Keratinases from Streptomyces netropsis and Bacillus subtilis and Their Potential Use in the Chicken Feather Degrading
Abstract
1. Introduction
2. Materials and Methods
2.1. Microorganisms
2.2. Poultry Feathers and Chemical Materials Used in This Study
2.3. Primary Detecting of Keratinase Activity
2.4. Optimization of Culture Conditions and Quantitative Assay of Keratinase Activity
2.5. Feathers Degradation under Optimized Fermenting Conditions
2.6. Disulphide Bond Reductase Activity and Keratinase Activity under Optimized Conditions
2.7. Antioxidant Activity of Chicken Feather Hydrolysate
2.8. Bioinformatics Analysis for Keratinases in Studied Strains
2.9. Statistical Analysis
3. Results and Discussion
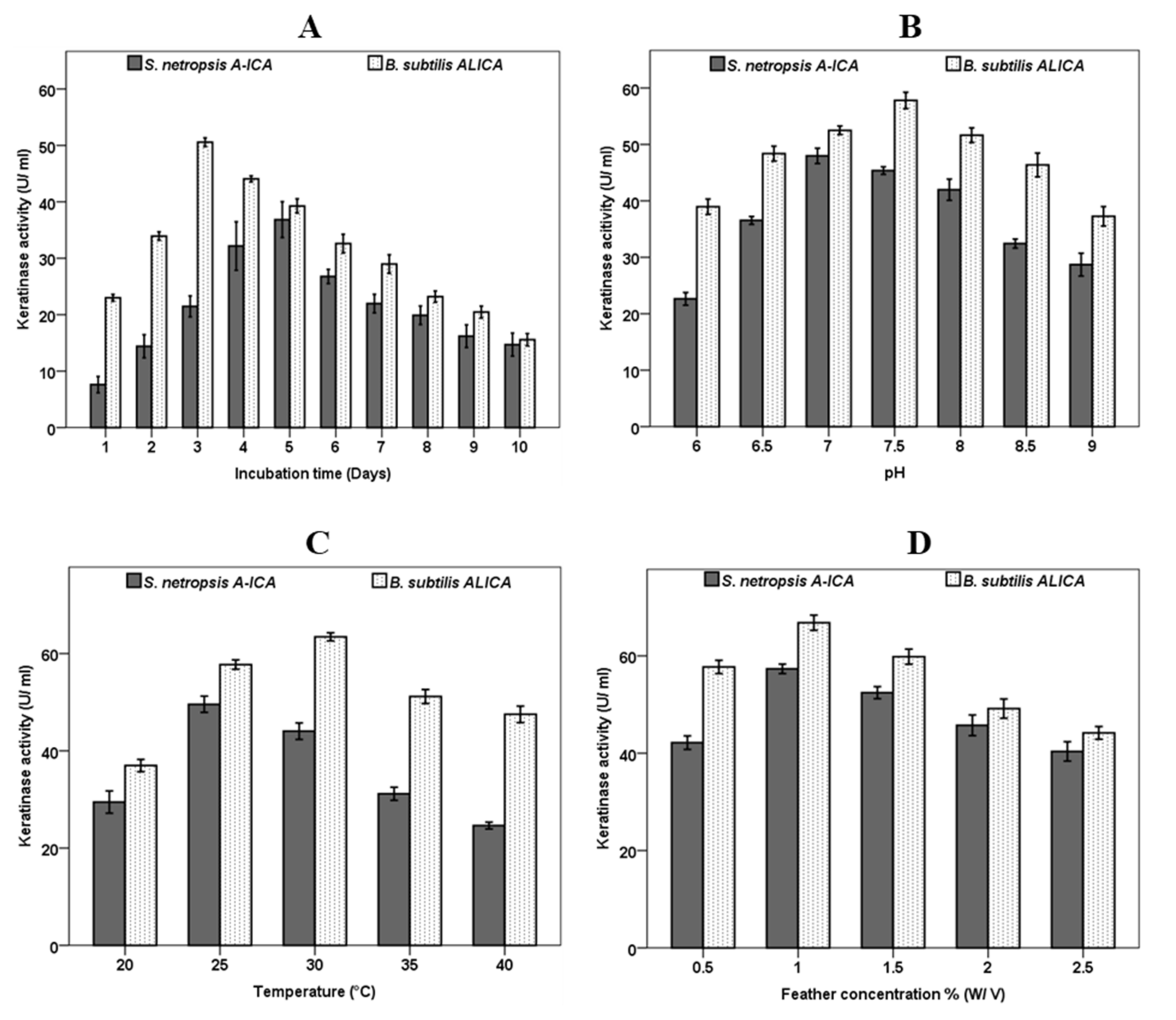
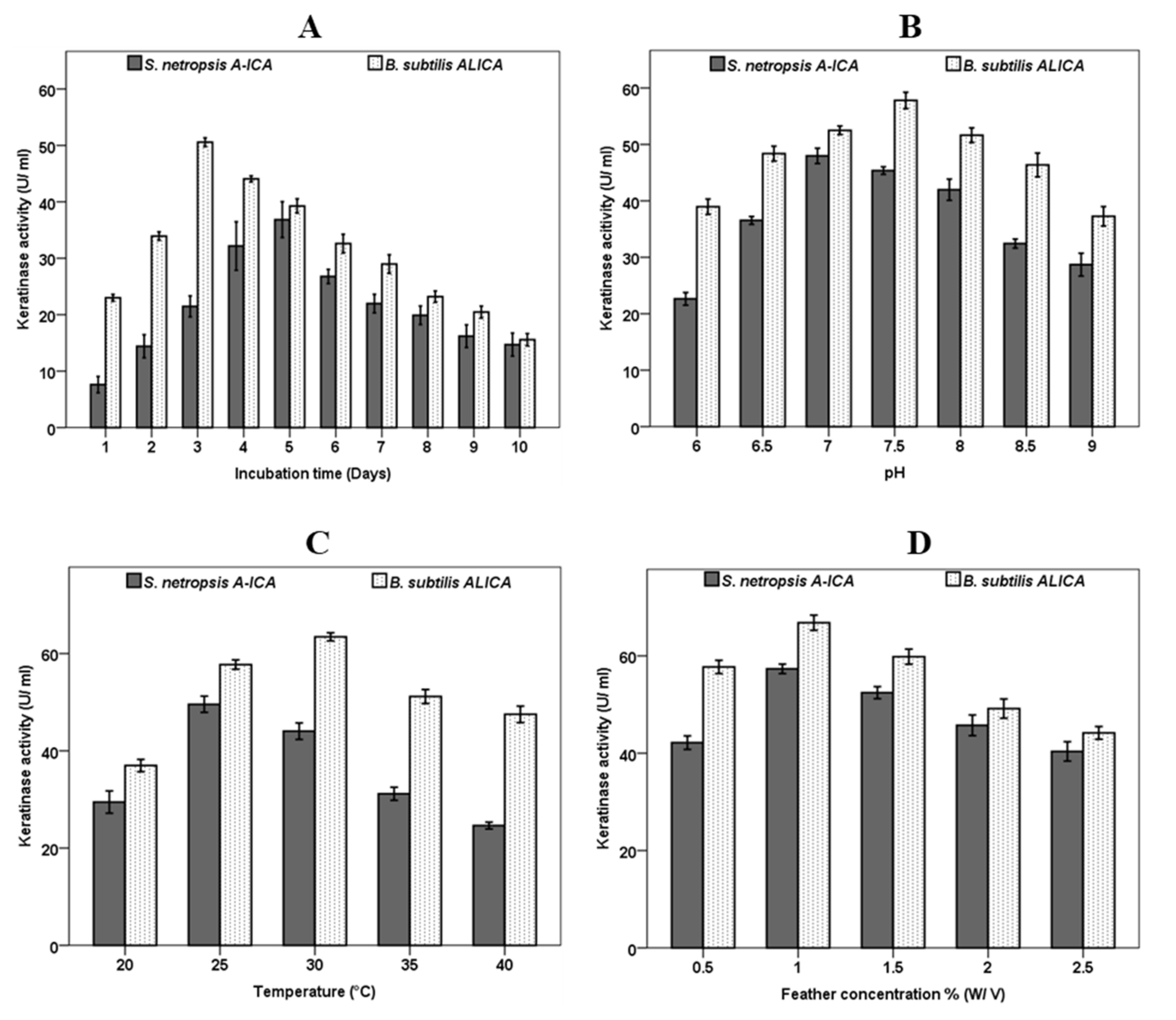
3.1. Screening of Keratinase Activity
3.2. Optimization of Culture Condition for Keratinase Activity
3.3. Effect of Culture pH and Fermentation Temperature on Keratinase Activity
3.4. Effect of Feather Concentration on Keratinase Activity
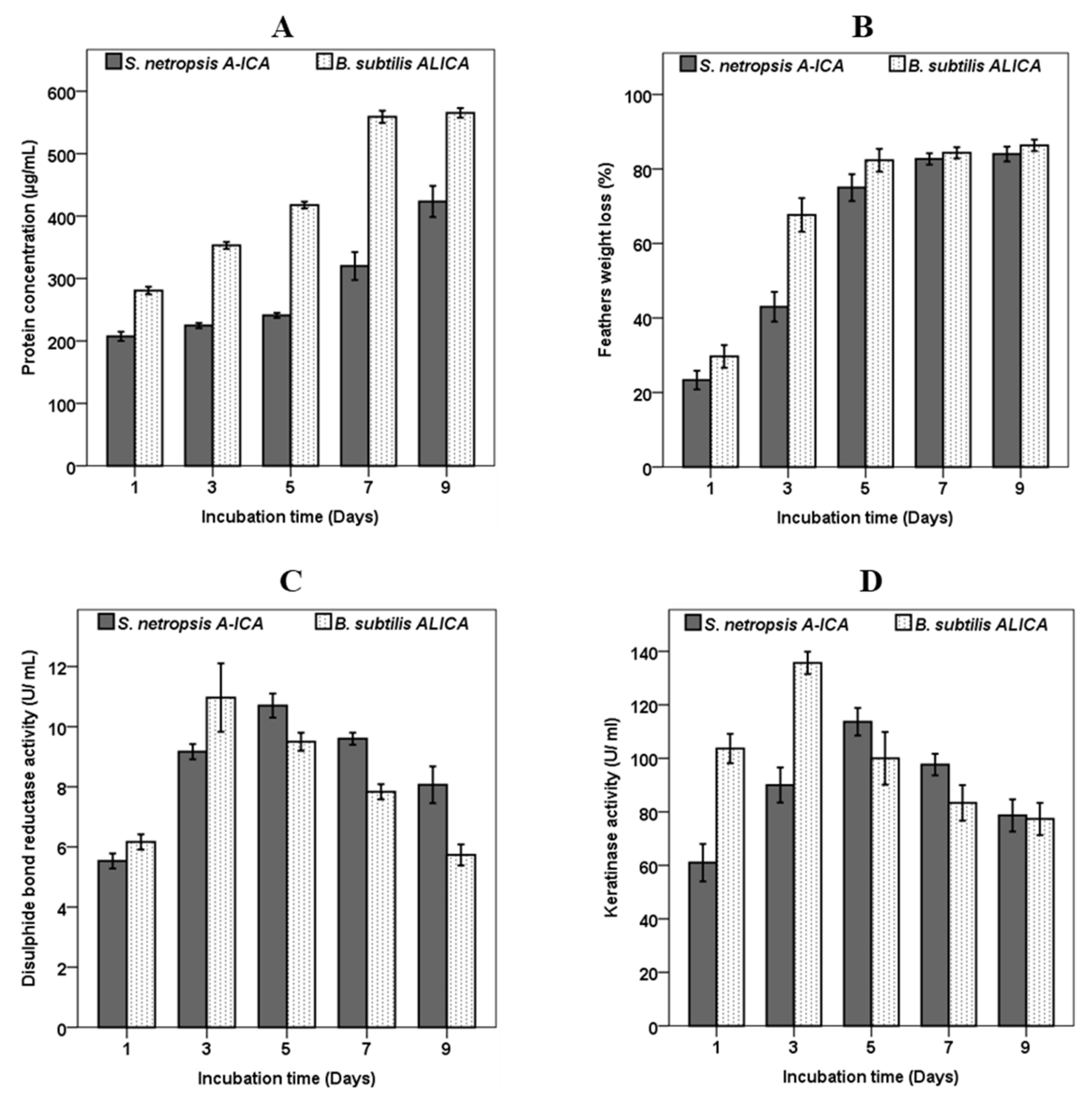
3.5. Feathers Degradation under Optimized Condition
Disulphide Bond Reductase Activity and Keratinase Activity under Optimized Conditions
3.6. Antioxidant Activity of Chicken Feather Hydrolysate
3.7. Bioinformatics Analysis for Keratinases in Studied Strains
4. Conclusions
Author Contributions
Funding
Informed Consent Statement
Data Availability Statement
Conflicts of Interest
References
- Mazotto, A.M.; Cedrola, S.M.L.; de Souza, E.P.; Couri, S.; Vermelho, A.B. Enhanced Keratinase Production by Bacillus subtilis Amr Using Experimental Optimization Tools to Obtain Feather Protein Lysate for Industrial Applications. 3 Biotech 2022, 12, 90. [Google Scholar] [CrossRef] [PubMed]
- Peng, Z.; Mao, X.; Zhang, J.; Du, G.; Chen, J. Effective Biodegradation of Chicken Feather Waste by Co-Cultivation of Keratinase Producing Strains. Microb. Cell Factories 2019, 18, 84. [Google Scholar] [CrossRef]
- Jeevana Lakshmi, P.; Kumari Chitturi, C.M.; Lakshmi, V.V. Efficient Degradation of Feather by Keratinase Producing Bacillus sp. Int. J. Microbiol. 2013, 2013, e608321. [Google Scholar] [CrossRef]
- Qiu, J.; Barrett, K.; Wilkens, C.; Meyer, A.S. Bioinformatics Based Discovery of New Keratinases in Protease Family M36. New Biotechnol. 2022, 68, 19–27. [Google Scholar] [CrossRef]
- Emran, M.A.; Ismail, S.A.; Abdel-Fattah, A.M. Valorization of Feather via the Microbial Production of Multi-Applicable Keratinolytic Enzyme. Biocatal. Agric. Biotechnol. 2020, 27, 101674. [Google Scholar] [CrossRef]
- Fitriyanto, N.A.; Ramadhanti, Y.; Rismiyati; Rusyadi, I.; Pertiwiningrum, A.; Prasetyo, R.A.; Erwanto, Y. Enzymatic Activity and Amino Acid Production by Indigenous Keratinolytic Strains on the Various Poultry Feather Substrate. IOP Conf. Ser. Earth Environ. Sci. 2022, 1059, 012026. [Google Scholar] [CrossRef]
- Bezus, B.; Ruscasso, F.; Garmendia, G.; Vero, S.; Cavello, I.; Cavalitto, S. Revalorization of Chicken Feather Waste into a High Antioxidant Activity Feather Protein Hydrolysate Using a Novel Psychrotolerant Bacterium. Biocatal. Agric. Biotechnol. 2021, 32, 101925. [Google Scholar] [CrossRef]
- Li, Z.-W.; Liang, S.; Ke, Y.; Deng, J.-J.; Zhang, M.-S.; Lu, D.-L.; Li, J.-Z.; Luo, X.-C. The Feather Degradation Mechanisms of a New Streptomyces sp. Isolate SCUT-3. Commun. Biol. 2020, 3, 191. [Google Scholar] [CrossRef] [PubMed]
- Sharma, C.; Timorshina, S.; Osmolovskiy, A.; Misri, J.; Singh, R. Chicken Feather Waste Valorization Into Nutritive Protein Hydrolysate: Role of Novel Thermostable Keratinase From Bacillus pacificus RSA27. Front. Microbiol. 2022, 13, 882902. [Google Scholar] [CrossRef]
- Moonnee, Y.A.; Foysal, M.J.; Hashem, A.; Miah, M.F. Keratinolytic Protease from Pseudomonas aeruginosa for Leather Skin Processing. J. Genet. Eng. Biotechnol. 2021, 19, 53. [Google Scholar] [CrossRef] [PubMed]
- Sharma, I.; Pranaw, K.; Soni, H.; Rawat, H.K.; Kango, N. Parametrically Optimized Feather Degradation by Bacillus velezensis NCIM 5802 and Delineation of Keratin Hydrolysis by Multi-Scale Analysis for Poultry Waste Management. Sci. Rep. 2022, 12, 17118. [Google Scholar] [CrossRef]
- He, Z.; Sun, R.; Tang, Z.; Bu, T.; Wu, Q.; Li, C.; Chen, H. Biodegradation of Feather Waste Keratin by the Keratin-Degrading Strain Bacillus subtilis 8. J. Microbiol. Biotechnol. 2018, 28, 314–322. [Google Scholar] [CrossRef] [PubMed]
- Shen, N.; Yang, M.; Xie, C.; Pan, J.; Pang, K.; Zhang, H.; Wang, Y.; Jiang, M. Isolation and Identification of a Feather Degrading Bacillus tropicus Strain Gxun-17 from Marine Environment and Its Enzyme Characteristics. BMC Biotechnol. 2022, 22, 11. [Google Scholar] [CrossRef] [PubMed]
- Demir, T.; Hameş, E.E.; Öncel, S.S.; Vardar-Sukan, F. An Optimization Approach to Scale up Keratinase Production by Streptomyces sp. 2M21 by Utilizing Chicken Feather. Int. Biodeterior. Biodegrad. 2015, 103, 134–140. [Google Scholar] [CrossRef]
- Kshetri, P.; Roy, S.S.; Sharma, S.K.; Singh, T.S.; Ansari, M.A.; Prakash, N.; Ngachan, S.V. Transforming Chicken Feather Waste into Feather Protein Hydrolysate Using a Newly Isolated Multifaceted Keratinolytic Bacterium Chryseobacterium sediminis RCM-SSR-7. Waste Biomass Valorization 2019, 10, 1–11. [Google Scholar] [CrossRef]
- Nnolim, N.E.; Okoh, A.I.; Nwodo, U.U. Bacillus sp. FPF-1 Produced Keratinase with High Potential for Chicken Feather Degradation. Molecules 2020, 25, 1505. [Google Scholar] [CrossRef]
- Abdelmoteleb, A.; Troncoso-Rojas, R.; Camacho, O.; Gonzalez-Mendoza, D.; Duran, C.; Grimaldo, O.; Aviles-Marin, M.; Durán-Hernández, D. Biocontrol of Fusarium spp., Causal Agents of Damping-off in Cotton Plants by Native Bacillus subtilis Isolated from Prosopis juliflora. Int. J. Agric. Biol. 2017, 19, 713–718. [Google Scholar] [CrossRef]
- Abdelmoteleb, A.; González-Mendoza, D. A Novel Streptomyces Rhizobacteria from Desert Soil with Diverse Anti-Fungal Properties. Rhizosphere 2020, 16, 100243. [Google Scholar] [CrossRef]
- Selvam, K.; Vishnupriya, B.; Yamuna, M. Isolation and Description of Keratinase Producing Marine Actinobacteria from South Indian Coastal Region. Afr. J. Biotechnol. 2013, 12, 19–26. [Google Scholar] [CrossRef]
- Bradford, M.M. A Rapid and Sensitive Method for the Quantitation of Microgram Quantities of Protein Utilizing the Principle of Protein-Dye Binding. Anal. Biochem. 1976, 72, 248–254. [Google Scholar] [CrossRef]
- Ellman, G.L. Tissue Sulfhydryl Groups. Arch. Biochem. Biophys. 1959, 82, 70–77. [Google Scholar] [CrossRef]
- UniProt Consortium. UniProt: The Universal Protein Knowledgebase in 2021. Nucleic Acids Res. 2021, 49, D480–D489. [Google Scholar] [CrossRef]
- Rawlings, N.D.; Barrett, A.J.; Thomas, P.D.; Huang, X.; Bateman, A.; Finn, R.D. The MEROPS Database of Proteolytic Enzymes, Their Substrates and Inhibitors in 2017 and a Comparison with Peptidases in the PANTHER Database. Nucleic Acids Res. 2018, 46, D624–D632. [Google Scholar] [CrossRef] [PubMed]
- Paysan-Lafosse, T.; Blum, M.; Chuguransky, S.; Grego, T.; Pinto, B.L.; Salazar, G.A.; Bileschi, M.L.; Bork, P.; Bridge, A.; Colwell, L.; et al. InterPro in 2022. Nucleic Acids Res. 2023, 51, D418–D427. [Google Scholar] [CrossRef] [PubMed]
- Eddy, S.R. Profile Hidden Markov Models. Bioinformatics 1998, 14, 755–763. [Google Scholar] [CrossRef]
- Hauser, M.; Steinegger, M.; Söding, J. MMseqs Software Suite for Fast and Deep Clustering and Searching of Large Protein Sequence Sets. Bioinformatics 2016, 32, 1323–1330. [Google Scholar] [CrossRef]
- Biasini, M.; Bienert, S.; Waterhouse, A.; Arnold, K.; Studer, G.; Schmidt, T.; Kiefer, F.; Cassarino, T.G.; Bertoni, M.; Bordoli, L.; et al. SWISS-MODEL: Modelling Protein Tertiary and Quaternary Structure Using Evolutionary Information. Nucleic Acids Res. 2014, 42, W252–W258. [Google Scholar] [CrossRef]
- Desta, I.T.; Porter, K.A.; Xia, B.; Kozakov, D.; Vajda, S. Performance and Its Limits in Rigid Body Protein-Protein Docking. Structure 2020, 28, 1071–1081.e3. [Google Scholar] [CrossRef] [PubMed]
- Sahoo, D.K.; Das, A.; Thatoi, H.; Mondal, K.C.; Mohapatra, P.K.D. Keratinase Production and Biodegradation of Whole Chicken Feather Keratin by a Newly Isolated Bacterium Under Submerged Fermentation. Appl. Biochem. Biotechnol. 2012, 167, 1040–1051. [Google Scholar] [CrossRef]
- Huang, H.-J.; Weng, B.-C.; Lee, Y.-S.; Lin, C.-Y.; Hsuuw, Y.-D.; Chen, K.-L. The Effects of Two-Stage Fermented Feather Meal-Soybean Meal Product on Growth Performance, Blood Biochemistry, and Immunity of Nursery Pigs. Fermentation 2022, 8, 634. [Google Scholar] [CrossRef]
- Jadhav, R.S.; Oberoi, J.K.; Rokade, T.; Shingade, R.; Yadav, M.; Momin, T. Optimizing the Fermentation Conditions and Enhances the Keratinase Production from Streptomyces coelicoflavus. Acta Sci. Microbiol. 2021, 3, 14–24. [Google Scholar]
- Reddy, M.R.; Reddy, K.S.; Chouhan, Y.R.; Bee, H.; Reddy, G. Effective Feather Degradation and Keratinase Production by Bacillus pumilus GRK for Its Application as Bio-Detergent Additive. Bioresour. Technol. 2017, 243, 254–263. [Google Scholar] [CrossRef]
- Alahyaribeik, S.; Sharifi, S.D.; Tabandeh, F.; Honarbakhsh, S.; Ghazanfari, S. Bioconversion of Chicken Feather Wastes by Keratinolytic Bacteria. Process Saf. Environ. Prot. 2020, 135, 171–178. [Google Scholar] [CrossRef]
- Verma, A.; Singh, H.; Anwar, S.; Chattopadhyay, A.; Tiwari, K.K.; Kaur, S.; Dhilon, G.S. Microbial Keratinases: Industrial Enzymes with Waste Management Potential. Crit. Rev. Biotechnol. 2017, 37, 476–491. [Google Scholar] [CrossRef] [PubMed]
- Możejko, M.; Bohacz, J. Optimization of Conditions for Feather Waste Biodegradation by Geophilic Trichophyton ajelloi Fungal Strains towards Further Agricultural Use. Int. J. Environ. Res. Public Health 2022, 19, 10858. [Google Scholar] [CrossRef] [PubMed]
- Alahyaribeik, S.; Ullah, A. Methods of Keratin Extraction from Poultry Feathers and Their Effects on Antioxidant Activity of Extracted Keratin. Int. J. Biol. Macromol. 2020, 148, 449–456. [Google Scholar] [CrossRef] [PubMed]
- Manivasagan, P.; Venkatesan, J.; Sivakumar, K.; Kim, S.-K. Production, Characterization and Antioxidant Potential of Protease from Streptomyces sp. MAB18 Using Poultry Wastes. BioMed Res. Int. 2013, 2013, e496586. [Google Scholar] [CrossRef]
- Hedstrom, L. Serine Protease Mechanism and Specificity. Chem. Rev. 2002, 102, 4501–4524. [Google Scholar] [CrossRef]







Disclaimer/Publisher’s Note: The statements, opinions and data contained in all publications are solely those of the individual author(s) and contributor(s) and not of MDPI and/or the editor(s). MDPI and/or the editor(s) disclaim responsibility for any injury to people or property resulting from any ideas, methods, instructions or products referred to in the content. |
© 2023 by the authors. Licensee MDPI, Basel, Switzerland. This article is an open access article distributed under the terms and conditions of the Creative Commons Attribution (CC BY) license (https://creativecommons.org/licenses/by/4.0/).
Share and Cite
Abdelmoteleb, A.; Gonzalez-Mendoza, D.; Tzintzun-Camacho, O.; Grimaldo-Juárez, O.; Mendez-Trujillo, V.; Moreno-Cruz, C.; Ceceña-Duran, C.; Roumia, A.F. Keratinases from Streptomyces netropsis and Bacillus subtilis and Their Potential Use in the Chicken Feather Degrading. Fermentation 2023, 9, 96. https://doi.org/10.3390/fermentation9020096
Abdelmoteleb A, Gonzalez-Mendoza D, Tzintzun-Camacho O, Grimaldo-Juárez O, Mendez-Trujillo V, Moreno-Cruz C, Ceceña-Duran C, Roumia AF. Keratinases from Streptomyces netropsis and Bacillus subtilis and Their Potential Use in the Chicken Feather Degrading. Fermentation. 2023; 9(2):96. https://doi.org/10.3390/fermentation9020096
Chicago/Turabian StyleAbdelmoteleb, Ali, Daniel Gonzalez-Mendoza, Olivia Tzintzun-Camacho, Onecimo Grimaldo-Juárez, Vianey Mendez-Trujillo, Carlos Moreno-Cruz, Carlos Ceceña-Duran, and Ahmed F. Roumia. 2023. "Keratinases from Streptomyces netropsis and Bacillus subtilis and Their Potential Use in the Chicken Feather Degrading" Fermentation 9, no. 2: 96. https://doi.org/10.3390/fermentation9020096
APA StyleAbdelmoteleb, A., Gonzalez-Mendoza, D., Tzintzun-Camacho, O., Grimaldo-Juárez, O., Mendez-Trujillo, V., Moreno-Cruz, C., Ceceña-Duran, C., & Roumia, A. F. (2023). Keratinases from Streptomyces netropsis and Bacillus subtilis and Their Potential Use in the Chicken Feather Degrading. Fermentation, 9(2), 96. https://doi.org/10.3390/fermentation9020096

