Media Optimization by Response Surface Methodology for the Enhanced Production of Acidic Extracellular Pectinase by the Indigenously Isolated Novel Strain Aspergillus cervinus ARS2 Using Solid-State Fermentation
Abstract
1. Introduction
2. Materials and Methods
2.1. Chemicals and Software Used
2.2. Isolation and Screening of Pectinolytic Fungi
2.3. Production of Pectinase
2.4. Pectinase Activity
2.5. Molecular Identification of the Isolate ARS2
2.6. One-Factor-at-a-Time (OFAT) Studies of Media Components
2.7. Screening of Media Components by Plackett–Burman Design
2.8. Optimization of Pectinase Production Using Response Surface Methodology and Central Composite Design
2.9. Model Validation
3. Results and Discussion
3.1. Isolation and Screening of Pectinolytic Fungi
3.2. Molecular Characterization of the Isolate ARS2
3.3. One-Factor-at-a-Time Studies of Media Components
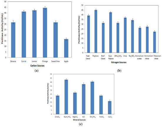
3.3.1. Effect of Carbon Sources
3.3.2. Effect of Nitrogen Sources
3.3.3. Effect of Mineral Salts
3.4. Screening of Media Components by Plackett–Burman Design
3.4.1. Screening of Carbon Sources
3.4.2. Screening of Nitrogen Sources
3.4.3. Screening of Mineral Salts
3.5. Optimization of Pectinase Production
3.6. Model Validation
4. Conclusions
Author Contributions
Funding
Institutional Review Board Statement
Informed Consent Statement
Data Availability Statement
Acknowledgments
Conflicts of Interest
References
- Reid, I.; Ricard, M. Pectinase in paper making: Solving retention problems in mechanical pulps bleached with hydrogen peroxide. Enzym. Microb. Technol. 2000, 26, 115–123. [Google Scholar] [CrossRef]
- Gummadi, S.N.; Kumar, D.S. Microbial pectic transeliminases. Biotechnol. Lett. 2005, 27, 451–458. [Google Scholar] [CrossRef]
- Combo, A.M.M.; Aguedo, M.; Goffin, D.; Wathelet, B.; Paquot, M. Enzymatic production of pectic oligosaccharides from polygalacturonic acid with commercial pectinase preparations. Food Bioprod. Process. 2012, 90, 588–596. [Google Scholar] [CrossRef]
- Rebello, S.; Anju, M.; Aneesh, E.M.; Sindhu, R.; Binod, P.; Pandey, A. Recent advancements in the production and applications of microbial pectinases-an overview. Rev. Environ. Sci. Biotechnol. 2017, 16, 381–394. [Google Scholar] [CrossRef]
- Oumer, O.J.; Abate, D. Screening and molecular identification of pectinase producing microbes from coffee pulp. BioMed Res. Int. 2018, 2018, 2961767. [Google Scholar] [CrossRef]
- Kashyap, D.R.; Vohra, P.K.; Chopra, S.; Tewari, R. Applications of pectinases in the commercial sector: A review. Bioresour. Technol. 2001, 77, 215–227. [Google Scholar] [CrossRef]
- Singh, S.; Gupta, R. Apple juice clarification using fungal pectinolytic enzyme and gelatin. Indian J. Biotechnol. 2004, 3, 573–576. [Google Scholar]
- Jayani, R.S.; Saxena, S.; Gupta, R. Microbial Pectinolytic enzymes: A review. Process Biochem. 2005, 40, 2931–2944. [Google Scholar] [CrossRef]
- Rashmi, R.; Siddalinga Murthy, K.R.; Sneha, G.; Shabana, S.; Syama, A.; Radhika, V. Partial purification and biochemical characterization of extracellular pectinase from Aspergillus niger isolated from groundnut seeds. J. Appl. Biosci. 2008, 9, 378–384. [Google Scholar]
- Singh, S.; Mandal, S.K. Optimization of processing parameters for production of pectinolytic enzymes from fermented pineapple residue of mixed Aspergillus species. Jordan J. Biol. Sci. 2012, 5, 307–314. [Google Scholar]
- Demir, H.; Gogus, N.; Tari, C.; Heerd, D.; Lahore, M.F. Optimization of the process parameters for the utilization of orange peel to produce polygalacturonase by solid-state fermentation from an Aspergillus sojae mutant strain. Turk. J. Biol. 2012, 36, 394–404. Available online: https://dergipark.org.tr/en/pub/tbtkbiology/issue/11697/139664 (accessed on 30 August 2022). [CrossRef]
- Heerd, D.; Yegin, S.; Taric, C.; Fernandez-Lahore, M. Pectinase enzyme—Complex production by Aspergillus spp., in solid state fermentation: A comparative study. Food Bioprod. Process. 2012, 90, 102–110. [Google Scholar] [CrossRef]
- Demir, H.; Tari, C. Valorization of wheat bran for the production of polygalacturonase in SSF of Aspergillus sojae. Ind. Crops Prod. 2014, 54, 302–309. [Google Scholar] [CrossRef]
- Anand, G.; Yadav, S.; Yadav, D. Production, purification and biochemical characterization of an exo-polygalacturonase from Aspergillus niger MTCC478 suitable for clarification of orange juice. 3Biotech 2017, 7, 122. [Google Scholar] [CrossRef]
- Patidar, M.K.; Nighojkar, A.; Nighojkar, S.; Kumar, A. Purification and characterization of polygalacturonase produced by Aspergillus niger AN07 in solid state fermentation. Can. J. Biotechnol. 2017, 1, 11–18. [Google Scholar] [CrossRef]
- Ahmed, T.; Rana, M.R.; Zzaman, W.; Ara, R.; Aziz, M. Optimization of substrate composition for pectinase production from Satkara (Citrus macroptera) peel using Aspergillus niger-ATCC 1640 in solid-state fermentation. Heliyon. 2021, 7, e08133. [Google Scholar] [CrossRef]
- Ajayi, A.A.; Lawal, B.; Salubi, A.E.; Onibokun, A.E.; Oniha, M.I.; Ajayi, O.M. Pectinase production by Aspergillus niger using pineapple peel pectin and its application in coconut oil extraction. In 4th International Conference on Science and Sustainable Development (ICSSD 2020) IOP Conf. Series: Earth and Environmental Science; IOP Publishing: Bristol, UK, 2021. [Google Scholar] [CrossRef]
- Esawy, M.A.; Gamal, A.A.; Kamel, Z. Optimization of Aspergillus niger NRC1ami pectinase using citrus peel pectin, purification, and thermodynamic characterization of the free and modified enzyme. Waste Biomass Valorization 2022, 1–15. [Google Scholar] [CrossRef]
- Sandri, I.G.; Fontana, R.C.; Da Silveira, M.M. Influence of pH and temperature on the production of polygalacturonases by Aspergillus fumigates. LWT-Food Sci. Technol. 2015, 61, 430–436. [Google Scholar] [CrossRef]
- Wong, L.Y.; Saad, W.Z.; Mohamad, R.; Tahir, P.M. Optimization of cultural conditions for polygalacturonase production by a newly isolated Aspergillus fumigates R6 capable of retting kenaf. Ind. Crops Prod. 2017, 97, 175–183. [Google Scholar] [CrossRef]
- Huang, D.; Song, Y.; Lin, Y.; Qin, Y. A new strain of Aspergillus tubingensis for high activity pectinase production. Braz. J. Microbiol. 2019, 50, 53–65. [Google Scholar] [CrossRef]
- Nakkeeran, E.; Kumar, U.S.; Subramaniam, R. Aspergillus carbonarius polygalacturonases purified by integrated membrane process and affinity precipitation for apple juice production. Bioresour. Technol. 2011, 102, 3293–3297. [Google Scholar] [CrossRef] [PubMed]
- Satapathy, S.; Soren, J.P.; Mondal, K.C.; Srivastava, S.; Pradhan, C.; Sahoo, S.L.; Thatoi, H.; Rout, J.R. Industrially relevant pectinase production from Aspergillus parvisclerotigenus KX928754 using apple pomace as the promising substrate. J. Taibah Univ. Sci. 2021, 15, 347–356. [Google Scholar] [CrossRef]
- Biz, A.; Finkler, A.T.J.; Pitol, L.O.; Medina, B.S.; Krieger, N.; Mitchell, D.A. Production of pectinases by solid state fermentation of a mixture of citrus waste and sugarcane bagasse in a pilot-scale packed bed bioreactor. Biochem. Eng. J. 2016, 111, 54–62. [Google Scholar] [CrossRef]
- Li, Y.; Wang, Y.; Tu, T.; Zhang, D.; Ma, R.; You, S.; Wang, X.; Yao, B.; Luo, H.; Xu, B. Two acidic, thermophilic GH28 polygalacturonase from Talaromyces leycettanus JCM 12802 with application potentials for grape juice clarification. Food Chem. 2017, 237, 997–1003. [Google Scholar] [CrossRef] [PubMed]
- Amin, F.; Bhatti, H.N.; Bilal, M.; Asgher, M. Multiple parameter optimizations for enhanced biosynthesis of exo-polygalacturonase enzyme and its application in fruit juice clarification. Int. J. Food Eng. 2017, 13, 20160256. [Google Scholar] [CrossRef]
- Ahmed, N.E.; Awad, H.M. Optimizing the production of pectinase of orange peel waste by penicillium chrysogenum MF318506 using response surface methodology in submerged fermentation. J. Microbiol. Biotechnol. Food Sci. 2021, 11, e3931. [Google Scholar] [CrossRef]
- Junior, A.N.; Mansoldo, F.R.P.; Godoy, M.G.; Firpo, R.M.; Cedrola, S.M.L.; Vermelho, A.B. Production of an endo-polygalacturonase from Fusarium proliferatum isolated from agro-industrial waste. Biocatal. Agric. Biotechnol. 2021, 38, 102199. [Google Scholar] [CrossRef]
- Mehmood, T.; Saman, T.; Irfan, M.; Anwar, F.; Ikram, M.S.; Tabassam, Q. Pectinase production from Schizophyllum commune through central composite design using citrus waste and its immobilization for industrial exploitation. Waste Biomass Valorization 2019, 10, 2527–2536. [Google Scholar] [CrossRef]
- Nabi, N.G.; Nabi, M.; Asgher, A.; Shah, H.; Sheikh, M.A.; Asad, M.J. Production of pectinase by Trichoderma harzianum in solid state fermentation of citrus peels. Pak. J. Agric. Sci. 2003, 40, 193–201. [Google Scholar]
- Handa, S.; Sharma, N.; Pathania, S. Multiple parameter optimization for maximization of pectinase production by Rhizopus sp. C4 under solid state fermentation. Fermentation 2016, 2, 10. [Google Scholar] [CrossRef]
- Aggarwal, R.; Dutta, T.; Sheikh, J. Extraction of pectinase from Candida isolated from textile mill effluent and its application in bio-scouring of cotton. Sustain. Chem. Pharm. 2020, 17, 100291. [Google Scholar] [CrossRef]
- Haile, S.; Ayele, A. Pectinase from microorganisms and its industrial applications. Sci. World J. 2022, 2022. [Google Scholar] [CrossRef]
- Sarmah, A.K. Potential risk and environmental benefits of waste derived from animal agriculture. In Agricultural Wastes Agriculture Issues and Policies Series; Ashworth, G.S., Azevedo, P., Eds.; Nova Science Publishers Inc.: New York, NY, USA, 2009. [Google Scholar]
- Singh nee’ Nigam, P.; Pandey, A. Biotechnology for Agro-Industrial Residues Utilization; Springer Science + Business Media: Cham, Switzerland, 2009. [Google Scholar] [CrossRef]
- Rezazadeh Bari, M.; Alizadeh, M.; Farbeh, F. Optimizing endopectinase production from date pomace by Aspergillus niger PC5 using response surface methodology. Food Bioprod. Process. 2010, 88, 67–72. [Google Scholar] [CrossRef]
- Patidar, M.K.; Nighojkar, S.; Kumar, A.; Nighojkar, A. Pectinolytic enzymes- solid state fermentation, assay methods and applications in fruit juice industries: A review. 3 Biotech 2018, 8, 199. [Google Scholar] [CrossRef]
- Núñez Pérez, J.; Chávez Arias, B.S.; de la Vega Quintero, J.C.; Zárate Baca, S.; Pais-Chanfrau, J.M. Multi-objective statistical optimization of pectinolytic enzymes production by an Aspergillus sp. on dehydrated coffee residues in solid-state fermentation. Fermentation 2022, 8, 170. [Google Scholar] [CrossRef]
- Zhou, J.M.; Ge, X.Y.; Zhang, W.G. Improvement of polygalacturonase production at high temperature by mixed culture of Aspergillus niger and Saccharomyces cerevisiae. Bioresour. Technol. 2011, 102, 10085–10088. [Google Scholar] [CrossRef]
- Ahmed, I.; Zia, M.A.; Hussain, M.A.; Akram, Z.; Naveed, M.T.; Nowrouzi, A. Bioprocessing of citrus waste peel for induced pectinase production by Aspergillus niger, its purification and characterization. J. Radiat. Res. Appl. 2016, 9, 148–154. [Google Scholar] [CrossRef]
- Mahmoodi, M.; Najafpour, G.D.; Mohammadi, M. Production of pectinases for quality apple juice through fermentation of orange pomace. J. Food Sci. Technol. 2017, 54, 4123–4128. [Google Scholar] [CrossRef]
- Li, P.J.; Xia, J.L.; Shan, Y.; Nie, Z.Y.; Su, D.L.; Gao, Q.R.; Zhang, C.; Ma, Y.L. Optimizing production of pectinase from orange peel by Pencillium oxalicum PJ02 using response surface methodology. Waste Biomass Valorization 2014, 6, 13–22. [Google Scholar] [CrossRef]
- Adeleke, A.J.; Odunfa, S.A.; Olanbiwonninu, A.; Owoseni, M.C. Production of cellulose and pectinase from orange peels by fungi. Nat. Sci. 2012, 10, 107–112. [Google Scholar]
- Patil, L.R.; Shet, A.R.; Achappa, S.; Desai, S.V.; Hombalimath, V.S.; Kallur, M.M. Statistical optimization of media components for xylanase production by Aspergillus spp. using solid state fermentation and its application in fruit juice clarification. J. Pharm. Res. Int. 2021, 33, 151–166. [Google Scholar] [CrossRef]
- Webb, C.; Manan, M.A. Design aspects of solid state fermentation as applied to microbial bioprocessing. J. Appl. Biotechnol. Bioeng. 2017, 4, 511–532. [Google Scholar] [CrossRef]
- Bhavikatti, J.S.; Bodducharl, S.M.; Kamagond, R.S.; Desai, S.V.; Shet, A.R. Statistical optimisation of protease production using a freshwater bacterium Chryseobacterium cucumeris SARJS-2 for multiple industrial applications. 3 Biotech 2020, 10, 279. [Google Scholar] [CrossRef] [PubMed]
- Singh, V.; Haque, S.; Niwas, R.; Srivastava, A.; Pasupuleti, M.; Tripathi, C.K.M. Strategies for fermentation medium optimization: An In-depth review. Front. Microbiol. 2017, 7, 2087. [Google Scholar] [CrossRef] [PubMed]
- Ortiz, G.E.; Maria, C.; Mora, P.; Noseda, D.G.; Cazabat, G.; Saravalli, C.; Lopez, M.C.; Gil, G.P.; Blasco, M.; Alberto, E.O. Pectinase production by Aspergillus giganteus in solid state fermentation: Optimization, scale up, biochemical characterization and its application in olive-oil extraction. J. Ind. Microbiol. Biotechnol. 2017, 44, 197–211. [Google Scholar] [CrossRef]
- Satapathy, S.; Rout, J.R.; Kerry, R.G.; Thatoi, H.; Sahoo, S.L. Biochemical prospects of various microbial pectinase and pectin: An approachable concept in pharmaceutical bioprocessing. Front. Nutr. 2020, 7, 117. [Google Scholar] [CrossRef]
- Garg, g.; Singh, A.; Kaur, A.; Singh, J.; Kaur, J.; Mahajan, R. Microbial pectinases: An ecofriendly tool of nature for industries. 3 Biotech 2016, 6, 1–13. [Google Scholar] [CrossRef]
- Amilia, K.R.; Sari, S.L.A.; Setyaningsih, R. Isolation and screening of pectinolytic fungi from orange (Citrus nobilis Tan.) and banana (Musa acuminata L.) fruit peel. In IOP Conference Series: Materials Science and Engineering; IOP Publishing: Bristol, UK, 2017. [Google Scholar] [CrossRef]
- Darah, I.; Haritharan, W.; Lim, S.H. Involvement of physicochemical parameters on pectinase production by Aspergillus niger HFD5A-1. J. Pure Appl. Microbiol. 2013, 7, 2541–2549. [Google Scholar]
- Miller, G.L. Use of dinitrosalicylic acid reagent for determination of reducing sugar. Anal. Chem. 1959, 31, 426–428. [Google Scholar] [CrossRef]
- Li, Q.; Coffman, A.M.; Ju, L.K. Development of reproducible assays for polygalacturonase and pectinase. Enzym. Microb. Technol. 2015, 72, 42–48. [Google Scholar] [CrossRef]
- White, T.J.; Bruns, T.; Lee, S.; Taylor, J.W. Amplification and direct sequencing of fungal ribosomal RNA genes for phylogenetics. In PCR Protocols: A Guide to Methods and Applications; Academic Press, Inc.: New York, NY, USA, 1990; pp. 315–322. [Google Scholar]
- Altschul, S.F.; Gish, W.; Miller, W.; Myers, E.W.; Lipman, D.J. Basic local alignment search tool. J. Mol. Biol. 1990, 215, 403–410. [Google Scholar] [CrossRef]
- Romelle, F.D.; Ashwini Rani, P.; Manohar, R.S. Chemical composition of some selected fruit peels. Eur. Food Res. Technol. 2016, 4, 12–21. [Google Scholar]
- Priyadarshini, S.; John, S. Analysis of Nutrient Content and Physicochemical Properties of Newly Developed Sweet Lime Peel Vinegar and Sweet Lime Fruit-Peel Combo Vinegar. Indian J. Appl. Res. 2014, 4, 260–262. [Google Scholar]
- Muhammad, A.; Muhammad, S.H.; Abdullah, I. Effect of pre-treatments and drying methods on dehydration and rehydration characteristics of carrot. Univers. J. Food Nutr. Sci. 2015, 3, 23–28. [Google Scholar] [CrossRef]
- Pham, T.; Nguyen, N.T.P.; Dinh, D.V.; Kieu, N.T.; Bach, L.G.; Phong, H.X.; Muoi, N.V.; Truc, T.T. Evaluate the chemical composition of peels and juice of seedless lemon (Citrus latifolia) grown in hau giang province, Vietnam. In IOP Conference Series: Materials Science and Engineering; IOP Publishing: Bristol, UK, 2020. [Google Scholar] [CrossRef]
- Ajayi, A.A.; Salubi, A.E.; Lawal, B.; Onibokun, A.E.; Ajayi, O.; Ogunieye, T.A. Optimization of pectinase productionby Aspergillus niger using central composite design. Afr. J. Clin. Exp. Microbiol. 2018, 19, 314–319. [Google Scholar] [CrossRef]
- Gams, W.; Christensen, M.; Onions, A.H.; Pitt, J.I.; Samson, R.A. Infrageneric taxa of Aspergillus. In Advances in Penicillium and Aspergillus Systematics; Plenum Press: New York, NY, USA, 1985; pp. 55–62. [Google Scholar]
- Chen, A.J.; Varga, J.; Frisvad, J.C.; Jiang, X.Z.; Samson, R.A. Polyphasic taxonomy of Aspergillus section cervini. Stud. Mycol. 2016, 85, 65–89. [Google Scholar] [CrossRef][Green Version]
- Kute, A.B.; Mohapatra, D.; Kotwaliwale, N.; Giri, S.K.; Sawant, B.P. Characterization of pectin extracted from orange peel powder using microwave-assisted and acid extraction methods. Agric. Res. 2020, 9, 241–248. [Google Scholar] [CrossRef]
- Mrudula, S.; Anitharaj, R. Pectinase production in solid state fermentation by Aspergillus niger using orange peel as substrate. Glob. J. Biotechnol. Biochem. 2011, 6, 64–71. [Google Scholar]
- Sethi, B.K.; Nanda, P.K.; Sahoo, S. Enhanced production of pectinase by Aspergillus terreus NCFT 4269.10 using banana peels as substrate. 3 Biotech 2016, 6, 36. [Google Scholar] [CrossRef]
- Govindaraji, P.K.; Vuppu, S. Characterisation of pectin and optimization of pectinase enzyme from novel Streptomyces fumigatiscleroticus VIT-SP4 for drug delivery and concrete crack-healing applications: An eco-friendly approach. Saudi J. Biol. Sci. 2020, 27, 3529–3540. [Google Scholar] [CrossRef]
- Sandhya, R.; Kurup, G. Screening and isolation of pectinase from fruit and vegetable wastes and the use of orange waste as a substrate for pectinase production. Int. Res. J. Biol. 2013, 2, 34–39. [Google Scholar]
- Mathew, A.; Eldo, A.; Molly, A.G. Optimization of culture conditions for the production of thermostable polygalacturonase by Penicillium SPC-F 20. Int. J. Biotechnol. Biochem. 2008, 35, 1001–1005. [Google Scholar] [CrossRef] [PubMed]
- Rangarajan, V.; Rajasekharan, M.; Ravichandran, R.; Sriganesh, K.; Vaitheeswaran, V. Pectinase production from orange peel extract and dried orange peel solid as substrates using Aspergillus niger. Int. J. Biotechnol. Biochem. 2010, 6, 445–453. [Google Scholar]
- Akhter, N.; Morshed, M.A.; Uddin, A.; Begum, F.; Sultan, T.; Azad, A.K. Production of pectinase by Aspergillus niger cultured in solid state media. Int. J. Biol. Sci. 2011, 1, 33–42. [Google Scholar]
- Mahesh, N.; Vivek, R.; Arunkumar, M.; Balakumar, S. Statistical designing of enriched pectin extract medium for the enhanced production of pectinase by Aspergillus niger. Int. J. Pharm. Pharm. Sci. 2014, 6, 666–672. [Google Scholar]
- Enshasy, H.A.; Elsayed, E.A.; Suhaimi, N.; Malek, R.A.; Esawy, M. Bioprocess optimization for pectinase production using Aspergillus niger in a submerged cultivation system. BMC Biotechnol. 2018, 18, 71. [Google Scholar] [CrossRef]
- Sharma, S.; Sharma, J.; Mandhan, R.P. Lucrative pectinase production by novel strain Pseudozyma sp. SPJ with statistical optimization techniques using agro-industrial residues. Front. Biol. 2014, 9, 317–323. [Google Scholar] [CrossRef]










| Carbon Sources | Low Level (−1) (g) | High Level (+1) (g) |
|---|---|---|
| Orange peel | 2.0 | 14.0 |
| Lemon peel | 2.0 | 14.0 |
| Sweet lemon peel | 2.0 | 14.0 |
| Apple peel | 2.0 | 14.0 |
| Banana peel | 2.0 | 14.0 |
| Carrot peel | 2.0 | 14.0 |
| Nitrogen Sources | Low Level (−1) (g/L) | High Level (+1) (g/L) |
|---|---|---|
| Yeast extract | 0.5 | 5.0 |
| Peptone | 0.5 | 5.0 |
| Beef extract | 0.5 | 5.0 |
| Soya peptone | 0.5 | 5.0 |
| Urea | 0.5 | 5.0 |
| (NH4)2SO4 | 0.1 | 2.5 |
| Na2NO3 | 0.1 | 2.5 |
| Ammonium nitrate | 0.1 | 2.5 |
| Ammonium acetate | 0.1 | 2.5 |
| Potassium nitrate | 0.1 | 2.5 |
| Mineral Sources | Low Level (−1) (g/L) | High Level (+1) (g/L) |
|---|---|---|
| NaH2PO4 | 0.10 | 2.0 |
| KH2PO4 | 0.10 | 2.0 |
| MgSO4 | 0.10 | 2.0 |
| KCl | 0.10 | 2.0 |
| FeSO4 | 0.01 | 0.1 |
| ZnSO4 | 0.01 | 0.1 |
| CaCl2 | 0.01 | 0.1 |
| Media Components | Levels | ||||
|---|---|---|---|---|---|
| −α | −1 | 0 | 1 | +α | |
| Orange peel (g) | 3.0 | 6.0 | 9.0 | 12.0 | 15.0 |
| Peptone (g/L) | 0.5 | 2.0 | 3.5 | 5.0 | 6.5 |
| NaH2PO4 (g/L) | 0.1 | 0.6 | 1.1 | 1.6 | 2.1 |
| KH2PO4 (g/L) | 0.1 | 0.6 | 1.1 | 1.6 | 2.1 |
| Run No. | Orange Peel (A) | Lemon Peel (B) | Sweet Lemon Peel (C) | Carrot Peel (D) | Banana Peel (E) | Apple Peel (F) | Experimental Pectinase Activity (IU/mL) |
|---|---|---|---|---|---|---|---|
| 1 | −1 | −1 | −1 | +1 | +1 | +1 | 30.78 ± 0.73 |
| 2 | −1 | +1 | +1 | −1 | +1 | −1 | 38.56 ± 1.51 |
| 3 | −1 | +1 | −1 | −1 | −1 | +1 | 31.88 ± 1.69 |
| 4 | +1 | +1 | +1 | −1 | +1 | +1 | 50.11 ± 1.86 |
| 5 | −1 | +1 | +1 | +1 | −1 | +1 | 38.20 ± 1.58 |
| 6 | +1 | −1 | +1 | −1 | −1 | −1 | 44.17 ± 0.96 |
| 7 | +1 | 1 | +1 | +1 | −1 | +1 | 40.37 ± 1.27 |
| 8 | +1 | +1 | −1 | +1 | −1 | −1 | 38.56 ± 0.88 |
| 9 | +1 | −1 | −1 | −1 | +1 | +1 | 37.26 ± 1.19 |
| 10 | −1 | −1 | −1 | −1 | −1 | −1 | 23.22 ± 1.34 |
| 11 | −1 | −1 | +1 | +1 | +1 | −1 | 31.41 ± 1.08 |
| 12 | +1 | +1 | −1 | +1 | +1 | −1 | 37.55 ± 0.70 |
| Source | DF | Seq SS | Contribution | Adj SS | Adj MS | F-Value | p-Value |
|---|---|---|---|---|---|---|---|
| Model | 6 | 0.004250 | 90.23% | 0.004250 | 0.000708 | 44.66 | <0.001 |
| Linear | 6 | 0.004250 | 90.23% | 0.004250 | 0.000708 | 44.66 | <0.001 |
| A | 1 | 0.002066 | 43.87% | 0.002066 | 0.002066 | 130.27 | <0.001 |
| B | 1 | 0.000605 | 12.83% | 0.000605 | 0.000605 | 38.11 | <0.001 |
| C | 1 | 0.001315 | 27.91% | 0.001315 | 0.001315 | 82.88 | <0.001 |
| D | 1 | 0.000008 | 0.16% | 0.000008 | 0.000008 | 0.48 | 0.493 |
| E | 1 | 0.000078 | 1.65% | 0.000078 | 0.000078 | 4.89 | 0.035 |
| F | 1 | 0.000180 | 3.82% | 0.000180 | 0.000180 | 11.34 | 0.002 |
| Error | 29 | 0.000460 | 9.77% | 0.000460 | 0.000016 | ||
| Lack-of-Fit | 5 | 0.000348 | 7.38% | 0.000348 | 0.000070 | 14.89 | <0.001 |
| Pure Error | 24 | 0.000112 | 2.38% | 0.000112 | 0.000005 | ||
| Total | 35 | 0.004710 | 100.00% |
| Run No. | Urea (A) | Yeast Extract (B) | (NH4)2SO4 (C) | Na2NO3 (D) | Ammonium Nitrate (E) | Ammonium Acetate (F) | Potassium Nitrate (G) | Peptone (H) | Beef Extract (I) | Soya Peptone (J) | Experimental Pectinase Activity (IU/mL) |
|---|---|---|---|---|---|---|---|---|---|---|---|
| 1 | +1 | +1 | +1 | +1 | +1 | +1 | +1 | +1 | +1 | +1 | 48.75 ± 1.74 |
| 2 | −1 | +1 | −1 | +1 | +1 | +1 | −1 | −1 | −1 | −1 | 22.79 ± 1.20 |
| 3 | −1 | −1 | +1 | −1 | +1 | +1 | +1 | −1 | −1 | +1 | 24.48 ± 1.51 |
| 4 | −1 | −1 | −1 | +1 | −1 | +1 | +1 | +1 | −1 | −1 | 31.94 ± 1.63 |
| 5 | −1 | +1 | −1 | −1 | +1 | −1 | +1 | +1 | +1 | −1 | 37.39 ± 1.53 |
| 6 | −1 | −1 | +1 | −1 | −1 | +1 | −1 | +1 | +1 | −1 | 32.03 ± 1.62 |
| 7 | −1 | −1 | −1 | +1 | −1 | −1 | +1 | −1 | +1 | +1 | 24.52 ± 1.44 |
| 8 | +1 | −1 | −1 | −1 | +1 | −1 | −1 | +1 | −1 | +1 | 38.81 ± 0.86 |
| 9 | +1 | +1 | −1 | −1 | −1 | +1 | −1 | −1 | +1 | +1 | 33.24 ± 1.33 |
| 10 | +1 | +1 | +1 | −1 | −1 | −1 | +1 | −1 | −1 | −1 | 25.24 ± 0.96 |
| 11 | −1 | +1 | +1 | +1 | −1 | −1 | −1 | +1 | −1 | +1 | 43.22 ± 1.59 |
| 12 | +1 | −1 | +1 | +1 | +1 | −1 | −1 | −1 | +1 | −1 | 22.78 ± 0.77 |
| Source | DF | Seq SS | Contribution | Adj SS | Adj MS | F-Value | p-Value |
|---|---|---|---|---|---|---|---|
| Model | 10 | 0.007963 | 97.79% | 0.007963 | 0.000796 | 110.49 | <0.001 |
| Linear | 10 | 0.007963 | 97.79% | 0.007963 | 0.000796 | 110.49 | <0.001 |
| A | 1 | 0.000214 | 2.63% | 0.000214 | 0.000214 | 29.71 | <0.001 |
| B | 1 | 0.000930 | 11.42% | 0.000930 | 0.000930 | 129.07 | <0.001 |
| C | 1 | 0.000010 | 0.12% | 0.000010 | 0.000010 | 1.36 | 0.254 |
| D | 1 | 0.000009 | 0.11% | 0.000009 | 0.000009 | 1.20 | 0.284 |
| E | 1 | 0.000000 | 0.00% | 0.000000 | 0.000000 | 0.00 | 0.968 |
| F | 1 | 0.000002 | 0.02% | 0.000002 | 0.000002 | 0.22 | 0.643 |
| G | 1 | 0.000002 | 0.03% | 0.000002 | 0.000002 | 0.31 | 0.584 |
| H | 1 | 0.005440 | 66.81% | 0.005440 | 0.005440 | 754.86 | <0.001 |
| I | 1 | 0.000117 | 1.44% | 0.000117 | 0.000117 | 16.23 | <0.001 |
| J | 1 | 0.001239 | 15.22% | 0.001239 | 0.001239 | 171.94 | <0.001 |
| Error | 25 | 0.000180 | 2.21% | 0.000180 | 0.000007 | ||
| Lack-of-fit | 1 | 0.000010 | 0.13% | 0.000010 | 0.000010 | 1.48 | 0.235 |
| Pure error | 24 | 0.000170 | 2.08% | 0.000170 | 0.000007 | ||
| Total | 35 | 0.008143 | 100.00% |
| Run No. | NaH2PO4 (A) | KH2PO4 (B) | MgSO4 (C) | ZnSO4 (D) | FeSO4 (E) | KCl (F) | CaCl2 (G) | Experimental Pectinase Activity (IU/mL) |
|---|---|---|---|---|---|---|---|---|
| 1 | +1 | −1 | +1 | −1 | −1 | −1 | +1 | 44.35 ± 1.80 |
| 2 | −1 | −1 | +1 | +1 | +1 | −1 | +1 | 38.81 ± 1.81 |
| 3 | −1 | +1 | +1 | −1 | +1 | −1 | −1 | 41.38 ± 1.28 |
| 4 | +1 | −1 | +1 | +1 | −1 | +1 | −1 | 46.68 ± 1.10 |
| 5 | +1 | +1 | −1 | +1 | +1 | −1 | +1 | 46.52 ± 1.09 |
| 6 | −1 | −1 | −1 | −1 | −1 | −1 | −1 | 35.36 ± 1.17 |
| 7 | −1 | +1 | −1 | −1 | −1 | +1 | +1 | 41.50 ± 1.19 |
| 8 | +1 | +1 | +1 | −1 | +1 | +1 | −1 | 49.35 ± 1.10 |
| 9 | −1 | −1 | −1 | +1 | +1 | +1 | −1 | 40.24 ± 0.84 |
| 10 | −1 | +1 | +1 | +1 | −1 | +1 | +1 | 43.47 ± 0.84 |
| 11 | +1 | −1 | −1 | −1 | +1 | +1 | +1 | 42.29 ± 1.86 |
| 12 | +1 | +1 | −1 | +1 | −1 | −1 | −1 | 44.30 ± 1.35 |
| Source | DF | Seq SS | Contribution | Adj SS | Adj MS | F-Value | p-Value |
|---|---|---|---|---|---|---|---|
| Model | 7 | 0.000933 | 87.70% | 0.000933 | 0.000133 | 28.52 | <0.001 |
| Linear | 7 | 0.000933 | 87.70% | 0.000933 | 0.000133 | 28.52 | <0.001 |
| A | 1 | 0.000539 | 50.63% | 0.000539 | 0.000539 | 115.26 | <0.001 |
| B | 1 | 0.000186 | 17.44% | 0.000186 | 0.000186 | 39.70 | <0.001 |
| C | 1 | 0.000097 | 9.09% | 0.000097 | 0.000097 | 20.70 | <0.001 |
| D | 1 | 0.000020 | 1.92% | 0.000020 | 0.000020 | 4.37 | 0.046 |
| E | 1 | 0.000004 | 0.41% | 0.000004 | 0.000004 | 0.92 | 0.345 |
| F | 1 | 0.000087 | 8.19% | 0.000087 | 0.000087 | 18.65 | <0.001 |
| G | 1 | 0.000000 | 0.02% | 0.000000 | 0.000000 | 0.04 | 0.845 |
| Error | 28 | 0.000131 | 12.30% | 0.000131 | 0.000005 | ||
| Lack-of-Fit | 4 | 0.000043 | 4.01% | 0.000043 | 0.000011 | 2.90 | 0.043 |
| Pure Error | 24 | 0.000088 | 8.29% | 0.000088 | 0.000004 | ||
| Total | 35 | 0.001064 | 100.00% |
| Run No. | KH2PO4 (A) | Peptone (B) | NaH2PO4 (C) | Orange Peel (D) | Experimental Pectinase Activity (IU/mL) | Predicted Pectinase Activity (IU/mL) |
|---|---|---|---|---|---|---|
| 1 | −1 | −1 | −1 | −1 | 61.23 ± 0.94 | 63.31 |
| 2 | +1 | −1 | −1 | −1 | 55.59 ± 1.11 | 59.88 |
| 3 | −1 | +1 | −1 | −1 | 72.51 ± 0.85 | 72.79 |
| 4 | +1 | +1 | −1 | −1 | 59.97 ± 1.59 | 68.22 |
| 5 | −1 | −1 | +1 | −1 | 74.51 ± 0.67 | 78.10 |
| 6 | +1 | −1 | +1 | −1 | 82.53 ± 0.75 | 84.80 |
| 7 | −1 | +1 | +1 | −1 | 80.13 ± 0.94 | 86.42 |
| 8 | +1 | +1 | +1 | −1 | 91.81 ± 1.23 | 92.92 |
| 9 | −1 | −1 | −1 | +1 | 67.65 ± 1.15 | 69.17 |
| 10 | +1 | −1 | −1 | +1 | 75.24 ± 1.12 | 74.40 |
| 11 | −1 | +1 | −1 | +1 | 74.49 ± 1.15 | 77.33 |
| 12 | +1 | +1 | −1 | +1 | 83.41 ± 1.23 | 82.36 |
| 13 | −1 | −1 | +1 | +1 | 81.44 ± 1.15 | 76.46 |
| 14 | +1 | −1 | +1 | +1 | 91.46 ± 0.98 | 94.26 |
| 15 | −1 | +1 | +1 | +1 | 85.60 ± 1.00 | 82.34 |
| 16 | +1 | +1 | +1 | +1 | 97.39 ± 1.07 | 100.49 |
| 17 | −2 | 0 | 0 | 0 | 75.49 ± 1.01 | 74.79 |
| 18 | +2 | 0 | 0 | 0 | 94.59 ± 0.78 | 86.50 |
| 19 | 0 | −2 | 0 | 0 | 71.44 ± 1.25 | 70.00 |
| 20 | 0 | +2 | 0 | 0 | 81.85 ± 1.11 | 78.29 |
| 21 | 0 | 0 | −2 | 0 | 69.89 ± 1.08 | 63.99 |
| 22 | 0 | 0 | +2 | 0 | 97.45 ± 0.89 | 96.32 |
| 23 | 0 | 0 | 0 | −2 | 81.79 ± 1.17 | 70.33 |
| 24 | 0 | 0 | 0 | +2 | 78.96 ± 1.35 | 83.12 |
| 25 | 0 | 0 | 0 | 0 | 91.54 ± 1.23 | 91.03 |
| 26 | 0 | 0 | 0 | 0 | 92.89 ± 0.72 | 91.03 |
| 27 | 0 | 0 | 0 | 0 | 93.48 ± 0.95 | 91.03 |
| 28 | 0 | 0 | 0 | 0 | 89.48 ± 0.58 | 91.03 |
| 29 | 0 | 0 | 0 | 0 | 93.53 ± 1.29 | 91.03 |
| 30 | 0 | 0 | 0 | 0 | 89.94 ± 0.42 | 91.03 |
| 31 | 0 | 0 | 0 | 0 | 89.61 ± 1.20 | 91.03 |
| Source | DF | Seq SS | Contribution | Adj SS | Adj MS | F-Value | p-Value |
|---|---|---|---|---|---|---|---|
| Model | 14 | 0.006511 | 85.98% | 0.006511 | 0.000465 | 34.18 | <0.001 |
| Linear | 4 | 0.004207 | 55.56% | 0.001145 | 0.000286 | 21.03 | <0.001 |
| A | 1 | 0.000369 | 4.87% | 0.000000 | 0.000000 | 0.02 | 0.881 |
| B | 1 | 0.000441 | 5.83% | 0.000557 | 0.000557 | 40.97 | <0.001 |
| C | 1 | 0.002912 | 38.46% | 0.000513 | 0.000513 | 37.69 | <0.001 |
| D | 1 | 0.000484 | 6.40% | 0.000492 | 0.000492 | 36.17 | <0.001 |
| Square | 4 | 0.001732 | 22.88% | 0.001732 | 0.000433 | 31.83 | <0.001 |
| A × A | 1 | 0.000103 | 1.36% | 0.000316 | 0.000316 | 23.24 | <0.001 |
| B × B | 1 | 0.000666 | 8.79% | 0.000982 | 0.000982 | 72.17 | <0.001 |
| C × C | 1 | 0.000337 | 4.45% | 0.000446 | 0.000446 | 32.81 | <0.001 |
| D × D | 1 | 0.000627 | 8.28% | 0.000627 | 0.000627 | 46.07 | <0.001 |
| 2-Way Interaction | 6 | 0.000572 | 7.55% | 0.000572 | 0.000095 | 7.00 | <0.001 |
| A × B | 1 | 0.000001 | 0.01% | 0.000001 | 0.000001 | 0.08 | 0.782 |
| A × C | 1 | 0.000220 | 2.90% | 0.000220 | 0.000220 | 16.13 | <0.001 |
| A × D | 1 | 0.000189 | 2.50% | 0.000189 | 0.000189 | 13.89 | <0.001 |
| B × C | 1 | 0.000016 | 0.21% | 0.000016 | 0.000016 | 1.17 | 0.283 |
| B × D | 1 | 0.000009 | 0.12% | 0.000009 | 0.000009 | 0.64 | 0.426 |
| C × D | 1 | 0.000138 | 1.82% | 0.000138 | 0.000138 | 10.11 | 0.002 |
| Error | 78 | 0.001061 | 14.02% | 0.001061 | 0.000014 | ||
| Lack-of-Fit | 10 | 0.000988 | 13.05% | 0.000988 | 0.000099 | 91.62 | <0.001 |
| Pure Error | 68 | 0.000073 | 0.97% | 0.000073 | 0.000001 | ||
| Total | 92 | 0.007572 | 100.00% |
| Media Components | Optimal Values | Predicted Pectinase Activity (IU/mL) | Experimental Pectinase Activity (IU/mL) |
|---|---|---|---|
| Orange peel (g) | 10.63 | 106.80 | 105.65 ± 0.31 |
| Peptone (g/L) | 3.96 | ||
| KH2PO4 (g/L) | 2.07 | ||
| NaH2PO4 (g/L) | 2.10 |
Publisher’s Note: MDPI stays neutral with regard to jurisdictional claims in published maps and institutional affiliations. |
© 2022 by the authors. Licensee MDPI, Basel, Switzerland. This article is an open access article distributed under the terms and conditions of the Creative Commons Attribution (CC BY) license (https://creativecommons.org/licenses/by/4.0/).
Share and Cite
Shet, A.R.; Muhsinah, A.B.; Alsayari, A.; Achappa, S.; Desai, S.V.; Mahnashi, M.H.; Muddapur, U.M.; Shaikh, I.A.; Mannasaheb, B.A.; Khan, A.A. Media Optimization by Response Surface Methodology for the Enhanced Production of Acidic Extracellular Pectinase by the Indigenously Isolated Novel Strain Aspergillus cervinus ARS2 Using Solid-State Fermentation. Fermentation 2022, 8, 485. https://doi.org/10.3390/fermentation8100485
Shet AR, Muhsinah AB, Alsayari A, Achappa S, Desai SV, Mahnashi MH, Muddapur UM, Shaikh IA, Mannasaheb BA, Khan AA. Media Optimization by Response Surface Methodology for the Enhanced Production of Acidic Extracellular Pectinase by the Indigenously Isolated Novel Strain Aspergillus cervinus ARS2 Using Solid-State Fermentation. Fermentation. 2022; 8(10):485. https://doi.org/10.3390/fermentation8100485
Chicago/Turabian StyleShet, Anil R., Abdullatif Bin Muhsinah, Abdulrahman Alsayari, Sharanappa Achappa, Shivalingsarj V. Desai, Mater H. Mahnashi, Uday M. Muddapur, Ibrahim Ahmed Shaikh, Basheerahmed Abdulaziz Mannasaheb, and Aejaz Abdullatif Khan. 2022. "Media Optimization by Response Surface Methodology for the Enhanced Production of Acidic Extracellular Pectinase by the Indigenously Isolated Novel Strain Aspergillus cervinus ARS2 Using Solid-State Fermentation" Fermentation 8, no. 10: 485. https://doi.org/10.3390/fermentation8100485
APA StyleShet, A. R., Muhsinah, A. B., Alsayari, A., Achappa, S., Desai, S. V., Mahnashi, M. H., Muddapur, U. M., Shaikh, I. A., Mannasaheb, B. A., & Khan, A. A. (2022). Media Optimization by Response Surface Methodology for the Enhanced Production of Acidic Extracellular Pectinase by the Indigenously Isolated Novel Strain Aspergillus cervinus ARS2 Using Solid-State Fermentation. Fermentation, 8(10), 485. https://doi.org/10.3390/fermentation8100485

