Next Article in Journal
Transcriptional Insights into Lily Stem Bulblet Formation: Hormonal Regulation, Sugar Metabolism, and Transcriptional Networks in LA Lily ‘Aladdin’
Next Article in Special Issue
Modeling Tomato Yield and Quality Responses to Water and Nitrogen Deficits with a Modified Crop Water Production Function
Previous Article in Journal
Pecan, Carya illinoinensis, a New Host Report of Yellowstriped Armyworm, Spodoptera ornithogalli (Guenee) (Lepidoptera: Noctuidae) in the Southeastern US
 
 
Font Type:
Arial Georgia Verdana
Font Size:
Aa Aa Aa
Line Spacing:
Column Width:
Background:
Article

Boosting Resilience and Efficiency of Tomato Fields to Heat Stress Tolerance Using Cytokinin (6-Benzylaminopurine)

1
Agricultural and Biological Research Institute, National Research Center, Giza 12622, Egypt
2
Botany Department, National Research Centre, Giza 12622, Egypt
3
Department of Agrobiotechnology, Institute of Agriculture, RUDN University, 117198 Moscow, Russia
4
Horticulture Department, Faculty of Agriculture, Sohag University, Sohag 82524, Egypt
*
Author to whom correspondence should be addressed.
Horticulturae 2024, 10(2), 170; https://doi.org/10.3390/horticulturae10020170
Submission received: 28 December 2023 / Revised: 7 February 2024 / Accepted: 8 February 2024 / Published: 13 February 2024
(This article belongs to the Special Issue Environmental Stresses and Horticulture Crop Yields)

Abstract

Heat stress is one of the most critical environmental abiotic stresses that can negatively affect plant growth. This article investigates the role of a plant growth promoter (Benzylaminopurine) in tomato fields in regard to its ability to withstand high-temperature conditions resulting from greenhouse gas emissions and climate changes. Three genetically different tomato cultivars (Castlerock, GS 12-F1, and Fayrouz F1) were sprayed with 2% 6-Benzylaminopurine (BAP) at 300 and 600 ppm; then, growth and yield components, physio-biochemical characteristics, and antioxidant enzyme activities were determined. The results showed that the highest BAP concentration (600 ppm) enhanced the ability of tomato plants to withstand high temperatures and the maximum dose of BAP improved chlorophyll (71.7 spad units) in GS 12 leaves, while the same dose enhanced proline contents (24.91 mg/100 g FW), total antioxidants (83.35 µmol Trolox/g dw), total phenolics (20.99 mg/g dw), Superoxide dismutase (33.74 U/g), peroxidase (46.30 U/g), and polyphenol oxidase (64.10 U/g) in Fayrouz F1 leaves. Application BAP on tomatoes moderately improved fruit quality, such as ascorbic acid and maturity degree, while BAP applications reduced TSS and acidity. In this investigation, taste index was not affected by Benzylaminopurine application but by tomato genotype. The highest number of fruits/plant (45.7), fruit yield/plant (3.98 kg), and total yield (103 tons/ha) were obtained from the GS 12 genotype.

1. Introduction

Climate change has caused a notable escalation in average global temperatures, with them rising by approximately 1.1 °C since the pre-industrial era [1]. Furthermore, heat waves have become increasingly intense, frequent, and prolonged worldwide [2]. Almost all of the hottest years on record, except one, have occurred since 2000 [3]. From 1950 to 2017, most regions worldwide experienced at least one additional heat wave per decade [4]. Projections indicate that the upward trajectory of rising temperatures and the occurrence of more frequent, longer, and more intense extreme heat events will persist in the future [5]. By the end of this century, an estimated 1.2 billion individuals could be impacted by heat stress, which is four times the current number affected, and by the year 2045, around 75% of the world’s existing food production is expected to encounter severe risks due to elevated temperatures [6].
Elevated temperatures induce various morpho-anatomical alterations in plants, impacting seed germination, plant growth, flower shedding, pollen viability, gametic fertilization, fruit set, fruit weight, and quality [7]. Variations in the daily mean maximum and minimum temperatures negatively impact vegetable farming, as most of the physiological, biochemical, and metabolic processes in plants are influenced by temperature [8]. Heat stress can induce a range of irreversible damages to plant metabolism and development [9,10], impeding various physiological and biochemical processes [11]. These include the inhibition of photosynthesis [12], stomatal conductance [13], and reduction in leaf chlorophyll content [14], leading to the production of malondialdehyde [15].
In Egypt, tomatoes (Solanum lycoperscon L.) were ranked as the most popular vegetable crop in terms of cultivated area and total production. They cover approximately 160,000 hectares, accounting for 28% of the overall vegetable area. In 2019, Egypt produced 6.75 million tons of tomatoes, and the nation ranks fifth in tomato production globally, following China, India, Turkey, and the USA [16,17,18]. Tomato fruits have health benefits due to their rich mineral content, including potassium and antioxidants such as vitamins A, C, lycopene, and tocopherol [19].
Tomatoes grow perfectly at temperatures between 21 and 25 °C and will be negatively impacted at temperatures above 27 °C or below 16 °C. Metabolic processes in tomato plants are negatively impacted by excessive temperature [20], as the elevated temperature causes significant yield losses in productivity and quality. Exposing plants to high temperatures leads to bud drops, abnormal flower development, viability reduction, and carbohydrate shortage [21]. Symptoms of heat stress in tomatoes include sunburn, disruption of lycopene synthesis, the appearance of yellow areas in the affected tissues, poor fruit sets, ripening delay, yellow-shouldered fruit, white cores, and blossom-end rot [22]. The optimum temperature for developing the lycopene pigment in tomato fruit is between 16 and 26 °C [23]. Lycopene degradation begins above 27 °C and breaks down at 40 °C [23]. Similarly, temperatures above 25 °C significantly impact pollination and fruit set [24]. In addition, heat stress inhibits ripening by mitigating the accumulation of ripening-related mRNAs, thereby inhibiting continuous protein synthesis, including ethylene production, lycopene accumulation, and cell-wall dissolution [25].
Hormonal imbalances are responsible for the weak metabolic performance of tomato plants under heat stress [26]. The application of exogenous plant growth regulators has been studied as a potential method to alleviate the adverse impacts of heat stress, as these substances actively participate in plant responses and mechanisms that provide physiological protection against high temperatures [27,28]. Cytokinins play a role in mediating plant responses to abiotic stress [29], as they delay senescence, maintain chloroplast activity, decline chlorophyll degradation, and enhance protein and nucleic acid synthesis. Notably, 6-Benzylaminopurine (BAP) is a first-generation synthetic cytokinin that elicits plant growth and development responses, setting blossoms to increase fruit quality and inhibit the respiratory kinase in plants [30,31]. The application of cytokinins in tomato plants has been reported to improve plant height, dry matter content, chlorophylls content, carotenoid content, vitamin C content, total organic acid content, catalase enzyme activity and peroxidase enzyme activity of the fruit [32]. It also improved plant resistance to bacterial and fungal pathogens [33,34].
In consequence, the main objective of this investigation is to study the effect of the foliar applications of BAP (6-Benzylaminopurine) concentrations on tomato crops cultivated in the most heated months in Egypt. We hypothesize that BAP will enhance tomato growth by protecting the physiological and metabolic processes, increasing yield productivity and fruit quality.

2. Materials and Methods

The meteorological data: Based on data compiled by The World Bank for Climate Change knowledge, Egypt experiences a predominantly arid climate characterized by dryness and high temperatures (Figure 1). The summer season (May–September) is sweltering and dry. Inland desert regions of Egypt witness significant temperature fluctuations, with daytime temperatures reaching as high as 43 °C during summer and receiving very little annual precipitation [35]. In both seasons (2022 and 2023), the average air temperature during the growing season (June–September) exceeded more than 35 (Figure 1A,B). In August 2022 and June 2023, the temperature reached more than 40 °C, while in September (both seasons), the temperature settled at 39 °C. The minimum temperatures were above 18 °C during the period of experimentation (June–October) in both seasons (Figure 1A,B). This period recorded no precipitation, as Egypt is in arid zone conditions. The relative humidity (RH) registered less than 65% during the whole period of the experiment in both seasons (Figure 1C).
The experiment site and design: The experiment was conducted in open fields during the late summer seasons of 2022 and 2023 at a research farm affiliated with the National Research Center, Nubareyah area, Beheira Governorate, Egypt. Firstly, tomato seeds were sown in trays containing a mixture of peat moss and vermiculite (1:1) enriched with macro and micronutrient elements. Trays were kept in the greenhouse, and standard agricultural practices for tomato seedling production were conducted. Seedlings at 35 days old were transplanted in the open field on 7 June 2022 and 9 June 2023. Irrigation and pest management were applied as recommended by the Egyptian Ministry of Agriculture [36]. Plants were fertilized with N at 230, P2O5 at 45, and K2O at 70 kg/feddan (0.42 ha). A drip irrigation system was used, and the flow rate of the drip irrigation drippers was four liters/hour. Each treatment had a separate sub-main line with a control valve so that it could be irrigated separately.
The experimental design involved a split plot. The main plots were the three tomato cultivars (Castlerock, GS 12-F1, and Fayrouz F1), while the subplots consisted of three concentrations of BAP (0, 300, 600 ppm) (2% 6-Benzylaminopurine). The BAP solution was applied four times throughout the season to the cultivated plants using a hand-pressure atomizer 30 days after transplanting (DAT) at intervals of 15 days. Each replicate consisted of three rows that were 15 m long and 1.5 wide. The seedlings were transplanted in two lines on the rows and 50 cm between plants within the row, and the distance between the lateral irrigation lines was 1.5 m.

2.1. Growth and Yield Components

Samples of nine plants from each plot were randomly taken at 30, 60, 90, and 120 days after transplanting (DAT), and the following characteristics were recorded: plant height (cm), number of the lateral branches/plant (Pcs), and number of leaves/plant (Pcs). For measuring flowering and fruiting, three plants were randomly labelled from each plot to record the following parameters: number of flowers/plant (Pcs), number of clusters/plant (Pcs), number of fruits/plant (Pcs), average fruit weight (g), fruit yield/plant (kg), total yield (ton/ha), and marketable yield percentage (%).

2.2. Physio-Biochemical Attributes

The following parameters were measured at 90 DAT: chlorophyll content (chlorometer), acidity, total soluble solids (refractometer), and ascorbic acid content (vitamin C). Ascorbic acid was measured via methods described by the Association of Analytical Communities, particularly the 2,6-dichlorophenol indophenol titration method, and expressed as mg·100 g−1 FW [37]. To measure titratable acidity (TA), tomato fruits were homogenized with distilled water and then titrated with 0.1 N NaOH. The results, expressed as citric acid content, have been calculated by the following formula:
[TA, % = (V × N × 100 × 0.0064)/m]
where N is the normality of NaOH, 0.0064 is the conversion factor for citric acid, V is the volume of NaOH (mL), and m is the sample weight (g). The maturity index (sugar-to-acid ratio) was calculated by dividing the total soluble solid by the titratable acidity of the given samples under analysis, as described by Abdelkader [37]. The taste index was calculated using the formula [38]:
Taste index = (Brix level/(20 acidity)) + acidity

2.3. Antioxidant Enzyme Assays

Proline: 2 mL of proline extract, 2 mL of acid ninhydrin, and 2 mL of glacial acetic acid were added and incubated for one hour in a boiling water bath followed by an ice bath. The absorbance was measured at 520 nm using Shimadzu 240 UV/VIS, Tokyo, Japan. A standard curve was obtained using a known concentration of authentic proline [39].
Total phenolics: The phenolic contents were determined using a spectrophotometric method [40]. Phenolics were extracted by ethanol 80% and estimated by adding 1 mL of sample and 70 mL distilled water, followed by a Folin–Ciocalteau reagent and 15 mL of saturated sodium carbonate solution, incubated at room temperature for 30 min and measured at 765 nm in a spectrophotometer. Gallic acid was used to make the calibration curve.
Total antioxidant activity: The stock solution was prepared by dissolving 24 mg 1,1-diphenyl-2-picrylhydrazyl (DPPH) with 100 mL methanol and then stored at 20 °C until needed. The solution was obtained by mixing 10 mL stock solution with 45 mL methanol to absorb 1.1 ± 0.02 units at 515 nm. Extracts (750 μL) were allowed to react with 1500 μL of the DPPH solution for 5 min in the dark. Then, the absorbance was taken at 515 nm. The standard curve was linear between 25 and 800 μmol Trolox [41].
Enzyme extraction and assay: Antioxidant enzymes were extracted from fresh leaf material (0.5 g) using a mortar and pestle in ice-cold K-phosphate buffer (pH = 7) containing 0.1 mM EDTA. The homogenate was centrifuged at 45,000× g for 15 min in the cooled centrifuge (0 °C), and the supernatant was used to determine the antioxidant enzyme activities with a spectrophotometer (Shimadzu 240 UV/VIS, Japan).
Peroxidase assay (PO): The assay mixture was performed with a pyrogallol mixture prepared according to the Sigma Manual, and it contained 0.32 mL of pyrogallol, 0.16 mL of 147 mM-H2O2, phosphate buffer pH 6.5, 2.1 mL H2O, and 0.1 mL of enzyme extract. The change in absorbance was continuously monitored at 420 nm. One unit of enzyme activity was calculated as a 0.001/min change in absorbance [42].
Polyphenol oxidase assay (PPO): The assay mixture was performed with 2.8 mL from a 100 mM potassium phosphate buffer (pH 6.0) containing 1.3 mM pyrogallol and 100 μL of crude extract at room temperature. The increase in absorbance was monitored continuously for 3 min at 430 nm. One unit was determined as the amount of the enzyme that caused a change of 0.001/min in absorbance [42].
Superoxide dismutase assay (SOD): Enzyme activity was determined by measuring the inhibition in photo reduction of nitroblue tetrazolium (NBT) by a SOD enzyme [42]. The reaction mixture contained 50 mM sodium phosphate buffer (pH 7.6), 0.1 mM EDTA, 50 mM sodium carbonate, 12 mM L-methionine, 50 μM NBT, 10 μM riboflavin, and 100 μL of crude extract in a final volume of 3.0 mL. The control reaction was performed without crude extract. The SOD reaction was conducted by exposing the reaction mixture to white light for 15 min at room temperature. After 60 min incubation, absorbance was recorded at 560 nm using a spectrophotometer. One unit (U) of SOD activity was defined as the amount of enzyme causing 50% inhibition of photochemical reduction of NBT under assay conditions [42].
Statistical analysis: The recorded data were statistically processed using the analysis of variance (ANOVA). The means were compared using Duncan’s multiple range test and the Least Significant Difference (LSD) at the level of probability p ≤ 0.05% [43].

3. Results

3.1. Growth and Yield Components

The effects of BAP (6-Benzylaminopurine) application on the vegetative growth characteristics of tomato genotypes (Castlerock, Fayrouz F1, and GS 12 F1) during the summer seasons of 2022 and 2023 are shown in Table 1, Table 2, Table 3 and Table 4. The results showed that spraying BAP on tomato plants enhanced plant height compared to non-treated plants (Control). The highest plant height values (more than 60 cm) were obtained when the maximum dose of BAP (600 ppm) was sprayed on Fayrouz-F1 and GS 12-F1 genotypes. On the other hand, the shortest plants (less than 43 cm) resulted in untreated Castlerock plants (Control) during the two growing seasons. By the end of the first growing season, the highest concentration of BAP increased plant height by 10.5%, 27%, and 30.1% in the Castlerock, Fayrouz, and GS 12 genotypes, respectively, compared to their control treatment. At the same time, the plants were elongated by 44.1, 27.7, and 26.3% compared to the control treatment in the second season.
The stem diameters of the tomato genotypes were significantly affected by spraying treatments (Table 2). The plants sprayed with 600 ppm had the thickest stems in the first season. In the second season, spraying with 600 and 300 ppm displayed the highest value of stem diameter. Spraying tomato plants with 600 ppm, BAP recorded the maximum stem diameter, which increased by 42%, 82%, and 90% in Castlerock, Fayrouz F1, and GS 12 F1, respectively, compared to their control group.
In the Castlerock and Fayrouz genotypes, there was no significant difference between 300 ppm BAP and control treatments regarding the number of leaves per plant in both seasons. GS 12 registered the highest number of leaves (65.0 Pcs) when sprayed with 600 ppm BAP. On the other hand, no difference was registered between the Fayrouz hybrid and GS 12 spraying with 300 ppm at 30 DAT. The GS 12 hybrid with 600 ppm brought out the highest value of the number of leaves at 60 DAT (Table 3).
The number of branches produced by tomato plants was significantly affected by benzylaminopurine (Table 4). Results showed that plants sprayed with 600 ppm recorded the highest number of branches ((2.2) (8.0), and (9.4)) at 30, 90, and 120 DAT. In both seasons, spraying GS 12 plants with 600 ppm BAP in the first season registered the maximum number of branches at 30 and 60 DAT, while the Fayrouz genotype produced the highest number of branches at 90 and 120 DAT in the first season when sprayed with 600 ppm BAP.
The BAP application significantly improved flowering formation rates in all the cultivated genotypes, but notably to a greater extent in the Fayrouz genotype (Table 5). The maximum flowering rate was observed at 60 DAT, and the maximum dose of BAP increased the flowering rate by 49.6% in the first season. GS 12 hybrid with 600 ppm produced the highest number of flowers at 90 DAT, and the Fayrouz hybrid with 300 ppm recorded the highest number at 120 DAT in the first season. In the second season, the GS 12 hybrid with 600 ppm brought out the highest number of flowers at 60 DAT. The GS 12 hybrid with 300ppm registered the highest number of flowers at 90 DAT in the second season. The Fayrouz hybrid with 600 ppm recorded the highest flowering rate at 120 DAT.
The number of clusters produced by tomato plants was significantly affected by spraying BAP treatments (Table 6). Results showed that plants sprayed with 600 ppm produced the highest number of clusters per plant, at 60 DAT, during the two growing seasons. The minimum dose of BAP (300 ppm) produced the highest number of clusters (4.5) at 90 DAT in the first season. Plants sprayed at 600 ppm produced the highest number of clusters (7.4) at 120 DAT during the two growing seasons. On the other hand, the untreated control group registered the lowest value during the two growing seasons. Fayrouz F1 registered the highest number of clusters per tomato plant at 60 and 90 DAT in the first season, while the GS 12 hybrid recorded the maximum number of clusters at 90 DAT when BAP was applied at 600 ppm during the second season.
The number of flowers/clusters produced by tomato plants was significantly affected by cultivars and shading treatments (Table 7). Results showed that plants sprayed at 600 ppm produced the highest number of flowers per cluster (5.07, 7.22, and 8.10), at 60, 90, and 120 DAT during the first season. In the second season, 600 ppm treatment produced the highest number of flowers per cluster (5.65 and 8.17) at 60 and 120 DAT. On the other hand, the untreated control group registered the lowest value during the two growing seasons. When BAP at 600 ppm was applied, Fayrouz F1 gave the highest number of flowers/clusters after 60 DAT, while GS 12 recorded the highest number of flowers/clusters after 90 and 120 DAT.
The number of fruits produced by tomato plants (NFT) was found to be significantly affected by spraying treatments (Table 8).
Results showed that plants sprayed at 600 ppm produced the highest fruit numbers at 60, 90, and 120 DAT in both seasons. On the other hand, untreated plants gave the lowest fruit numbers. The GS 12 F1 and Fayrouz F1 genotypes registered the highest number of fruits when sprayed with 600 ppm of BAP in both growing seasons.
Benzylaminopurine applications significantly improved tomato yield and its components in all the cultivated genotypes. The maximum dose of BAP increased the average fruit weight (AFW) by 7, 13, and 3 g compared to the Control treatment of the Castlerock, Fayrouz F1, and GS 12-F1 genotypes, respectively. The previous results reflected the fruit yield per plant (FYP) and total yield per hectare (TY) parameters. The maximum FYP and TY were obtained when the cultivated genotypes were sprayed with 600 BAP. TY increased by 15, 24, and 28 tons/ha at the cultivated varieties (Castlerock, Fayrouz F1, and GS 12-F1, respectively) compared to their Control treatment (non-treated) in the first growing season (Table 9). The same variations occurred in the second season to the effect of 15, 30, 27, and 28 tons/ha, respectively. The marketable yield percentage (MYP) of fruit was enhanced by 5–9% when BAP was applied in tomato fields cultivated by the Castlerock and GS 12 genotypes, whereas it decreased by 3–6% in the Fayrouz genotype in both seasons.

3.2. Physio-Biochemical Parameters

Leaf Chlorophyll: The chlorophyll content of tomato leaves was found to be significantly affected by BAP treatments (Figure 2). Chlorophyll contents were increased significantly using spraying levels in comparison to the control treatment. Notably, 600 ppm treatment recorded the highest chlorophyll contents, while non-treated plants registered the most minor chlorophyll contents, followed by 300 ppm treatment (Figure 2). The highest chlorophyll contents were generated when the GS 12 genotype was sprayed with 600 ppm.
Total soluble solid (TSS): the TSS produced by tomato plants was found to be significantly affected by cultivars and was significantly decreased by spraying BAP, whereas the control treatment (0 ppm) displayed the highest TSS (Figure 2).
The vitamin C content (Ascorbic acid) of fresh tomato fruits was found to be significantly affected by spraying treatments (Figure 2). The non-treated Fayrouz hybrid recorded the highest value of vitamin C, while the Castlerock hybrid with 300 ppm BAP registered the highest vitamin C. Application 300 ppm of BAP decreased Vit. C (17.9 mg/100 g FW) compared to all other treatments.
In general, spraying BAP reduced titratable acidity in tomato fruits, except when applied at 300 ppm to the Castlerock genotype. Castlerock with 300 ppm BAP gave the highest acidity percentage (0.47). On the other hand, Fayrouz cv. with 600 ppm produced the least acidity percentage (0.2). In the experiment, the maturity degree of tomato fruits ranged from 8.6 to 21.1. Castlerock registered the slightest maturity degree compared to the other genotypes (Figure 3). In all cultivated plants, 600 ppm enhanced the maturity degree by 20% compared to other treatments. The taste index was the opposite of the maturity degree, whereas the application of BAP reduced the taste index compared to the control samples (Figure 3).

3.3. Determination of Antioxidant Enzymes

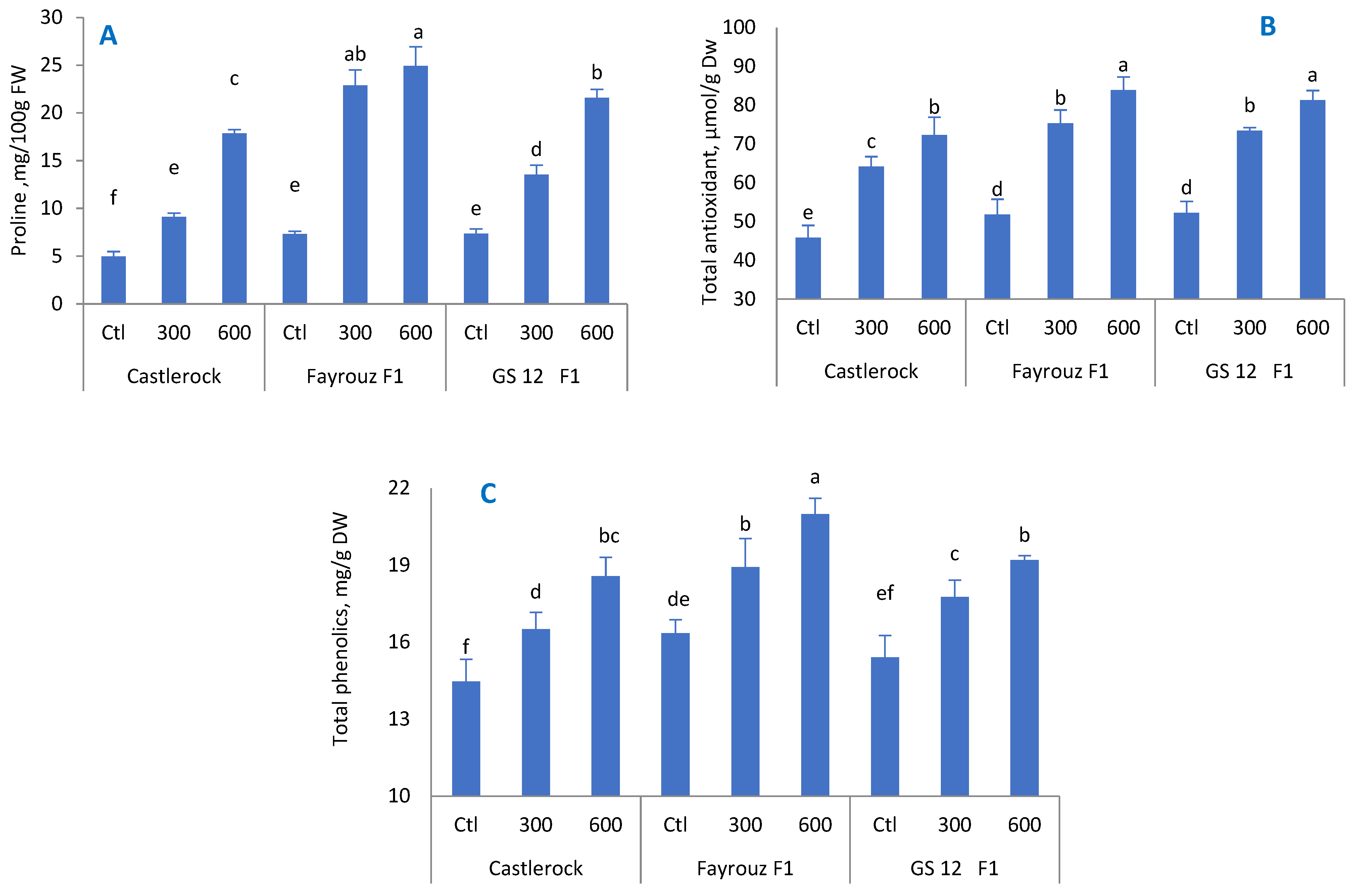
Data in Figure 4 and Figure 5 indicate that spraying BAP on tomato plants enhanced the plant leaves’ total phenolic content, antioxidant activity, and proline content. As mentioned above, the highest significant values of the compounds were found in spraying with 600 ppm BAP spraying treatment. The lowest values were found in the untreated groups (Control).
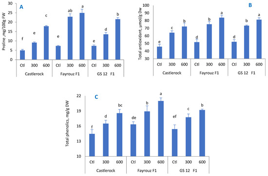
Spraying 600 ppm BAP on Fayrouz F1 represented the most effective treatment for enhancing phenolics, total antioxidants, and proline content in tomato plant leaves (Figure 4). The activities of tomato plant enzymes, i.e., polyphenol oxidase (PPO), peroxidase (POD), and superoxide dismutase (SOD), were significantly promoted by cultivars and spraying treatments, as shown in Figure 5. Spraying tomato plants with 600 ppm BA represented the highest values of PPO, POD, and SOD, followed by 300 ppm BA treatment and the untreated control group, with significant differences between them. Application of BA treatment at 300 and 600 ppm increased the PPO activity by 46.2% and 86.0%, the POD activity by 16.5% and 28.5%, and the SOD activity by 17.7% and 31.0%, respectively, as compared with the untreated control group. The combination of the Fayrouz F1 cultivar and 600 ppm BA spraying was the most effective treatment for promoting PPO, POD, and SOD in tomato plants.

4. Discussion

Hormones naturally exist in plant tissues, while plant growth regulators (PGRs) are considered exogenous substances applied to control the outcome of plant growth and develop or mitigate the impact of environmental stresses on cultivated crops [44,45]. Cytokinin (CKs) are vital in promoting plant growth and stabilizing photosynthetic processes during stress. Exogenous application of CKs can mitigate plant disorders caused by various abiotic stresses [46,47]. Regarding this matter, benzylaminopurine (BAP) refers to a synthetic PGR known as a cytokinin, which is frequently utilized in agricultural practices [48] for managing the growth and development of plants cultivated under abiotic stress conditions such as excessive temperature [49].
In the present investigation, the BAP application improved the growth and development of tomato plants by accumulating metabolites and inducing the antioxidant activities of the cultivated tomato genotypes. As the primary growth, spraying BAP (600 ppm) on vegetative parts of tomato genotypes increased growth rates such as plant height and NLP (Figure 6), which indicates biological improvements compared to non-treated plants. According to our results, BAP induced growth improvement was dependent on tomato genotype. For instance, compared to the Castlerock and Fayrouz genotypes, the GS 12 hybrid showed higher biomass accumulation (plant height, number of leaves, and stem diameters). In this regard, various research studies showed variations in growth and development among different genotypes [50,51]. PGRs (BAP) probably enhanced the overall capability of the cells to produce essential organic compounds through biosynthesis [52,53].
Furthermore, promoting leaf pigment contents (chlorophyll) in tomato leaves exposed to BAP explains the dynamic growth and development metrics. Here, the BAP application enhanced the total chlorophyll and carotenoids as evidence of the photosynthesis process efficiency under heat stress conditions. Similar to our findings, cytokinin application improved photosynthetic pigments [50,54]
PGRs enhance flowering, ageing, and fruit development. Cks may play vital roles in regulating tomato fruit growth and development. Exogenous application of the synthetic CK (Forchlorfenuron) promotes fruit set percentage and fruit development [55,56]. These findings are in line with our study outputs. We can observe that applying 600 ppm of cytokinin (Benzylaminopurine) enhanced fruit development and weight, reflecting the total tomato yield per hectare. Through combining with the maximum dose of BAP, the GS 12 genotype registered the highest yield component parameters, except the marketable yield percentage found in the Castlerock genotype, compared to the other Fayrouz F1 and GS 12 F1 genotypes. The high levels of cytokinin in tomato fruits are involved in delaying the ripening process, while the lower levels of cytokinin increase the ripening rate [57,58].
Abiotic stresses affect the metabolic processes in tomato fruit [59]. For example, water deficit promotes metabolites, while vitamin C and carotenoids are significantly reduced when tomato plants are exposed to heat stress during fruit formation stages [60,61]. In this regard, our results indicate that tomato fruit decreased along without BAP application under heat stress, while application of 600 ppm BAP altered the impact of exceeded temperatures. The results are similar to those reported by other researchers who showed a variation in fruit quality and quantity depending on the cultivated variety and environmental conditions [62,63,64,65]. High temperature conditions could result in an increase in the TSS content in tomato fruits [66]. The reduction in the TSS of treated tomato fruits compared to the control group could be a result of slowing down respiration and metabolic activity [67]. High temperatures increase the loss of fruit moisture through transpiration, which, in turn, increases the TSS percentage content [68,69]. BAP treatment enhanced the ability of tomato plants to withstand high temperatures and preserve fruit moisture, which led to lower TSS percentages compared to the untreated control.
The positive effect of BAP treatment on total phenolic content, total antioxidant activity, and total proline content was also reported in tomatoes [70], eggplants [71], and cherry tomatoes [72]. Exogenous BAP has been found to enhance plant tolerance to stress [73]. Phenolic compounds are secondary plant metabolites that work as antioxidants and protect cell components during stressful conditions [74,75,76]. When plants are exposed to high temperatures, they actively accumulate organic or inorganic substances, such as proline, to reduce the cellular osmotic potential and maintain the structural stability of cell membranes to counteract the harmful effects of heat stress on plants [72]. Increasing proline content helps plants regulate the cells’ osmotic potential, improving water absorbance and translocation under stress [77]. Similar findings reported that treating plants with BAP at ten μM L−1 significantly enhanced the enzymatic antioxidant activities, such as ascorbate peroxidase, superoxide dismutase, catalase, and peroxidase, in tomatoes and eggplants [70,71,78]. Plants have defensive mechanisms that consist of antioxidants with enzymatic or non-enzymatic activities to cope with oxidative damage and reduce abiotic stress damage [79]. PPO, POD, and SOD scavenge superoxides, which in turn produces H2O2 and O2, resulting in decreasing oxidative damage [70,80].

5. Conclusions

To sum up, the application of benzylaminopurine (BAP) has a beneficial biological effect on the developmental/physiological status and yield components of tomato crops cultivated during the hottest period of the season in Egypt. Our findings have proven that BAP applications can be an innovative tool for mitigating the negative impact of environmental stresses, including heat stress caused by climate change. However, this investigation only provided a brief insight into the potential damage to crops caused by heat stress in arid regions due to climate change. Applying plant growth regulators based on cytokinins may significantly mitigate and alleviate abiotic stress and promote sustainable tomato production. To reduce the negative impact of heat stress and maximize productivity, our findings recommend spraying tomato fields with benzylaminopurine at 600 ppm.

Author Contributions

Conceptualization, A.A.S., F.A.E. and M.A.; methodology, A.A.S. and M.Z.; software, M.A. and M.B.; validation, F.A.E., E.P. and M.A.; formal analysis, A.A.S.; investigation, M.Z.; resources, E.P..; data curation, M.A.; writing—original draft preparation, A.A.S., F.A.E. and M.A.; writing—review and editing, M.A. and M.Z.; visualization, M.B., M.A. and E.P.; supervision, M.A.; project administration, M.A.; funding acquisition, E.P. All authors have read and agreed to the published version of the manuscript.

Funding

This research received no external funding.

Data Availability Statement

The data presented in this study are available in the article.

Acknowledgments

This work was supported by the RUDN University Strategic Academic Leadership Program.

Conflicts of Interest

The authors declare no conflict of interest.

References

  1. Masson-Delmotte, V.; Zhai, P.; Pirani, A.; Connors, S.L.; Péan, C.; Chen, Y.; Goldfarb, L.; Gomis, M.I.; Matthews, J.B.R.; Berger, S.; et al. Climate Change 2021: The Physical Science Basis. Working Group Contribution to the Sixth Assessment Report of the Intergovernmental Panel on Climate Change. 2021, Volume 2. Available online: https://www.ipcc.ch/report/ar6/wg1/downloads/report/IPCC_AR6_WGI_FrontMatter.pdf (accessed on 2 December 2023).
  2. Perkins, S.E. A review on the scientific understanding of heatwaves—Their measurement, driving mechanisms, and changes at the global scale. Atmos. Res. 2015, 164–165, 242–267. [Google Scholar] [CrossRef]
  3. Global Temperature|Vital Signs—Climate Change: Vital Signs of the Planet. Available online: https://climate.nasa.gov/vital-signs/global-temperature/ (accessed on 2 December 2023).
  4. Perkins-Kirkpatrick, S.E.; Lewis, S.C. Increasing trends in regional heatwaves. Nat. Commun. 2020, 11, 3357. [Google Scholar] [CrossRef]
  5. Shukla, P.R.; Skea, J.; Buendia, E.C.; Masson-Delmotte, V.; Pörtner, H.-O.; Roberts, D.C.; Zhai, P.; Slade, R.; Connors, S.; van Diemen, R.; et al. IPCC, 2019: Climate Change and Land: An IPCC Special Report on Climate Change, Desertification, Land Degradation, Sustainable Land Management, Food Security, and Greenhouse Gas Fluxes in Terrestrial Ecosystems. 2019. Available online: https://spiral.imperial.ac.uk/bitstream/10044/1/76618/2/SRCCL-Full-Report-Compiled-191128.pdf (accessed on 2 December 2023).
  6. Heat Stress to Threaten over 70% of Global Agriculture by 2045|Maplecroft. Available online: https://www.maplecroft.com/insights/analysis/heat-stress-to-threaten-over-70-of-global-agriculture-by-2045/ (accessed on 2 December 2023).
  7. Rashid, M.; Hussain, K.; Malik, A.A.; Narayan, S.; Nazir, G.; Mazahir, S. Impact of Climate Change on Vegetable Crops and Its Mitigation. Available online: https://www.researchgate.net/profile/Majid-Rashid/publication/350410024_Impact_of_Climate_Change_on_Vegetable_Crops_and_its_Mitigation/links/61509d84d2ebba7be74e0c9a/Impact-of-Climate-Change-on-Vegetable-Crops-and-its-Mitigation.pdf (accessed on 2 December 2023).
  8. Ayyogari, K.; Sidhya, P.; Pandit, M.K. Impact of climate change on vegetable cultivation-a review. Int. J. Agric. Environ. Biotechnol. 2014, 7, 145–155. [Google Scholar] [CrossRef]
  9. Porch, T.G.; Hall, A.E. Heat Tolerance. In Genomics and Breeding for Climate-Resilient Crops; Kole, C., Ed.; Springer: Berlin/Heidelberg, Germany, 2013; pp. 167–202. [Google Scholar] [CrossRef]
  10. Zhou, J.; Wang, J.; Li, X.; Xia, X.-J.; Zhou, Y.-H.; Shi, K.; Chen, Z.; Yu, J.-Q. H2O2 mediates the crosstalk of brassinosteroid and abscisic acid in tomato responses to heat and oxidative stresses. J. Exp. Bot. 2014, 65, 4371–4383. [Google Scholar] [CrossRef]
  11. Chavez-Arias, C.C.; Ligarreto-Moreno, G.A.; Restrepo-Díaz, H. Evaluation of heat stress period duration and the interaction of daytime temperature and cultivar on common bean. Environ. Exp. Bot. 2018, 155, 600–608. [Google Scholar] [CrossRef]
  12. Hermann, R.-D.; Gabriel, G.-V. Response of rice plants to heat stress during initiation of panicle primordia or grain-filling phases. J. Stress Physiol. Biochem. 2013, 9, 318–325. [Google Scholar]
  13. Chaturvedi, A.K.; Bahuguna, R.N.; Shah, D.; Pal, M.; Jagadish, S.V.K. High temperature stress during flowering and grain filling offsets beneficial impact of elevated CO2 on assimilate partitioning and sink-strength in rice. Sci. Rep. 2017, 7, 8227. [Google Scholar] [CrossRef]
  14. Sánchez-Reinoso, A.D.; Garcés-Varón, G.; Restrepo-Díaz, H. Biochemical and physiological characterization of three rice cultivars under different daytime temperature conditions. Chil. J. Agric. Res. 2014, 74, 373–379. [Google Scholar] [CrossRef][Green Version]
  15. Wahid, A.; Gelani, S.; Ashraf, M.; Foolad, M. Heat tolerance in plants: An overview. Environ. Exp. Bot. 2007, 61, 199–223. [Google Scholar] [CrossRef]
  16. Crop Information|Land & Water|Food and Agriculture Organization of the United Nations|Land & Water|Food and Agriculture Organization of the United Nations. Available online: https://www.fao.org/land-water/databases-and-software/crop-information/en/ (accessed on 2 December 2023).
  17. Abdelkader, M.; Zargar, M.; Murtazova, K.M.-S.; Nakhaev, M.R. Life Cycle Assessment of the Cultivation Processes for the Main Vegetable Crops in Southern Egypt. Agronomy 2022, 12, 1527. [Google Scholar] [CrossRef]
  18. Abdelkader, M.M.; Elsayed, H.M.A. Biodiversity of Photosynthetic Pigments, Macronutrients Uptake and Fruit Quality of Tomato Genotypes. Russ. J. Plant Physiol. 2022, 69, 50. [Google Scholar] [CrossRef]
  19. Naranjo, R.D.D.P.; Otaiza, S.; Saragusti, A.C.; Baroni, V.; Carranza, A.d.V.; Peralta, I.E.; Valle, E.M.; Carrari, F.; Asis, R. Hydrophilic antioxidants from Andean tomato landraces assessed by their bioactivities in vitro and in vivo. Food Chem. 2016, 206, 146–155. [Google Scholar] [CrossRef] [PubMed]
  20. Sadashiva, A.T.; Singh, A.; Kumar, R.P.; Sowmya, V.; D’mello, D.P. Tomato. In Abiotic Stress Physiology of Horticultural Crops; Rao, N.K.S., Shivashankara, K.S., Laxman, R.H., Eds.; Springer: New Delhi, India, 2016; pp. 121–131. [Google Scholar] [CrossRef]
  21. Hazra, P.; Samsul, H.A.; Sikder, D.; Peter, K.V. Breeding tomato (Lycopersicon esculentum Mill) resistant to high temperature stress. Int. J. Plant Breed. 2007, 1, 31–40. [Google Scholar]
  22. Trinklein, D.H. Starting Plants Indoors from Seeds (2012). Lawn and Garden. 2012. Available online: https://mospace.umsystem.edu/xmlui/handle/10355/51069 (accessed on 30 November 2023).
  23. Khairi, A.N.; Falah, M.A.F.; Suyantohadi, A.; Takahashi, N.; Nishina, H. Effect of storage temperatures on color of tomato fruit (Solanum lycopersicum Mill.) cultivated under moderate water stress treatment. Agric. Agric. Sci. Procedia 2015, 3, 178–183. [Google Scholar] [CrossRef]
  24. Ruggieri, V.; Calafiore, R.; Schettini, C.; Rigano, M.M.; Olivieri, F.; Frusciante, L.; Barone, A. Exploiting genetic and genomic resources to enhance heat-tolerance in tomatoes. Agronomy 2019, 9, 22. [Google Scholar] [CrossRef]
  25. Lurie, S.; Handros, A.; Fallik, E.; Shapira, R. Reversible inhibition of tomato fruit gene expression at high temperature (effects on tomato fruit ripening). Plant Physiol. 1996, 110, 1207–1214. [Google Scholar] [CrossRef] [PubMed]
  26. Peet, M.M.; Willits, D.H.; Gardner, R. Response of ovule development and post-pollen production processes in male-sterile tomatoes to chronic, sub-acute high temperature stress. J. Exp. Bot. 1997, 48, 101–111. [Google Scholar] [CrossRef]
  27. Peleg, Z.; Blumwald, E. Hormone balance and abiotic stress tolerance in crop plants. Curr. Opin. Plant Biol. 2011, 14, 290–295. [Google Scholar] [CrossRef]
  28. Ahammed, G.; Xia, X.-J.; Li, X.; Shi, K.; Yu, J.-Q.; Zhou, Y.-H. Role of Brassinosteroid in Plant Adaptation to Abiotic Stresses and its Interplay with Other Hormones. Curr. Protein Pept. Sci. 2015, 16, 462–473. [Google Scholar] [CrossRef]
  29. Ha, S.; Vankova, R.; Yamaguchi-Shinozaki, K.; Shinozaki, K.; Tran, L.-S.P. Cytokinins: Metabolism and function in plant adaptation to environmental stresses. Trends Plant Sci. 2012, 17, 172–179. [Google Scholar] [CrossRef]
  30. Siddiqui, M.W.; Bhattacharjya, A.; Chakraborty, I.; Dhua, R.S. 6-Benzylaminopurine Improves Shelf Life, Organoleptic Quality and Healthpromoting Compounds of Fresh-Cut Broccoli Florets. 2011. Available online: https://nopr.niscpr.res.in/handle/123456789/11927 (accessed on 2 December 2023).
  31. 6-Benzylaminopurine Plant Cell Culture Tested 1214-39-7. Available online: https://www.sigmaaldrich.com/EG/en/product/sigma/b3408 (accessed on 2 December 2023).
  32. Trong, L.V.; Thinh, B.B.; Hung, N.; Huyen, L.T.; Phuong, H.T. Effects of cytokinin on physiological and biochemical indicators of some tomato varieties (Solanum lycopersicum L.) cultivated in Vietnam. Pak. J. Biol. Sci. 2020, 23, 1462–1472. [Google Scholar] [CrossRef]
  33. Gupta, R.; Pizarro, L.; Leibman-Markus, M.; Marash, I.; Bar, M. Cytokinin response induces immunity and fungal pathogen resistance, and modulates trafficking of the PRR LeEIX2 in tomato. Mol. Plant Pathol. 2020, 21, 1287–1306. [Google Scholar] [CrossRef]
  34. Gupta, R.; Leibman-Markus, M.; Pizarro, L.; Bar, M. Cytokinin induces bacterial pathogen resistance in tomato. Plant Pathol. 2021, 70, 318–325. [Google Scholar] [CrossRef]
  35. Home|Climate Change Knowledge Portal. Available online: https://climateknowledgeportal.worldbank.org/ (accessed on 11 December 2023).
  36. Egyptian National Agricultural Library Catalog › MARC Details for Record No. 40138. Available online: http://nile.enal.sci.eg/cgi-bin/koha/opac-MARCdetail.pl?biblionumber=40138 (accessed on 2 December 2023).
  37. Abdelkader, M.M.; Gaplaev, M.S.; Terekbaev, A.A.; Puchkov, M.Y. The influence of biostimulants on tomato plants cultivated under hydroponic systems. J. Hortic. Res. 2021, 29, 107–116. [Google Scholar] [CrossRef]
  38. Navez, B.; Letard, M.; Grasselly, D.; Jost, M. Les Criteres de Qualite de la Tomate. Infos CTIFL France. 1999. Available online: https://agris.fao.org/search/en/providers/122439/records/6472334053aa8c8963020d85 (accessed on 9 December 2023).
  39. Verslues, P.E. Quantification of Water Stress-Induced Osmotic Adjustment and Proline Accumulation for Arabidopsis thaliana Molecular Genetic Studies. In Plant Stress Tolerance; Part of the Methods in Molecular Biology; Sunkar, R., Ed.; Humana Press: Totowa, NJ, USA, 2010; Volume 639, pp. 301–315. [Google Scholar] [CrossRef]
  40. Waterhouse, A.L. Determination of total phenolics. Curr. Protoc. Food Anal. Chem. 2002, 6, I1-1. [Google Scholar]
  41. Brand-Williams, W.; Cuvelier, M.-E.; Berset, C. Use of a free radical method to evaluate antioxidant activity. LWT-Food Sci. Technol. 1995, 28, 25–30. [Google Scholar] [CrossRef]
  42. Alici, E.H.; Arabaci, G. Determination of SOD, POD, PPO and cat enzyme activities in Rumex obtusifolius L. Annu. Res. Rev. Biol. 2016, 11, 1–7. [Google Scholar] [CrossRef]
  43. Waller, R.A.; Duncan, D.B. A Bayes Rule for the Symmetric Multiple Comparisons Problem. J. Am. Stat. Assoc. 1969, 64, 1484–1503. [Google Scholar] [CrossRef]
  44. Abdelkader, M.; Voronina, L.; Shelepova, O.; Puchkov, M.; Loktionova, E.; Zhanbyrshina, N.; Yelnazarkyzy, R.; Tleppayeva, A.; Ksenofontov, A. Monitoring Role of Exogenous Amino Acids on the Proteinogenic and Ionic Responses of Lettuce Plants under Salinity Stress Conditions. Horticulturae 2023, 9, 626. [Google Scholar] [CrossRef]
  45. Abdelkader, M.; Voronina, L.; Baratova, L.; Shelepova, O.; Zargar, M.; Puchkov, M.; Loktionova, E.; Amantayev, B.; Kipshakbaeva, A.; Arinov, B. Biostimulants-Based Amino Acids Augment Physio-Biochemical Responses and Promote Salinity Tolerance of Lettuce Plants (Lactuca sativa L.). Horticulturae 2023, 9, 807. [Google Scholar] [CrossRef]
  46. Mi, X.; Wang, X.; Wu, H.; Gan, L.; Ding, J.; Li, Y. Characterization and expression analysis of cytokinin biosynthesis genes in Fragaria vesca. Plant Growth Regul. 2017, 82, 139–149. [Google Scholar] [CrossRef]
  47. Prerostova, S.; Dobrev, P.I.; Gaudinova, A.; Knirsch, V.; Körber, N.; Pieruschka, R.; Fiorani, F.; Brzobohatý, B.; Cerný, M.; Spichal, L.; et al. Cytokinins: Their impact on molecular and growth responses to drought stress and recovery in Arabidopsis. Front. Plant Sci. 2018, 9, 655. [Google Scholar] [CrossRef] [PubMed]
  48. Selim, S.; Zrig, A.; Albqmi, M.; Al-Sanea, M.M.; Alnusaire, T.S.; Almuhayawi, M.S.; Al Jaouni, S.K.; Hussein, S.; Warrad, M.; AbdElgawad, H. BAP (6-Benzylaminopurine) Seed-Priming Enhanced Growth, Antioxidant Accumulation and Anthocyanin Metabolism in Olive Sprouts. Horticulturae 2023, 9, 1055. [Google Scholar] [CrossRef]
  49. Liu, Y.; Zhang, M.; Meng, Z.; Wang, B.; Chen, M. Research progress on the roles of cytokinin in plant response to stress. Int. J. Mol. Sci. 2020, 21, 6574. [Google Scholar] [CrossRef] [PubMed]
  50. Zrig, A.; Saleh, A.M.; Sheteiwy, M.S.; Hamouda, F.; Selim, S.; Abdel-Mawgoud, M.; Almuhayawi, M.S.; Okla, M.K.; Abbas, Z.K.; Al-Qahtani, W.H.; et al. Melatonin priming as a promising approach to improve biomass accumulation and the nutritional values of Chenopodium quinoa sprouts: A genotype-based study. Sci. Hortic. 2022, 301, 111088. [Google Scholar] [CrossRef]
  51. Voronov, S.; Pleskachiov, Y.; Shitikova, A.; Zargar, M.; Abdelkader, M. Diversity of the Biological and Proteinogenic Characteristics of Quinoa Genotypes as a Multi-Purpose Crop. Agronomy 2023, 13, 279. [Google Scholar] [CrossRef]
  52. Bewley, J.D. Seed germination and dormancy. Plant Cell 1997, 9, 1055. [Google Scholar] [CrossRef] [PubMed]
  53. Abdelkader, M.M.; Puchkov, M.Y.; Lysakov, M.A.; Loktionova, E.G.; Suliman, A.A. Effect of crezacin and humic acid on growth and physiological aspects of tomato plants (Lycopersicon esculentum). J. Appl. Hortic. 2019, 21, 61–66. [Google Scholar] [CrossRef]
  54. Dhillon, B.S.; Kumar, V.; Sagwal, P.; Kaur, N.; Mangat, G.S.; Singh, S. Seed priming with potassium nitrate and gibberellic acid enhances the performance of dry direct seeded rice (Oryza sativa L.) in north-western India. Agronomy 2021, 11, 849. [Google Scholar] [CrossRef]
  55. Matsuo, S.; Kikuchi, K.; Fukuda, M.; Honda, I.; Imanishi, S. Roles and regulation of cytokinins in tomato fruit development. J. Exp. Bot. 2012, 63, 5569–5579. [Google Scholar] [CrossRef]
  56. Ding, J.; Chen, B.; Xia, X.; Mao, W.; Shi, K.; Zhou, Y.; Yu, J. Cytokinin-induced parthenocarpic fruit development in tomato is partly dependent on enhanced gibberellin and auxin biosynthesis. PLoS ONE 2013, 8, e70080. [Google Scholar] [CrossRef]
  57. Van Staden, J.; Davey, J.E. The synthesis, transport and metabolism of endogenous cytokinins. Plant Cell Environ. 1979, 2, 93–106. [Google Scholar] [CrossRef]
  58. Mapelli, S. Changes in cytokinin in the fruits of parthenocarpic and normal tomatoes. Plant Sci. Lett. 1981, 22, 227–233. [Google Scholar] [CrossRef]
  59. Egea, I.; Estrada, Y.; Flores, F.B.; Bolarín, M.C. Improving production and fruit quality of tomato under abiotic stress: Genes for the future of tomato breeding for a sustainable agriculture. Environ. Exp. Bot. 2022, 204, 105086. [Google Scholar] [CrossRef]
  60. Hernández, V.; Hellín, P.; Fenoll, J.; Flores, P. Increased Temperature Produces Changes in the Bioactive Composition of Tomato, Depending on Its Developmental Stage. J. Agric. Food Chem. 2015, 63, 2378–2382. [Google Scholar] [CrossRef]
  61. Albert, E.; Segura, V.; Gricourt, J.; Bonnefoi, J.; Derivot, L.; Causse, M. Association mapping reveals the genetic architecture of tomato response to water deficit: Focus on major fruit quality traits. J. Exp. Bot. 2016, 67, 6413–6430. [Google Scholar] [CrossRef]
  62. Soare, R.; Maria, D.; Alexandru-Ioan, A.; Soare, M. The evolution of some nutritional parameters of the tomato fruit during the harvesting stages. Hortic. Sci. 2019, 46, 132–137. [Google Scholar] [CrossRef]
  63. Sima, R.; Maniutiu, D.; Apahidean, A.S.; Apahidean, M.; Lazar, V.; Muresan, C. The influence of fertilization on greenhouse tomatoes cultivated in peat bags system. Bull. UASVM Hortic. 2009, 66, 455–460. [Google Scholar]
  64. Duma, M.; Alsina, I.; Dubova, L.; Erdberga, I. Chemical composition of tomatoes depending on the stage of ripening. Chem. Technol. 2015, 66, 24–28. [Google Scholar] [CrossRef]
  65. Weingerl, V.; Unuk, T. Chemical and fruit skin colour markers for simple quality control of tomato fruits. Croat. J. Food Sci. Technol. 2015, 7, 76–85. [Google Scholar] [CrossRef]
  66. Dasgan, H.Y.; Dere, S.; Akhoundnejad, Y.; Arpaci, B.B. Effects of High-Temperature Stress during Plant Cultivation on Tomato (Solanum lycopersicum L.) Fruit Nutrient Content. J. Food Qual. 2021, 2021, 7994417. [Google Scholar] [CrossRef]
  67. Mesa, T.; Polo, J.; Arabia, A.; Caselles, V.; Munné-Bosch, S. Differential physiological response to heat and cold stress of tomato plants and its implication on fruit quality. J. Plant Physiol. 2022, 268, 153581. [Google Scholar] [CrossRef] [PubMed]
  68. Gharezi, M.; Joshi, N.; Sadeghian, E. Effect of postharvest treatment on stored cherry tomatoes. J. Nutr. Food Sci. 2012, 2, 1000157. [Google Scholar]
  69. Baloch, M.S.; Morimoto, T.; Hatou, K. Postharvest heat stress application to reduce water loss in tomato during storage. Agric. Eng. Int. CIGR J. 2006. Available online: http://cigrjournal.org/index.php/Ejounral/article/download/684/678 (accessed on 15 January 2024).
  70. Yasmeen, A.; Nouman, W.; Basra, S.M.A.; Wahid, A.; Rehman, H.U.; Hussain, N.; Afzal, I. Morphological and physiological response of tomato (Solanum lycopersicum L.) to natural and synthetic cytokinin sources: A comparative study. Acta Physiol. Plant. 2014, 36, 3147–3155. [Google Scholar] [CrossRef]
  71. Chen, J.; Wu, X.; Yao, X.; Zhu, Z.; Xu, S.; Zha, D. Exogenous 6-benzylaminopurine confers tolerance to low temperature by amelioration of oxidative damage in eggplant (Solanum melongena L.) seedlings. Braz. J. Bot. 2016, 39, 409–416. [Google Scholar] [CrossRef]
  72. Wang, K.; Shen, Y.; Wang, H.; He, S.; Kim, W.S.; Shang, W.; Wang, Z.; Shi, L. Effects of exogenous salicylic acid (SA), 6-benzylaminopurine (6-BA), or abscisic acid (ABA) on the physiology of Rosa hybrida ‘Carolla’under high-temperature stress. Horticulturae 2022, 8, 851. [Google Scholar] [CrossRef]
  73. Kumar, A.; Dutt, S.; Bagler, G.; Ahuja, P.S.; Kumar, S. Engineering a thermo-stable superoxide dismutase functional at sub-zero to> 50 C, which also tolerates autoclaving. Sci. Rep. 2012, 2, 387. [Google Scholar] [CrossRef]
  74. Jan, A.U.; Hadi, F. Potassium, zinc and gibberellic acid foliar application enhanced salinity stress tolerance, proline and total phenolic in sunflower (Helianthus annuus L.). Am.-Eurasian J. Agric. Environ. Sci. 2015, 15, 1835–1844. [Google Scholar]
  75. Sambangi, P. Phenolic Compounds in the Plant Development and Defense: An Overview. In Plant Stress Physiology; IntechOpen: London, UK, 2022. [Google Scholar]
  76. Hättenschwiler, S.; Vitousek, P.M. The role of polyphenols in terrestrial ecosystem nutrient cycling. Trends Ecol. Evol. 2000, 15, 238–243. [Google Scholar] [CrossRef]
  77. Oraki, H.; Aghaalikhana, M. Effect of water deficit stress on proline contents, soluble sugars, chlorophyll and grain yield of sunflower (Helianthus annuus L.) hybrids. Afr. J. Biotechnol. 2012, 11, 164–168. [Google Scholar]
  78. Kamran, M.; Danish, M.; Saleem, M.H.; Malik, Z.; Parveen, A.; Abbasi, G.H.; Jamil, M.; Ali, S.; Afzal, S.; Riaz, M.; et al. Application of abscisic acid and 6-benzylaminopurine modulated morpho-physiological and antioxidative defense responses of tomato (Solanum lycopersicum L.) by minimizing cobalt uptake. Chemosphere 2021, 263, 128169. [Google Scholar] [CrossRef] [PubMed]
  79. Talaat, N.B.; Shawky, B.T. Synergistic effects of salicylic acid and melatonin on modulating ion homeostasis in salt-stressed wheat (Triticum aestivum L.) plants by enhancing root H+-pump activity. Plants 2022, 11, 416. [Google Scholar] [CrossRef] [PubMed]
  80. Hasanuzzaman, M.; Raihan, R.H.; Masud, A.A.C.; Rahman, K.; Nowroz, F.; Rahman, M.; Nahar, K.; Fujita, M. Regulation of reactive oxygen species and antioxidant defense in plants under salinity. Int. J. Mol. Sci. 2021, 22, 9326. [Google Scholar] [CrossRef] [PubMed]
Figure 1. The maximum and minimum temperatures of the first season (A), the maximum and minimum temperatures of the second season (B), and the relative humidity of both seasons (C) during tomato crop growth in the Nubareyah area, Beheira Governorate, Egypt (2022–2023).
Figure 1. The maximum and minimum temperatures of the first season (A), the maximum and minimum temperatures of the second season (B), and the relative humidity of both seasons (C) during tomato crop growth in the Nubareyah area, Beheira Governorate, Egypt (2022–2023).
Horticulturae 10 00170 g001
Figure 2. Effect of BAP on physio-biochemical parameters: Leaf chlorophyll contents (A), total soluble solid (B), ascorbic acid contents (C), and acidity (D) of the tomato plants cultivated under heat stress conditions. Different small letters above the bars indicate significant differences between the means (p < 0.05).
Figure 2. Effect of BAP on physio-biochemical parameters: Leaf chlorophyll contents (A), total soluble solid (B), ascorbic acid contents (C), and acidity (D) of the tomato plants cultivated under heat stress conditions. Different small letters above the bars indicate significant differences between the means (p < 0.05).
Horticulturae 10 00170 g002aHorticulturae 10 00170 g002b
Figure 3. Effect of BAP on physio-biochemical parameters: Maturity degree (A) and taste index (B) of the tomato fruit cultivated under heat stress conditions. Different small letters above the bars indicate significant differences between the means (p < 0.05).
Figure 3. Effect of BAP on physio-biochemical parameters: Maturity degree (A) and taste index (B) of the tomato fruit cultivated under heat stress conditions. Different small letters above the bars indicate significant differences between the means (p < 0.05).
Horticulturae 10 00170 g003
Figure 4. Effect of BAP on antioxidant enzymes activities: Proline contents (A), total antioxidants (B), total phenolics (C) of the tomato plants cultivated under heat stress conditions. Different small letters above the bars indicate significant differences between the means (p < 0.05). FW and DW refer to the fresh weight and dry weight of tomato leaves.
Figure 4. Effect of BAP on antioxidant enzymes activities: Proline contents (A), total antioxidants (B), total phenolics (C) of the tomato plants cultivated under heat stress conditions. Different small letters above the bars indicate significant differences between the means (p < 0.05). FW and DW refer to the fresh weight and dry weight of tomato leaves.
Horticulturae 10 00170 g004
Figure 5. Effect of BAP on antioxidant enzyme activities: Superoxide dismutase (A), peroxidase (B), polyphenol oxidase (C) of the tomato plants cultivated under heat stress conditions. Different small letters above the bars indicate significant differences between the means (p < 0.05). FW refers to the fresh weight of tomato leaves.
Figure 5. Effect of BAP on antioxidant enzyme activities: Superoxide dismutase (A), peroxidase (B), polyphenol oxidase (C) of the tomato plants cultivated under heat stress conditions. Different small letters above the bars indicate significant differences between the means (p < 0.05). FW refers to the fresh weight of tomato leaves.
Horticulturae 10 00170 g005
Figure 6. The biological impact of applying 6-Benzylaminopurine on plant height and the number of leaves per tomato plant cultivated under heat stress conditions.
Figure 6. The biological impact of applying 6-Benzylaminopurine on plant height and the number of leaves per tomato plant cultivated under heat stress conditions.
Horticulturae 10 00170 g006
Table 1. Effect of BAP (6-Benzylaminopurine) on tomato plant height at 30, 60, 90, and 120 DAT, cultivated under heat stress conditions in the summer seasons of 2022 and 2023.
Table 1. Effect of BAP (6-Benzylaminopurine) on tomato plant height at 30, 60, 90, and 120 DAT, cultivated under heat stress conditions in the summer seasons of 2022 and 2023.
TreatmentsDays after Transplanting (DAT)
Cv.BAP306090120306090120
Season 2022Season 2023
CastlerockControl21.2 ± 0.35 d31.2 ± 0.41 f38.6 ± 0.34 e42.0 ± 0.42 d22.2 ± 0.41 c26.8 ± 0.68 ef32.6 d ± 0.5234.7 ± 0.43 d
300 ppm22.1 ± 0.31 c33.2 ± 0.38 f40.2 ± 0.31 de51.7 ± 0.33 c22.3 ± 0.44 c30.3 ± 0.61 e37.6 ± 0.41 cd45.0 ± 0.33 c
600 ppm21.3 ± 0.32 cd39.8 ± 0.42 d44.3 ± 0.33 d46.3 ± 0.35 cd22.3 ± 0.45 c32.6 ± 0.56 d41.2 ± 0.36 c51.0 ± 0.26 b
Fayrouz F1Control24.3 ± 0.37 b31.2 ± 0.28 f49.5 ± 0.42 c55.7 ± 0.28 b22.2 ± 0.47 c32.4 ± 0.51 d38.9 ± 0.37 c47.0 ± 0.32 c
300 ppm25.4 ± 0.25 ab46.3 ± 0.47 b51.3 ± 0.23 b56.3 ± 0.31 bc24.6 bc ± 0.4232.1 ± 0.52 d43.8 ± 0.29 c50.7 ± 0.21 b
600 ppm26.5 ± 0.21 a41.2 ± 0.41 cd58.9 ± 0.36 a63.7 ± 0.17 a23.5 ± 0.41 bc42.1 ± 0.39 b52.1 ± 0.23 a60.0 ± 0.13 a
GS 12 F1Control26.4 ± 0.18 a37.8 ± 0.46 d42.1 ± 0.31 d51.3 ± 0.33 c23.4 ± 0.43 bc32.8 ± 0.43 d40.6 ± 0.35 c48.3 ± 0.29 c
300 ppm26.5 ± 0.09 a42.1 ± 0.32 c55.4 ± 0.18 ab63.0 ± 0.17 ab27.4 ± 0.32 a39.8 ± 0.41 bc39.7± 0.37 c46.7 ± 0.31 c
600 ppm27.6 ± 0.13 a51.3 ± 0.21 a58.6 ± 0.27 a66.7 ± 0.12 a28.6 ± 0.34 a46.8 ± 0.37 a51.3 ± 0.24 a61.0 ± 0.09 a
Different letter(s) in each column indicate significant variations between the treatments (p ≤ 0.05).
Table 2. Effect of BAP (6-Benzylaminopurine) on the stem diameter of tomato plants at 30, 60, 90, and 120 DAT, cultivated under heat stress conditions in the summer seasons of 2022 and 2023.
Table 2. Effect of BAP (6-Benzylaminopurine) on the stem diameter of tomato plants at 30, 60, 90, and 120 DAT, cultivated under heat stress conditions in the summer seasons of 2022 and 2023.
TreatmentsDays after Transplanting (DAT)
Cv.BAP306090120306090120
Season 2022Season 2023
CastlerockControl0.21 ± 0.05 cd0.54 ± 0.04 b0.89 ± 0.09 d1.13 ± 0.06 d0.22 ± 0.04 c0.42 ± 0.05 cd0.99 ± 0.05 d1.07 ± 0.06 e
300 ppm0.23 ± 0.04 c0.43 ± 0.07 cd1.11 ± 0.09 c1.52 ± 0.04 c0.27 ± 0.03 c0.46 ± 0.04 c1.21 ± 0.04 cd1.28 ± 0.05 d
600 ppm0.21 ± 0.05 cd0.43 ± 0.07 cd1.21 ± 0.08 bc1.61 ± 0.04 b0.26 ± 0.03 bc0.42 ± 0.06 cd1.42 ± 0.04 c1.69 ± 0.05 b
Fayrouz F1Control0.21 ± 0.05 cd0.42 ± 0.05 c0.91 d ± 0.061.26 ± 0.05 d0.22 ± 0.03 c0.42 ± 0.06 cd0.98 ± 0.05 d1.15 ± 0.06 d
300 ppm0.24 ± 0.04 c0.43 ± 0.06 c1.41± 0.08 b1.74 ± 0.04 ab0.22 ± 0.04 c0.48 ± 0.05 c1.63 ± 0.04 b1.76 ± 0.05 b
600 ppm0.38 ± 0.02 a0.62 ± 0.04 ab1.62 ± 0.07 a1.92 ± 0.02 a0.23 ± 0.04 c0.57 ± 0.04 b1.88 ± 0.02 a1.98 ± 0.05 ab
GS 12 F1Control0.32 ± 0.04 b0.46 ± 0.06 c0.84 ± 0.09 d1.06 ± 0.07 f0.26 ± 0.03 bc0.43 ± 0.07 c0.81d ± 0.06 e1.15 ± 0.06 d
300 ppm0.32 ± 0.03 b0.62 ± 0.05 ab1.54 ± 0.09 ab1.93 ± 0.02 a0.28 ± 0.03 b0.58 ± 0.05 b1.89 ± 0.02 a1.98 ± 0.04 a
600 ppm0.21 ± 0.05 cd0.69 ± 0.03 a1.63 ± 0.08 a1.93 ± 0.02 a0.32 ± 0.02 a0.68 ± 0.03 a1.98 ± 0.02 a2.10 ± 0.04 a
Different letter(s) in each column indicate significant variations between the treatments (p ≤ 0.05).
Table 3. Effect of BAP (6-Benzylaminopurine) on the number of leaves/tomato plants at 30, 60, 90, and 120 DAT, cultivated under heat stress conditions during the summer seasons of 2022 and 2023.
Table 3. Effect of BAP (6-Benzylaminopurine) on the number of leaves/tomato plants at 30, 60, 90, and 120 DAT, cultivated under heat stress conditions during the summer seasons of 2022 and 2023.
TreatmentsDays after Transplanting (DAT)
Cv.BAP306090120306090120
Season 2022Season 2023
CastlerockControl8.9 ± 0.38 bc12.3 ± 0.81 e32.1 ± 1.09 cd42.3 ± 1.52 d6.5 ± 0.62 d12.6 ± 1.24 f32.4 ± 1.42 d43.3 ± 1.91 e
300 ppm8.2 ± 0.41 c15.3 ± 0.06 de35.4 ± 1.06 c44.0 ± 1.46 d6.7 ± 0.62 d15.6 ± 1.36 e35.1 ± 1.16 cd38.3 ± 1.98 ef
600 ppm9.7 ± 0.36 b14.7 ± 0.82 e41.2 ± 0.95 b50.3 ± 1.09 b9.2 ± 0.41 ab13.6 ± 1.44 ef41.2 ± 0.1.07 bc49.7 ± 1.19 c
Fayrouz F1Control7.9 ± 0.39 bc14.3 ± 0.84 e38.9 ± 1.02 c48.3 ± 1.12 b7.2 ± 0.52 c14.2 ± 1.31 e38.9 ± 1.08 c47.0 ± 1.20 cd
300 ppm11.3 ± 0.34 a24.3 ± 0.63 bc36.4 ± 1.01 c48.0 ± 1.13 b9.8 ± 0.31 a24.6 ± 0.84 cd34.2 ± 1.21 cd48.3 ± 1.18 c
600 ppm9.7 ± 0.38 b26.5 ± 0.53 b48.4 ± 0.87 a62.3 ± 1.03 a9.3 ± 0.37 ab26.8 ± 0.92 c48.5 ± 0.87 ab61.7 ± 1.09 bc
GS 12 F1Control8.6 ± 0.39 bc13.2 ± 0.82 e31.2 ± 1.11 d42.3 ± 1.53 d8.2 ± 0.43 b12.2 ± 1.28 e33.3 ± 1.25 d40.3 ± 1.93 e
300 ppm10.4 ± 0.37 ab28.4 ± 0.51 ab32.5 ± 1.10 d49.1 ± 1.31 c10.1 ± 0.33 a24.6 ± 0.81 cd34.6 ± 1.21 cd46.0 ± 1.72 d
600 ppm9.8 ± 0.38 b32.1 ± 0.39 a50.4 ± 0.93 a65.0 ± 1.01 a9.1 ± 0.31 a32.4 ± 0.62 a52.3 ± 0.81 a60.0 ± 0.63 a
Different letter(s) in each column indicate significant variations between the treatments (p ≤ 0.05).
Table 4. Effect of BAP (6-Benzylaminopurine) on the number of tomato plants’ branches at 30, 60, 90, and 120 DAT, cultivated under heat stress conditions in the summer seasons of 2022 and 2023.
Table 4. Effect of BAP (6-Benzylaminopurine) on the number of tomato plants’ branches at 30, 60, 90, and 120 DAT, cultivated under heat stress conditions in the summer seasons of 2022 and 2023.
TreatmentsDays after Transplanting (DAT)
Cv.BAP306090120306090120
Season 2022Season 2023
CastlerockControl2.1± 0.11 d3.2 ± 0.39 c4.6 ± 0.31 e5.3 ± 0.31 e2.4 ± 0.07 b3.1 ± 0.05 c4.4 d± 0.31 e5.0 ± 0.33 f
300 ppm2.1± 0.12 d4.3 ± 0.28 b5.6 ± 0.21 d6.7 ± 0.32 d2.2 ± 0.09 c4.2 ± 0.05 b5.8 ± 0.2 d5.9 ± 0.31 d
600 ppm2.0 ± 0.11 e4.6 ± 0.20 a7.4 ± 0.26 b9.0 ± 0.26 ab2.2 ± 0.09 c4.8 ± 0.03 a7.6 ± 0.18 b7.7 ± 0.27 b
Fayrouz F1Control2.3 ± 0.09 c4.1 ± 0.27 b6.4 ± 0.27 bc7.3 ± 0.31 c2.2 ± 0.08 c4.2 ± 0.05 b6.3 ± 0.21 c6.8 ± 0.31 d
300 ppm2.2 ± 0.11 d4.4 ± 0.19 ab6.3 ± 0.29 c8.3 ± 0.29 b2.4 ± 0.06 b4.2 ± 0.06 b6.2 ± 0.24 cd6.7 ± 0.26 bc
600 ppm2.8 ± 0.09 b4.6 ± 0.22 a8.3 ± 0.20 a10.0 ± 0.26 a2.5 ± 0.06 ab4.8 ± 0.04 a8.8 ± 0.12 a9.3 ± 0.22 a
GS 12 F1Control2.1 ± 0.12 d3.2 ± 0.38 c4.8 ± 0.29 de6.3 ± 0.29 d2.2 ± 0.09 c3.1 ± 0.08 c4.5 ± 0.29 d6.0 ± 0.28 c
300 ppm2.3 ± 0.10 c4.6 ± 0.21 a6.8 ± 0.27 b7.3 ± 0.29 c2.2 ± 0.09 c4.2 ± 0.06 b6.2 ± 0.27 d7.3 ± 0.26 b
600 ppm3.1 ± 0.08 a4.8 ± 0.16 a7.8 ± 0.21 a9.3 ± 0.27 ab2.7 ± 0.05 a4.6 ± 0.03 a8.5 ± 0.16 a9.7 ± 0.21 a
Different letter(s) in each column indicate significant variations between the treatments (p ≤ 0.05).
Table 5. Effect of BAP (6-Benzylaminopurine) on the number of flowers/tomato plants at 60, 90, and 120 DAT, cultivated under heat stress conditions in the summer seasons of 2022 and 2023.
Table 5. Effect of BAP (6-Benzylaminopurine) on the number of flowers/tomato plants at 60, 90, and 120 DAT, cultivated under heat stress conditions in the summer seasons of 2022 and 2023.
TreatmentsDays after Transplanting (DAT)
Season 2022Season 2023
Cv.BAP60901206090120
CastlerockControl3.2 ± 0.06 d11.3 ± 2.81 g23.6 ± 2.91 g2.1 ± 0.13 de12.3 ± 1.48 f23.0 ± 2.71 f
300 ppm4.1b ± 0.05 c14.3 ± 2.62 f28.8 ± 2.69 f4.4b ± 0.11 c13.3 ± 1.54 f28.3 ± 2.36 e
600 ppm5.4 ± 0.03 a23.2 ± 2.11 e27.3 ± 2.74 fg4.9 ± 0.13 b22.2 ± 1.43 e27.0 ± 2.41 e
Fayrouz F1Control2.1 ± 0.08 f20.5 ± 2.09 e51.0 ± 2.82 d2.2 ± 0.13 de32.5 ± 1.72 cd50.4 ± 2.09 c
300 ppm3.5 ± 0.04 a21.3 ± 2.31 e54.0 ± 2.86 cd5.7 ± 0.09 a26.3 ± 1.16 d54.0 ± 1.94 c
600 ppm4.6 ± 0.04 b45.4 ± 1.07 b75.7 ± 1.82 a4.9 ± 0.18 b36.4 ± 1.98 c76.3 ± 1.14 a
GS 12 F1Control3.2 ± 0.06 d38.5 ± 1.18 cd57.0 ± 2.86 c2.5 ± 0.13 d42.5 ± 1.14 b56.3 ± 1.83 c
300 ppm5.4 ± 0.03 a41.2 ± 1.23 c62.0 ± 2.83 bc4.7 ± 0.11 b51.2 ± 0.85 a61.3 ± 1.35 b
600 ppm3.6 ± 0.06 c54.3 ± 0.82 a67.3 ± 2.61 b5.4 ± 0.08 a49.3 ± 0.82 a66.5 ± 1.34 b
Different letter(s) in each column indicate significant variations between the treatments (p ≤ 0.05).
Table 6. Effect of BAP (6-Benzylaminopurine) on the number of clusters/tomato plants at 60, 90, and 120 DAT, cultivated under heat stress conditions in the summer seasons of 2022 and 2023.
Table 6. Effect of BAP (6-Benzylaminopurine) on the number of clusters/tomato plants at 60, 90, and 120 DAT, cultivated under heat stress conditions in the summer seasons of 2022 and 2023.
TreatmentsDays after Transplanting (DAT)
Season 2022Season 2023
Cv.BAP60901206090120
CastlerockControl1.1 ± 0.07 g 2.1 ± 0.03 e3.2 ± 0.05 f1.6 ± 0.03 e3.1 ± 0.06 cd3.2 ± 0.13 f
300 ppm1.2 ± 0.07 f3.0 ± 0.03 d4.2 ± 0.03 cd1.3 ± 0.05 f3.3 ± 0.05 c4.2 ± 0.13 ef
600 ppm1.6 ± 0.06 e2.5 ± 0.03 de6.4 ± 0.03 c1.4 ± 0.05 f4.5 ± 0.04 bc6.4 ± 0.08 c
Fayrouz F1Control2.0 ± 0.06 d3.2 ± 0.03 d4.9 ± 0.04 d2.1 ± 0.03 cd3.3 ± 0.05 c4.9 ± 0.11 d
300 ppm2.5 ± 0.03 b6.5 ± 0.03 c7.6 ± 0.02 b2.2 ± 0.02 c5.5 ± 0.03 a7.6 ± 0.08 b
600 ppm2.8 ± 0.02 a6.9 ± 0.01 a8.7 ± 0.02 a2.1 ± 0.03 cd5.6 ± 0.04 a8.7 ± 0.6 a
GS 12 F1Control2.1 ± 0.05 c2.8 ± 0.03 d4.9 ± 0.05 d2.5 ± 0.02 ab2.3 ± 0.08 e4.9 ± 0.10 d
300 ppm2.2 ± 0.05 c4.9 ± 0.02 b7.2 ± 0.03 bc2.6 ± 0.01 a4.5 ± 0.06 bc7.2 ± 0.07 b
600 ppm2.5 ± 0.03 b4.6 ± 0.02 c6.7 ± 0.03 c2.7 ± 0.01 a5.8 ± 0.04 a7.9 ± 0.06 ab
Different letter(s) in each column indicate significant variations between the treatments (p ≤ 0.05).
Table 7. Effect of BAP (6-Benzylaminopurine) on the number of flowers/clusters at 60, 90, and 120 DAT, cultivated under heat stress conditions in the summer seasons of 2022 and 2023.
Table 7. Effect of BAP (6-Benzylaminopurine) on the number of flowers/clusters at 60, 90, and 120 DAT, cultivated under heat stress conditions in the summer seasons of 2022 and 2023.
TreatmentsDays after Transplanting (DAT)
Season 2022Season 2023
Cv.BAP60901206090120
CastlerockControl2.1 ± 0.05 fg3.1 ± 0.06 f5.9 ± 0.12 d4.4 ± 0.07 de4.9 ± 0.06 bc5.9 ± 1.32 d
300 ppm2.2 ± 0.05 fg4.6 ± 0.07 e5.8 ± 0.12 d3.4 ± 0.08 f5.4 ± 0.05 b6.8 ± 1.10 c
600 ppm3.1 ± 0.04 ef4.8 ± 0.06 de6.8 ± 0.08 c4.6 ± 0.08 d6.3 ± 0.05 ab7.1 ± 1.04 be
Fayrouz F1Control3.8 ± 0.04 e4.3 ± 0.05 de5.4 ± 0.11 de4.2 ± 0.07 e4.5 ± 0.08 c5.4 ± 1.34 d
300 ppm4.6 ± 0.04 d5.4 ± 0.05 d6.7 ± 0.09 c4.2 ± 0.08 e4.4 ± 0.09 c6.7 ± 1.12 c
600 ppm6.5 ± 0.02 a6.9 ± 0.04 c8.9 ± 0.06 a6.3 ± 0.03 a6.7 ± 0.04 a8.9 ± 0.08 a
GS 12 F1Control2.1± 0.06 g4.6 ± 0.05 d5.3 ± 0.13 de4.1 ± 0.08 de4.6 ± 0.09 c5.2 ± 0.33 d
300 ppm5.7 ± 0.03 c6.4 ± 0.05 c6.9 ± 0.10 c4.7 ± 0.06 d5.4 ± 0.06 b6.9 ± 1.09 c
600 ppm6.2 ± 0.03 b8.6 ± 0.02 a8.9 ± 0.06 a5.2 ± 0.06 c6.8 ± 0.04 a8.9 ± 0.08 a
Different letter(s) in each column indicate significant variations between the treatments (p ≤ 0.05).
Table 8. Effect of BAP (6-Benzylaminopurine) on the number of fruit/plant (NFT) at 60, 90, and 120 DAT, cultivated under heat stress conditions in the summer seasons of 2022 and 2023.
Table 8. Effect of BAP (6-Benzylaminopurine) on the number of fruit/plant (NFT) at 60, 90, and 120 DAT, cultivated under heat stress conditions in the summer seasons of 2022 and 2023.
TreatmentsDays after Transplanting (DAT)
Season 2022Season 2023
Cv.BAP60901206090120
CastlerockControl4.1 ± 0.07 f3.3 ± 0.26 g15.9 ± 0.37 g4.0 ± 0.21 e3.6 ± 0.27 f18.6 ± 0.46 h
300 ppm6.2 ± 0.06 c7.8 ± 0.22 d14.2 ± 0.37 g4.8 ± 0.18 de6.7 ± 0.21 e18.7 ± 0.41 gh
600 ppm4.6 ± 0.08 e 13.2 ± 0.12 a27.9 ± 0.35 f5.8 ± 0.18 d11.3 ± 0.14 c26.3 ± 0.31 e
Fayrouz F1Control4.1 ± 0.08 f7.9 ± 0.19 d26.4 ± 0.33 g2.3 ± 0.33 g10.3 ± 0.18 d6.5 ± 0.37 f
300 ppm8.2 ± 0.04 b11.2 ± 0.16 b39.0 ± 0.22 b4.5 ± 0.21 e13.2 ± 0.09 b39.1 ± 0.22 c
600 ppm8.2 ± 0.04 b12.6 ± 0.14 ab45.2 ± 0.08 a9.4 ± 0.06 a14.6 ± 0.05 a46.4 ± 0.11 a
GS 12 F1Control6.1 ± 0.06 c5.4 ± 0.21 f25.7 ± 0.35 g6.8 ± 0.14 c7.4 ± 0.22 e23.3 ± 0.39 g
300 ppm4.9 ± 0.07 d10.9 ± 0.18 c33.7 ± 0.27 c7.1 ± 0.09 b11.5 ± 0.13 c32.1 ± 0.28 d
600 ppm9.4 ± 0.03 a12.9 ± 0.13 a45.7 ± 0.08 a9.4 ± 0.06 a14.2 ± 0.04 a43.1 ± 0.13 b
Different letter(s) in each column indicate significant variations between the treatments (p ≤ 0.05).
Table 9. Effect of BAP (6-Benzylaminopurine) on the yield components (average fruit weight, fruit yield/plant, total yield, and marketable yield) of tomatoes cultivated under heat stress conditions in the summer seasons of 2022 and 2023.
Table 9. Effect of BAP (6-Benzylaminopurine) on the yield components (average fruit weight, fruit yield/plant, total yield, and marketable yield) of tomatoes cultivated under heat stress conditions in the summer seasons of 2022 and 2023.
TreatmentAverage Fruit Weight (g)Fruit Yield/Plant (kg)Total Yield (ton/ha)Marketable Yield, %Average Fruit Weight (g)Fruit Yield/Plant (kg)Total Yield (ton/ha)Marketable Yield, %
Cv.BAPSeason 2022Season 2023
CastlerockControl118 ± 3.92 e1.81 ± 0.33 e48.0 ± 1.83 g89.6 ± 0.14 b123 ± 1.77 e1.92 ± 0.25 e51 ± 0.41 d90.20 ± 0.57 c
300 ppm122 ± 3.77 de2.26 ± 1.24 d60.0 ± 1.57 d96.7 ± 0.12 a121 ± 1.72 e2.34 ± 0.25 b62 ± 0.39 e91.94 ± 0.43 b
600 ppm125± 3.73 d2.38 ± 1.12 ed63.0 ± 1.09 e98.0 ± 0.12 a135 ± 1.44 d2.49 ± 0.21 b66 ± 0.36 e95.45 ± 0.28 a
Fayrouz F1Control132 ± 3.51 ed2.60 ± 1.6 e69.0 ± 1.49 d95.7 ± 0.13 ab138 ± 1.26 e2.38 ± 0.18 b63 ± 0.52 f96.83 ± 0.26 a
300 ppm137 ± 2.82 b3.06 ± 0.09 b81.0 ± 1.08 e88.9 ± 0.15 b141 ± 0.98 b3.28 ± 0.11 a87 ± 0.33 b93.10 ± 0.41 b
600 ppm145 ± 1.33 a3.51 ± 0.06 a93.0 ± 0.19 b92.5 ± 0.15 b149 ± 0.92 a3.51 ± 0.09 a93 ± 0.31 ab90.32 ± 0.51 bc
GS 12 F1Control134 ± 3.10 c2.83 ± 1.02 c75.0 ± 1.04 e85.3 ± 0.18 e138 ± 1.24 e2.98 ± 0.13 ab79 ± 0.42 bc92.41 ± 0.48 b
300 ppm132 ± 3.44 cd3.47 ± 0.07 a92.0 ± 0.18 ab96.7 ± 0.09 a137 ± 1.41 ed3.70 ± 0.09 a98 ± 0.28 a92.86 ± 0.42 b
600 ppm137 ± 2.79 b3.89 ± 0.06 a103.0 ± 0.16 a96.1 ± 0.13 a140 ± 0.98 b4.00 ± 0.09 a106 ± 0.25 a95.28 ± 0.29 a
Different letter(s) in each column indicate significant variations between the treatments (p < 0.05).
Disclaimer/Publisher’s Note: The statements, opinions and data contained in all publications are solely those of the individual author(s) and contributor(s) and not of MDPI and/or the editor(s). MDPI and/or the editor(s) disclaim responsibility for any injury to people or property resulting from any ideas, methods, instructions or products referred to in the content.

Share and Cite

MDPI and ACS Style

Suliman, A.A.; Elkhawaga, F.A.; Zargar, M.; Bayat, M.; Pakina, E.; Abdelkader, M. Boosting Resilience and Efficiency of Tomato Fields to Heat Stress Tolerance Using Cytokinin (6-Benzylaminopurine). Horticulturae 2024, 10, 170. https://doi.org/10.3390/horticulturae10020170

AMA Style

Suliman AA, Elkhawaga FA, Zargar M, Bayat M, Pakina E, Abdelkader M. Boosting Resilience and Efficiency of Tomato Fields to Heat Stress Tolerance Using Cytokinin (6-Benzylaminopurine). Horticulturae. 2024; 10(2):170. https://doi.org/10.3390/horticulturae10020170

Chicago/Turabian Style

Suliman, Ahmad A., Fathia A. Elkhawaga, Meisam Zargar, Maryam Bayat, Elena Pakina, and Mostafa Abdelkader. 2024. "Boosting Resilience and Efficiency of Tomato Fields to Heat Stress Tolerance Using Cytokinin (6-Benzylaminopurine)" Horticulturae 10, no. 2: 170. https://doi.org/10.3390/horticulturae10020170

APA Style

Suliman, A. A., Elkhawaga, F. A., Zargar, M., Bayat, M., Pakina, E., & Abdelkader, M. (2024). Boosting Resilience and Efficiency of Tomato Fields to Heat Stress Tolerance Using Cytokinin (6-Benzylaminopurine). Horticulturae, 10(2), 170. https://doi.org/10.3390/horticulturae10020170

Note that from the first issue of 2016, this journal uses article numbers instead of page numbers. See further details here.

Article Metrics

Back to TopTop