Effect of Sea Salt and Taro Waste on Fungal Mortierella alpina Cultivation for Arachidonic Acid-Rich Lipid Production
Abstract
:1. Introduction
2. Materials and Methods
2.1. Microorganism and Culture Condition
2.1.1. Strain Maintenance and Inoculum Preparation
2.1.2. Strain Selection
2.1.3. Artificial Sea Salt: Batch Cultivation in the Shaker Flask
2.1.4. TPW Hydrolysate: Batch Cultivation in the Shaker Flask
2.1.5. TPW Hydrolysate: Batch and Fed-Batch Cultivation in the Bioreactor
2.2. Acidic and Enzymatic Hydrolysis of Taro Peel Waste (TPW Acidic and Enzymatic Hydrolysate Preparation)
2.3. Analytical Procedure
2.4. Statistical Analysis
3. Results and Discussion
3.1. Strain Selection
3.2. The Tolerance of Salinity
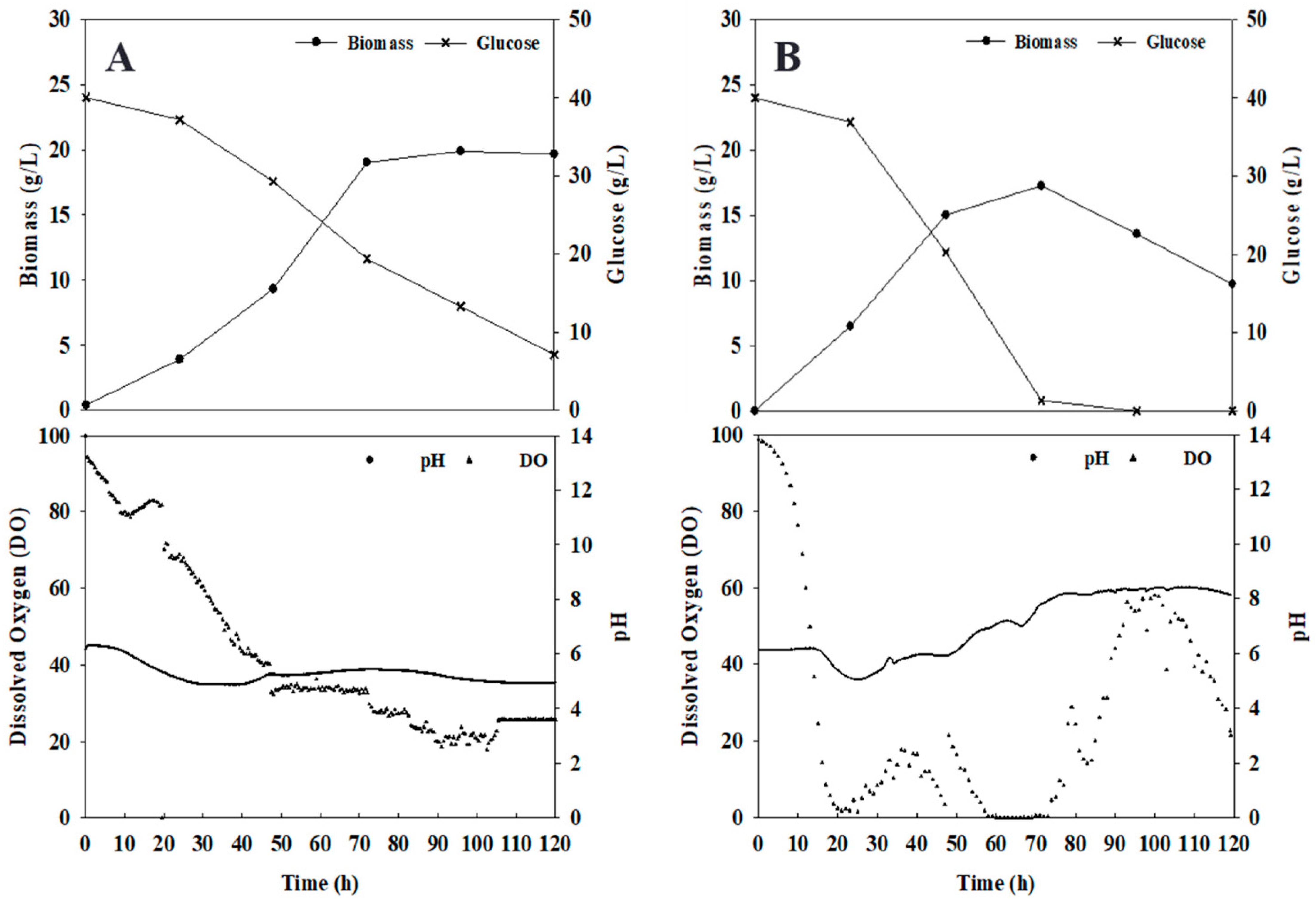
3.3. The Feasibility of TPW Hydrolysate as Carbon Substrate for M. alpina Cultivation
4. Conclusions
Author Contributions
Funding
Institutional Review Board Statement
Informed Consent Statement
Data Availability Statement
Acknowledgments
Conflicts of Interest
References
- Rondanelli, M.; Giacosa, A.; Opizzi, A.; Pelucchi, C.; La Vecchia, C.; Montorfano, G.; Negroni, M.; Berra, B.; Politi, P.; Rizzo, A.M. Long chain omega 3 polyunsaturated fatty acids supplementation in the treatment of elderly depression: Effects on depressive symptoms, on phospholipids fatty acids profile and on health-related quality of life. J. Nutr. Health Aging 2011, 15, 37–44. [Google Scholar] [CrossRef] [PubMed]
- Cicero, A.F.; Reggi, A.; Parini, A.; Borghi, C. Application of polyunsaturated fatty acids in internal medicine: Beyond the established cardiovascular effects. Arch. Med. Sci. 2012, 8, 784–793. [Google Scholar] [CrossRef] [PubMed]
- Carlsson, J.A.; Wold, A.E.; Sandberg, A.S.; Ostman, S.M. The polyunsaturated fatty acids arachidonic acid and docosahexaenoic acid induce mouse dendritic cells maturation but reduce T-Cell responses in vitro. PLoS ONE 2015, 10, e0143741. [Google Scholar] [CrossRef] [PubMed]
- Gill, I.; Valivety, R. Polyunsaturated fatty acids, Part 1: Occurrence, biological activities and applications. Trends Biotechnol. 1997, 15, 401–409. [Google Scholar] [CrossRef]
- Chen, H.C.; Chang, C.C.; Chen, C.X. Optimization of arachidonic acid production by Mortierella alpina Wuji-H4 isolate. J. Am. Oil. Chem. Soc. 1997, 74, 569–578. [Google Scholar] [CrossRef]
- Wu, W.J.; Zhang, A.H.; Peng, C.; Ren, L.J.; Song, P.; Yu, Y.D.; Huang, H.; Ji, X.J. An efficient multi-stage fermentation strategy for the production of microbial oil rich in arachidonic acid in Mortierella alpina. Bioresour. Bioprocess. 2017, 4, 8. [Google Scholar] [CrossRef] [PubMed] [Green Version]
- Nisha, A.; Venkateswaran, G. Effect of culture variables on mycelial arachidonic acid production by Mortierella alpina. Food Bioprocess Technol. 2011, 4, 232–240. [Google Scholar] [CrossRef]
- Wu, W.; Yan, J.; Ji, X.; Zhang, X.; Shang, J.; Sun, L.; Ren, L.; Huang, H. Lipid characterization of an arachidonic acid-rich oil producing fungus Mortierella alpina. Chin. J. Chem. Eng. 2015, 23, 1183–1187. [Google Scholar] [CrossRef]
- Li, X.; Lin, Y.; Chang, M.; Jin, Q.; Wang, X. Efficient production of arachidonic acid by Mortierella alpina through integrating fed-batch culture with a two-stage pH control strategy. Bioresour. Technol. 2015, 181, 275–282. [Google Scholar] [CrossRef]
- Cao, G.; Guan, Z.; Liu, F.G.; Liao, X.; Cai, Y. Arachidonic acid production by Mortierella alpina using raw crop materials. Acta Sci. Pol. 2015, 14, 133–143. [Google Scholar] [CrossRef]
- Sun, D.; Zhou, C.; Zhu, C.; Sun, Y. Effects of culture medium on PUFAs production by Mortierella isabellinas. In Advances in Applied Biotechnology Proceedings of the 2nd International Conference on Applied Biotechnology (ICAB 2014)-Volume II; Zhang, T.-C., Nakajima, M., Eds.; Springer: Berlin/Heidelberg, Germany, 2015; pp. 219–228. [Google Scholar]
- Hsieh, S.-C.; Liu, J.-M.; Pua, X.-H.; Ting, Y.; Hsu, R.-J.; Cheng, K.-C. Optimization of Lactobacillus acidophilus cultivation using taro waste and evaluation of its biological activity. Appl. Microbiol. Biotechnol. 2016, 100, 2629–2639. [Google Scholar] [CrossRef] [PubMed]
- Arapoglou, D.; Varzakas, T.; Vlyssides, A.; Israilides, C. Ethanol production from potato peel waste (PPW). Waste Manag. 2010, 30, 1898–1902. [Google Scholar] [CrossRef] [PubMed]
- Izmirlioglu, G.; Demirci, A. Ethanol production from waste potato mash by using Saccharomyces cerevisiae. Appl. Sci. 2012, 2, 738–753. [Google Scholar] [CrossRef] [Green Version]
- Khawla, B.J.; Sameh, M.; Imen, G.; Donyes, F.; Dhouha, G.; Raoudha, E.G.; Oumèma, N.-E. Potato peel as feedstock for bioethanol production: A comparison of acidic and enzymatic hydrolysis. Ind. Crop. Prod. 2014, 52, 144–149. [Google Scholar] [CrossRef]
- Dong, M.; Walker, T.H. Addition of polyunsaturated fatty acids to canola oil by fungal conversion. Enzyme Microb. Technol. 2008, 42, 514–520. [Google Scholar] [CrossRef]
- Zeng, Y.; Ji, X.J.; Chang, S.M.; Nie, Z.K.; Huang, H. Improving arachidonic acid accumulation in Mortierella alpina through B-group vitamin addition. Bioprocess Biosyst. Eng. 2012, 35, 683–688. [Google Scholar] [CrossRef] [PubMed]
- Sutanto, S.; Go, A.W.; Chen, K.-H.; Ismadji, S.; Ju, Y.-H. Maximized utilization of raw rice bran in microbial oils production and recovery of active compounds: A proof of concept. Waste Biomass Valorization 2016, 8, 1067–1080. [Google Scholar] [CrossRef]
- Wu, W.H.; Hung, W.C.; Lo, K.Y.; Chen, Y.H.; Wan, H.P.; Cheng, K.C. Bioethanol production from taro waste using thermo-tolerant yeast Kluyveromyces marxianus K21. Bioresour. Technol. 2016, 201, 27–32. [Google Scholar] [CrossRef]
- Ji, X.J.; Zhang, A.H.; Nie, Z.K.; Wu, W.J.; Ren, L.J.; Huang, H. Efficient arachidonic acid-rich oil production by Mortierella alpina through a repeated fed-batch fermentation strategy. Bioresour. Technol. 2014, 170, 356–360. [Google Scholar] [CrossRef] [PubMed]
- Miller, G.L. Use of dinitrosalicylic acid reagent for determination of reducing sugar. Anal. Chem. 1959, 31, 426–428. [Google Scholar] [CrossRef]
- Higashiyama, K.; Yaguchi, T.; Akimoto, K.; Fujikawaa, S.; Shimizu, S. Effects of mineral addition on the growth morphology of and arachidonic acid production by Mortierella alpina 1S-4. J. AOCS 1998, 75, 1815–1819. [Google Scholar] [CrossRef]
- Ho, S.-Y.; Chen, F. Lipid characterization of Mortierella alpina grown at different NaCl concentrations. J. Agric. Food Chem. 2008, 56, 7903–7909. [Google Scholar] [CrossRef] [PubMed]
- Song, X.; Ma, Z.; Tan, Y.; Zhang, H.; Cui, Q. Wastewater recycling technology for fermentation in polyunsaturated fatty acid production. Bioresour. Technol. 2017, 235, 79–86. [Google Scholar] [CrossRef]
- Goyzueta-Mamani, L.D.; de Carvalho, J.C.; Magalhães, A.I., Jr.; Soccol, C.R. Production of arachidonic acid by Mortierella alpina using wastes from potato chips industry. J. Appl. Microbiol. 2021, 130, 1592–1601. [Google Scholar] [CrossRef]
- Higashiyama, K.; Fujikawaa, S.; Park, E.Y.; Shimizu, S. Production of arachidonic acid by Mortierella fungi. Biotechonol. Bioprocess Eng. 2002, 7, 252–262. [Google Scholar] [CrossRef]
- Vadivelan, G.; Venkateswaran, G. Production and enhancement of omega-3 fatty acid from Mortierella alpina CFR-GV15: Its food and therapeutic application. BioMed Res. Int. 2014, 2014, 657414. [Google Scholar] [CrossRef] [PubMed] [Green Version]
- Zhang, H.; Cui, Q.; Song, X. Research advances on arachidonic acid production by fermentation and genetic modification of Mortierella alpina. World J. Microbiol. Biotechnol. 2021, 37, 4. [Google Scholar] [CrossRef]
- Jin, M.J.; Huang, H.; Xiao, A.H.; Gao, Z.; Liu, X.; Peng, C. Enhancing arachidonic acid production by Mortierella alpina ME-1 using improved mycelium aging technology. Bioprocess Biosyst. Eng. 2009, 32, 117–122. [Google Scholar] [CrossRef]
- Zhang, H.; Lu, D.; Li, X.; Feng, Y.; Cui, Q.; Song, X. Heavy ion mutagenesis combined with triclosan screening provides a new strategy for improving the arachidonic acid yield in Mortierella alpina. BMC Biotechnol. 2018, 18, 23. [Google Scholar] [CrossRef] [Green Version]
- Song, X.; Zang, X.; Zhang, X. Production of high docosahexaenoic acid by Schizochytrium sp. using low-cost raw materials from food industry. J. Oleo Sci. 2015, 64, 197–204. [Google Scholar] [CrossRef] [Green Version]





| Mortierella alpina | Biomass Conc. (g/L) | Lipid Content (%) | Lipid Production (g/L) | ARA Ratio (% of TFAs) |
|---|---|---|---|---|
| 32738 | 8.95 ± 2.33 a | 11.01 ± 0.02 b | 1.21 ± 0.11 b | 30.22 ± 0.54 a |
| FU30281 | 8.80 ± 0.11 a | 6.92 ± 0.02 b | 0.91 ± 0.25 b | 15.30 ± 0.54 b |
| FU30797 | 8.49 ± 1.46 a | 25.97 ± 2.34 a | 2.20 ± 0.03 a | 34.60 ± 3.54 a |
| Artificial Sea Salt (g/L) | Biomass Conc. (g/L) | Lipid Content (%) |
|---|---|---|
| 0 | 17.96 ± 0.13 a | 30.60 ± 1.84 a |
| 10 | 16.86 ± 0.38 a | 30.99 ± 0.74 a |
| 30 | 16.35 ± 1.59 a | 26.10 ± 0.59 b |
| 50 | 11.73 ± 1.18 b | 24.80 ± 1.36 b |
| 70 | 8.63 ± 3.38 b,c | 18.43 ± 2.39 c |
| 90 | 9.46 ± 0.96 c | 11.26 ± 2.15 d |
| Substrate | Biomass Conc. (g/L) | Lipid Content (%) | Lipid Production (g/L) | ARA Ratio (% TFAs) |
|---|---|---|---|---|
| Acidic hydrolysate | 11.70 ± 0.48 b | 7.70 ± 0.37 b | 0.90 ± 0.05 b | 34.58 ± 2.00 a |
| Enzymatic hydrolysate | 16.79 ± 0.16 a | 30.68 ± 1.79 a | 5.15 ± 0.33 a | 33.05 ± 1.54 a |
Publisher’s Note: MDPI stays neutral with regard to jurisdictional claims in published maps and institutional affiliations. |
© 2022 by the authors. Licensee MDPI, Basel, Switzerland. This article is an open access article distributed under the terms and conditions of the Creative Commons Attribution (CC BY) license (https://creativecommons.org/licenses/by/4.0/).
Share and Cite
Chen, Y.-H.; Ong, C.-C.; Lin, T.-Y. Effect of Sea Salt and Taro Waste on Fungal Mortierella alpina Cultivation for Arachidonic Acid-Rich Lipid Production. Fermentation 2022, 8, 81. https://doi.org/10.3390/fermentation8020081
Chen Y-H, Ong C-C, Lin T-Y. Effect of Sea Salt and Taro Waste on Fungal Mortierella alpina Cultivation for Arachidonic Acid-Rich Lipid Production. Fermentation. 2022; 8(2):81. https://doi.org/10.3390/fermentation8020081
Chicago/Turabian StyleChen, Yen-Hui, Chang-Chng Ong, and Ting-Yao Lin. 2022. "Effect of Sea Salt and Taro Waste on Fungal Mortierella alpina Cultivation for Arachidonic Acid-Rich Lipid Production" Fermentation 8, no. 2: 81. https://doi.org/10.3390/fermentation8020081
APA StyleChen, Y.-H., Ong, C.-C., & Lin, T.-Y. (2022). Effect of Sea Salt and Taro Waste on Fungal Mortierella alpina Cultivation for Arachidonic Acid-Rich Lipid Production. Fermentation, 8(2), 81. https://doi.org/10.3390/fermentation8020081

