Short-Term Storage in a Modified Atmosphere Affects the Chemical Profile of Blueberry (Vaccinium corymbosum L.) Fruit
Abstract
1. Introduction
2. Materials and Methods
2.1. Fruit Material and Storage Treatments
2.2. Fruit Firmness and Peel Color Measurements
2.3. Individual Sugars and Organic Acids in Blueberry Fruit
2.4. Individual Phenolic Compounds in Blueberry Fruit
2.5. Statistics
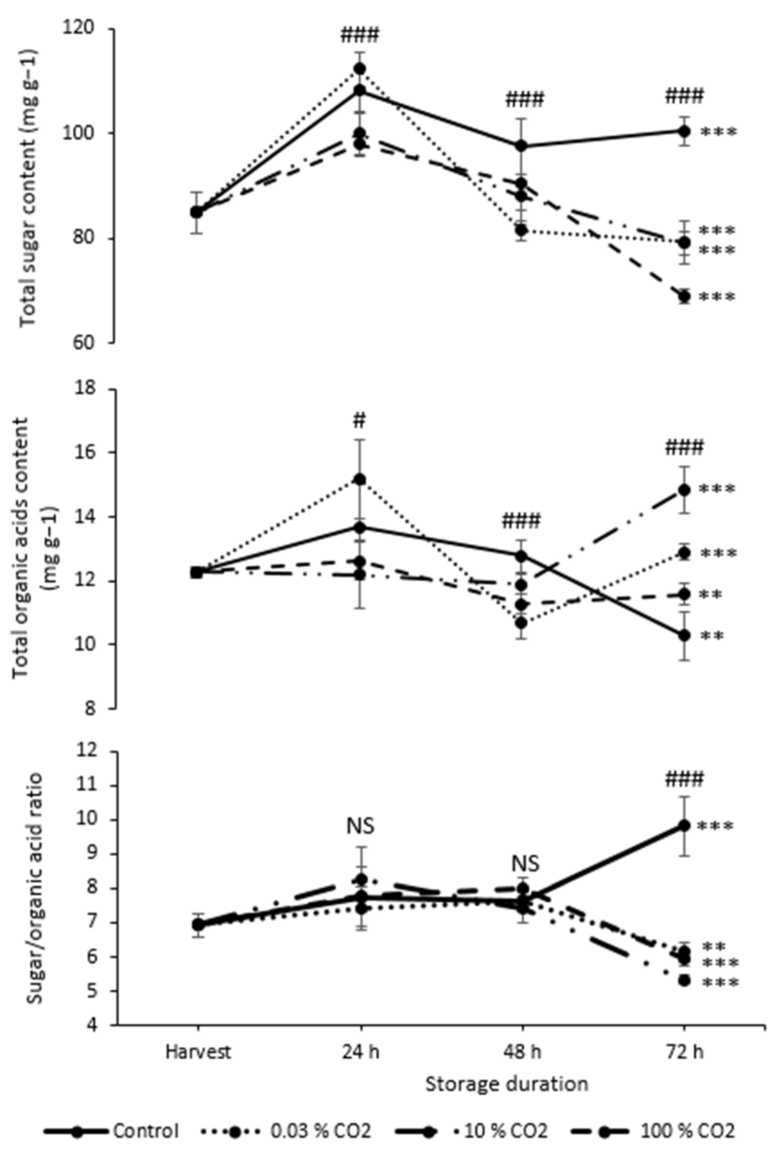
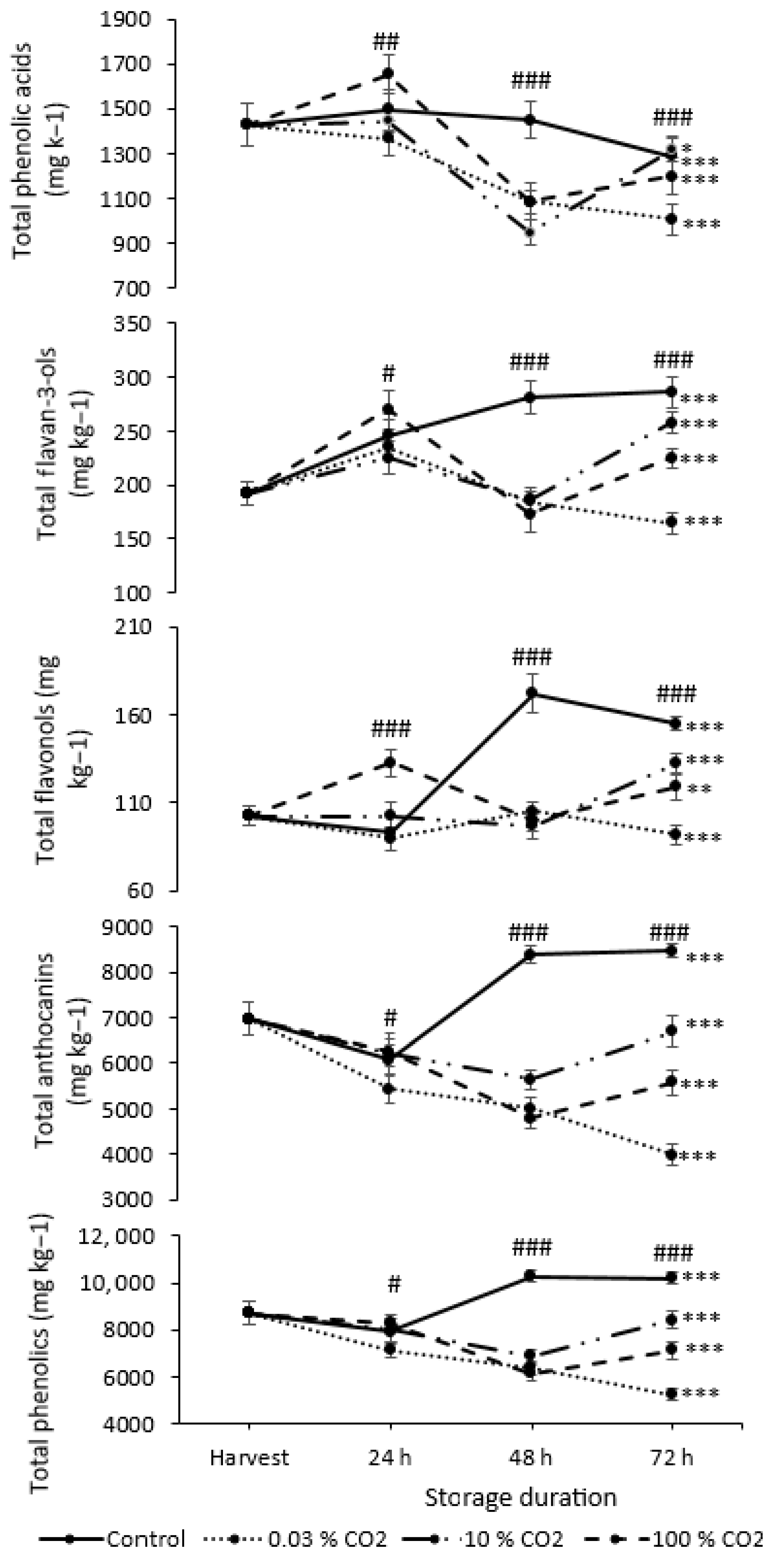
3. Results
3.1. Fruit Firmness and Color
3.2. Primary Metabolites
3.3. Individual Phenolic Compounds
4. Discussion
5. Conclusions
Supplementary Materials
Author Contributions
Funding
Data Availability Statement
Conflicts of Interest
References
- Milivojević, J.M.; Radivojević, D.D.; Maksimović, V.M.; Dragišić Maksimović, J.J. Variation in health promoting compounds of blueberry fruit associated with different nutrient management practices in a soilless growing system. J. Agric. Sci. 2020, 65, 175–185. [Google Scholar] [CrossRef]
- Matiacevich, S.; Celis Cofré, D.; Silva, P.; Enrione, J.; Osorio, F. Quality parameters of six cultivars of blueberry using computer vision. Int. J. Food Sci. 2013, 2013, 419535. [Google Scholar] [CrossRef] [PubMed]
- Cantwell, M. Properties and recommended conditions for long-term storage of fresh fruits and vegetables. UC Davis 2001, 7, 1–8. [Google Scholar]
- Smrke, T.; Weber, N.C.; Veberic, R.; Hudina, M.; Jakopic, J. Modified atmospheric CO2 levels for maintenance of fruit weight and nutritional quality upon long-term storage in blueberry (Vaccinium corymbosum L.) ‘liberty’. Horticulturae 2021, 7, 478. [Google Scholar] [CrossRef]
- Cao, Y.; Xu, K.; Zhu, X.; Bai, Y.; Yang, W.; Li, C. Role of modified atmosphere in pest control and mechanism of its effect on insects. Front. Physiol. 2019, 10, 206. [Google Scholar] [CrossRef]
- Mostafa, M.; Amor, A.I.; Admane, N.; Anfora, G.; Bubici, G.; Verrastro, V.; Scarano, L.; El Moujabber, M.; Baser, N. Reduction of post-harvest injuries caused by drosophila suzukii in some cultivars of sweet cherries using a high carbon dioxide level and cold storage. Insects 2021, 12, 1009. [Google Scholar] [CrossRef]
- Alsmairat, N.; Contreras, C.; Hancock, J.; Callow, P.; Beaudry, R. Use of combinations of commercially relevant O2 and CO2 partial pressures to evaluate the sensitivity of nine highbush blueberry fruit cultivars to controlled atmospheres. HortScience 2011, 46, 74–79. [Google Scholar] [CrossRef]
- Saltveit, M.E. Respiratory Metabolism. In Postharvest Physiology and Biochemistry of Fruits and Vegetables; Yahia, E.M., Carrillo-López, A., Eds.; Woodhead Publishing: Cambridge, UK, 2019; pp. 73–91. [Google Scholar]
- Forney, C.F. Postharvest issues in blueberry and cranberry and methods to improve market-life. Acta Hortic. 2009, 810, 785–798. [Google Scholar] [CrossRef]
- Redpath, L.E.; Gumpertz, M.; Ballington, J.R.; Bassil, N.; Ashrafi, H. Genotype, environment, year, and harvest effects on fruit quality traits of five blueberry (Vaccinium corymbosum L.) cultivars. Agronomy 2021, 11, 1788. [Google Scholar] [CrossRef]
- Duarte, C.; Guerra, M.; Daniel, P.; Camelo, A.L.; Yommi, A. Quality changes of highbush blueberries fruit stored in CA with different CO2 levels. J. Food Sci. 2009, 74, S154–S159. [Google Scholar] [CrossRef]
- Follett, P.A.; Swedman, A.; Mackey, B. Effect of low-oxygen conditions created by modified atmosphere packaging on radiation tolerance in Drosophila suzukii (Diptera: Drosophilidae) in sweet cherries. J. Econ. Entomol. 2018, 111, 141–145. [Google Scholar] [CrossRef]
- Husain, M.; Rasool, K.G.; Tufail, M.; Alhamdan, A.M.A.; Mehmood, K.; Aldawood, A.S.; Athanassiou, C. Comparative efficacy of CO2 and ozone gases against Ephestia cautella (Lepidoptera: Pyralidae) Larvae Under Different Temperature Regimes. J. Insect Sci. 2015, 15, 126. [Google Scholar] [CrossRef]
- Smrke, T.; Veberic, R.; Hudina, M.; Zitko, V.; Ferlan, M.; Jakopic, J. Fruit quality and yield of three highbush blueberry (Vaccinium corymbosum L.) cultivars grown in two planting systems under different protected environments. Horticulturae 2021, 7, 591. [Google Scholar] [CrossRef]
- Smrke, T.; Stajner, N.; Cesar, T.; Veberic, R.; Hudina, M. Correlation between Destructive and Non-Destructive Measurements of Highbush Blueberry (Vaccinium corymbosum L.) Fruit during Maturation. Horticulturae 2023, 9, 501. [Google Scholar] [CrossRef]
- Schotsmans, W.; Molan, A.; MacKay, B. Controlled atmosphere storage of rabbiteye blueberries enhances postharvest quality aspects. Postharvest Biol. Technol. 2007, 44, 277–285. [Google Scholar] [CrossRef]
- Catuneanu, I.B.; Badulescu, L.; Dobrin, A.; Stan, A.; Hoza, D. the Influence of Storage in Controlled Atmosphere on Quality Indicators of Three Blueberries Varieties. Sci. Pap. B-Hortic. 2017, 61, 91–100. [Google Scholar]
- Concha-Meyer, A.; Eifert, J.D.; Williams, R.C.; Marcy, J.E.; Welbaum, G.E. Shelf life determination of fresh blueberries (Vaccinium corymbosum) stored under controlled atmosphere and ozone. Int. J. Food Sci. 2015, 2015, 164143. [Google Scholar] [CrossRef]
- Koort, A.; Moor, U.; Põldma, P.; Kaiser, C.; Starast, M. Comparison of regular atmospheric storage versus modified atmospheric packaging on postharvest quality of organically grown lowbush and half-highbush blueberries. Sustainability 2018, 10, 3916. [Google Scholar] [CrossRef]
- Lobos, G.A.; Retamales, J.B.; Hancock, J.F.; Flore, J.A.; Romero-Bravo, S.; Del Pozo, A. Productivity and fruit quality of Vaccinium corymbosum cv. Elliott under photo-selective shading nets. Sci. Hortic. 2013, 153, 143–149. [Google Scholar] [CrossRef]
- Kraft, L.J.; Yeh, D.A.; Gómez, M.I.; Burrack, H.J. Determining the Effect of Postharvest Cold Storage Treatment on the Survival of Immature Drosophila suzukii (Diptera: Drosophilidae) in Small Fruits. J. Econ. Entomol. 2020, 113, 2427–2435. [Google Scholar] [CrossRef]
- Kalt, W.; Lawand, C.; Ryan, D.A.J.; McDonald, J.E.; Donner, H.; Forney, C.F. Oxygen Radical Absorbing Capacity, Anthocyanin and Phenolic Content of Highbush Blueberries (Vaccinium corymbosum L.) during Ripening and Storage. J. Am. Soc. Hortic. Sci. 2003, 128, 917–923. [Google Scholar] [CrossRef]
- Jin, P.; Wang, S.Y.; Wang, C.Y.; Zheng, Y. Effect of cultural system and storage temperature on antioxidant capacity and phenolic compounds in strawberries. Food Chem. 2011, 124, 262–270. [Google Scholar] [CrossRef]
- Tarara, J.M.; Lee, J.; Spayd, S.E.; Scagel, C.F. Berry temperature and solar radiation alter acylation, proportion, and concentration of anthocyanin in Merlot grapes. Am. J. Enol. Vitic. 2008, 59, 235–247. [Google Scholar] [CrossRef]
- Blanch, M.; Alvarez, I.; Sanchez-Ballesta, M.T.; Escribano, M.I.; Merodio, C. Increasing catechin and procyanindin accumulation in high-CO2-treated Fragaria vesca strawberries. J. Agric. Food Chem. 2012, 60, 7489–7496. [Google Scholar] [CrossRef]
- Harb, J.; Saleh, O.; Kittemann, D.; Neuwald, D.A.; Hoffmann, T.; Reski, R.; Schwab, W. Changes in polyphenols and expression levels of related genes in “Duke” blueberries stored under high CO2 levels. J. Agric. Food Chem. 2014, 62, 7460–7467. [Google Scholar] [CrossRef]


| Storage Duration (h) | CO2, O2 (%) | Temperature (°C) | Firmness (N) | L* | a* | b* | C* | h° |
|---|---|---|---|---|---|---|---|---|
| Harvest | 20.0 ± 0.07 | 37.10 ± 3.32 a | −0.65 ± 1.12 b | −7.13 ± 0.94 b | 7.23 ± 1.01 a | 265.4 ± 8.02 b | ||
| 24 h | Control | 0.16 ± 0.05 | 32.31 ± 3.26 b | 0.82 ± 1.29 a | −5.33 ± 1.19 a | 5.55 ± 1.07 b | 280.1 ± 14.52 a | |
| 48 h | 0.03%, 21% | 22 °C | 0.17 ± 0.04 | 34.23 ± 1.58 ab | −0.53 ± 1.05 b | −6.36 ± 0.72 ab | 6.49 ± 0.74 ab | 265.7 ± 9.40 b |
| 72 h | 0.18 ± 0.05 | 32.09 ± 0.44 b | −0.69 ± 0.81 b | −5.52 ± 1.38 a | 5.61 ± 1.43 b | 264.1 ± 7.74 b | ||
| Significance | NS | *** | *** | *** | *** | *** | ||
| Harvest | 20.0 ± 0.07 | 37.10 ± 3.32 a | −0.65 ± 1.12 | −7.13 ± 0.94 | 7.23 ± 1.01 | 265.4 ± 8.02 | ||
| 24 h | 0.18 ± 0.05 | 32.87 ± 2.67 b | −0.41 ± 0.89 | −6.03 ± 1.05 | 6.12 ± 1.04 | 267.0 ± 8.54 | ||
| 48 h | 0.03%, 21% | 2 °C | 0.17 ± 0.05 | 33.46 ± 3.31 b | −0.71 ± 0.74 | −6.27 ± 1.33 | 6.36 ± 1.32 | 264.2 ± 7.62 |
| 72 h | 0.15 ± 0.05 | 34.25 ± 3.69 ab | −0.73 ± 0.66 | −6.35 ± 1.27 | 5.54 ± 3.60 | 262.8 ± 4.65 | ||
| Significance | NS | ** | NS | NS | NS | NS | ||
| Harvest | 20.0 ± 0.07 | 37.10 ± 3.32 a | −0.65 ± 1.12 ab | −7.13 ± 0.94 b | 7.23 ± 1.01 a | 265.4 ± 8.02 ab | ||
| 24 h | 0.16 ± 0.04 | 32.47 ± 2.25 b | 0.05 ± 0.98 a | −5.93 ± 0.86 a | 6.01 ± 0.86 b | 271.0 ± 9.65 a | ||
| 48 h | 10%, 5% | 2 °C | 0.16 ± 0.04 | 34.95 ± 2.70 ab | −0.84 ± 0.60 b | −6.75 ± 0.95 ab | 6.81 ± 1.00 ab | 263.1 ± 4.50 b |
| 72 h | 0.15 ± 0.04 | 34.86 ± 3.04 ab | −0.75 ± 0.71 ab | −6.51 ± 0.98 ab | 6.58 ± 1.01 ab | 264.3 ± 6.20 ab | ||
| Significance | NS | *** | * | ** | * | * | ||
| Harvest | 20.0 ± 0.07 | 37.10 ± 3.32 a | −0.65 ± 1.12 | −7.13 ± 0.94 b | 7.23 ± 1.01 a | 265.4 ± 8.02 | ||
| 24 h | 0.17 ± 0.04 | 33.23 ± 2.89 b | 0.14 ± 1.62 | −6.03 ± 1.34 ab | 6.29 ± 1.09 ab | 273.8 ± 17.90 | ||
| 48 h | 100% | 2 °C | 0.16 ± 0.04 | 33.55 ± 3.11 b | −0.21 ± 0.81 | −5.90 ± 1.22 a | 5.96 ± 1.24 b | 268.7 ± 7.41 |
| 72 h | 0.18 ± 0.08 | 32.46 ± 2.86 b | −0.57 ± 0.48 | −5.84 ± 1.00 a | 5.89 ± 1.04 b | 264.6 ± 3.66 | ||
| Significance | NS | *** | NS | ** | ** | NS | ||
| Significance 24 h | NS | NS | NS | NS | NS | NS | ||
| Significance 48 h | NS | NS | NS | NS | NS | NS | ||
| Significance 72 h | NS | NS | NS | NS | NS | NS | ||
| Storage duration × CO2 | NS | NS | NS | NS | NS | NS | ||
| Storage Duration (h) | CO2, O2 (%) | Temperature (°C) | Sucrose (mg g−1) | Glucose (mg g−1) | Fructose (mg g−1) |
|---|---|---|---|---|---|
| Harvest | 12.20 ± 1.01 ab | 35.81 ± 1.43 b | 36.85 ± 1.85 b | ||
| 24 h | Control | 13.73 ± 1.72 a | 44.64 ± 1.37 a | 46.72 ± 1.67 a | |
| 48 h | 0.03%, 21% | 22 °C | 11.22 ± 0.72 b | 42.02 ± 2.30 a | 44.30 ± 2.75 a |
| 72 h | 8.95 ± 0.42 c | 44.15 ± 1.21 a | 47.33 ± 1.35 a | ||
| Significance | *** | *** | *** | ||
| Harvest | 12.20 ± 1.01 b | 35.81 ± 1.43 b | 36.85 ± 1.85 b | ||
| 24 h | 15.59 ± 0.43 a | 47.25 ± 1.45 a | 49.32 ± 1.43 a | ||
| 48 h | 0.03%, 21% | 2 °C | 10.42 ± 0.26 c | 34.81 ± 1.08 bc | 36.27 ± 0.58 b |
| 72 h | 12.18 ± 0.60 b | 32.63 ± 1.69 c | 34.49 ± 1.87 b | ||
| Significance | *** | *** | *** | ||
| Harvest | 12.20 ± 1.01 ab | 35.81 ± 1.43 b | 36.85 ± 1.85 bc | ||
| 24 h | 11.03 ± 0.33 b | 43.32 ± 2.62 a | 45.67 ± 1.67 a | ||
| 48 h | 10%, 5% | 2 °C | 11.83 ± 0.56 ab | 37.35 ± 1.08 b | 38.82 ± 1.05 b |
| 72 h | 12.96 ± 0.67 a | 32.15 ± 0.87 c | 33.98 ± 0.89 c | ||
| Significance | * | *** | *** | ||
| Harvest | 12.20 ± 1.01 a | 35.81 ± 1.43 c | 36.85 ± 1.85 c | ||
| 24 h | 11.86 ± 0.74 a | 42.01 ± 0.89 a | 44.10 ± 1.04 a | ||
| 48 h | 100% | 2 °C | 11.52 ± 0.98 a | 38.68 ± 0.72 b | 40.22 ± 0.73 b |
| 72 h | 9.59 ± 0.50 b | 28.53 ± 0.66 d | 30.83 ± 0.62 d | ||
| Significance | ** | *** | *** | ||
| Significance 24 h | *** | *** | ** | ||
| Significance 48 h | NS | *** | *** | ||
| Significance 72 h | *** | *** | *** | ||
| Storage duration × CO2 | *** | *** | *** | ||
| Storage Duration (h) | CO2, O2 (%) | Temperature (°C) | Citric Acid (mg g−1) | Tartaric Acid (mg g−1) | Malic Acid (mg g−1) | Shikimic Acid (mg g−1) |
|---|---|---|---|---|---|---|
| Harvest | 10.97 ± 0.15 a | 0.69 ± 0.03 c | 0.60 ± 0.02 c | 0.012 ± 0.001 a | ||
| 24 h | Control | 11.43 ± 1.33 a | 1.09 ± 0.12 a | 1.15 ± 0.11 a | 0.011 ± 0.001 a | |
| 48 h | 0.03%, 21% | 22 °C | 10.70 ± 0.34 a | 1.08 ± 0.08 a | 0.99 ± 0.12 ab | 0.011 ± 0.001 a |
| 72 h | 8.48 ± 0.72 b | 0.87 ± 0.05 b | 0.92 ± 0.02 b | 0.008 ± 0.000 b | ||
| Significance | *** | *** | *** | *** | ||
| Harvest | 10.97 ± 0.15 b | 0.69 ± 0.03 b | 0.60 ± 0.02 c | 0.012 ± 0.001 b | ||
| 24 h | 12.73 ± 1.07 a | 1.14 ± 0.12 a | 1.30 ± 0.11 a | 0.018 ± 0.001 a | ||
| 48 h | 0.03%, 21% | 2 °C | 9.45 ± 0.49 c | 0.63 ± 0.02 b | 0.61 ± 0.02 c | 0.009 ± 0.001 c |
| 72 h | 11.43 ± 0.25 b | 0.67 ± 0.02 b | 0.79 ± 0.02 b | 0.012 ± 0.000 b | ||
| Significance | *** | *** | *** | *** | ||
| Harvest | 10.97 ± 0.15 b | 0.69 ± 0.03 b | 0.60 ± 0.02 c | 0.012 ± 0.001 b | ||
| 24 h | 9.51 ± 0.92 c | 1.34 ± 0.14 a | 1.31 ± 0.08 a | 0.017 ± 0.001 a | ||
| 48 h | 10%, 5% | 2 °C | 10.65 ± 0.33 bc | 0.69 ± 0.03 b | 0.55 ± 0.03 c | 0.011 ± 0.001 b |
| 72 h | 13.20 ± 0.71 a | 0.81 ± 0.01b | 0.82 ± 0.03 b | 0.012 ± 0.001 b | ||
| Significance | *** | *** | *** | *** | ||
| Harvest | 10.97 ± 0.15 a | 0.69 ± 0.03 c | 0.60 ± 0.02 b | 0.012 ± 0.001 b | ||
| 24 h | 10.51 ± 0.59 ab | 1.11 ± 0.10 a | 0.98 ± 0.15 a | 0.017 ± 0.001 a | ||
| 48 h | 100% | 2 °C | 9.98 ± 0.29 b | 0.69 ± 0.03 c | 0.60 ± 0.01 b | 0.010 ± 0.001 bc |
| 72 h | 9.98 ± 0.30 b | 0.86 ± 0.07 b | 0.74 ± 0.02 b | 0.009 ± 0.001 c | ||
| Significance | ** | *** | *** | *** | ||
| Significance 24 h | ** | * | ** | *** | ||
| Significance 48 h | ** | *** | *** | ** | ||
| Significance 72 h | *** | *** | *** | *** | ||
| Storage duration × CO2 | *** | *** | *** | *** | ||
Disclaimer/Publisher’s Note: The statements, opinions and data contained in all publications are solely those of the individual author(s) and contributor(s) and not of MDPI and/or the editor(s). MDPI and/or the editor(s) disclaim responsibility for any injury to people or property resulting from any ideas, methods, instructions or products referred to in the content. |
© 2024 by the authors. Licensee MDPI, Basel, Switzerland. This article is an open access article distributed under the terms and conditions of the Creative Commons Attribution (CC BY) license (https://creativecommons.org/licenses/by/4.0/).
Share and Cite
Smrke, T.; Cvelbar Weber, N.; Razinger, J.; Medic, A.; Veberic, R.; Hudina, M.; Jakopic, J. Short-Term Storage in a Modified Atmosphere Affects the Chemical Profile of Blueberry (Vaccinium corymbosum L.) Fruit. Horticulturae 2024, 10, 194. https://doi.org/10.3390/horticulturae10020194
Smrke T, Cvelbar Weber N, Razinger J, Medic A, Veberic R, Hudina M, Jakopic J. Short-Term Storage in a Modified Atmosphere Affects the Chemical Profile of Blueberry (Vaccinium corymbosum L.) Fruit. Horticulturae. 2024; 10(2):194. https://doi.org/10.3390/horticulturae10020194
Chicago/Turabian StyleSmrke, Tina, Nika Cvelbar Weber, Jaka Razinger, Aljaz Medic, Robert Veberic, Metka Hudina, and Jerneja Jakopic. 2024. "Short-Term Storage in a Modified Atmosphere Affects the Chemical Profile of Blueberry (Vaccinium corymbosum L.) Fruit" Horticulturae 10, no. 2: 194. https://doi.org/10.3390/horticulturae10020194
APA StyleSmrke, T., Cvelbar Weber, N., Razinger, J., Medic, A., Veberic, R., Hudina, M., & Jakopic, J. (2024). Short-Term Storage in a Modified Atmosphere Affects the Chemical Profile of Blueberry (Vaccinium corymbosum L.) Fruit. Horticulturae, 10(2), 194. https://doi.org/10.3390/horticulturae10020194

