Background Issues in X-Ray Diffraction and Raman Spectroscopy of Carbon Materials
Abstract
1. Introduction
2. Materials and Methods
3. Experiments and Discussion
3.1. X-Ray Diffraction
3.2. Raman Spectroscopy
3.2.1. Utility of Raman Selection Rules
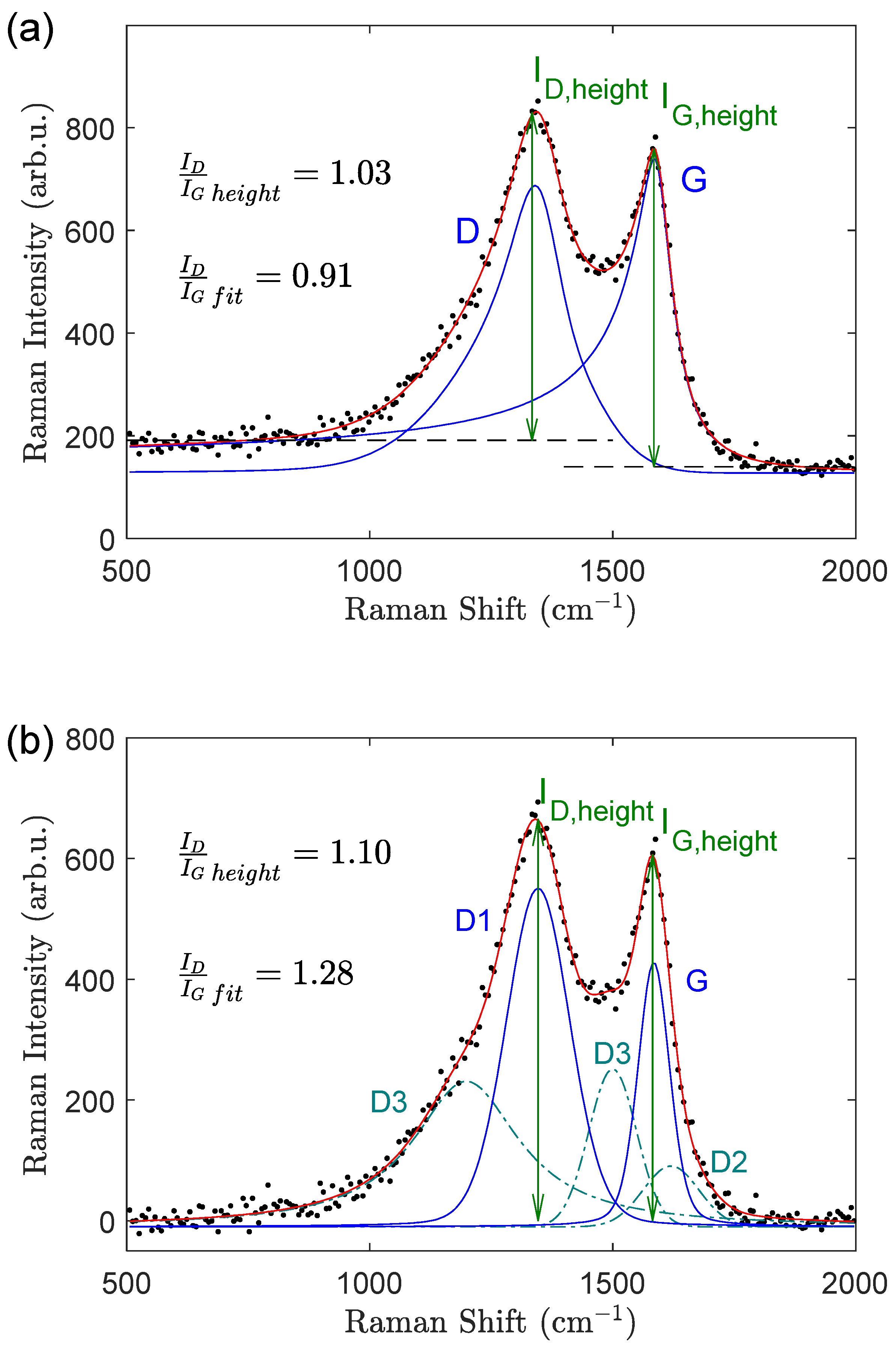
3.2.2. Taking into Account the Background
3.2.3. Use of Statistics
4. Conclusions
Supplementary Materials
Author Contributions
Funding
Data Availability Statement
Acknowledgments
Conflicts of Interest
References
- Warren, B.E. X-ray diffraction in random layer lattices. Phys. Rev. 1941, 59, 693. [Google Scholar] [CrossRef]
- Warren, B.E.; Bodenstein, P. The diffraction pattern of fine particle carbon blacks. Acta Crystallogr. 1965, 18, 282–286. [Google Scholar] [CrossRef]
- Fujimoto, H. Theoretical X-ray scattering intensity of carbons with turbostratic stacking and AB stacking structures. Carbon 2003, 41, 1585–1592. [Google Scholar] [CrossRef]
- Puech, P.; Dabrowska, A.; Ratel-Ramond, N.; Vignoles, G.L.; Monthioux, M. New insight on carbonisation and graphitisation mechanisms as obtained from a bottom-up analytical approach of X-ray diffraction patterns. Carbon 2019, 147, 602–611. [Google Scholar] [CrossRef]
- Puech, P.; Jeanningros, M.; Neumeyer, D.; Monthioux, M. Addressing the effect of stacking faults in X-ray diffractograms of graphite through atom-scale simulations. Carbon Trends 2023, 13, 100311. [Google Scholar] [CrossRef]
- Tsui, L.K.; Garzon, F. CarbonXS GUI: A graphical front-end for CarbonXS. J. Appl. Crystallogr. 2017, 50, 1830–1833. [Google Scholar] [CrossRef]
- Osswald, O.; Smarsly, B.M. OctCarb—A GNU Octave Script for the Analysis and Evaluation of Wide-Angle Scattering Data of Non-Graphitic Carbons. C 2022, 8, 78. [Google Scholar] [CrossRef]
- Shang, L.; Bao, X.; Peng, H.; Chen, F.; Wang, Y.; Liu, K.; Liang, P.; Wang, Y.; Tang, X.; Masia, F.; et al. Time-resolved photon counting Fourier-transform micro-spectroscopy enables simultaneous Raman and fluorescence lifetime imaging. Light Sci. Appl. 2025, 14, 378. [Google Scholar] [CrossRef]
- Couzi, M.; Bruneel, J.L.; Talaga, D.; Bokobza, L. A multi wavelength Raman scattering study of defective graphitic carbon materials: The first order Raman spectra revisited. Carbon 2016, 107, 388–394. [Google Scholar] [CrossRef]
- Ferrari, A.C.; Robertson, J. Interpretation of Raman spectra of disordered and amorphous carbon. Phys. Rev. B 2000, 61, 14095. [Google Scholar] [CrossRef]
- Ferrari, A.C.; Robertson, J. Resonant Raman spectroscopy of disordered, amorphous, and diamondlike carbon. Phys. Rev. B 2001, 64, 075414. [Google Scholar] [CrossRef]
- Mallet-Ladeira, P.; Puech, P.; Weisbecker, P.; Vignoles, G.L.; Monthioux, M. Behavior of Raman D band for pyrocarbons with crystallite size in the 2–5 nm range. Appl. Phys. A 2014, 114, 759–763. [Google Scholar] [CrossRef]
- Mallet-Ladeira, P.; Puech, P.; Toulouse, C.; Cazayous, M.; Ratel-Ramond, N.; Weisbecker, P.; Monthioux, M. A Raman study to obtain crystallite size of carbon materials: A better alternative to the Tuinstra–Koenig law. Carbon 2014, 80, 629–639. [Google Scholar] [CrossRef]
- Sadezky, A.; Muckenhuber, H.; Grothe, H.; Niessner, R.; Pöschl, U. Raman microspectroscopy of soot and related carbonaceous materials: Spectral analysis and structural information. Carbon 2005, 43, 1731–1742. [Google Scholar] [CrossRef]
- Merlen, A.; Buijnsters, J.G.; Pardanaud, C. A guide to and review of the use of multiwavelength Raman spectroscopy for characterizing defective aromatic carbon solids: From graphene to amorphous carbons. Coatings 2017, 7, 153. [Google Scholar] [CrossRef]
- Maturo, F.; Cruz Rambaud, S.; Ventre, V. Advances in Statistical Learning from High-Dimensional Data. Qual. Quant. 2025, 59, 1933–1937. [Google Scholar] [CrossRef]
- Lenk, P.; Lee, J.; Han, D.; Park, J.; Choi, T. Hierarchical Bayesian spectral regression with shape constraints for multi-group data. Comput. Stat. Data Anal. 2024, 200, 108036. [Google Scholar] [CrossRef]
- Veenman, M.; Stefan, A.M.; Haaf, J.M. Bayesian hierarchical modeling: An introduction and reassessment. Behav. Res. Methods 2024, 56, 4600–4631. [Google Scholar] [CrossRef]
- Neverov, V.S. XaNSoNS: GPU-accelerated simulator of diffraction patterns of nanoparticles. SoftwareX 2017, 6, 63–68. [Google Scholar] [CrossRef]
- Atomic Form Factor. Available online: https://lampz.tugraz.at/~hadley/ss1/crystaldiffraction/atomicformfactors/formfactors.php (accessed on 24 November 2025).
- Debyer Documentation. Available online: https://debyer.readthedocs.io/en/latest/ (accessed on 24 November 2025).
- Mubari, P.K.; Beguerie, T.; Monthioux, M.; Weiss-Hortala, E.; Nzihou, A.; Puech, P. The X-ray, Raman and TEM signatures of cellulose-derived carbons explained. C 2022, 8, 4. [Google Scholar] [CrossRef]
- Reich, S.; Thomsen, C. Raman spectroscopy of graphite. Philos. Trans. R. Soc. Lond. A 2004, 362, 2271–2288. [Google Scholar] [CrossRef]
- Le, K.C.; Henriksson, J.; Bengtsson, P.E. Polarization effects in Raman spectroscopy of light-absorbing carbon. J. Raman Spectrosc. 2021, 52, 1115–1122. [Google Scholar] [CrossRef]
- Schwan, J.; Ulrich, S.; Batori, V.; Ehrhardt, H.; Silva, S.R.P. Raman spectroscopy on amorphous carbon films. J. Appl. Phys. 1996, 80, 440–447. [Google Scholar] [CrossRef]
- Tuinstra, F.; Koenig, J.L. Raman spectrum of graphite. J. Chem. Phys. 1970, 53, 1126–1130. [Google Scholar] [CrossRef]
- Shimodaira, N.; Masui, A. Raman spectroscopic investigations of activated carbon materials. J. Appl. Phys. 2002, 92, 902–909. [Google Scholar] [CrossRef]
- Puech, P.; Chen, S.; Xiang, Y.; Hu, T.; Monthioux, M.; Zhang, L.; Li, F. The importance of graphene stacking sequence in the Li-intercalation mechanism. Carbon Future 2024, 1, 9200026. [Google Scholar] [CrossRef]
- Vidal, M.; Dehaghani, M.S.; Yoshii, T.; Wakabayashi, K.; Cameán, I.; Barreau, M.; Le Breton, N.; Gerber, I.C.; Puech, P.; Boudalis, A.K.; et al. Probing prismatic/basal surfaces of carbon materials upon graphitization by gas adsorption, TPD, and XPS. J. Phys. Chem. C 2024, 128, 18993–19012. [Google Scholar] [CrossRef]
- Tharwat, A. Principal component analysis—A tutorial. Int. J. Appl. Pattern Recognit. 2016, 3, 197–240. [Google Scholar] [CrossRef]
- Kasai, H. NMFLibrary: MATLAB Library for Non-Negative Matrix Factorization NMF. Available online: https://github.com/hiroyuki-kasai/NMFLibrary (accessed on 24 November 2025).




Disclaimer/Publisher’s Note: The statements, opinions and data contained in all publications are solely those of the individual author(s) and contributor(s) and not of MDPI and/or the editor(s). MDPI and/or the editor(s) disclaim responsibility for any injury to people or property resulting from any ideas, methods, instructions or products referred to in the content. |
© 2025 by the authors. Licensee MDPI, Basel, Switzerland. This article is an open access article distributed under the terms and conditions of the Creative Commons Attribution (CC BY) license.
Share and Cite
Puech, P.; Moyano, S.; Mubari, P.; Weiss-Hortala, E.; Monthioux, M. Background Issues in X-Ray Diffraction and Raman Spectroscopy of Carbon Materials. C 2026, 12, 2. https://doi.org/10.3390/c12010002
Puech P, Moyano S, Mubari P, Weiss-Hortala E, Monthioux M. Background Issues in X-Ray Diffraction and Raman Spectroscopy of Carbon Materials. C. 2026; 12(1):2. https://doi.org/10.3390/c12010002
Chicago/Turabian StylePuech, Pascal, Sébastien Moyano, Petros Mubari, Elsa Weiss-Hortala, and Marc Monthioux. 2026. "Background Issues in X-Ray Diffraction and Raman Spectroscopy of Carbon Materials" C 12, no. 1: 2. https://doi.org/10.3390/c12010002
APA StylePuech, P., Moyano, S., Mubari, P., Weiss-Hortala, E., & Monthioux, M. (2026). Background Issues in X-Ray Diffraction and Raman Spectroscopy of Carbon Materials. C, 12(1), 2. https://doi.org/10.3390/c12010002

