Probiotic Fermentation: A Strategy to Induce the Significant Amplification of Phenolics and Bioactivity in Milk Thistle Seeds
Abstract
1. Introduction
2. Materials and Methods
2.1. Sample Material and Chemicals
2.2. Extraction Procedure
2.3. Experimental Design
2.4. The Fermentation of Milk Thistle Seeds
2.5. Evaporation of Extracts
2.6. Dry Matter Content (DMC)
2.7. Total Phenolic Compounds (TPC)
2.8. Total Flavonoid Compounds (TFCs)
2.9. Antioxidant Activity
2.9.1. FRAP Method
2.9.2. DPPH Method
2.10. HPLC Analysis
2.11. Antimicrobial Activity of Extracts
2.12. Prebiotic Activity of Extracts
2.13. Statistics
3. Results
3.1. Influence of Process Parameters on Bioactive Compound Content and Antioxidant Activity in MTS Extracts
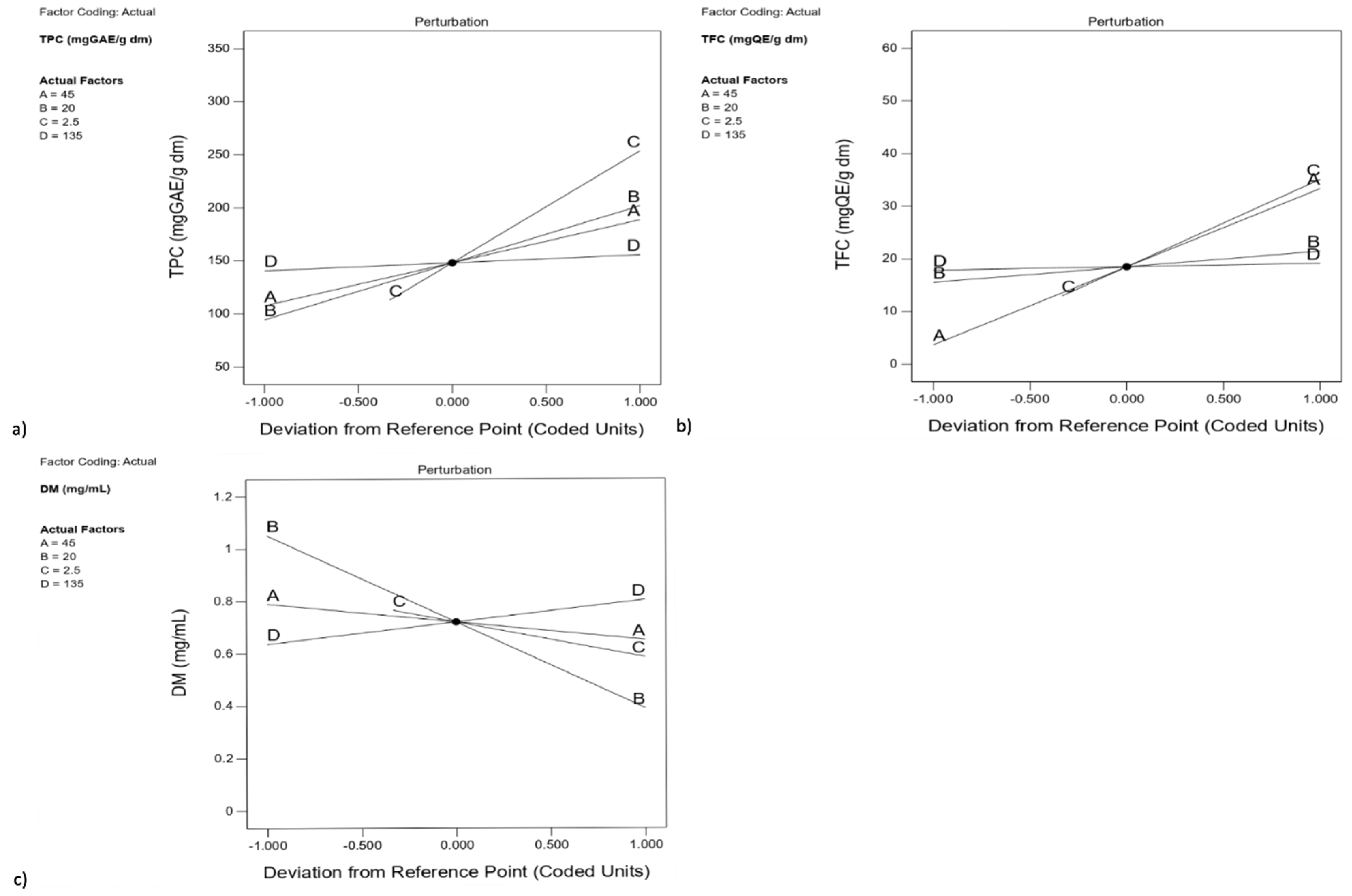
3.1.1. Total Phenolic Compounds, Flavonoid Compounds, and Dry Matter Content
3.1.2. Antioxidant Activity
3.2. Scale-Up Performance
3.3. Solid-State Fermentation of MTS
3.4. HPLC Analysis
3.5. Antimicrobial Activity
3.6. Prebiotic Activity
4. Discussion
5. Conclusions
Supplementary Materials
Author Contributions
Funding
Institutional Review Board Statement
Informed Consent Statement
Data Availability Statement
Acknowledgments
Conflicts of Interest
Abbreviations
| DM | Dry matter |
| GAE | Gallic acid equivalents |
| LAB | Lactic acid bacteria |
| L/S | Liquid/solid |
| MAE | Microwave-assisted extraction |
| MTSE | Milk thistle seeds extract |
| QE | Quercetin equivalents |
| TFC | Total flavonoid compounds |
| TPC | Total phenolic compounds |
| TSA | Tryptic Soy agar |
| TSB | Tryptic Soy broth |
References
- Surai, P.F. Silymarin as a Natural Antioxidant: An Overview of the Current Evidence and Perspectives. Antioxidants 2015, 4, 204–247. [Google Scholar] [CrossRef] [PubMed]
- Nowak, A.; Florkowska, K.; Zielonka-Brzezicka, J.; Duchnik, W.; Muzykiewicz, A.; Klimowicz, A. The effects of extraction techniques on the antioxidant potential of extracts of different parts of milk thistle (Silybum marianum L.). Acta Sci. Pol. Technol. Aliment. 2021, 20, 37–46. [Google Scholar] [CrossRef]
- Adetuyi, B.O.; Omolabi, F.K.; Olajide, P.A.; Oloke, J.K. Pharmacological, biochemical and therapeutic potential of milk thistle (silymarin): A review. World News Nat. Sci. 2021, 37, 75–91. [Google Scholar]
- Bhattacharya, S. Milk thistle (Silybum marianum L. Gaert) seeds in health. In Nuts and Seeds in Health and Disease Prevention, 2nd ed.; Preedy, V.R., Watson, R.R., Eds.; Academic Press: San Diego, CA, USA, 2020; pp. 429–438. [Google Scholar]
- Federico, A.; Dallio, M.; Loguercio, C. Silymarin/Silybin and Chronic Liver Disease: A Marriage of Many Years. Molecules 2017, 22, 191. [Google Scholar] [CrossRef]
- Alaoui Ismaili, S.; Marmouzi, I.; Sayah, K.; Harhar, H.; Faouzi, M.E.A.; Gharby, S.; Himmi, B.; Kitane, S.; Alaoui El Belghiti, M. Chemical analysis and anti-oxidation activities of the Moroccan Milk Thistle. Mor. J. Chem. 2016, 4, 695–702. [Google Scholar] [CrossRef]
- Lorenzo, J.M.; Putnik, P.; Bursać Kovačević, D.; Petrović, M.; Munekata, P.E.; Gómez, B.; Marszałek, K.; Roohinejad, S.; Barba, F.J. Silymarin compounds: Chemistry, innovative extraction techniques and synthesis. In Studies in Natural Products Chemistry: Bioactive Natural Products; Atta-Ur-Rahman, Ed.; Elsevier: Amsterdam, The Netherlands, 2020; Volume 64, pp. 111–130. [Google Scholar]
- Mukhtar, S.; Xiaoxiong, Z.; Khalid, W.; Moreno, A.; Lorenzo, J.M. In Vitro Antioxidant Capacity of Purified Bioactive Compounds in Milk Thistle Seed (Silybum marianum) Along with Phenolic Profile. Food Anal. Methods 2023, 16, 651–663. [Google Scholar] [CrossRef]
- Zheng, X.; Wang, X.; Lan, Y.; Shi, J.; Xue, S.J.; Liu, C. Application of response surface methodology to optimize microwave-assisted extraction of silymarin from milk thistle seeds. Sep. Purif. Technol. 2009, 70, 34–40. [Google Scholar] [CrossRef]
- Denev, P.; Ognyanov, M.; Georgiev, Y.; Teneva, D.; Klisurova, D.; Yanakieva, I. Chemical composition and antioxidant activity of partially defatted milk thistle (Silybum marianum L.) seeds. Bulg. Chem. Commun. 2020, 52, 182–187. [Google Scholar]
- Ali, B.S.M.; ElSayed, A.I.; Doheem, M.A.; Eita, A.M.A.; Omar, A.A. Effect of Milk Thistle (Silybum marianum (L.) Gaertn) Seed Extract on Bacterial Activities and Growth of Human Liver Cancer Cells. J. Biotechnol. Res. 2020, 6, 27–33. [Google Scholar] [CrossRef]
- Javeed, A.; Ahmed, M.; Sajid, A.R.; Sikandar, A.; Aslam, M.; Hassan, T.u.; Samiullah; Nazir, Z.; Ji, M.; Li, C. Comparative Assessment of Phytoconstituents, Antioxidant Activity and Chemical Analysis of Different Parts of Milk Thistle Silybum marianum L. Molecules 2022, 27, 2641. [Google Scholar] [CrossRef]
- Milutinović, M.; Radovanović, N.; Rajilić-Stojanović, M.; Šiler-Marinković, S.; Dimitrijević, S.; Dimitrijević-Branković, S. Microwave-assisted extraction for the recovery of antioxidants from waste Equisetum arvense. Ind. Crop. Prod. 2014, 61, 388–397. [Google Scholar] [CrossRef]
- Milutinović, M.; Radovanović, N.; Ćorović, M.; Šiler-Marinković, S.; Rajilić-Stojanović, M.; Dimitrijević-Branković, S. Optimisation of microwave-assisted extraction parameters for antioxidants from waste Achillea millefolium dust. Ind. Crop. Prod. 2015, 77, 333–341. [Google Scholar] [CrossRef]
- Pavlović, M.D.; Buntić, A.V.; Šiler-Marinković, S.S.; Dimitrijević-Branković, S.I. Ethanol influenced fast microwave-assisted extraction for natural antioxidants obtaining from spent filter coffee. Sep. Purif. Technol. 2013, 118, 503–510. [Google Scholar] [CrossRef]
- Ranic, M.; Nikolic, M.; Pavlovic, M.; Buntic, A.; Siler-Marinkovic, S.; Dimitrijevic-Brankovic, S. Optimization of microwave-assisted extraction of natural antioxidants from spent espresso coffee grounds by response surface methodology. J. Clean. Prod. 2014, 80, 69–79. [Google Scholar] [CrossRef]
- Paul, P.E.V.; Sangeetha, V.; Deepika, R.G. Emerging Trends in the Industrial Production of Chemical Products by Microorganisms. In Recent Developments in Applied Microbiology and Biochemistry; Buddolla, V., Ed.; Academic Press: London, UK, 2019; pp. 107–125. [Google Scholar] [CrossRef]
- Manan, M.A.; Webb, C. Design aspects of solid state fermentation as applied to microbial bioprocessing. J. Appl. Biotechnol. Bioeng. 2017, 4, 511–532. [Google Scholar] [CrossRef]
- Adebo, O.A.; Gabriela Medina-Meza, I. Impact of Fermentation on the Phenolic Compounds and Antioxidant Activity of Whole Cereal Grains: A Mini Review. Molecules 2020, 25, 927. [Google Scholar] [CrossRef]
- Danshiitsoodol, N.; Inoue, Y.; Sugimoto, S.; Shakya, S.; Noda, M.; Sugiyama, M. Eriobotrya japonica Fermentation with Plant-Derived Lactiplantibacillus plantarum MSC-5T Ameliorates Antioxidant Activity in HEK293 Cells. Fermentation 2024, 10, 197. [Google Scholar] [CrossRef]
- Li, Z.; Teng, J.; Lyu, Y.; Hu, X.; Zhao, Y.; Wang, M. Enhanced Antioxidant Activity for Apple Juice Fermented with Lactobacillus plantarum ATCC14917. Molecules 2019, 24, 51. [Google Scholar] [CrossRef]
- Saleh, R.M.; Kabli, S.A.; Al-Garni, S.M.; Al-Ghamdi, M.A.; Abdel-Aty, A.M.; Mohamed, S.A. Solid-state fermentation by Trichoderma viride for enhancing phenolic content, antioxidant and antimicrobial activities in ginger. Lett. Appl. Microbiol. 2018, 67, 161–167. [Google Scholar] [CrossRef]
- Zhao, Y.-S.; Eweys, A.S.; Zhang, J.-Y.; Zhu, Y.; Bai, J.; Darwesh, O.M.; Zhang, H.-B.; Xiao, X. Fermentation Affects the Antioxidant Activity of Plant-Based Food Material through the Release and Production of Bioactive Components. Antioxidants 2021, 10, 2004. [Google Scholar] [CrossRef]
- Wang, Z.; Zheng, Y.; Dai, Y.; Yang, R.; Zhao, R.; Sun, G.; Zhou, W.-W.; Feng, S.; Feng, Y.; Li, N.; et al. Effect of probiotic fermentation on the extraction rate and bioactivity of plant-based polysaccharides: A review. Innov. Food Sci. Emerg. Technol. 2024, 98, 103863. [Google Scholar] [CrossRef]
- Amini, A.; Mousavi, Z.E.; Mousavi, S.M. Biological transformation of herbal extracts through Lactic Acid Bacteria fermentation: A study on Milk thistle and liquorice root extract. Food Biosci. 2024, 62, 105105. [Google Scholar] [CrossRef]
- Teleszko, M.; Haraf, G.; Zając, A.; Garncarek, Z.; Górska, K.; Krzos, G.; Hałaburda, A.; Kotecki, P. Use of Directed Lactic Fermentation to Obtain Plant-Based, Upcycled Beverage from Milk Thistle Endosperm. Sustainability 2024, 16, 5342. [Google Scholar] [CrossRef]
- Liu, N.; Song, M.; Wang, N.; Wang, Y.; Wang, R.; An, X.; Qi, J. The effects of solid-state fermentation on the content, composition and in vitro antioxidant activity of flavonoids from dandelion. PLOS ONE 2020, 15, e0239076. [Google Scholar] [CrossRef]
- Milić, M.D.; Buntić, A.V.; Mihajlovski, K.R.; Ilić, N.V.; Davidović, S.Z.; Dimitrijević-Branković, S.I. The development of a combined enzymatic and microbial fermentation as a viable technology for the spent coffee ground full utilization. Biomass Convers. Biorefinery 2021, 13, 6747–6759. [Google Scholar] [CrossRef]
- Rudić, S.; Dimitrijević-Branković, S.; Dimitrijević, S.; Milić, M. Valorization of unexploited artichoke leaves dust for obtaining of extracts rich in natural antioxidants. Sep. Purif. Technol. 2021, 256, 117714. [Google Scholar] [CrossRef]
- Balouiri, M.; Sadiki, M.; Ibnsouda, S.K. Methods for in vitro evaluating antimicrobial activity: A review. J. Pharm. Anal. 2016, 6, 71–79. [Google Scholar] [CrossRef]
- Milutinović, M.; Dimitrijević-Branković, S.; Rajilić-Stojanović, M. Plant Extracts Rich in Polyphenols as Potent Modulators in the Growth of Probiotic and Pathogenic Intestinal Microorganisms. Front. Nutr. 2021, 8, 688843. [Google Scholar] [CrossRef]
- Lucini, L.; Kane, D.; Pellizzoni, M.; Ferrari, A.; Trevisi, E.; Ruzickova, G.; Arslan, D. Phenolic profile and in vitro antioxidant power of different milk thistle [Silybum marianum (L.) Gaertn.] cultivars. Ind. Crop. Prod. 2016, 83, 11–16. [Google Scholar] [CrossRef]
- Abderrezag, N.; Montenegro, Z.J.S.; Louaer, O.; Meniai, A.-H.; Cifuentes, A.; Ibáñez, E.; Mendiola, J.A. One-step sustainable extraction of Silymarin compounds of wild Algerian milk thistle (Silybum marianum) seeds using Gas Expanded Liquids. J. Chromatogr. A 2022, 1675, 463147. [Google Scholar] [CrossRef]
- Akhtar, N.; Ihsan-ul-Haq; Mirza, B. Phytochemical analysis and comprehensive evaluation of antimicrobial and antioxidant properties of 61 medicinal plant species. Arab. J. Chem. 2018, 11, 1223–1235. [Google Scholar] [CrossRef]
- Sulas, L.; Re, G.A.; Bullitta, S.; Piluzza, G. Chemical and productive properties of two Sardinian milk thistle (Silybum marianum (L.) Gaertn.) populations as sources of nutrients and antioxidants. Genet. Resour. Crop. Evol. 2016, 63, 315–326. [Google Scholar] [CrossRef]
- Shahidi, F.; Yeo, J. Insoluble-Bound Phenolics in Food. Molecules 2016, 21, 1216. [Google Scholar] [CrossRef] [PubMed]
- Marazza, J.A.; Nazareno, M.A.; de Giori, G.S.; Garro, M.S. Enhancement of the antioxidant capacity of soymilk by fermentation with Lactobacillus rhamnosus. J. Funct. Foods 2012, 4, 594–601. [Google Scholar] [CrossRef]
- Othman, N.B.; Roblain, D.; Chammen, N.; Thonart, P.; Hamdi, M. Antioxidant phenolic compounds loss during the fermentation of Chétoui olives. Food Chem. 2009, 116, 662–669. [Google Scholar] [CrossRef]
- Viktorova, J.; Stranska-Zachariasova, M.; Fenclova, M.; Vitek, L.; Hajslova, J.; Kren, V.; Ruml, T. Complex Evaluation of Antioxidant Capacity of Milk Thistle Dietary Supplements. Antioxidants 2019, 8, 317. [Google Scholar] [CrossRef]
- Pereira, C.; Calhelha, R.C.; Barros, L.; Queiroz, M.J.R.; Ferreira, I.C. Synergisms in antioxidant and anti-hepatocellular carcinoma activities of artichoke, milk thistle and borututu syrups. Ind. Crop. Prod. 2014, 52, 709–713. [Google Scholar] [CrossRef]
- Arampatzis, D.A.; Karkanis, A.C.; Tsiropoulos, N.G. Impact of Plant Density and Mepiquat Chloride on Growth, Yield, and Silymarin Content of Silybum marianum Grown under Mediterranean Semi-Arid Conditions. Agronomy 2019, 9, 669. [Google Scholar] [CrossRef]
- Ebrahimzadeh, M.H.; Younesikelaki, F.S.; Naseri, M.; Yousefi Javan, I.; Rahbarian, R.; Nanna, R.S. Green synthesis of silver nano-particles using silymarin extracted from root callus of Silybum marianum (L.) Gaertn and their antibacterial activity. J. Med. Spice Plants 2020, 24, 63–68. [Google Scholar]
- Sherif, N.H.; Hawas, A.M.; Abdallah, W.E.; Saleh, I.A.; Shams, K.A.; Hammouda, F.M. Potential role of milk thistle seed and its oil extracts against heart and brain injuries induced by Î3-radiation exposure. Int. J. Pharm. Pharm. Sci. 2017, 9, 52–58. [Google Scholar] [CrossRef]
- Abed, I.J.; Al-Moula, R.; Abdulhasan, G.A. Antibacterial effect of flavonoids extracted from seeds of Silybum marianum against common pathogenic bacteria. World J. Exp. Biosci. 2015, 3, 36–39. [Google Scholar]
- Choe, U.; Li, Y.; Gao, B.; Yu, L.; Wang, T.T.Y.; Sun, J.; Chen, P.; Yu, L. The chemical composition of a cold-pressed milk thistle seed flour extract, and its potential health beneficial properties. Food Funct. 2019, 10, 2461–2470. [Google Scholar] [CrossRef]
- Tabasco, R.; Sánchez-Patán, F.; Monagas, M.; Bartolomé, B.; Moreno-Arribas, M.V.; Peláez, C.; Requena, T. Effect of grape polyphenols on lactic acid bacteria and bifidobacteria growth: Resistance and metabolism. Food Microbiol. 2011, 28, 1345–1352. [Google Scholar] [CrossRef]
- Stastnik, O.; Pavlata, L.; Mrkvicova, E. The Milk Thistle Seed Cakes and Hempseed Cakes are Potential Feed for Poultry. Animals 2020, 10, 1384. [Google Scholar] [CrossRef]






| Factors | Units | Levels | ||
|---|---|---|---|---|
| −1 | 0 | 1 | ||
| A: Ethanol concentration | % | 20 | 50 | 70 |
| B: Liquid/solid ratio | mL/g | 10 | 20 | 30 |
| C: Extraction time | min | 2 | 3 | 4 |
| D: Microwave power | W | 90 | 180 | |
| Factors | Responses | |||||||
|---|---|---|---|---|---|---|---|---|
| Sample | A | B | C | D | TPC, mg GAE/g dm | TFC, mg QE/g dm | Dry Matter, mg/mL | FRAP, mmol Fe2+/g dm |
| 1 | 20 | 10 | 3 | 90 | 85.17 ± 6.2 | 5.21 ± 1.68 | 1.03 ± 0.06 | 0.75 ± 0.08 |
| 2 | 50 | 10 | 3 | 90 | 120.5 ± 7.4 | 24.3 ± 1.76 | 0.81 ± 0.01 | 1.31 ± 0.07 |
| 3 | 70 | 10 | 3 | 90 | 146.1 ± 2.2 | 36.2 ± 2.43 | 0.87 ± 0.02 | 1.58 ± 0.07 |
| 4 | 70 | 10 | 3 | 90 | 166.5 ± 4.4 | 33.8 ± 3.83 | 0.98 ± 0.03 | 1.53 ± 0.02 |
| 5 | 70 | 20 | 3 | 90 | 253.3 ± 4.0 | 38.4 ± 0.87 | 0.35 ± 0.05 | 1.71 ± 0.07 |
| 6 | 70 | 30 | 3 | 90 | 249.4 ± 2.5 | 42.4 ± 1.23 | 0.14 ± 0.03 | 1.99 ± 0.04 |
| 7 | 70 | 30 | 2 | 180 | 187.8 ± 1.6 | 28.2 ± 2.40 | 0.51 ± 0.04 | 1.56 ± 0.10 |
| 8 | 70 | 30 | 3 | 180 | 302.3 ± 5.0 | 42.9 ± 2.26 | 0.35 ± 0.01 | 1.71 ± 0.03 |
| 9 | 70 | 30 | 4 | 180 | 328.6 ± 4.5 | 50.3 ± 3.21 | 0.33 ± 0.01 | 2.05 ± 0.09 |
| 10 | 70 | 30 | 3 | 90 | 272.7 ± 7.2 | 39.9 ± 1.30 | 0.33 ± 0.02 | 1.98 ± 0.02 |
| 11 | 70 | 30 | 3 | 180 | 323.6 ± 2.7 | 48.7 ± 0.44 | 0.25 ± 0.04 | 2.04 ± 0.05 |
| Sample | TPC, mg GAE/g dm | TFC, mg QE/g dm | FRAP, mmol Fe2+/g dm | Dry Matter, % |
|---|---|---|---|---|
| Non-fermented | 319.9 ± 21.7 c | 40.68 ± 3.23 b | 2.09 ± 0.23 c | 0.30 ± 0.02 a |
| Fermented, Sb | 647.6 ± 24.4 a | 87.04 ± 6.88 a | 4.27 ± 0.19 a | 0.15 ± 0.02 c |
| Fermented, Sb+Lr | 406.6 ± 28.9 b | 50.58 ± 2.88 b | 2.66 ± 0.23 b | 0.24 ± 0.01 b |
| Extract | Strain, log10(CFU/mL) | |||
|---|---|---|---|---|
| E. coli | S. aureus | C. albicans | ||
| Control | 7.65 | 6.89 | 5.21 | |
| Non-fermented | 10% v/v | 7.48 | 6.48 | 5.39 |
| 20% v/v | 7.47 | 5.40 | 5.34 | |
| Fermented, Sb | 10% v/v | 7.58 | 5.18 | 5.20 |
| 20% v/v | 7.55 | ND | 5.13 | |
| Extract | Strain, log10(CFU/mL) | |||
|---|---|---|---|---|
| S. boulardii | L. paracasei | L. plantarum | ||
| Control | 5.85 | 7.03 | 7.05 | |
| Non-fermented | 10% v/v | 5.89 | 7.19 | 6.30 |
| 20% v/v | 5.80 | 7.08 | 6.87 | |
| 25% v/v | 5.65 | 7.06 | 6.82 | |
| Fermented, Sb | 10% v/v | 6.92 | 7.28 | 7.42 |
| 20% v/v | 6.57 | 7.21 | 7.54 | |
| 25% v/v | 6.14 | 7.10 | 7.13 | |
Disclaimer/Publisher’s Note: The statements, opinions and data contained in all publications are solely those of the individual author(s) and contributor(s) and not of MDPI and/or the editor(s). MDPI and/or the editor(s) disclaim responsibility for any injury to people or property resulting from any ideas, methods, instructions or products referred to in the content. |
© 2026 by the authors. Licensee MDPI, Basel, Switzerland. This article is an open access article distributed under the terms and conditions of the Creative Commons Attribution (CC BY) license.
Share and Cite
Dimitrijević-Branković, S.; Nikšić, V.; Milutinović, M.; Dimitrijević, S.; Filipović, V.; Mihajlovski, K.; Milić, M. Probiotic Fermentation: A Strategy to Induce the Significant Amplification of Phenolics and Bioactivity in Milk Thistle Seeds. Fermentation 2026, 12, 26. https://doi.org/10.3390/fermentation12010026
Dimitrijević-Branković S, Nikšić V, Milutinović M, Dimitrijević S, Filipović V, Mihajlovski K, Milić M. Probiotic Fermentation: A Strategy to Induce the Significant Amplification of Phenolics and Bioactivity in Milk Thistle Seeds. Fermentation. 2026; 12(1):26. https://doi.org/10.3390/fermentation12010026
Chicago/Turabian StyleDimitrijević-Branković, Suzana, Valentina Nikšić, Milica Milutinović, Snežana Dimitrijević, Vladimir Filipović, Katarina Mihajlovski, and Marija Milić. 2026. "Probiotic Fermentation: A Strategy to Induce the Significant Amplification of Phenolics and Bioactivity in Milk Thistle Seeds" Fermentation 12, no. 1: 26. https://doi.org/10.3390/fermentation12010026
APA StyleDimitrijević-Branković, S., Nikšić, V., Milutinović, M., Dimitrijević, S., Filipović, V., Mihajlovski, K., & Milić, M. (2026). Probiotic Fermentation: A Strategy to Induce the Significant Amplification of Phenolics and Bioactivity in Milk Thistle Seeds. Fermentation, 12(1), 26. https://doi.org/10.3390/fermentation12010026

