Abstract
Streptomyces, one of the largest genera belonging to the phylum Actinobacteria, contribute to more than 60% of the clinically relevant antibiotics. The present study outlined the genomics and the metabolomics of a mangrove-derived Streptomyces murinus THV12 strain. The Illumina Hiseq 2500 platform-based whole-genome sequencing of the Streptomyces strain generated a consensus sequence of 8,363,247 bp with 107 contigs and 7345 protein-coding genes, which shared significant homology with genes from Streptomyces murinus. The detection of secondary metabolite biosynthetic gene clusters (smBGCs) in the genome performed using the pipeline antiSMASH v6.1.1 revealed that the strain harbored 47 secondary metabolite clusters, which represented 17.9% of the 8.3 Mb genome. The smBGCs belonged to the metabolite categories: PKS, NRPS, ectoine, lassopeptides, lantipeptides, melanin, siderophores, terpenes and other putative products. The strain showed broad-spectrum antimicrobial activity with a inhibition zone of 30 mm against Gram-positive bacteria and Candida albicans. The secondary metabolite profiling of the crude extracts from the fermentation broth of THV12 was performed with the HPLC system coupled with an Orbitrap Exploris120 high-resolution mass spectrometer. As revealed by in silico analysis, compounds such as actinomycin D, pentamycin, desferrioxamine E and cinnabaramide A were detected with MS/MS analysis. Apart from this, compounds belonging to different chemical scaffolds, such as cyclic and linear peptides, bacterial alkaloids, linear polyketides and terpenoids, were also present in the fermentation broth of the strain when cultivated under the OSMAC (One Strain Many Compounds) approach. Thus, the combined strategy of genome mining and metabolomics of the mangrove-derived strain aided in exploring the chemical diversity of BGCs and new chemical entities, which can contribute to drug leads.
1. Introduction
Streptomyces are the most well-known and largest genus of the phylum Actinobacteria, contributing to 70–80% of natural bioactive compounds which are relevant in pharmaceutical and agrochemical fields []. They are prominent sources of antibiotics, enzymes, antivirals, antifungals, antitumor, antiparasitics, insecticides, herbicide agents, etc. []. The latest Streptomyces-sp.-derived antibiotic compound, platensimycin, was released in the year 2006 []. The presence of secondary metabolite biosynthetic gene clusters (smBGCs) in the genome plays a key role in the diversity of the broad chemical products displayed by Streptomyces. Genome mining paved the way to explore potential biosynthetic gene clusters involved in complex cascade pathways so that the skeletal structures of the related products can be predicted and the expression of cryptic gene clusters can be triggered, which can lead to novel biomolecule discovery []. The expression of biosynthetic gene clusters are controlled by different classes of regulatory proteins, greatly influenced by environmental and physiological signals, which in turn can result in the activation of secondary metabolite production. Nowadays, the OSMAC (One Strain Many Compounds) approach is extensively used to induce the synthesis of those compounds that are not normally expressed in conventional fermentation processes []. Different altered culture conditions, such as variation of cultivation media components [], application of physical and chemical elicitors [,], co-cultivation/interspecies crosstalk approaches [,], etc., are normally employed to evoke the silent gene expression. A combined strategy of genome mining and the OSMAC approach can be applied to reveal fascinating insights of smBGCs and for the investigation of new biosynthetic compounds from actinomycetes.
In the present study, a mangrove-derived Streptomyces murinus THV12 strain was subjected to both genome and metabolome analysis in order to explore the biosynthetic potential completely. The strain was grown under different conditions in order to express the secondary metabolites maximally (OSMAC approach) and the High-Resolution Liquid Chromatography Mass Spectrometer (LC-HR-MS/MS)-based compound detection was enabled to investigate the BGC diversity in the strain. Genome mining of the THV12 strain led to the prediction of 47 putative BGCs in the genome, and concurrently mass spectrometry coupled with liquid chromatography aided in the fruitful detection of compounds such as actinomycin D, pentamycin, desferrioxamine E and cinnabaramide A from the fermentation broth as predicted by whole-genome sequencing. Besides compounds belonging to cyclic polypeptides, 2,5-diketopiperazines (DKPs), bacterial alkaloids and Streptomyces terpenoids, such as diterpene and sesquiterpene, were also detected in the mass spectrum analysis of the metabolite crude extract. The results of the present study will expand and bolster the current perceptions about biosynthetic gene cluster pathways and metabolite profiling in Streptomyces.
2. Materials and Methods
2.1. Isolation of S. murinus THV12 Strain
The S. murinus THV12 strain was isolated from the sediment of the mangrove area of Vembanad estuary, Kochi, South India. The sediment sample was pretreated with dry heat (100 °C for 60 min) and 1.5% phenol for 30 min at RT to favor the growth of actinomycetes []. The strain was isolated using Actinomycetes isolation agar (AIA) (BD Difco Laboratories) and International Streptomyces Project (ISP) media supplemented with nalidixic acid (25 mg/L) and cycloheximide (50 mg/L) with the serial dilution method. Primary identification of the particular strain was performed by 16S rRNA sequence amplification using the universal primers 27F (5′-AGAGTTTGATCCTGGCTCAG-3′) and 1492R (5′-TACGGCTACCTTGTTACGACTT-3′) followed by Sanger sequencing [].
2.2. Antimicrobial Activity Assay of S. murinus-Derived Secondary Metabolites
The S. murinus strain was inoculated in starch casein broth, followed by incubation for 10 days at 28 °C. The fermentation broth was centrifuged at 5000 rpm for 5 min to separate cells from the supernatant. The crude extract was prepared from the supernatant using ethyl acetate. Fractions of the resultant extracts obtained through flash evaporation were finally diluted to 1 mg/mL using dimethyl sulfoxide and then used for antimicrobial activity assays. The disc-diffusion method of Kirby and Bauer was employed for determining the sensitivity or resistance of pathogenic microbes to secondary metabolites derived from the THV12 strain. Disc-diffusion assay was performed with 20 μg of metabolite extract against pathogens such as Methicillin-resistant staphylococcus aureus ATCC 43300, Aeromonas hydrophila ATCC 35654, Enterobacter cloacae ATCC 13047, Klebsiella pneumonia ATCC 700603, Enterococcus faecalis ATCC 29212, Escherichia coli ATCC 10536, Pseudomonas aeruginosa ATCC 10145, Listeria monocytogenes ATCC 15313, Bacillus cereus ATCC 14579 and Candida albicans NCIM 3100. DMSO was used as the control for the activity assay and the tests were performed in duplicates for reproducibility.
2.3. Determination of Minimum Inhibitory Concentration (MIC) and Minimum Bactericidal Concentration (MBC)
The determination of the minimum inhibitory concentration of the metabolite crude extract was performed using the micro-dilution method []. For susceptibility testing, the extract was dissolved in 10% DMSO and the respective concentrations (1024, 512, 256, 128, 64, 32, 16, 8, 4, 2 and 1 μg/mL) was added to 0.l mL Mueller–Hinton Broth (MHB; BD Difco Laboratories) in a 96-well microtitre plate. An equal volume of active log phase culture was loaded into the respective wells so that the final concentration of the cells was adjusted to 1 × 106 cfu/mL. The plate was incubated at 37 °C for 24 h and the MIC of the antimicrobial extract was determined by noting the lowest concentration which completely inhibited the growth of the test pathogens visibly. The MBC was determined by streaking a loopful of test broth from the microtitre plate on completion of the MIC test onto MHA plates. The experiments were performed with erythromycin and nystatin as positive control for bacterial pathogens and fungal pathogens, respectively, and DMSO as negative control.
2.4. Whole-Genome Sequencing and Analysis of S. murinus THV12 Strain
For genomic DNA extraction, the strain was inoculated into Trypticase soy broth (BD Difco Laboratories) and grown for 2 days at 28 °C with shaking at 200 rpm. Genomic DNA was extracted using the QIAGEN Bacterial DNA Extraction Kit (QIAGEN, Hilden, Germany) following the manufacturer’s instructions. Genomic DNA was then used to generate a paired-end (PE) library with insert sizes of 300 bp using a NEBNext Ultra DNA Library prep kit (Illumina) following the manufacturer’s instructions. The library was sequenced using the Illumina Hiseq 2500 platform and the genome assembly was performed using de novo assembler Unicycler version 0.4.8. The assembly statistics were performed using QUAST version 4.6 and the levels of the conserved genes were generated using BUSCO version 5.2.2. The prediction of CDS from the assembled contigs was performed using Prodigal version 2.6.3 and the predicted genes were annotated using Prokka and the BLASTX version 2.6.0 program for matching with the UniProt database. The analysis of cluster of orthologous groups (COG) was performed using the WebMGA platform by comparing all predicted and known proteins against the database to infer all orthologs. CRISPRFinder (http://crispr.i2bc.paris-saclay.fr (accessed on 21 June 2022)) was used to find clustered regularly interspaced short palindromic repeats (CRISPRs) in the S. murinus THV12 genome. The secondary metabolite gene cluster prediction, annotation and analysis was performed using the software pipeline antiSMASH version 6.0 (http://antismash.secondarymetabolites.org/ (accessed on 18 June 2022)) []. BAGEL 4 analysis was performed to reinstate the presence of ribosomally synthesized and post-translationally modified peptides (RiPPs) (http://bagel4.molgenrug.nl (accessed on 19 June 2022)). Antibiotic-Resistant Target Seeker (ARTS) version 2.0 (https://arts.ziemertlab.com (accessed on 27 June 2022)) was used for mining the resistance factors and antibiotic targets in the genome.
2.5. One Strain Many Compounds Strategy for S. murinus THV 12 Strain
The carbon and nitrogen sources in the fermentation medium play a significant role in microbial cell proliferation and microbial secondary metabolites (MSMs) production. During the stationary phase, the carbon source determines the balance between the cell proliferation and the MSM production; apparently the nitrogen source, in the form of amino acids, has a key role in PKS and NRPS product structure []. The source concentration of carbon and nitrogen evidently proved its impact on the synthesis of antifungal metabolites from Streptomyces hygroscopicus []. The level of surugamides was found with a greater peak of intensity in starch casein broth (SCB medium) when Streptomyces sp. BRB081 was cultivated with six different culture media [].
In the present study, eight different culture media with varying carbon and nitrogen sources were employed for fermentation process in order to elicit diverse secondary metabolite pathways. S. murinus THV12 was activated by culturing on starch casein agar (SCA) medium for 4 days at 28 °C, and then the activated culture was inoculated into 100 mL TSB medium and cultured for 48 h at 28 °C and 180 rpm for preparing seed culture. Then, 10mL of seed culture was transferred into 200 mL of each eight different fermentation media for the secondary metabolite synthesis: (1) Starch casein broth (per L): soluble starch 10.0 g, casein 0.3 g, NaCl 2.0 g, KNO3 2.0 g, K2HPO4 2.0 g, MgSO4·7H2O 0.05 g, CaCO3 0.02g, FeSO4·7H2O 0.01 g; (2) Oat meal broth (per L): oat meal 20.0 g, trace elements solution (FeSO4·7H2O 1 g/L, MnCl2·4H2O 1 g/L, ZnSO4·7H2O 1 g/L)-1 mL; (3) ISP-2 (per L): yeast extract 4.0 g, malt extract 10.0 g, dextrose 4.0 g, pH 7.3; (4) ISP-5 (per L): L-asparagine 1.0 g, glycerol 10.0 g, K2HPO4 1.0 g, trace elements solution (FeSO4·7H2O 1 g/L, MnCl2·4H2O 1 g/L, ZnSO4·7H2O 1 g/L)-1 mL, pH 7.4; (5) R5M (per L): glucose 10.0 g, yeast extract 5.0 g, casamino acids 0.1 g, MgCl2·6H2O 10.12 g, trace elements solution (ZnCl 40 mg/L, FeCl3·6H2O 200 mg/L, CuCl2·2H2O 10 mg/L, MnCl2·4H2O 10 mg/L, Na2B4O7·10H2O 10 mg/L, (NH4)6Mo7O24·4H2O 10 mg/L) 2 mL, pH 7.5; (6) Czapek Dox broth—CzDB (per L): sucrose 30.0 g, NaNO3 2.0 g, K2HPO4 1.0 g, MgSO4 0.5g, KCl 0.5 g, FeSO4 0.01 g, pH 7.5; (7) Potato Dextrose broth—PDB (per L): potato infusion 200.0 g, glucose 20.0 g, pH 7.5; (8) Glucose Soyabean meal broth—GSB (per L): glucose 10.0 g, soyabean meal 10.0 g, NaCl 5.0 g, CaCO3 1.0 g, pH 7.2.
In our study, we employed starch casein broth with 5% ethanol and 3% DMSO with seed culture to investigate secondary metabolism enhancement through a chemical elicitation mechanism. Organic solvents, inorganic metals and small-molecule chemical elicitors can increase the antibiotic production levels. Chemical elicitors such as DMSO and ethanol were found to have an intense impact on Streptomyces’ secondary metabolite gene expression by employing their effects on carbon metabolism, regulation of gene expression, alteration of membrane structure, etc. [,]. In Streptomyces azureus ATCC14921, the production of thiostreptone was increased two-fold in the presence of 3–5% DMSO [] and the yield of jadomycin B was enhanced in S. venezuelae culture supplemented with 6% ethanol []. The fatty acid metabolism in Streptomyces was proven to be unregulated with DMSO treatment, which in turn significantly influenced the biosynthesis of CoA compounds, the starter units for the secondary metabolites synthesis []. DMSO have proven its potent effect in chemical elicitation by inducing metabolite versatility in many Streptomyces spp.
The S. murinus THV12 strain was co-cultured with 1% of each of the cultures, such as Streptomyces rochei, Bacillus cereus and Nocardia farcinica, in starch casein broth. Co-cultivation/mixed-culture fermentation has been proven to have a positive effect on the production of secondary metabolites which are not detected in axenic culture, which may either be due to the epigenetic modification of the producer strain or by the metabolite precursor modification []. During Streptomyces–Streptomyces interaction, diffusible compounds such as GBLs (γ-butyrolactones) and secondary metabolites themselves play a vital role in inducing antibiotic production, cellular development and aerial mycelium []. It is interesting to note that diverse novel metabolites originated as a result of co-cultivation of coryneform bacteria such as Tsukumurella, Rhodococcus and Corynebacteria with different Streptomyces spp. []. The levels of granatomycin D, granaticin and dihydrogranaticin B synthesis were found to be upregulated in Streptomyces sp. PTY08712 when cultivated in combination with Bacillus subtilis [].
2.6. LC-HR-MS/MS-Guided Analysis of Secondary Metabolites
The secondary metabolite profiling of the crude extracts prepared from the fermentation broth of THV12 derived from all culture conditions was performed using the Vanquish HPLC system (Thermo Fisher Scientific, USA) coupled with an Orbitrap Exploris 120 high-resolution mass spectrometer (Thermo Fisher Scientific, Waltham, MA, USA). The HRMS was equipped with H-ESI and operated in the positive mode with a capillary voltage of 3.5 kV. The separation of compounds in the LC column was achieved using CORTECS C18 column (2.1 × 100 mm, 1.6 μm). The mobile phase consisted of solvent A as Milli-Q water with 0.1% formic acid and solvent B as 50% acetonitrile and 50% methanol with 0.1% formic acid and a flow rate of 0.4 mL/min. The analyses were performed under the solvent gradient program: 0–2 min with 99% A; 2–18 min with 99% A; 2 min hold with 99% B, followed by a 5 min column clean up with 99% A and 1.5 min equilibration time with 1% A. Full scan of MS data (R = 60,000) with a range of m/z from 100 to 1000 was performed in Orbitrap. The LC-HR-MS/MS data were analysed using the software Compound Discoverer 3.3 with a Fragment Ion Search (FISh) function. The molecular annotation was given using databases such as Natural Products Atlas 2.0, mZcloud, StreptomeDB 3.0, BioCyc and Chemspider.
2.7. Principal Component Analysis
The principal component analysis (PCA) of mass spectrum data was performed using SIMCA 17 in order to identify the outliers.
3. Results
3.1. Antagonistic Activity of S. murinus THV12
Disc-diffusion assay of ethyl acetate extracts of S. murinus proved its secondary metabolite potential against Gram-positive bacteria and fungus. Among the pathogens selected for the susceptibility testing, S. murinus exhibited excellent inhibition against MRSA, E. cloacae, E. faecalis, L. monocytogenes, B. cereus and C. albicans (Figure S5). The inhibitory pattern of the strain against various pathogens implied its capability to synthesize diverse secondary metabolites. Based on the antimicrobial activity assay results, the strain was selected for further study by whole-genome sequencing and metabolome analysis.
3.2. Minimum Inhibitory Concentration and Minimum Bactericidal Concentration of Metabolite Extract
The MIC values of the metabolite crude extract ranged from 2 to 128 μg/mL, summarised in Table 1. The lowest MIC was observed against L. monocytogenes and B. cereus (2 μg/mL) and the highest was recorded against K. pneumoniae (128 μg/mL). The MBC values supported the MIC results and confirmed that the antimicrobial activity of metabolite extract is concentration-dependent.
Table 1.
MIC and MBC values for the S. murinus THV12 metabolite extract.
3.3. Genome Features and Annotation
The genome sequence of the S. murinus THV12 strain was deposited in the NCBI database under the Gen Bank accession number JANFDB000000000 and BioProject accession number PRJNA847723, producing 9,415,964 reads and 107 contigs. De novo assembly of the reads generated a consensus sequence of 8,363,247 bp, with the largest contig being 735,030 bp in size, and a GC content of 71.8% (Table 2).
Table 2.
General genome features of Streptomyces murinus THV12.
A total of 7345 protein-coding genes were predicted in the strain with 86 tRNA and 4 rRNA sequences. The protein-coding genes were classified under different COG functional categories (Figure 1) and the BLAST hits generated from the annotation of functional genes showed that the strain shared significant homology with the genes from Streptomyces murinus (Figure S6). 16s rRNA gene sequencing and analysis using nucleotide NCBI-BLAST and EZbioCloud database led to the identification of the strain as Streptomyces sp. with 99.93% similarity (Gen Bank Accession No. MG847200). Four CRISPR candidates were spanned over the S. murinus THV12 genome, including three confirmed CRISPRs and one questionable CRISPR, which might play a vital role in the bacterial defense mechanism. ARTS predicted a total of 44 known resistance model hits for the genome, and out of the identified BGCs, 22 clusters were identified with resistance targets in proximity with both core and known resistance hits.
Figure 1.
COG functional categories of complete genome sequence of S. murinus THV12.
3.4. Insights into the BGC Organization of S. murinus THV 12
A total of 47 secondary metabolite gene clusters were identified in the draft genome of the S. murinus THV 12 using antiSMASH 6.0 [], which works on pHMM-based rules of detection for BGC prediction. The predicted gene clusters belonged to the following metabolite categories: PKS, NRPS, ectoine, fatty acids, lantipeptides, melanin, siderophores and terpenes (Table 3).
Table 3.
Anti-SMASH-predicted secondary metabolites from biosynthetic gene clusters of Strepomyces murinus THV12.
The presence of two lantipeptide clusters and one lassopeptide cluster in the genome was confirmed with BAGEL4 [] analysis, which detects core ribosomally synthesized and post-translationally modified peptide (RiPPs) gene clusters. The prominent group belonged to NRPS, followed by T1PKS and terpenes (Table 4). It was noted that the annotated gene clusters were associated with the production of 34 putative products, including antibiotics and other bioactives.
Table 4.
Summary of BGCs in Streptomyces murinus THV12 genome.
Out of 47 total predicted putative clusters, 11 clusters showed more than 50% similarity with the reference cluster in the MIBiG database. The putative compounds related to these clusters were melanin, hopene, actinomycin D, ectoine, spore pigment, albusnodin, desferrioxamine E, geosmin, diisonitrile antibiotic SF2768, pentamycin and rhizomide.
Actinomycin is a DNA-targeting antibiotic and antineoplastic agent with a chromophore group and two pentapeptide chains with varying amino acid composition synthesized through a NRPS assembly line []. A detailed insight into the actinomycin D NRP pathway revealed the involvement of 3 ORFs and 24 operative genes, which drew up five module domains for the biosynthesis and showed 71% homology with corresponding genes in Streptomyces annatulus. The core biosynthetic genes of the cluster, namely acmJ and acmO, were annotated with LbmU-like protein and the genes acmB and acmC directly related to the peptide synthetase; the additional biosynthetic genes found homology with domains such as methyltransferase, aryl formamidase, kynureninase and MbtH-like protein. In addition to this, five transport-related genes and two regulatory genes were associated with the cluster. MbtH-like proteins have been found to be associated with NRPS gene clusters, which was proven to have a role in adenylation reactions []. The genes acmK, acmL, acmH, acmI and acmG were found to have functional similarity with the synthesis of 4-MHA, an anthranilic acid derivative derived from 3-hydroxy kynurenine with the aid of methyltransferase, which acts as the starter unit for the formation of pentapeptide chain of actinomycin, and the NRPS gene acmD encodes 4-MHA carrier protein.
The S. murinus THV12 genome harbored a hopene biosynthetic gene cluster, which shared a homology similarity of 92% with the biosynthetic cluster from Streptomyces coelicolor A3(2) that produces pentacyclic hapanoid molecules that play a role in the modulation of the cell membrane fluidity. With gene cluster encoding for ectoine biosynthesis, a stress protectant molecule was also found in the genome, commonly observed in the genus Streptomyces [].
One of the Type1 PKS gene clusters which encodes for pentamycin, a polyene antibiotic found in the genome, shared 86% similarity with the biosynthesis of a compound from Streptomyces sp. S816 (MIBiG BGC0002032), which may be accountable for the antagonist activity of S. murinus THV12 against Candida albicans. Albusnodin, a lassopeptide that is post-translationally modified with an acetyl group [] synthesized through a RiPP pathway, was predicted in the genome and shared 100% homology with the BGCs from Streptomyces albus (MIBiG BGC0002006). Another BGC encoding a siderophore, desferrioxamine E, was identified with a similarity of 83% with the NRPS-independent siderophore desferrioxamine cluster from Streptomyces coelicolor A3(2) []. The core biosynthetic gene included one ATP-dependent siderophore synthetase (lucA-lucC family), acyl CoA acyl transferase and pyridoxal dependent decarboxylase as additional biosynthetic genes, with one transport regulatory gene, namely ferric-siderophore lipoprotein receptor. The S. murinus THV12 genome possessed one NRPS cluster which encoded rhizomide A, which has been reported to possess weak potential activity against tumor cell lines and phytopathogens [], and showed 100% homology similarity with the biosynthetic genes from Paraburkholderia rhizoxinica HKI 454.
In addition to these, seven clusters which showed homology similarity greater than 20% with the reference BGCs in the database were correlated with the synthesis of compounds such as informatipeptin, friulimicin, A-47934, sceliphrolactam, meridamycin, julichrome Q3-3 and showdomycin. Modular type1 PKS gene cluster for sceliphrolactam, a polyene macrolactam with pronounced antifungal activity comprising the genes sec A-Y was deduced from the genome shared homology with the BGC reported in Streptomyces sp. SD85. Three of the hybrid NRPS-PKS gene clusters which exhibited gene similarity greater than 10% were concerned with the biosynthesis of antibiotics such as kirromycin, pyralomicin 1a and cinnabaramide A, an anticancer compound. The gene cluster for type B lantibiotic cinnamycin (cin) predicted in the genome incorporated cinM as the core biosynthetic gene, which translates into the LanM group of proteins which have the role of lanthionine bridge formation. In addition, the cin gene cluster possessed two additional biosynthetic genes, cinT and cinH, which encode the ABC transporters and hold two regulatory genes, cinR and cinK. It is noteworthy that 10 clusters showed less than 10% homology similarity with the existing known BGCs, which may be attributed to new chemical entities.
In our study, the secondary metabolite prediction tool antiSMASH 6.0 with improved cluster prediction and comparison capability aided in the prediction of diverse secondary metabolite gene clusters and guided the detection of putative compounds with LC-HR-MS/MS analysis (Figure 2).
Figure 2.
Genome map representation of S. murinus THV12. The outer ring represents the respective contigs with BGCs whose putative products were identified by LC-HR-MS/MS analysis, the middle ring represents the GC content and the inner ring depicts the GC skew of the genome.
The strain shared a close relationship in phylogeny with Streptomyces murinus strain Am1, Streptomyces sp. endophyte_N2, Streptomyces griseofuscus strain DSM 40191 and Streptomyces costaricanus. The BGCs in the genome shared similarity with Streptomyces and non-Streptomyces group of bacteria such as Streptomyces sp. S816, S. anulatus, S. viridochromogenes DSM 40736, S. coelicolor A3(2), S. parvulus, Actinoplanes friuliensis, Paraburkholderia rhizoxinica and Nonomuraea spiralis. The microbial genome study explored the capability of the strain to synthesize diverse promising compounds, such as sceliphrolactam, borrelidin, kinamycin, meilingmycin, friulimicin, bleomycin and cinnamycin.
3.5. Secondary Metabolite Profile of S. murinus THV12
The secondary metabolites produced by the S. murinus THV12 strain in fermentation broth was detected by mass spectrum analysis of each molecular ion (Figure 3). The mass-to-charge ratio (m/z) of the predicted metabolites were theoretically predicted based on the structure available in Natural Products Atlas 2.0, CHEMSPIDER and StreptomeDB. The metabolites in the fermentation broth were identified based on mass-to-charge ratio, peak intensity, delta mass error, FISh score and retention time. The compounds detected through LC-HR-MS/MS analysis of crude sextract were then compared with the putative compounds from the genome prediction of smBGCs. Molecular ions of four predicted compounds were detected in the first scan mode. Actinomycin D with an m/z value of 628.32 ([M + 2H]2+) was detected in the first scan mode while other key fragment ions at m/z 86.09, 132.10, 282.18, 300.19 and 399.26 (Figure 4) were detected in the second scan mode, which matched with the standard reference fragment ions of actinomycin D [].
Figure 3.
Total ion chromatogram (TIC) of metabolite extract of S. murinus THV12.
Figure 4.
High-resolution LC-HR-MS/MS spectrum of fermentation broth extracts of S. murinus THV12 corresponding to actinomycin D. (A) shows the extracted ion chromatogram (EIC) of actinomycin D [M + 2H]+2 at m/z 628.32 with RT 16.81 min; (B) shows the MS2 spectrum of actinomycin D with in-source fragments at m/z 86.09, 132.10, 282.18 and 300.19.
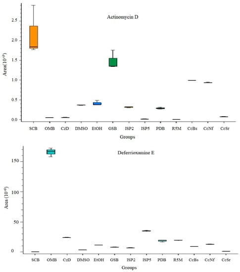
A higher yield of actinomycin D was observed in SCB and GSB media (Figure 5), indicating that the carbon source in the culture media has a role in the synthesis of actinomycins in Streptomyces spp. Pentamycin (fungichromin) was detected in the first scan mode with an m/z value of 671.39, and the second scan spectra gave m/z at 79.05, 95.04 and 21.06 (Figure S1). It was found to be highly expressed in SCB media which was incorporated with 5% ethanol (Figure 5). Desferrioxamine E (nocardamine), an iron-chelating agent which has a role in bacterial growth and development, was detected in a first scan at an m/z value of 601.3 (Figure S2). The higher yield of desferrioxamine E was observed in oat meal broth (Figure 5). Cinnabaramide A, a selective inhibitor of human 20S proteasome, was found to be highly expressed in the CzD media detected in the first scan mode (Figure S4) with an m/z value of 336.2 (10 V, Positive), matching the reference m/z value from the MS/MS spectrum in StreptomeDB [].

Figure 5.
Box plots showing the expression levels of actinomycin D, desferrioxamine E, cinnabaramide A and pentamycin in different conditions employed during OSMAC approach cultivation of the S. murinus THV12 strain. The level of significance p-value is <0.001. (CcBs, CcNf and CcSr indicate co-cultivation of S. murinus THV12 with Bacillus cereus, Nocardia farcinica and Streptomyces rochei, respectively).
The chemical investigation of fermentation broth extracts of S. murinus strain revealed the presence of other relevant compounds which are listed in Table 5 with the highest expressed culture condition. The 2,5-diketopiperazines (DKPs), one of the dominant categories identified in the strain with antimicrobial, antiplasmodial, antiviral, antitumor and anti-inflammatory properties, are synthesized by nonribosomal peptide synthetases (NRPSs) and cyclopeptide synthases (CDPSs) in marine organisms [,]. S. murinus straisn grown under varied conditions, especially in PDB media, revealed the production of diketopiperazines such as actinozine A, cyclo (D-Pro-D-Leu), cyclo (4-hydroxy-Pro-D-Trp), cyclo (D-Phe-D-Pro) and cyclo (Leu-Ile). In addition, antitumor antibiotics (actinomycin X0δ and Z2, cinnabaramide B and delaminomycin A), antibiotics (anisomycin, streptcytosine A and nalidixic acid), antifungal antibiotics (albuquinone A and trichostatin), bacterial alkaloids (N-(4-hydroxyphenethyl)-2-(1H-indol-3-yl))acetamide, oxopropaline G, spoxazomicin D, pyrrolam B, cyclizidine, streptazone E, cyclopeptides (cyclo-(N-MeVal-N-MeAla)), terpene derivatives and other chemical entities were also identified in mass spectrum analysis of extracts derived from fermentation broth.
Table 5.
Putative compounds identified by LC-HR-MS/MS.
The biosynthesis of secondary metabolites by the S. murinus THV12 strain differed among the culture conditions applied during the OSMAC approach. For instance, PDB favored the synthesis of the majority of the diketopiperazines, while SCB favored the production of polypeptide antibiotics. The media CzD and R5M enhanced the synthesis of cinnabaramide A (Figure 4), which is reported for the first time from Streptomyces murinus.
3.6. Principal Component Analysis
PCA evaluation of the metabolome data was performed to identify the outliers which represented the most unique metabolites synthesized by the S. murinus THV12 strain and the particular condition which yielded the peculiar metabolites []. In PCA analysis, 14 principal components (PCs) were generated which explained 85% of variance in the particular data. The score plot, together with the loadings plot PC1 vs. PC2, described the correlation among the samples and the impact of each metabolite for clustering the samples []. The score plot clearly indicated the metabolic diversity of the crude extracts from the fermentation media PDB and R5M, as they represented the most outlying categories followed by metabolites from the media CzD and OMB (Figure 6A). Several putative new compounds were identified via MS/MS analysis, including a novel diketopiperazine actinozine A and cyclic dipeptides such as cyclo ((D)-Pro-(D)-Leu), cyclo (4 hydroxy-D-Pro-D-Trp), cyclo (phenylalanyl-prolyl), cyclo (L-Pro-L-Val) exclusively in the PDB media. The compounds, such as cyclizidine-type alkaloid and potent natural bioactive compound cinnabaramide A, were detected only in R5M and CzD media, which categorized them into unique groups when compared to others. The scores of the secondary metabolites from other media, fermentation conditions with co-culturing and chemical elicitors represented less diversity among the derived metabolites.
Figure 6.
PCA evaluation of metabolome data of S. murinus THV12. (A) Score plot depicting the conditions which yielded the unique metabolites when the strain was cultivated under the OSMAC approach. (B) Loadings plot highlights the metabolites responsible for the grouping of culture conditions into distant and nearest clades.
The loadings plot represented the distribution of the secondary metabolites from all conditions and the identification of unique metabolites, which in turn classified the samples into adjacent and distant clades in the corresponding score plot. The marked dots in the loadings plot (Figure 6B) represented the most diverse metabolites responsible for the separation of the samples from their nearest clades.
4. Discussion
The genome analysis revealed an abundance of biosynthetic gene clusters in S. murinus genome, and the identified BGCs in the S. murinus THV12 genome belonged to clusters such as NRPS (14), T1PKS (10), terpenes (6) and hybrid PKS/NRPS (5). The presence of diverse BGCs in the genome of the strain exposed its hidden potential to synthesize specialized metabolites, including antibiotics, antifungals, antitumor compounds, terpenes, siderophore, cyclopeptides, alkaloids, etc. The conserved BGCs within the genome, which were attributed to products such as ectoine and hopene, enable the strain to be sustained under extreme environmental conditions. The antibiotic producers obviously harbor resistance genes within the BGC of the concerned antibiotic for self-defense mechanism. The analysis performed by ARTS webserver [] predicted different resistance models hits within the strain for resistance mechanism and included antibiotic efflux pump (ABC transporter), antibiotic target bypass (DNA gyrase subunit B), modification/degradation (beta lactamases, proteasome, HSP90) and housekeeping resistance genes (OTCase).
Genome mining and OSMAC-approach-driven mass-spectrum investigation of MSMs led to the identification of actinomycin D, pentamycin, desferrioxamine E and cinnabaramide A from the fermentation broth of S. murinus. Two analogues of actinomycins, actinomycin X0δ with m/z 636.31 (RT = 14.95 min) and actinomycin Z2 with m/z 643.30 (RT = 14.62 min) for [M + 2H]+2 adducts, were detected in MS/MS analysis, commonly used as effective chemotherapeutic agents in the treatment of various types of cancer. It was noted that pentamycin was highly expressed in the fermentation condition with 5% ethanol and terpene derivatives were detected in the fermentation condition with 3% DMSO as chemical elicitors, which clearly indicate the alteration of intracellular mechanisms during chemical elicitor treatments. The synthesis of the β-carboline alkaloid Oxopropaline G was found to be enhanced during co-cultivation of S. murinus with Bacillus subtilis. Although the secondary metabolism will be elicited during co-culturing of actinomycetes with different bacteria, a precise understanding of the underlying mechanism of complex secondary metabolism regulation is required. Apart from genome-predicted compounds, chemical scaffolds such as DKPs, bacterial alkaloids, cyclic polypeptides and diterpene derivatives were also identified from the fermentation broth when S. murinus was cultivated under the OSMAC approach. The 2,5-diketopiperazines (DKPs) are naturally occurring dipeptides produced by marine microorganisms, including many Streptomyces spp., that possess a wide array of biological properties, such as antimicrobial, antiviral, cytotoxic and anti-inflammatory activities []. A cluster of DKPs were identified from the S. murinus strain with MS/MS analysis, which exemplifies its natural product repository. The chemical diversity of secondary metabolites from S. murinus was enhanced by culture conditions such as media composition, chemical elicitors, axenic or mixed culture condition, etc. The application of the OSMAC strategy facilitated the evaluation of suitable fermentation conditions for the S. murinus strain for the expression of compounds and in the bioprospecting of several bioactive microbial secondary metabolites (MSMs) through the activation of silent gene clusters. The poorly expressed or cryptic gene clusters may contribute to more potent bioactive metabolites. Thus, an integrated approach of genome mining with metabolome analysis of S. murinus strain enabled us to correlate the predicted BGCs in the genome with the compounds detected from the fermentation extracts.
5. Conclusions
The metabolome and genome analysis of the mangrove-derived S. murinus THV12 strain revealed its immense potential as a secondary metabolite repository. The antagonistic activity against major pathogens, such as Methicillin-resistant Staphylococcus aureus, Listeria monocytogenes, Candida albicans, Bacillus cereus, Enterobacter cloacae and Enterococcus faecalis, led to the selection of the strain for the study of BGCs and their putative compounds. Cinnabaramide A, a selective inhibitor of human proteasome, first reported from a terrestrial Streptomyces sp. [], is generally used in the inhibition of growth of cancer cells. In our study, two analogues of cinnabaramide, A and B, were detected in the first scan mode of MS/MS analysis with m/z values of 336.21 and 352.21, respectively, from the fermentation broth of S. murinus in Czapek dox medium (Figures S3 and S4). The OSMAC approach led to the identification of numerous bioactive MSMs, including cyclic dipeptides, novel alkaloids, terpene derivatives, etc., the from S. murinus strain. Among the different culture media conditions tested, Czapek dox broth, Potato dextrose broth and R5M media promoted the synthesis of diverse and novel biomolecules from the S. murinus strain. The synthesis of bioactive compounds such as actinomycin D and pentamycin were previously reported in the Streptomyces costaricanus SCSIO ZS0073 and Streptomyces sp. endophyte_N2, respectively []. The chemical fingerprint of mangrove-derived S. murinus strain was effectively exploited through the combined strategy of whole-genome sequencing, MS/MS analysis and the OSMAC approach. Further studies on the cryptic gene clusters in S. murinus may lead to the discovery of new biomolecules.
Supplementary Materials
The following supporting information can be downloaded at: https://www.mdpi.com/article/10.3390/fermentation9060576/s1, Figure S1: Mass spectrum of pentamycin, derived from the fermentation broth of the S. murinus THV12 strain, which was analysed by HR-LC MS/MS; Figure S2: Mass spectrum of desferrioxamine E; Figure S3: Mass spectrum (MS1) of cinnabaramide A; Figure S4: Mass spectrum (MS1) of cinnabaramide B; Figure S4: Antagonistic activity exhibited by S. murinus THV12 strain against Methicillin-resistant Staphylococcus aureus, Enterococcus faecalis, Bacillus cereus, Listeria monocytogenes, Candida albicans and Pseudomonas aeruginosa; Figure S6: Similarity index chart derived from functional annotation of genes of S. murinus THV12; Table S1: Putative compounds identified by LC-HR-MS/MS.
Author Contributions
V.D.: Data curation, Formal analysis, Methodology, Writing—original draft. N.S.C.: Software, Validation, Investigation, Methodology. P.U.P.: Data curation. K.V.L.: Supervision, Writing—review and editing. T.C.J.: Conceptualization, Supervision, Writing—review and editing. All authors have read and agreed to the published version of the manuscript.
Funding
This research received no external funding.
Institutional Review Board Statement
Not applicable.
Informed Consent Statement
Not applicable.
Data Availability Statement
The whole-genome sequence of Streptomyces murinus THV12 strain can be availed using Gen Bank Accession Number JANFDB000000000, which was deposited in the NCBI database.
Acknowledgments
The authors would like to thank AgriGenome Labs Pvt Ltd. for the technical assistance in Illumina sequencing and assembly generation. The authors also thank the Director of ICAR-Central Institute of Fisheries Technology, Kochi, India for supporting the study. The support provided by Cochin University of Science and Technology (CUSAT), Kochi, India is acknowledged.
Conflicts of Interest
The authors declare no conflict of interest.
References
- Harir, M.; Bendif, H.; Bellahcene, M.; Fortas, Z.; Pogni, R. Streptomyces Secondary Metabolites. In Basic Biology and Applications of Actinobacteria; Enany, S., Ed.; IntechOpen: London, UK, 2018; ISBN 9781789846140. [Google Scholar]
- Manteca, Á.; Yagüe, P. Streptomyces as a Source of Antimicrobials: Novel Approaches to Activate Cryptic Secondary Metabolite Pathways. In Antimicrobials, Antibiotic Resistance, Antibiofilm Strategies and Activity Methods; Kırmusaoğlu, S., Ed.; IntechOpen: London, UK, 2019; ISBN 9781789857894. [Google Scholar]
- Alam, K.; Mazumder, A.; Sikdar, S.; Zhao, Y.-M.; Hao, J.; Song, C.; Wang, Y.; Sarkar, R.; Islam, S.; Zhang, Y.; et al. Streptomyces: The Biofactory of Secondary Metabolites. Front. Microbiol. 2022, 13, 968053. [Google Scholar] [CrossRef] [PubMed]
- Liu, T.; Ren, Z.; Chunyu, W.-X.; Li, G.-D.; Chen, X.; Zhang, Z.-T.-L.; Sun, H.-B.; Wang, M.; Xie, T.-P.; Wang, M.; et al. Exploration of Diverse Secondary Metabolites from Streptomyces sp. YINM00001, Using Genome Mining and One Strain Many Compounds Approach. Front. Microbiol. 2022, 13, 831174. [Google Scholar] [CrossRef] [PubMed]
- Hemphill, C.F.P.; Sureechatchaiyan, P.; Kassack, M.U.; Orfali, R.S.; Lin, W.; Daletos, G.; Proksch, P. OSMAC Approach Leads to New Fusarielin Metabolites from Fusarium Tricinctum. J. Antibiot. 2017, 70, 726–732. [Google Scholar] [CrossRef] [PubMed]
- Bibb, M.J. Regulation of Secondary Metabolism in Streptomycetes. Curr. Opin. Microbiol. 2005, 8, 208–215. [Google Scholar] [CrossRef]
- Zong, G.; Fu, J.; Zhang, P.; Zhang, W.; Xu, Y.; Cao, G.; Zhang, R. Use of Elicitors to Enhance or Activate the Antibiotic Production in Streptomyces. Crit. Rev. Biotechnol. 2022, 42, 1260–1283. [Google Scholar] [CrossRef]
- Abdelmohsen, U.R.; Grkovic, T.; Balasubramanian, S.; Kamel, M.S.; Quinn, R.J.; Hentschel, U. Elicitation of Secondary Metabolism in Actinomycetes. Biotechnol. Adv. 2015, 33, 798–811. [Google Scholar] [CrossRef]
- Marmann, A.; Aly, A.; Lin, W.; Wang, B.; Proksch, P. Co-Cultivation—A Powerful Emerging Tool for Enhancing the Chemical Diversity of Microorganisms. Mar. Drugs 2014, 12, 1043–1065. [Google Scholar] [CrossRef]
- Moody, S.C. Microbial Co-Culture: Harnessing Intermicrobial Signaling for the Production of Novel Antimicrobials. Future Microbiol. 2014, 9, 575–578. [Google Scholar] [CrossRef]
- Hayakawa, M.; Kajiura, T.; Nonomura, H. New Methods for the Highly Selective Isolation of Streptosporangium and Dactylosporangium from Soil. J. Ferment. Bioeng. 1991, 72, 327–333. [Google Scholar] [CrossRef]
- Chen, X.; Jiang, Y.; Li, Q.; Han, L.; Jiang, C. Molecular Phylogenetic Identification of Actinobacteria. In Actinobacteria—Basics and Biotechnological Applications; Dhanasekaran, D., Jiang, Y., Eds.; IntechOpen: London, UK, 2016; ISBN 9789535122487. [Google Scholar]
- CLSI-M07-A10; Methods for Dilution Antimicrobial Susceptibility Tests for Bacteria That Grow Aerobically. Approved Standard M7-A5. National Committee for Clinical Laboratory Standards: Wayne, PA, USA, 2000.
- Blin, K.; Shaw, S.; Kloosterman, A.M.; Charlop-Powers, Z.; van Wezel, G.P.; Medema, M.H.; Weber, T. AntiSMASH 6.0: Improving Cluster Detection and Comparison Capabilities. Nucleic Acids Res. 2021, 49, W29–W35. [Google Scholar] [CrossRef]
- Romano, S.; Jackson, S.; Patry, S.; Dobson, A. Extending the “One Strain Many Compounds” (OSMAC) Principle to Marine Microorganisms. Mar. Drugs 2018, 16, 244. [Google Scholar] [CrossRef]
- Tangerina, M.M.P.; Furtado, L.C.; Leite, V.M.B.; Bauermeister, A.; Velasco-Alzate, K.; Jimenez, P.C.; Garrido, L.M.; Padilla, G.; Lopes, N.P.; Costa-Lotufo, L.V.; et al. Metabolomic Study of Marine Streptomyces Sp.: Secondary Metabolites and the Production of Potential Anticancer Compounds. PLoS ONE 2020, 15, e0244385. [Google Scholar] [CrossRef]
- Pettit, R.K. Small-Molecule Elicitation of Microbial Secondary Metabolites: Elicitation of Microbial Secondary Metabolites. Microb. Biotechnol. 2011, 4, 471–478. [Google Scholar] [CrossRef]
- Chen, G.; Wang, G.-Y.-S.; Li, X.; Waters, B.; Davies, J. Enhanced Production of Microbial Metabolites in the Presence of Dimethyl Sulfoxide. J. Antibiot. 2000, 53, 1145–1153. [Google Scholar] [CrossRef] [PubMed]
- Doull, J.L.; Singh, A.K.; Hoare, M.; Ayer, S.W. Conditions for the Production of Jadomycin B by Streptomyces Venezuelae ISP5230: Effects of Heat Shock, Ethanol Treatment and Phage Infection. J. Ind. Microbiol. 1994, 13, 120–125. [Google Scholar] [CrossRef] [PubMed]
- Zhang, D.; Chen, J.; Wang, Z.; Wang, C. Integrated Metabolomic and Network Analysis to Explore the Potential Mechanism of Three Chemical Elicitors in Rapamycin Overproduction. Microorganisms 2022, 10, 2205. [Google Scholar] [CrossRef] [PubMed]
- Pan, R.; Bai, X.; Chen, J.; Zhang, H.; Wang, H. Exploring Structural Diversity of Microbe Secondary Metabolites Using OSMAC Strategy: A Literature Review. Front. Microbiol. 2019, 10, 294. [Google Scholar] [CrossRef]
- Niu, G.; Chater, K.F.; Tian, Y.; Zhang, J.; Tan, H. Specialised Metabolites Regulating Antibiotic Biosynthesis in Streptomyces Spp. FEMS Microbiol. Rev. 2016, 40, 554–573. [Google Scholar] [CrossRef] [PubMed]
- Onaka, H.; Mori, Y.; Igarashi, Y.; Furumai, T. Mycolic Acid-Containing Bacteria Induce Natural-Product Biosynthesis in Streptomyces Species. Appl. Env. Microbiol. 2011, 77, 400–406. [Google Scholar] [CrossRef]
- Sung, A.; Gromek, S.; Balunas, M. Upregulation and Identification of Antibiotic Activity of a Marine-Derived Streptomyces Sp. via Co-Cultures with Human Pathogens. Mar. Drugs 2017, 15, 250. [Google Scholar] [CrossRef]
- van Heel, A.J.; de Jong, A.; Song, C.; Viel, J.H.; Kok, J.; Kuipers, O.P. BAGEL4: A User-Friendly Web Server to Thoroughly Mine RiPPs and Bacteriocins. Nucleic Acids Res. 2018, 46, W278–W281. [Google Scholar] [CrossRef] [PubMed]
- Machushynets, N.V.; Elsayed, S.S.; Du, C.; Siegler, M.A.; De La Cruz, M.; Genilloud, O.; Hankemeier, T.; Van Wezel, G.P. Discovery of Actinomycin L, a New Member of the Actinomycin Family of Antibiotics. Sci. Rep. 2022, 12, 2813. [Google Scholar] [CrossRef]
- Felnagle, E.A.; Barkei, J.J.; Park, H.; Podevels, A.M.; McMahon, M.D.; Drott, D.W.; Thomas, M.G. MbtH-Like Proteins as Integral Components of Bacterial Nonribosomal Peptide Synthetases. Biochemistry 2010, 49, 8815–8817. [Google Scholar] [CrossRef] [PubMed]
- Bursy, J.; Kuhlmann, A.U.; Pittelkow, M.; Hartmann, H.; Jebbar, M.; Pierik, A.J.; Bremer, E. Synthesis and Uptake of the Compatible Solutes Ectoine and 5-Hydroxyectoine by Streptomyces Coelicolor A3(2) in Response to Salt and Heat Stresses. Appl. Environ. Microbiol. 2008, 74, 7286–7296. [Google Scholar] [CrossRef] [PubMed]
- Zong, C.; Cheung-Lee, W.L.; Elashal, H.E.; Raj, M.; Link, A.J. Albusnodin: An Acetylated Lasso Peptide from Streptomyces albus. Chem. Commun. 2018, 54, 1339–1342. [Google Scholar] [CrossRef]
- Udwary, D.W.; Zeigler, L.; Asolkar, R.N.; Singan, V.; Lapidus, A.; Fenical, W.; Jensen, P.R.; Moore, B.S. Genome Sequencing Reveals Complex Secondary Metabolome in the Marine Actinomycete Salinispora tropica. Proc. Natl. Acad. Sci. USA 2007, 104, 10376–10381. [Google Scholar] [CrossRef]
- Lackner, G.; Moebius, N.; Partida-Martinez, L.; Hertweck, C. Complete Genome Sequence of Burkholderia Rhizoxinica, an Endosymbiont of Rhizopus microsporus. J. Bacteriol. 2011, 193, 783–784. [Google Scholar] [CrossRef]
- Thomas, D.; Morris, M.; Curtis, J.M.; Boyd, R.K. Fragmentation Mechanisms of Protonated Actinomycins and Their Use in Structural Determination of Unknown Analogues. J. Mass Spectrom. 1995, 30, 1111–1125. [Google Scholar] [CrossRef]
- Moumbock, A.F.A.; Gao, M.; Qaseem, A.; Li, J.; Kirchner, P.A.; Ndingkokhar, B.; Bekono, B.D.; Simoben, C.V.; Babiaka, S.B.; Malange, Y.I.; et al. StreptomeDB 3.0: An Updated Compendium of Streptomycetes Natural Products. Nucleic Acids Res. 2021, 49, D600–D604. [Google Scholar] [CrossRef]
- Borgman, P.; Lopez, R.D.; Lane, A.L. The Expanding Spectrum of Diketopiperazine Natural Product Biosynthetic Pathways Containing Cyclodipeptide Synthases. Org. Biomol. Chem. 2019, 17, 2305–2314. [Google Scholar] [CrossRef]
- Yao, T.; Liu, J.; Liu, Z.; Li, T.; Li, H.; Che, Q.; Zhu, T.; Li, D.; Gu, Q.; Li, W. Genome Mining of Cyclodipeptide Synthases Unravels Unusual TRNA-Dependent Diketopiperazine-Terpene Biosynthetic Machinery. Nat. Commun. 2018, 9, 4091. [Google Scholar] [CrossRef] [PubMed]
- Forner, D.; Berrué, F.; Correa, H.; Duncan, K.; Kerr, R.G. Chemical Dereplication of Marine Actinomycetes by Liquid Chromatography–High Resolution Mass Spectrometry Profiling and Statistical Analysis. Anal. Chim. Acta 2013, 805, 70–79. [Google Scholar] [CrossRef] [PubMed]
- Gill, K.A.; Berrué, F.; Arens, J.C.; Carr, G.; Kerr, R.G. Cystargolides, 20S Proteasome Inhibitors Isolated from Kitasatospora cystarginea. J. Nat. Prod. 2015, 78, 822–826. [Google Scholar] [CrossRef] [PubMed]
- Alanjary, M.; Kronmiller, B.; Adamek, M.; Blin, K.; Weber, T.; Huson, D.; Philmus, B.; Ziemert, N. The Antibiotic Resistant Target Seeker (ARTS), an Exploration Engine for Antibiotic Cluster Prioritization and Novel Drug Target Discovery. Nucleic Acids Res. 2017, 45, W42–W48. [Google Scholar] [CrossRef]
- Song, Z.; Hou, Y.; Yang, Q.; Li, X.; Wu, S. Structures and Biological Activities of Diketopiperazines from Marine Organisms: A Review. Mar. Drugs 2021, 19, 403. [Google Scholar] [CrossRef]
- Stadler, M.; Bitzer, J.; Mayer-Bartschmid, A.; Müller, H.; Benet-Buchholz, J.; Gantner, F.; Tichy, H.-V.; Reinemer, P.; Bacon, K.B. Cinnabaramides A−G: Analogues of Lactacystin and Salinosporamide from a Terrestrial Streptomycete. J. Nat. Prod. 2007, 70, 246–252. [Google Scholar] [CrossRef]
- Lara, A.C.; Corretto, E.; Kotrbová, L.; Lorenc, F.; Petříčková, K.; Grabic, R.; Chroňáková, A. The Genome Analysis of the Human Lung-Associated Streptomyces Sp. TR1341 Revealed the Presence of Beneficial Genes for Opportunistic Colonization of Human Tissues. Microorganisms 2021, 9, 1547. [Google Scholar] [CrossRef]
Disclaimer/Publisher’s Note: The statements, opinions and data contained in all publications are solely those of the individual author(s) and contributor(s) and not of MDPI and/or the editor(s). MDPI and/or the editor(s) disclaim responsibility for any injury to people or property resulting from any ideas, methods, instructions or products referred to in the content. |
© 2023 by the authors. Licensee MDPI, Basel, Switzerland. This article is an open access article distributed under the terms and conditions of the Creative Commons Attribution (CC BY) license (https://creativecommons.org/licenses/by/4.0/).