasconcelos, A.C.F.D. Effect of Biostimulants on the Nutrition of Maize and Soybean Plants. Int. J. Environ. Agric. Biotechnol. 2019, 4, 240–245. [Google Scholar] [CrossRef]
- Stathopoulou, P.; Tsoumalakou, E.; Levizou, E.; Vanikiotis, T.; Zaoutsos, S.; Berillis, P. Iron and Potassium Fertilization Improve Rocket Growth without Affecting Tilapia Growth and Histomorphology Characteristics in Aquaponics. Appl. Sci. 2021, 11, 5681. [Google Scholar] [CrossRef]
- Vanikiotis, T.; Stagakis, S.; Kyparissis, A. MODIS PRI Performance to Track Light Use Efficiency of a Mediterranean Coniferous Forest: Determinants, Restrictions and the Role of LUE Range. Agric. For. Meteorol. 2021, 307, 108518. [Google Scholar] [CrossRef]
- Filella, I.; Porcar-Castell, A.; Munné-Bosch, S.; Bäck, J.; Garbulsky, M.F.; Peñuelas, J. PRI Assessment of Long-Term Changes in Carotenoids/Chlorophyll Ratio and Short-Term Changes in de-Epoxidation State of the Xanthophyll Cycle. Int. J. Remote Sens. 2009, 30, 4443–4455. [Google Scholar] [CrossRef]
- Yudina, L.; Sukhova, E.; Gromova, E.; Nerush, V.; Vodeneev, V.; Sukhov, V. A Light-Induced Decrease in the Photochemical Reflectance Index (PRI) Can Be Used to Estimate the Energy-Dependent Component of Non-Photochemical Quenching under Heat Stress and Soil Drought in Pea, Wheat, and Pumpkin. Photosynth. Res. 2020, 146, 175–187. [Google Scholar] [CrossRef]
- Larbi, A.; Abadía, A.; Abadía, J.; Morales, F. Down Co-Regulation of Light Absorption, Photochemistry, and Carboxylation in Fe-Deficient Plants Growing in Different Environments. Photosynth. Res. 2006, 89, 113–126. [Google Scholar] [CrossRef]
- Morales, F.; Belkhodja, R.; Abadıa, A.; Abadıa, J. Photosystem II Efficiency and Mechanisms of Energy Dissipation in Iron-Deficient, Field-Grown Pear Trees (Pyrus communis L.). Photosynth. Res. 2000, 63, 9–21. [Google Scholar] [CrossRef][Green Version]
- da Rosa Ferraz Jardim, A.M.; Santos, H.R.B.; Alves, H.K.M.N.; Ferreira-Silva, S.L.; de Souza, L.S.B.; Júnior, G.D.N.A.; de Sá Souza, M.; de Araújo, G.G.L.; de Souza, C.A.A.; da Silva, T.G.F. Genotypic Differences Relative Photochemical Activity, Inorganic and Organic Solutes and Yield Performance in Clones of the Forage Cactus under Semi-Arid Environment. Plant Physiol. Biochem. 2021, 162, 421–430. [Google Scholar] [CrossRef] [PubMed]
- Roosta, H.R. Comparison of the Vegetative Growth, Eco-Physiological Characteristics and Mineral Nutrient Content of Basil Plants in Different Irrigation Ratios of Hydroponic:Aquaponic Solutions. J. Plant Nutr. 2014, 37, 1782–1803. [Google Scholar] [CrossRef]
- Tsoumalakou, E.; Mente, E.; Vlahos, N.; Levizou, E. Cultivating the Mediterranean Wild Edible Species Cichorium spinosum L. in Aquaponics: Functional and Growth Responses to Minimal Nutrient Supplementation. Sustainability 2023, 15, 5572. [Google Scholar] [CrossRef]
- Jin, C.-W.; Liu, Y.; Mao, Q.-Q.; Wang, Q.; Du, S.-T. Mild Fe-Deficiency Improves Biomass Production and Quality of Hydroponic-Cultivated Spinach Plants (Spinacia oleracea L.). Food Chem. 2013, 138, 2188–2194. [Google Scholar] [CrossRef] [PubMed]
- Miras-Moreno, B.; Corrado, G.; Zhang, L.; Senizza, B.; Righetti, L.; Bruni, R.; El-Nakhel, C.; Sifola, M.I.; Pannico, A.; Pascale, S.D.; et al. The Metabolic Reprogramming Induced by Sub-Optimal Nutritional and Light Inputs in Soilless Cultivated Green and Red Butterhead Lettuce. Int. J. Mol. Sci. 2020, 21, 6381. [Google Scholar] [CrossRef] [PubMed]
- Vance, C.P.; Gantt, J.S. Control of Nitrogen and Carbon Metabolism in Root Nodules. Physiol. Plant. 1992, 85, 266–274. [Google Scholar] [CrossRef]
- Trotta, A.; Suorsa, M.; Rantala, M.; Lundin, B.; Aro, E. Serine and Threonine Residues of Plant STN 7 Kinase Are Differentially Phosphorylated upon Changing Light Conditions and Specifically Influence the Activity and Stability of the Kinase. Plant J. 2016, 87, 484–494. [Google Scholar] [CrossRef] [PubMed]
- Parthasarathy, A.; Savka, M.A.; Hudson, A.O. The Synthesis and Role of β-Alanine in Plants. Front. Plant Sci. 2019, 10, 921. [Google Scholar] [CrossRef]
- Yang, X.; Feng, L.; Zhao, L.; Liu, X.; Hassani, D.; Huang, D. Effect of Glycine Nitrogen on Lettuce Growth under Soilless Culture: A Metabolomics Approach to Identify the Main Changes Occurred in Plant Primary and Secondary Metabolism. J. Sci. Food Agric. 2018, 98, 467–477. [Google Scholar] [CrossRef]
- Loewus, F. Biosynthesis and Metabolism of Ascorbic Acid in Plants and of Analogs of Ascorbic Acid in Fungi. Phytochemistry 1999, 52, 193–210. [Google Scholar] [CrossRef]
- Caffall, K.H.; Mohnen, D. The Structure, Function, and Biosynthesis of Plant Cell Wall Pectic Polysaccharides. Carbohydr. Res. 2009, 344, 1879–1900. [Google Scholar] [CrossRef] [PubMed]
- Ruiz-Vera, U.M.; De Souza, A.P.; Long, S.P.; Ort, D.R. The Role of Sink Strength and Nitrogen Availability in the Down-Regulation of Photosynthetic Capacity in Field-Grown Nicotiana tabacum L. at Elevated CO2 Concentration. Front. Plant Sci. 2017, 8, 998. [Google Scholar] [CrossRef] [PubMed]





| D38 | D56 | |||||||
|---|---|---|---|---|---|---|---|---|
| N | K+ | Na+ | Ca2+ | N | K+ | Na+ | Ca2+ | |
| HP | 45.42 ± 1.19 a | 48.63 ± 2.70 a | 2.80 ± 0.33 a | 5.00 ± 2.06 a | 42.34 ± 0.73 a | 61.87 ± 4.67 a | 3.20 ± 1.45 a | 9.34 ± 0.76 a |
| HP-BS1 | 46.11 ± 1.69 a | 49.70 ± 3.80 a | 2.97 ± 0.59 a | 4.67 ± 1.62 a | 44.18 ± 0.73 a | 61.24 ± 3.11 a | 2.45 ± 0.68 a | 9.34 ± 1.54 a |
| HP-BS2 | 43.42 ± 1.57 a | 47.18 ± 3.75 a | 2.57 ± 0.76 a | 5.51 ± 1.77 ab | 45.24 ± 0.49 a | 58.65 ± 4.57 a | 2.22 ± 0.56 a | 9.17 ± 1.66 a |
| DCAP | 44.17 ± 0.53 a | 46.21 ± 9.82 a | 2.45 ± 0.71 a | 4.32 ± 1.51 a | 43.17 ± 0.76 a | 59.2 ± 4.25 a | 2.14 ± 0.51 a | 7.82 ± 1.78 ab |
| DCAP-BS1 | 42.99 ± 0.63 a | 49.94 ± 2.38 a | 3.00 ± 0.51 a | 4.50 ± 1.05 a | 42.76 ± 0.91 a | 57.57 ± 7.99 a | 2.53 ± 0.37 a | 7.65 ± 1.19 ab |
| DCAP-BS2 | 45.05 ± 1.18 a | 49.96 ± 1.85 a | 3.43 ± 0.94 a | 5.01 ± 1.97 ab | 41.64 ± 0.82 a | 50.79 ± 5.04 b | 2.71 ± 0.34 a | 7.82 ± 1.05 ab |
| CAP | 41.98 ± 1.70 a | 33.65 ± 2.34 b | 8.09 ± 2.06 b | 10.35 ± 1.18 c | 29.28 ± 1.82 b | 24.83 ± 3.44 c | 11.49 ± 1.64 b | 6.14 ± 0.83 b |
| CAP-BS1 | 42.48 ± 2.80 a | 33.55 ± 1.66 b | 8.21 ± 0.93 b | 9.68 ± 0.83 c | 29.1 ± 1.80 b | 23.71 ± 2.74 c | 11.97 ± 0.89 b | 7.65 ± 1.18 ab |
| CAP-BS2 | 35.82 ± 1.58 b | 32.37 ± 2.14 b | 7.62 ± 1.99 b | 9.51 ± 1.97 bc | 31.07 ± 2.04 b | 25.13 ± 3.35 c | 12.01 ± 1.49 b | 8.84 ± 0.83 ab |
| CS | * | * | * | * | * | * | * | * |
| BS | - | - | - | - | - | - | - | - |
Disclaimer/Publisher’s Note: The statements, opinions and data contained in all publications are solely those of the individual author(s) and contributor(s) and not of MDPI and/or the editor(s). MDPI and/or the editor(s) disclaim responsibility for any injury to people or property resulting from any ideas, methods, instructions or products referred to in the content. |
© 2024 by the authors. Licensee MDPI, Basel, Switzerland. This article is an open access article distributed under the terms and conditions of the Creative Commons Attribution (CC BY) license (https://creativecommons.org/licenses/by/4.0/).
Share and Cite
Chandrou, E.; Faliagka, S.; Mourantian, A.; Kollaros, M.G.; Karamanoli, K.; Pechlivani, E.-M.; Katsoulas, N.; Levizou, E. Exploring the Potential of Biostimulants to Optimize Lettuce Cultivation in Coupled and Decoupled Aquaponics Systems: Growth Performance, Functional Characteristics and Metabolomic Analysis. Horticulturae 2024, 10, 514. https://doi.org/10.3390/horticulturae10050514
Chandrou E, Faliagka S, Mourantian A, Kollaros MG, Karamanoli K, Pechlivani E-M, Katsoulas N, Levizou E. Exploring the Potential of Biostimulants to Optimize Lettuce Cultivation in Coupled and Decoupled Aquaponics Systems: Growth Performance, Functional Characteristics and Metabolomic Analysis. Horticulturae. 2024; 10(5):514. https://doi.org/10.3390/horticulturae10050514
Chicago/Turabian StyleChandrou, Eirini, Sofia Faliagka, Anastasia Mourantian, Marios Georgios Kollaros, Katerina Karamanoli, Eleftheria-Maria Pechlivani, Nikolaos Katsoulas, and Efi Levizou. 2024. "Exploring the Potential of Biostimulants to Optimize Lettuce Cultivation in Coupled and Decoupled Aquaponics Systems: Growth Performance, Functional Characteristics and Metabolomic Analysis" Horticulturae 10, no. 5: 514. https://doi.org/10.3390/horticulturae10050514
APA StyleChandrou, E., Faliagka, S., Mourantian, A., Kollaros, M. G., Karamanoli, K., Pechlivani, E.-M., Katsoulas, N., & Levizou, E. (2024). Exploring the Potential of Biostimulants to Optimize Lettuce Cultivation in Coupled and Decoupled Aquaponics Systems: Growth Performance, Functional Characteristics and Metabolomic Analysis. Horticulturae, 10(5), 514. https://doi.org/10.3390/horticulturae10050514

