Applying Cassava Stems Biochar Produced from Agronomical Waste to Enhance the Yield and Productivity of Maize in Unfertile Soil
Abstract
:1. Introduction
2. Materials and Methods
2.1. Experimental Study Area
2.2. Research Design and Experimental Plots
2.3. Feedstock, Biochar Production and Their Characteristic Analyses
2.4. Soil Sampling and Soil Character Analysis
2.5. Analysis of Maize Production and Maize Seed Nutritional Value
2.6. Data Analysis
3. Results
3.1. Characteristics and Properties of Cassava Stems and Cassava Stem Biochar
3.2. Maize Yield and Productivity
3.3. Protein, Carbohydrate, and Fat in Maize Seeds
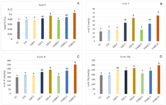
3.4. Changing in Soil Properties after Maize Cultivation
4. Discussion
4.1. The Effect of Pyrolysis and Feedstock on Biochar Properties
4.2. Enhanced Maize Yield with Incorporated Soil with Biochar
5. Conclusions
Author Contributions
Funding
Institutional Review Board Statement
Informed Consent Statement
Acknowledgments
Conflicts of Interest
References
- Wijitkosum, S. Reducing Vulnerability to Desertification by Using the Spatial Measures in a Degraded Area in Thailand. Land 2020, 9, 49. [Google Scholar] [CrossRef] [Green Version]
- Kopittke, P.M.; Menzies, N.W.; McKenna, B.A.; Lombi, E. Soil and the intensification of agriculture for global food security. Environ. Int. 2019, 132, 105078. [Google Scholar] [CrossRef] [PubMed]
- Wijitkosum, S. Factor influencing land degradation sensitivity and desertification in a drought prone watershed in Thailand. ISWCR Int. Soil Water Conserv. Res. 2021, 9, 217–228. [Google Scholar] [CrossRef]
- Savci, S. Investigation of Effect of Chemical Fertilizers on Environment. APCBEE Procedia 2012, 1, 287–292. [Google Scholar] [CrossRef] [Green Version]
- United Nations. Transforming Our World: The 2030 Agenda for Sustainable Development. Available online: https://sdgs.un.org/sites/default/files/publications/21252030%20Agenda%20for%20Sustainable%20Development%20web.pdf (accessed on 15 July 2021).
- Wijitkosum, S. Biochar derived from agricultural wastes and wood residues for sustainable agricultural and environmental applications. ISWCR Int. Soil Water Conserv. Res. 2021, in press. [Google Scholar] [CrossRef]
- Department of Agricultural Extension. Agricultural Extension Information. Available online: http://www.agriinfo.doae.go.th/year/63plant/rortor/page.pdf (accessed on 20 August 2021).
- Zhang, J.; Liu, J.; Liu, R. Effects of pyrolysis temperature and heating time on biochar obtained from the pyrolysis of straw and lignosulfonate. Bioresour. Technol. 2015, 176, 288–291. [Google Scholar] [CrossRef] [PubMed]
- Bera, T.; Purakayastha, T.J.; Patra, A.K.; Datta, S.C. Comparative analysis of physicochemical, nutrient and spectral properties of agricultural residue biochars as influenced by pyrolysis temperatures. J. Mater. Cycles Waste Manag. 2017, 20, 1115–1127. [Google Scholar] [CrossRef]
- Joseph, S.; Cowie, A.L.; Van Zwieten, L.; Bolan, N.; Budai, A.; Buss, W.; Cayuela, M.L.; Graber, E.R.; Ippolito, J.A.; Kuzyakov, Y.; et al. How biochar works, and when it doesn’t: A review of mechanisms controlling soil and plant responses to biochar. GCB Bioenergy 2021, 13, 1731–1764. [Google Scholar] [CrossRef]
- Sriburi, T.; Wijitkosum, S. Biochar Amendment Experiments in Thailand: Practical Examples. In Biochar a Regional Supply Chain Approach in View of Climate Change Mitigation; Bruckman, V.J., Varol, E.A., Uzun, B.B., Liu, J., Eds.; Cambridge University Press: Cambridge, UK, 2016; pp. 351–367. [Google Scholar]
- Yu, H.; Zhang, Z.; Li, Z.; Chen, D. Characteristic of tar formation during cellulose, hemicellulose and lignin gasification. Fuel 2014, 118, 25–256. [Google Scholar] [CrossRef]
- Bong, C.P.; Lim, L.Y.; Lee, C.T.; Ong, P.Y.; Klemeš, J.J.; Li, C.; Gao, Y. Lignocellulosic Biomass and Food Waste for Biochar Production and Application: A Review. Chem. Eng. Transac. 2020, 81, 427–432. [Google Scholar] [CrossRef]
- Rangabhashiyam, S.; Balasubramanian, P. The potential of lignocellulosic biomass precursors for biochar production: Performance, mechanism and wastewater application—A review. Ind. Crop. Prod. 2019, 128, 405–423. [Google Scholar] [CrossRef]
- Dhyani, V.; Bhaskar, T. A comprehensive review on the pyrolysis of lignocellulosic biomass. Renew. Energy 2018, 129, 695–716. [Google Scholar] [CrossRef]
- Tomczyk, A.; Sokołowska, Z.; Boguta, P. Biochar physicochemical properties: Pyrolysis temperature and feedstock kind effects. Rev. Environ. Sci. Bio/Technol. 2020, 19, 191–215. [Google Scholar] [CrossRef] [Green Version]
- Sharma, P.; Marinov, I.; Cabre, A.; Kostadinov, T.; Singh, A. Increasing biomass in the warm oceans: Unexpected new insights from SeaWiFS. Geophys. Res. Lett. 2019, 46, 3900–3910. [Google Scholar] [CrossRef] [Green Version]
- Wang, S.; Gao, B.; Zimmerman, A.R.; Li, Y.; Ma, L.; Harris, W.G.; Migliaccio, K.W. Physicochemical and sorptive properties of biochars derived from woody and herbaceous biomass. Chemosphere 2015, 134, 257–262. [Google Scholar] [CrossRef]
- Ronsse, F.; van Hecke, S.; Dickinson, D.; Prins, W. Production and characterization of slow pyrolysis biochar: Influence of feedstock type and pyrolysis conditions. Glob. Chang. Biol. Bioenergy 2012, 5, 104–115. [Google Scholar] [CrossRef]
- Jindo, K.; Mizumoto, H.; Sawada, Y.; Sanchez-Monedero, M.A.; Sonoki, T. Physical and chemical characterization of biochars derived from different agricultural residues. Biogeosciences 2014, 11, 6613–6621. [Google Scholar] [CrossRef] [Green Version]
- Yuan, J.; Xu, R.; Zhang, H. The forms of alkalis in the biochar produced from crop residues at different temperatures. Bioresour. Technol. 2011, 102, 3488–3497. [Google Scholar] [CrossRef]
- Huang, M.; Fan, L.; Jiang, L.G.; Yang, S.Y.; Zou, Y.B.; Norman, U. Continuous applications of biochar to rice: Effects on grain yield and yield attributes. J. Integr. Agric. 2019, 18, 563–570. [Google Scholar] [CrossRef]
- Novak, J.M.; Lima, I.; Xing, B.; Gaskin, J.W.; Steiner, C.; Das, K.C.; Ahmedna, M.; Rehrah, D.; Watts, D.W.; Busscher, W.J. Characterization of designer biochar produced at different temperatures and their effects on a loamy sand. Ann. Environ. Sci. 2009, 3, 195–206. [Google Scholar]
- Major, J.; Rondon, M.; Molina, D.; Riha, S.J.; Lehmann, J. Maize yield and nutrition during 4 years after biochar application to a Colombian savanna oxisol. Plant Soil 2010, 333, 117–128. [Google Scholar] [CrossRef]
- Ahmad, M.; Lee, S.S.; Dou, X.; Mohan, D.; Sung, J.K.; Yang, J.E.; Ok, Y.S. Effects of pyrolysis temperature on soybean stover- and peanut shell-derived biochar properties and TCE adsorption in water. Bioresour. Technol. 2012, 118, 536–544. [Google Scholar] [CrossRef]
- Chintala, R.; Mollinedo, J.; Schumacher, T.E.; Malo, D.D.; Julson, J.L. Effect of biochar on chemical properties of acidic soil. Arch. Agron. Soil Sci. 2014, 60, 393–404. [Google Scholar] [CrossRef]
- Brewer, C.E.; Brown, R.C. Biochar. In Comprehensive Renewable Energy; Sayigh, A., Ed.; Elsevier: Oxford, UK, 2012; pp. 357–384. [Google Scholar]
- Cai, Y.J.; Ok, Y.S.; Lehmann, J.; Chang, S.X. Recommendations for stronger biochar research in soil biology and fertility. Biol. Fertil. Soils 2021, 57, 333–336. [Google Scholar] [CrossRef]
- Lang, T.; Jensen, A.D.; Jensen, P.A. Retention of organic elements during solid fuel pyrolysis with emphasis on the peculiar behavior of nitrogen. Energy Fuel 2005, 19, 1631–1643. [Google Scholar] [CrossRef]
- Bagreev, A.; Bandosz, T.; Locke, D. Pore structure and surface chemistry of adsorbents obtained by pyrolysis of sewage-derived fertilizer. Carbon 2001, 39, 1971–1979. [Google Scholar] [CrossRef]
- Wijitkosum, S.; Jiwnok, P. Elemental Composition of Biochar Obtained from Agricultural Waste for Soil Amendment and Carbon Sequestration. Appl. Sci. 2019, 9, 3980. [Google Scholar] [CrossRef] [Green Version]
- Weber, K.; Quicker, P. Properties of biochar. Fuel 2018, 217, 240–261. [Google Scholar] [CrossRef]
- Doumer, M.E.; Arízaga, G.G.C.; da Silva, D.A.; Yamamoto, C.I.; Novotny, E.H.; Santos, J.M.; dos Santos, L.O.; Wisniewski, A., Jr.; de Andrade, J.B.; Mangrich, A.S. Slow pyrolysis of different Brazilian waste biomasses as sources of soil conditioners and energy, and for environmental protection. J. Anal. Appl. Pyrolysis 2015, 113, 434–443. [Google Scholar] [CrossRef]
- Gaskin, J.; Steiner, C.; Harris, K.; Das, K.; Bibens, B. Effect of low temperature pyrolysis conditions on biochar for agricultural use. Trans. ASABE 2008, 51, 2061–2069. [Google Scholar] [CrossRef]
- Ding, Y.; Liu, Y.G.; Liu, S.B.; Li, Z.W.; Tan, X.F.; Huang, X.X. Biochar to improve soil fertility: A review. Agron. Sustain. Dev. 2016, 36, 36. [Google Scholar] [CrossRef] [Green Version]
- Ding, Y.; Liu, Y.; Liu, S.; Huang, X.; Li, Z.; Tan, X.; Zeng, G.; Zhou, L. Potential Benefits of Biochar in Agricultural Soils: A Review. Pedosphere 2017, 27, 645–661. [Google Scholar] [CrossRef]
- Tsai, W.T.; Liu, S.C.; Chen, H.R.; Chang, Y.M.; Tsai, Y.L. Textural and chemical properties of swine-manure-derived biochar pertinent to its potential use as a soil amendment. Chemosphere 2012, 89, 198–203. [Google Scholar] [CrossRef]
- Yuan, J.H.; Xu, R.K. The amelioration effects of low temperature biochar generated from nine crop residues on an acidic Ultisol. Soil Use Manag. 2010, 27, 110–115. [Google Scholar] [CrossRef]
- Murtaza, G.; Ahmed, Z.; Usman, M.; Tariq, W.; Ullah, Z.; Shareef, M.; Iqbal, H.; Waqas, M.; Tariq, A.; Wu, Y.; et al. Biochar induced modifications in soil properties and its impacts on crop growth and production. J. Plant Nutr. 2021, 44, 1677–1691. [Google Scholar] [CrossRef]
- Sun, X.; Zhong, T.; Zhang, L.; Zhang, K.; Wu, W. Reducing ammonia volatilization from paddy field with rice straw derived biochar. Sci. Total Environ. 2019, 660, 512–518. [Google Scholar] [CrossRef]
- Sarfraz, R.; Hussain, A.; Sabir, A.; Fekih, I.B.; Ditta, A.; Xing, S. Role of biochar and plant growth promoting rhizobacteria to enhance soil carbon sequestration—A review. Environ. Monit. Assess. 2019, 191, 251. [Google Scholar] [CrossRef]
- Schmidt, M.W.I.; Noack, A.G. Black carbon in soils and sediments: Analysis, distribution, implications, and current challenges. Glob. Biogeochem. Cycles 2000, 14, 777–793. [Google Scholar] [CrossRef]
- Janu, R.; Mrlik, V.; Ribitsch, D.; Hofman, J.; Sedláček, P.; Bielská, L.; Soja, G. Biochar surface functional groups as affected by biomass feedstock, biochar composition and pyrolysis temperature. Carbon Resour. Convers. 2021, 4, 36–46. [Google Scholar] [CrossRef]
- Nelissen, V.; Ruysschaert, G.; Manka’Abusi, D.; D’Hose, T.; De Beuf, K.; Al-Barri, B.; Cornelis, W.; Boeckx, P. Impact of a woody biochar on properties of a sandy loam soil and spring barley during a two-year field experiment. Eur. J. Agron. 2015, 62, 65–78. [Google Scholar] [CrossRef]
- Guo, M.; Wwiping, S.; Jing, T. Biochar-Facilitated Soil Remediation: Mechanisms and Efficacy Variations. Front. Environ. Sci. 2020, 8, 183. [Google Scholar] [CrossRef]
- Li, H.; Dong, X.; da Silva, E.B.; de Oliveira, L.M.; Chen, Y.; Ma, L.Q. Mechanisms of metal sorption by biochars: Biochar characteristics and modifications. Chemosphere 2017, 178, 466–478. [Google Scholar] [CrossRef]
- Chen, T.; Zhang, Y.; Wang, H.; Lu, W.; Zhou, Z.; Zhang, Y.; Ren, L. Influence of pyrolysis temperature on characteristics and heavy metal adsorptive performance of biochar derived from municipal sewage sludge. Bioresour. Technol. 2014, 164, 47–54. [Google Scholar] [CrossRef]
- Wijitkosum, S. Applying Rice Husk Biochar to Revitalise Saline Sodic Soil in Khorat Plateau Area—A Case Study for Food Security Purposes. In Biochar Applications in Agriculture and Environment Management; Shankar, S.J., Chhatarpal, S., Eds.; Springer Nature: Cham, Switzerland, 2020; pp. 1–31. [Google Scholar]
- Stewart, C.E.; Zheng, J.; Botte, J.; Cotrufo, F. Co-Generated fast pyrolysis biochar mitigates greenhouse gas emission and increases carbon sequestration in temperature soil. Glob. Chang. Biol. Bioenergy 2013, 5, 153–164. [Google Scholar] [CrossRef]
- Spokas, K.A.; Cantrell, K.B.; Novak, J.M.; Archer, D.W.; Ippolito, J.A.; Collins, H.P.; Boateng, A.A.; Lima, I.M.; Lamb, M.C.; McAloon, A.J.; et al. Biochar: A synthesis of its agronomic impact beyond carbon sequestration. J. Environ. Qual. 2012, 41, 973–989. [Google Scholar] [CrossRef]
- Sohi, S.P.; Lopez-Capel, E.; Krull, E.; Bol, R. Biochar, climate change and soil: A review to guide future research. CSIRO Land Water Sci. Rep. 2009, 5, 17–31. [Google Scholar]
- Redondo-Brenes, A.; Montagnini, F. Growth, productivity, aboveground biomass, and carbon sequestration of pure and mixed native tree plantations in the Caribbean lowlands of Costa Rica. For. Ecol. Manag. 2006, 232, 168–178. [Google Scholar] [CrossRef]
- Tan, Z.; Lin, C.S.K.; Ji, X.; Rainey, T.J. Returning biochar to fields: A review. Appl. Soil Ecol. 2017, 116, 1–11. [Google Scholar] [CrossRef]
- Al-Wabel, M.I.; Hussain, Q.; Usman, A.R.A.; Ahmad, M.; Abdulijabbar, A.; Sallam, A.S.; Ok, Y.S. Impact of biochar properties on soil conditions and agricultural sustainability: A review. Land Degrad. Dev. 2018, 29, 2124–2161. [Google Scholar] [CrossRef]
- Lehmann, J.; Joseph, S. (Eds.) Biochar for environmental management: An introduction. In Biochar for Environmental Management: Science, Technology and Implementation; Taylor and Francis: London, UK, 2015; pp. 1–13. [Google Scholar]
- Gul, S.; Whalen, J.K.; Thomas, B.W.; Sachdeva, V.; Deng, H. Physico-chemical properties and microbial responses in biochar-Amended soil mechanism and future directions. Agric. Ecosyst. Environ. 2015, 206, 46–59. [Google Scholar] [CrossRef]
- Amonette, J.; Joseph, S. Characteristics of Biochar: Micro Chemical Properties. In Biochar for Environmental Management: Science and Technology; Lehmann, J., Joseph, S., Eds.; Earthscan: London, UK, 2009; pp. 33–52. [Google Scholar]
- Bohara, H.; Dodla, S.; Wang, J.J.; Darapuneni, M.; Acharya, B.S.; Magdi, S.; Pavuluri, K. Influence of poultry litter and biochar on soil water dynamics and nutrient leaching from a very fine sandy loam soil. Soil Tillage Res. 2019, 189, 44–51. [Google Scholar] [CrossRef]
- Lehmann, J.; Rillig, M.C.; Thies, J.; Masiello, C.A.; Hockaday, W.C.; Crowley, D. Biochar effects on soil biota—A review. Soil Biol. Biochem. 2011, 43, 1812–1836. [Google Scholar] [CrossRef]
- Laird, D.A.; Fleming, P.; Wang, B.Q.; Horton, R.; Karlen, D. Biochar impact on nutrient leaching from a Midwestern agricultural soil. Geoderma 2010, 158, 436–442. [Google Scholar] [CrossRef] [Green Version]
- Cheng, C.-H.; Lehmann, J.; Thies, J.E.; Burton, S.D.; Engelhard, M.H. Oxidation of black carbon by biotic and abiotic processes. Org. Geochem. 2006, 37, 1477–1488. [Google Scholar] [CrossRef]
- Wang, J.; Wang, S. Preparation, modification and environmental application of biocar: A review. J. Clean. Prod. 2019, 227, 1002–1022. [Google Scholar] [CrossRef]
- Han, L.; Qian, L.; Yan, J.; Chen, M. Effects of the biochar aromaticity and molecular structures of the chlorinated organic compounds on the adsorption characteristics. Environ. Sci. Pollut. Res. 2017, 24, 5554–5565. [Google Scholar] [CrossRef]
- Wijitkosum, S. Impacts of land use changes on soil erosion in Pa Deng sub-district, adjacent area of Kaeng Krachan National Park, Thailand. Soil Water Res. 2012, 7, 10–17. [Google Scholar] [CrossRef] [Green Version]
- Department of Agricultural Extension. Handbook for Maize Production; Department of Agricultural Extension: Bangkok, Thailand, 2008. (In Thai) [Google Scholar]
- Department of Agriculture. DOA Notice on the Standard of Organic Fertilisers, B.E. 2548 (In Thai). Available online: http://www.ratchakitcha.soc.go.th/DATA/PDF/2548/00172707.PDF (accessed on 15 July 2020).
- International Biochar Initiative. Standardized Product Definition and Product Testing Guidelines for Biochar that Is Used in Soil. Available online: https://www.biochar-international.org/wp-content/uploads/2018/04/IBI_Biochar_Standards_V2.1_Final.pdf (accessed on 15 July 2020).
- Haider, G.; Joseph, S.; Steffens, D.; Müller, C.; Taherymoosavi, S.; Mitchell, D.; Kammann, C.I. Mineral nitrogen captured in field-aged biochar is plant-available. Sci. Rep. 2020, 10, 13816. [Google Scholar] [CrossRef]
- Hammes, K.; Smernik, R.J.; Skjemstad, J.O.; Schmidt, M.W.I. Characterization and evaluation of reference materials for black carbon analysis using elemental composition, colour, BET surface area and 13C NMR spectroscopy. Appl. Geochem. 2008, 23, 2113–2122. [Google Scholar] [CrossRef]
- Wang, T.; Stewart, C.E.; Suna, C.; Wang, Y.; Zheng, J. Effects of biochar addition on evaporation in the five typical Loess Plateau Soils. Catena 2018, 162, 29–39. [Google Scholar] [CrossRef]
- Liu, W.J.; Jiang, H.; Yu, H.Q. Development of Biochar-Based Functional Materials: Toward a Sustainable Platform Carbon Material. Chem. Rev. 2015, 115, 12251–12285. [Google Scholar] [CrossRef] [PubMed]
- Lee, Y.; Park, J.; Ryu, C.; Gang, K.S.; Yang, W.; Park, Y.; Jung, J.; Hyun, S. Comparison of biochar properties from biomass residues produced by slow pyrolysis at 500 °C. Bioresour. Technol. 2013, 148, 196–201. [Google Scholar] [CrossRef] [PubMed]
- Zhang, M.; Gao, B.; Varnoosfaderani, S.; Hebard, A.; Yao, Y.; Inyang, M. Preparation and characterization of a novel magnetic biochar for arsenic removal. Bioresour. Technol. 2013, 130, 457–462. [Google Scholar] [CrossRef]
- Liu, X.; Ye, Y.; Liu, Y.; Zhang, A.; Zhang, X.; Li, L.; Pan, G.; Kibue, G.W.; Zheng, J.; Zheng, J. Sustainable biochar effects for low carbon crop production: A 5-crop season field experiment on a low fertility soil from Central China. Agric. Syst. 2014, 129, 22–29. [Google Scholar] [CrossRef]
- Kambo, H.S.; Dutta, A. A comparative review of biochar and hydrochar in terms of production physico-Chemical properties and applications. Renew. Sustain. Energy. Rev. 2015, 45, 359–378. [Google Scholar] [CrossRef]
- Gai, X.; Wang, H.; Liu, J.; Zhai, L.; Liu, S.; Ren, T.; Liu, H. Effects of Feedstock and Pyrolysis Temperature on Biochar Adsorption of Ammonium and Nitrate. PLoS ONE 2014, 9, e113888. [Google Scholar] [CrossRef] [Green Version]
- Yu, J.T.; Dehkhoda, A.M.; Ellis, N. Development of biochar-based catalyst for transesterification of canola oil. Energy Fuels 2011, 25, 337–344. [Google Scholar] [CrossRef]
- Spokas, K.A. Review of the stability of biochar in soils: Predictability of O:C molar ratios. Carbon Manag. 2010, 1, 289–303. [Google Scholar] [CrossRef] [Green Version]
- Gezahegn, S.; Sain, M.; Thomas, S.C. Variation in Feedstock Wood Chemistry Strongly Influences Biochar Liming Potential. Soil Syst. 2019, 3, 26. [Google Scholar] [CrossRef] [Green Version]
- Domingues, R.R.; Sánchez-Monedero, M.A.; Spokas, K.A.; Melo, L.C.A.; Trugilho, P.F.; Valenciano, M.N.; Silva, C.A. Enhancing Cation Exchange Capacity of Weathered Soils Using Biochar: Feedstock, Pyrolysis Conditions and Addition Rate. Agronomy 2020, 10, 824. [Google Scholar] [CrossRef]
- Bray, R.H.; Kurtz, L.T. Determination of Total, Organic, and Available Forms of Phosphorus in Soils. Soil Sci. 1945, 59, 39–45. [Google Scholar] [CrossRef]
- Jackson, M.L. Soil Chemical Analysis; Prentice Hall of India Pvt. Ltd.: New Delhi, India, 1973; 498p. [Google Scholar]
- Walkley, A.J.; Black, I.A. Estimation of soil organic carbon by the chromic acid titration method. Soil Sci. 1934, 37, 29–38. [Google Scholar] [CrossRef]
- Gavlak, R.; Horneck, D.; Miller, R.O. Soil, Plant and Water Reference Methods for the Western Region. Available online: www.naptprogram.org/files/napt/western-states-methodmanual-2005.pdf (accessed on 15 July 2020).
- Wijitkosum, S.; Sriburi, T. Increasing the Amount of Biomass in Field Crops for Carbon Sequestration and Plant Biomass Enhancement Using Biochar. In Biochar—An Imperative Amendment for Soil and the Environment; IntechOpen: London, UK, 2018; Available online: http://www.intechopen.com/online-first/increasing-theamount-of-biomass-in-field-crops-for-carbon-sequestration-and-plant-biomass-enhanceme (accessed on 10 August 2021).
- AOAC. Official Methods of Analysis, 15th ed.; Wilson Boulevard: Arlington, VA, USA, 2000; 1298p. [Google Scholar]


| Parameters | Units | Cassava Stems | Cassava Stems Biochar |
|---|---|---|---|
| Physical Properties | |||
| Specific surface area | m2/g | 2.514 ± 0.030 | 200.459 ± 0.520 |
| Total pore volume | cm3/g | 0.0058 ± 0.001 | 0.122 ± 0.004 |
| Average pore diameter | Å | 83.344 ± 1.790 | 24.358 ± 1.590 |
| Compositions | |||
| C | wt.% | 41.55 ± 0.920 | 58.46 ± 0.104 |
| OC | wt.% | - | 58.46 ± 0.006 |
| H | wt.% | 6.04 ± 0.130 | 2.25 ± 0.107 |
| N | wt.% | 1.36 ± 0.006 | 1.28 ± 0.031 |
| O | wt.% | 51.14 ± 1.181 | 38.01 ± 0.154 |
| C/N Ratio | wt/wt | 39.90 ± 3.530 | 45.78 ± 1.133 |
| H/C Ratio | wt/wt | 1.74 ± 0.062 | 0.39 ± 0.001 |
| O/C Ratio | wt/wt | 0.92 ± 0.051 | 0.65 ± 0.003 |
| Parameters | Units | Cassava Stems | Cassava Stems Biochar |
|---|---|---|---|
| Chemical Properties | |||
| pH | - | 6.58 ± 0.096 | 9.60 ± 0.180 |
| EC | dS/m | 1.97 ± 0.018 | 1.35 ± 0.024 |
| CEC | cmol/kg | 25.72 ± 0.768 | 11.00 ± 0.252 |
| OM | % | 88.55 ± 0.450 | 25.89 ± 0.623 |
| Nutrients | |||
| Total N | % | 0.91 ± 0.030 | 0.98 ± 0.049 |
| Total P2O5 | % | 0.34 ± 0.026 | 0.82 ± 0.025 |
| Total K2O | % | 0.60 ± 0.017 | 1.68 ± 0.020 |
| Total Mg | % | 0.38 ± 0.028 | 0.97 ± 0.015 |
| Experimental Plots | % Moisture | Biomass of Seeds (ton/ha) | Dry Weight of Seeds (ton/ha) | Fresh Weight of Seeds (ton/ha) |
|---|---|---|---|---|
| TC | 12.988 ± 1.0709 | 50.098 ± 0.9017 | 60.004 ± 0.9668 | 70.103 ± 1.0354 |
| TM | 13.076 ± 0.5535 | 50.557 ± 1.3002 | 60.285 ± 1.4765 | 70.233 ± 1.7086 |
| TB0.5 | 13.535 ± 0.9423 | 50.556 ± 0.3946 | 60.340 ± 0.4254 | 70.332 ± 0.4664 |
| TB2.5 | 13.125 ± 0.9625 | 50.577 ± 0.7740 | 60.521 ± 0.8263 | 70.500 ± 0.8796 |
| TB3.0 | 13.489 ± 0.6964 | 50.923 ± 1.2369 | 60.718 ± 1.3894 | 70.762 ± 1.5864 |
| TMB0.5 | 13.263 ± 0.6331 | 50.680 ± 1.6274 | 60.428 ± 1.8286 | 70.403 ± 2.0865 |
| TMB2.5 | 13.427 ± 1.1413 | 60.134 ± 1.2577 | 60.951 ± 1.3835 | 80.022 ± 1.5411 |
| TMB3.0 | 13.581 ± 0.8166 | 60.280 ± 0.8513 | 70.128 ± 0.9197 | 80.242 ± 0.9929 |
| Experimental Plots | % Protein | % Carbohydrate | % Fat |
|---|---|---|---|
| TC | 7.1025 ± 0.4031 | 70.2400 ± 0.4493 | 3.7700 ± 0.3665 |
| TM | 7.2650 ± 0.4823 | 71.5025 ± 1.8000 | 3.9450 ± 0.4015 |
| TB0.5 | 7.1825 ± 0.8778 | 70.7950 ± 1.9165 | 3.7050 ± 0.1877 |
| TB2.5 | 7.2275 ± 1.0192 | 71.4250 ± 0.7230 | 4.0900 ± 0.2947 |
| TB3.0 | 7.5700 ± 0.3976 | 72.4000 ± 0.5303 | 4.1525 ± 0.3423 |
| TMB0.5 | 7.4000 ± 0.3529 | 71.3250 ± 1.0648 | 4.1453 ± 0.2309 |
| TMB2.5 | 7.5375 ± 0.5088 | 72.0850 ± 0.5239 | 4.1825 ± 0.3040 |
| TMB3.0 | 7.6500 ± 0.7297 | 72.6250 ± 0.3835 | 4.3025 ± 0.3305 |
| Plots | Soil Parameters | ||
|---|---|---|---|
| pH | CEC (cmol/kg) | OM (%) | |
| TC | 7.30 ± 0.28 | 9.95 ± 2.97 a | 1.05 ± 0.04 a |
| TM | 7.33 ± 0.28 | 11.75 ± 5.66 b | 1.10 ± 0.14 a |
| TB0.5 | 7.33 ± 0.40 | 10.85 ± 5.85 b | 1.14 ± 0.13 a |
| TB2.5 | 7.55 ± 0.26 | 10.45 ± 4.61 a | 1.20 ± 0.21 a |
| TB3.0 | 7.55 ± 0.23 | 10.75 ± 7.24 b | 1.40 ± 0.14 b |
| TMB0.5 | 7.35 ± 0.37 | 10.60 ± 5.18 a | 1.08 ± 0.22 a |
| TMB2.5 | 7.65 ± 0.10 | 12.35 ± 3.30 b | 1.30 ± 0.12 ab |
| TMB3.0 | 7.53 ± 0.05 | 15.05 ± 5.57 b | 1.39 ± 0.06 b |
Publisher’s Note: MDPI stays neutral with regard to jurisdictional claims in published maps and institutional affiliations. |
© 2021 by the authors. Licensee MDPI, Basel, Switzerland. This article is an open access article distributed under the terms and conditions of the Creative Commons Attribution (CC BY) license (https://creativecommons.org/licenses/by/4.0/).
Share and Cite
Wijitkosum, S.; Sriburi, T. Applying Cassava Stems Biochar Produced from Agronomical Waste to Enhance the Yield and Productivity of Maize in Unfertile Soil. Fermentation 2021, 7, 277. https://doi.org/10.3390/fermentation7040277
Wijitkosum S, Sriburi T. Applying Cassava Stems Biochar Produced from Agronomical Waste to Enhance the Yield and Productivity of Maize in Unfertile Soil. Fermentation. 2021; 7(4):277. https://doi.org/10.3390/fermentation7040277
Chicago/Turabian StyleWijitkosum, Saowanee, and Thavivongse Sriburi. 2021. "Applying Cassava Stems Biochar Produced from Agronomical Waste to Enhance the Yield and Productivity of Maize in Unfertile Soil" Fermentation 7, no. 4: 277. https://doi.org/10.3390/fermentation7040277
APA StyleWijitkosum, S., & Sriburi, T. (2021). Applying Cassava Stems Biochar Produced from Agronomical Waste to Enhance the Yield and Productivity of Maize in Unfertile Soil. Fermentation, 7(4), 277. https://doi.org/10.3390/fermentation7040277
