Abstract
It is now commonly accepted that most of the mammalian genome is transcribed as RNA, yet less than 2% of such RNA encode for proteins. A majority of transcribed RNA exists as non-protein-coding RNAs (ncRNAs) with various functions. Because of the lack of sequence homologies among most ncRNAs species, it is difficult to infer the potential functions of ncRNAs by examining sequence patterns, such as catalytic domains, as in the case of proteins. Added to the existing complexity of predicting the functions of the ever-growing number of ncRNAs, increasing evidence suggests that various enzymes modify ncRNAs (e.g., ADARs, METTL3, and METTL14), which has opened up a new field of study called epitranscriptomics. Here, we examine the current status of ncRNA research from the perspective of epitranscriptomics.
1. Introduction
Just as DNA and proteins, RNA can be modified by a variety of enzymes. There are 170+ RNA modifications known to date [1,2], which is much higher than DNA and proteins. Historically, RNA modifications have been studied for those of housekeeping RNAs, such as ribosomal RNAs (rRNAs) and transfer RNAs (tRNAs) [3,4,5,6,7] and only recently that the field of RNA modifications (called epitranscriptomics [8]) has been extended to other RNA molecules, including protein-coding genes, microRNAs (miRNAs) and long non-coding RNAs (lncRNAs). This expansion of the epitranscriptomic field is the result of the recent development of high-throughput methods, such as mass spectrometry and next-generation sequencing (NGS), especially RNA sequencing (RNA-seq) [9,10,11,12,13]. Among many RNA modifications, the most famous one in recent years is N6-methyladenosine (m6A), which is reversible methylation of nitrogen-6 position of adenosine (A) [14,15]. This modification frequently occurs in most eukaryotes, especially in the messenger RNAs (mRNAs) [16,17,18,19] and has been shown to increase during organ maturation and development [20,21,22,23] especially in the adult brain [24], cancer pathogenesis, and progression [25,26]. Because of increased interest in epitrascriptomics, there is an explosion in the number of publications covering various aspects of cellular processes, organ developments, and disease progressions for many different RNA modifications, including m6A, RNA editing, and pseudouridylation. These RNA modifications have contributed significantly to RNA metabolism, including transcription, splicing, subcellular location, stability, and translation. Thus, in this review, we will summarize the current status of epitranscriptomics by focusing on the biogenesis of lncRNAs and their functions to provide a concise view of epitranscriptomics in lncRNA biology.
2. Different Types of RNA Modification Marks Reported for lncRNAs
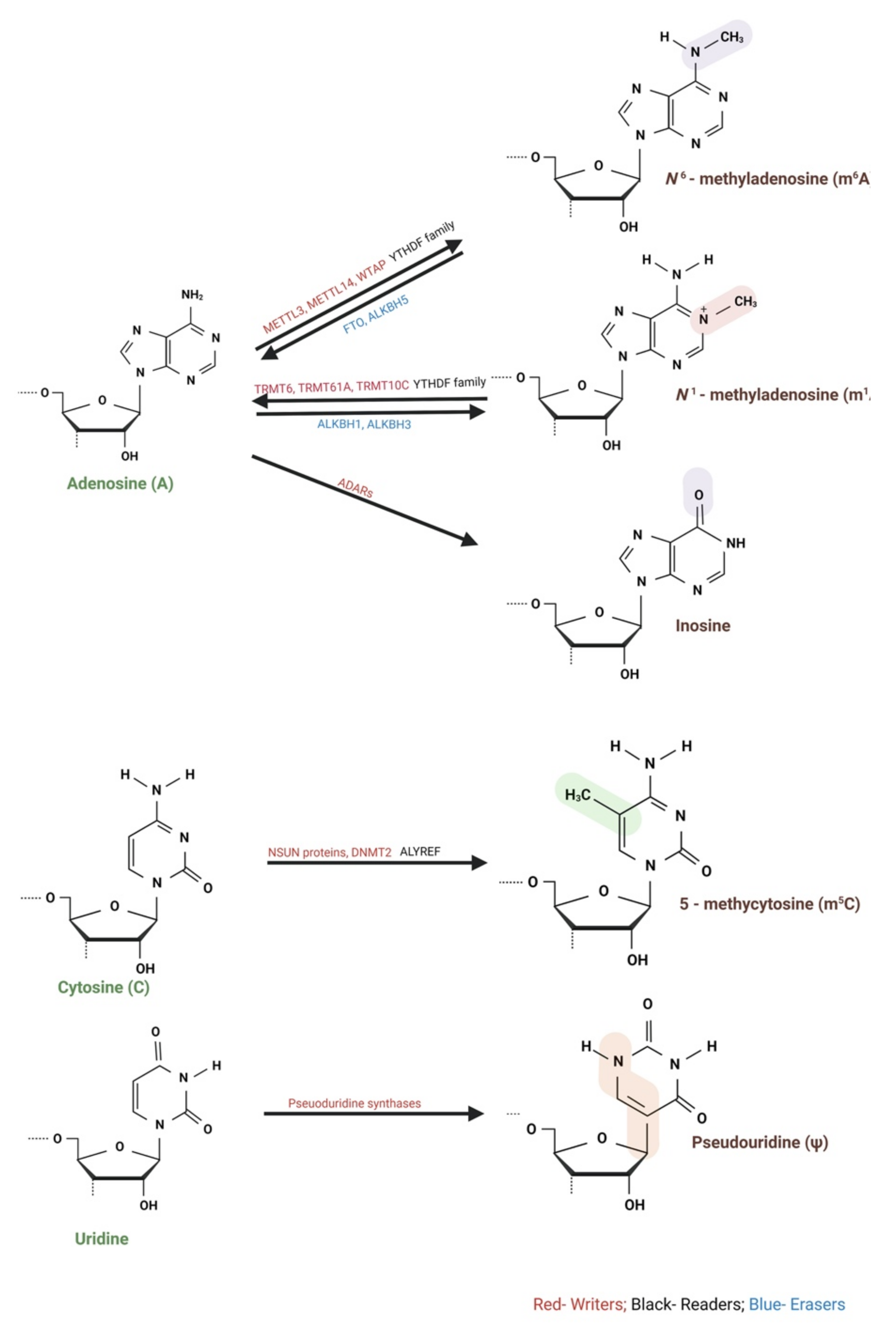
Like DNA and histones, RNA undergoes epigenetic modifications termed epitranscriptomics, which exploded over the recent years studying 170+ RNA modifications [1,2]. In this review article, we focus on the following RNA modifications: m6A, N1-methyladenosine (m1A), adenosine (A) to inosine (I) RNA editing, 5-methylcytidine (m5C), and pseudouridine (Ψ) [27] (Figure 1).
Figure 1.
Schematic representations of RNA modifications. ADAR, adenosine (A) to inosine (I) RNA editing; AlyREF, Aly/REF export factor; ALKBH proteins, alkB homolog; DNMT2, DNA methyltransferase-like 2; FTO, fat mass and obesity-associated protein; m1A, N1-methyladenosine; m6A, N6-methyladenosine; m5C, 5-methylcytosine; METTL, methyltransferase-like; NSUN, NOP2/Sun domain family members; PUS, pseudouridine synthase; RNMT, RNA guanine-7 methyltransferase; RPUSD, RNA pseudouridine synthase domain-containing protein; TRM6, transfer RNA methyltransferase non-catalytic subunit 6; TRM61, transfer RNA methyltransferase catalytic subunit 61; TRMT10, transfer RNA methyltransferase 10; YTHDC, YTH domain-containing; YTHDF, YTH domain-containing family. Created with BioRender.com accessed on 31 March 2021.
2.1. m6A Modification
The methylation of adenosine is catalyzed by two writer proteins, methyl transferase 3 and methyl transferase 14 (METTL3 and METTL14), forming m6A methyl transferase complex (MTC) [28,29]. Moreover, Wilms tumor 1-associated protein (WTAP) acts as an adaptor protein that recruits other RNAs and proteins to MTC to target multiple RNA transcripts [30,31,32]. Recent studies identified other adaptor proteins, such as RNA-binding motif protein 15 (RBM15). RBM15B interacts with MTC in a WTAP-dependent manner and represses the lncRNA X-inactive specific transcript (XIST) transcription [33].
Recent studies uncovered methyl transferase 16 (METTL16) as another writer protein in the MTC. Importantly, crosslinking sites of METTL16 were found in the ACm6AGAGA motif, which is mainly found in intronic regions. Intriguingly, ACm6AGAGA motif was associated with spliceosomes [34,35], suggesting subsets of m6A methyltransferases have diverse functions, and future studies focusing on understanding the role of METTL16 in alternative splicing is warranted. On the other hand, recent studies underscored demethylases acting as eraser proteins. Two such proteins, fat mass- and obesity-associated protein (FTO) and alkylation repair homolog protein 5 (ALKBH5), gained much attention recently, emphasizing the concept that m6A is a reversible and dynamic process [36]. Mechanistically, FTO oxidizes m6A to unstable intermediates N6-hydroxymethyladenosine (hm6A) or N6-formyladenosine (f6A), which further hydrolyzes to adenine. In contrast, ALKBH5 removes the adenosine’s methyl group directly [37]. A group of RNA binding proteins (YTH N6-methyladenosine RNA binding proteins: YTHDF1, YTHDF2, YTHDF3, and YTHDC1) specifically recognize the methylated adenosine on RNA that participates in RNA stability or translation (reviewed in [38]). Overall, m6A writers, erasers, and readers participate in a complex mechanism crucial for lncRNA functions, especially related to pathogenesis and progression of various diseases, such as those summarized in the following paragraphs (Table 1).
Just as mRNAs, m6A modification stabilizes lncRNAs to affect their functions. Examples include metastasis-associated lung adenocarcinoma transcript 1 (MALAT1); one of the most studied lncRNA that is involved in many disease conditions [39]. Interestingly, MALAT1 owns multiple m6A sites (A2515, A2577, A2611, and A2720) [40]. The MALAT1 hairpin contains the domain for the binding of heterogeneous nuclear ribonucleoprotein C (HNRNPC) and m6A methylation site (A2577) [40]. In the presence of m6A mark, methylation destabilizes hairpin and enhances HNRNPC binding. Recent work demonstrated that YTHDC1, an m6A reader, recognizes m6A marks on MALAT1, which plays a crucial role in maintaining the expression of vital oncogenes via reshaping nuclear spots and genomic binding [41]. Simultaneously, m6A-deficient MALAT1 rescued the metastatic nature of esophageal cancer cells [41], suggesting the functional role of m6A marks on MALAT1.
As in the case of MALAT1, most of the published studies on the effects of m6A marks on the functions of lncRNAs are related to cancers. For example, a study investigating lncRNA expression profile in 502 head and neck squamous cell carcinoma (HNSCC) patients identified a significantly elevated level of lncRNA activating regulator of DKK1 (LNCAROD) associated with tumor stage and reduced overall survival [42]. Mechanistically, the m6A modification through m6A writers, METTL3 and METTL14, stabilizes LNCAROD expression. Then, LNCAROD by forming a ternary complex with heat shock protein family A (Hsp70) member 1A (HSPA1A) and Y-box binding protein 1 (YBX1) promotes HNSCC disease progression [42]. In pancreatic cancer, the m6A demethylase.
Table 1.
A non-exhaustive list of m6A modified lncRNAs.
Table 1.
A non-exhaustive list of m6A modified lncRNAs.
| LncRNA | m6A Regulator | Function | References |
|---|---|---|---|
| MALAT1 | YTHDC1 | Reshapes the composition of nuclear spots and enhances oncogene expression. | [41] |
| LNCAROD | METTL3 and METTL14 | Promotes HNSCC disease progression. | [42] |
| KCNK15-AS1 | ALKBH5 | Enhances pancreatic cell migration and invasion. | [43] |
| DANCR | IGF2BP2 | Enhances pancreatic cancer cell growth and tumorigenesis. | [44] |
| PVT1 | ALKBH5 | Promotes osteosarcoma cell proliferation, migration, and invasion. | [45] |
| GAS5 | YTHDF3 | Involved in colorectal cancer. | [46] |
| RP11-138 J23.1 | METTL3 | Progresses colorectal cancer. | [47] |
| FAM225A | METTl3 | Enhances nasopharyngeal carcinoma cell, proliferation, migration, invasion, and metastasis. | [48] |
| LINC00958 | METTl3 | Promotes hepatocellular carcinoma. | [49] |
| linc1281 | METTl3 | Induces mouse embryonic stem cell differentiation. | [50] |
| BDNF-AS | METTL3 | Increases the risk of AUD. | [51] |
| Olfr29-ps1 | METTl3 | Promotes immunosuppressive function and differentiation of myeloid-derived suppressor cells. | [52] |
(Eraser) ALKBH5 inhibits the disease progression by demethylating the lncRNA KCNK15 and WISP2 antisense RNA 1 (KCNK15-AS1) and increasing the stability of KCNK15-AS1, while the down-regulation of KCNK15-AS1 inhibited the cell migration and invasion [43]. Besides m6A writers and erasers, m6A readers also affect the functions of lncRNAs via m6A marks. For example, the m6A reader, insulin-like growth factor 2 mRNA binding protein 2 (IGF2BP2), regulates the stability of differentiation antagonizing non-protein coding RNA (DANCR), which is crucial for pancreatic cancer cell growth and tumorigenesis [44].
Yes1 associated transcriptional regulator (YAP) has been a critical factor in colorectal cancer (CRC) progression [53]. Interestingly, a functional link between m6A modification and lncRNA in YAP signaling and CRC was reported. In this study [46], an m6A reader, YTHDF3, is a novel target of YAP that can promote the degradation of m6A modified lncRNA, growth arrest-specific 5 (GAS5), in CRC progression. In regards to m6A modified lncRNAs, another lncRNA was reported to be involved in CRC. In this study [47], the lncRNA RP11-138 J23.1 (RP11) was elevated in CRC patients with the disease progression. RP11 promoted CRC cell proliferation and metastasis ability by suppressing the proteasomal degradation of the transcription factor, zinc finger E-box binding homeobox 1 (ZEB1); thereby enhancing epithelial to mesenchymal transition. m6A RNA-immunoprecipitation (RIP) assays revealed an increased association of RP11 to m6A antibody in CRC cells compared to control cells. Further, the overexpression of METTL3 increased RP11 expression in the CRC cells, suggesting m6A-induced RP11 expression promotes CRC progression and is likely a potential biomarker and a novel therapeutic target for CRC [47]. The m6A modifications on lncRNAs can also play a vital role in their binding efficiency to miRNAs and/or proteins. For example; the significance of lncRNAs in nasopharyngeal carcinogenesis (NPC) was addressed in a recent study [48]. Using a microarray-based screening approach, the authors identified a lncRNA, family with sequence similarity 225 member A (FAM225A), as the most upregulated lncRNA in NPC associated with poor survival in these patients. FAM225A enhanced cancer cell proliferation, migration, invasion, and metastasis by sponging miR-590-3p and miR-1275, which activate integrin-β3 and PI3K/AKT cell survival pathways. The authors identified two RRACU m6A consensus motifs in the last exon of FAM225A. Subsequent methylated RNA immunoprecipitation (Me-RIP) assay revealed elevated m6A levels in NPC cell lines (SUNE-1 and HONE-1) compared to control nasopharyngeal epithelial cell lines (NP69 and N2Tert). Further, METTL3 knockdown experiments revealed 50% to 60% reduced total FAM225A expression, suggesting the role of m6A marks on the FAM225A stability in NPC patients [48]. Another well characterized oncogenic lncRNA is Pvt1 oncogene (PVT1) [54]. A study shows that the expression of PVT1 was elevated in osteocarcinoma (OS) tissues and significantly associated with clinical stage, tumor size, and prognosis of OS patients [45]. Mechanistically, m6A demethylase (eraser), ALKBH5, interacts with PVT1 to prevent its degradation. Long non-coding RNA 00958 (LINC00958) has been shown to be upregulated in gastric, glioma, gynecological, oral, and pancreatic cancer [49]. However, its role in hepatocellular carcinoma (HCC) was unclear. To address this lack of information, a study demonstrated that METTL3-mediated m6A modification enhanced the stability of LINC00958 [49]. Mechanistically, LINC00958 acts as miRNA sponge against miR-3619-5p to increase the expression of its target gene, hepatoma-derived growth factor (HDGF), which promotes HCC growth [49]. The functional connection between m6A marks and lncRNAs as miRNA sponges has been shown in several studies. One such study demonstrated that m6A modification of a rodent-specific lncRNA, linc1281, acting as miRNA sponge against let-7, induced mouse embryonic stem cell differentiation [50]. At the same time, mutations or deletion of METTL3 abolished linc1281 binding to let-7. Another study identified a lncRNA pseudogene, olfactory receptor 29, pseudogene 1 (Olfr29-ps1), was upregulated in myeloid-derived suppressor cells (MDSCs) upon proinflammatory stress induced by interleukin 6 (IL-6) [52]. Mechanistically, Olfr29-ps1 sequestered miR-214 to promote immunosuppressive function and differentiation of MDSCs, whereas these effects were abolished with silencing METTL3 [52]. The above studies highlight that m6A modifications in lncRNAs dictate their binding efficiency and functions.
Besides their role in various cancers, it is now clear that m6A modifications in lncRNA involvement in alcohol use disorders (AUD). For instance, it is well known that adolescent alcohol drinking contributes to developing AUDs in adulthood. In this perspective, an elegant study was performed to understand a link between m6A and lncRNAs in the postmortem amygdala of adolescent drinking individuals (subjects who started drinking alcohol before or at 21 years of age) [51]. The authors observed that reduced m6A modification in the lncRNA BDNF antisense RNA (BDNF-AS) results in the increased levels of BDNF-AS, subsequently repressing brain-derived neurotrophic factor (BDNF) expression, a critical factor in the central nervous system and increasing the risk of AUDs, indicating m6A-mediated action on lncRNAs in another disorder [51].
Circular RNAs (circRNA) are covalently circularized RNA loops that are mainly generated by pre-mRNA splicing (reviewed in [55]). CircRNAs exhibits differential expression in response to cellular stress events and various human diseases, including cancers and cardiovascular and neurodegenerative diseases [55,56,57,58,59]. Owing to their unique circular structure, they are naturally inaccessible to exonucleases, resulting in their increased half-life. Thus, circRNAs represent reliable biomarkers to detect various human diseases. How circRNAs degrade within cells has been an unanswered question. In this regard, a study revealed P/MRP endonuclease cuts m6A containing circRNAs via recruiting its reader, YTHDF2, and its adaptor protein, reactive intermediate imine deaminase A homolog (HRSP12 or RIDA), to degrade circRNAs [60]. Although circRNAs are considered non-coding, except for a few circRNAs that exhibited peptide/protein-coding ability [61,62], a remarkable study demonstrated that single nucleotide m6A modification on circRNAs is sufficient to promote translation via the recruitment of initiation factor initiation factor eukaryotic translation factor 4 gamma (elF4G2) and m6A reader, YTHDF [63]. A significant proportion of circRNAs come from open reading frame (ORF) containing protein-coding genes; however, what drives ORF-circRNA biogenesis was unclear. In this context, a study revealed that m6A modification in circRNA drives the biogenesis of circRNA with coding potential in mouse male germ cells [64]. Taken together, future studies are warranted to address the functions of the circRNA-derived peptides and proteins.
The role of m6A modifications on circRNAs in immune responses has been a focus of recent research efforts. A study demonstrated how mammalian cells detect foreign circRNAs and induce innate immunity [65]. In this study, the m6A modifications in endogenous or self circRNAs inhibit innate immunity, while the absence of m6A modifications in exogenous or foreign circRNAs activates RNA pattern recognition regulation of RIG-I (retinoic acid-inducible gene I; official gene name, DExD/H-box helicase 58 (DDX58)) to induce a robust immune response by activating T-cells and antibody production in human cells [65]. In contrast, another study showed that the transfection of purified circRNAs did not induce an immune response and, therefore, propose circRNA potential therapeutic usage without adverse immune reactions [66]. Taken together, the role of circRNAs in the immune-stimulatory function needs further investigation, especially addressing how endogenous circRNAs achieve self-tolerance and how m6A or other RNA modifications on circRNAs contribute to inflammation in endogenous vs. foreign circRNAs.
In summary, with the ongoing research on lncRNAs and m6A modification, it has become evident that m6A modifications regulate multiple biological functions, especially in various cancers. Future research needs to address the role of m6A modifications on lncRNAs in other human diseases. Furthermore, m6A modifications on circRNA sequences and their functional relevance in health and disease need to be thoroughly explored.
2.2. m1A Modification
m1A forms by introducing a methyl group to the N1 position of adenosine. It is not as abundant as m6A. Unlike m6A, m1A writers include TRMT6, TRMT61A, TRMT10C; readers for m1A sites include YTHDF1, YTHDF2, YTHDF3, and YTHDC1, which are mainly similar to m6A. An exciting aspect of m1A is its erasers, ALKBH3 and ALKBH1, which ensure demethylation of m1A [67,68,69]. Dysregulation of m1A on tRNA has been reported in cancers, and an elevated level of ALKBH3 has been reported in pancreatic cancer [70]. However, how m1A modifications affect lncRNA structures and functions is still not evident.
2.3. Adenosine (A) to Inosine (I) RNA Editing
Conversion of adenosine (A) to inosine (I) by adenosine deaminase (ADAR) is another prevalent form of RNA modification [71]. Three of these gene family members were identified in vertebrates [72]. ADAR1 and ADAR2 are expressed in most tissues, whereas ADAR3 is only expressed in the brain [73]. A-to-I change results in changes in transcripts and alternative splicing. A-to-I modifications in lncRNAs exhibited cancer progression and cardiovascular disease [71,74]. Moreover, ADAR1-mediated A-to-I changes in prostate cancer antigen 3 (PCA3) lncRNA increased its binding with PRUNE2 pre-mRNA to promote cancer cell proliferation, migration, and invasion [75]. Using hoc indexing and de novo editing events, a comprehensive inosinome in lncRNAs was performed in the healthy brain cortex and glioblastoma [76]. The authors identified >10,000 new sites and 335 novel lncRNAs that undergo editing, suggesting the A-to-I RNA editing on lncRNAs maintains the physiology of healthy brain as well as its dysregulation is linked to tumor progression [76].
2.4. m5C Modification
m5C is a methylated form of cytosine (C), which is well studied in DNA, tRNA, and rRNA. Enzymes NOL1/NOP2/SUN domain family member (NSUN) family, NSUN1 to NSUN7, and DNA methyltransferase-like 2 (DNMT2) have been reported to participate in this RNA modification [77]. A recent study using modified RNA bisulfite sequencing identified m5C sites on lncRNAs in HeLa cells, with a low stoichiometry [78]. An elegant study has shown that methylated cytosine sites in the functional domain of the lncRNA HOTAIR and XIST are essential for binding to chromatin-associated protein complexes [79]. Furthermore, another study identified comprehensive methylated cytosine in the epitranscriptome of the mouse brain and embryonic stem cells in ncRNAs as well, although low in number [80]. These findings highlight the role of cytosine methylation modifications on lncRNAs. This is encouraging, and future studies on m5C modification on lncRNAs would help us better understand their biological and functional role in health and disease.
2.5. Ψ Modificatio
Ψ is known as the “fifth nucleotide” due to its abundance and represents the most prevalent RNA modifications. Pseudouridine is an isomer of nucleoside uridine catalyzed by Ψ synthase (PUS) that removes nitrogen-carbon glycosidic bond and replaces its carbon-carbon glycosidic bond [81]. The presence of 170 Ψ sites was recently identified in lncRNAs; interestingly, in well-characterized lncRNAs, including MALAT1, XIST, and KCNQ1 opposite strand/antisense transcript 1 (KCNQ1OT1) [82,83]. Thus, future studies are warranted to uncover functional and mechanistic insights of Ψ in lncRNAs in the context of health and disease.
3. Impact of Epitranscriptomic Marks on lncRNA Structures
When the first draft of the human genome was introduced, there were high hopes for understanding many of nature’s rules about the human body. Two decades later, we have realized that there is more to human genes than simply looking at DNA sequences. The same situation applies to elucidating the functions of lncRNAs. Many researchers were excited to read about terminal differentiation-induced non-coding RNA (TINCR) as the authors identified TINCR box motifs, which are 25-nt long RNA sequences that interact with many other mRNAs [84]. The discovery of TINCR box motifs prompted a further search for similar binding domains of other lncRNAs. However, such screening did not yield fruitful results [85,86]. Not only was such search not successful, but it also recently became clear that TINCR owns an evolutionary conserved open reading frame, which encodes for peptides of 87 amino acids [87]. Within this TINCR peptide, one of 10 TINCR box motifs is included, suggesting that sequence alone cannot be used to infer functions of lncRNAs. There are a number of methods proposed and used to predict the functions of lncRNAs by combining different features of lncRNAs, including evolutionary-conserved sequence motifs, secondary structures, and potential binding of RNA-binding proteins and miRNAs [85,86,88,89]. Yet, none of such methods can predict the functions of all lncRNAs, which is not surprising as not all protein-coding genes have been functionally characterized. In addition to the current challenges facing the computational functional predictions of lncRNAs, growing evidence of epitranscriptomic marks on lncRNAs is of particular interest as yet another parameter that researchers need to consider when investigating the functions of lncRNAs and other types of RNA species.
More than half of the human genome is made up of repetitive sequences [90]. The Ensembl database currently classifies these repeat sequences into 10 classes (centromere, low complexity regions, RNA repeats, satellite repeats, simple repeats, tandem repeats, LTRs (long tandem repeats), SINE (short interspersed nuclear element), LINE (long interspersed nuclear element), and Type II transposons) and categorize those that cannot be classified into above 10 classes as “Unknown” (https://m.ensembl.org/info/genome/genebuild/assembly_repeats.html accessed on 22 March 2021). Not surprisingly, such repetitive sequences are also present in lncRNAs [91,92,93]. For example, the subfamily of SINE, Alu elements, can be found in 11% of the human genome [94]. These 300-nt repetitive repeats are derived from transposons and exist only in primates. These elements can be expressed as their own RNA [95] or parts of other transcripts (e.g., introns of mRNAs, lncRNAs), where their expression levels increase upon stresses (e.g., heat shock, hypoxia, viral infection) [96,97]. When two Alu elements in opposite directions meet, they form double-stranded RNA, which can be recognized by RNA-binding proteins, such as ADARs. The ADAR-mediated A-to-I changes also occur frequently in lncRNAs [98,99,100]. Not surprisingly, these A-to-I conversions change the secondary structures of RNA [101], which is also an important point to be considered when analyzing for lncRNA functions as the binding of other macromolecules (i.e., DNA, RNA, and proteins) can alter depending on the presence (or absence) of double-stranded RNA motifs within a lncRNA [102,103,104].
Besides A-to-I RNA editing, other epitranscriptomic marks affect the structures of lncRNAs. In particular, m6A marks are of interest as it has been shown to be in a negative relationship with A-to-I RNA editing [105]. More recently study shows that silencing of the m6A writer, METTL3, in glioma stem-like cells altered A-to-I and C-to-U RNA editing (another type of RNA editing, which is less frequent than A-to-I) events by differentially regulating RNA editing enzymes ADAR and APOBEC3A, respectively [106]. An interesting model is proposed recently regarding m6A marks affecting the secondary structure of one of the most well studied lncRNA, MALAT1 [107]. By performing secondary data analyses of dimethyl sulfate-sequencing (DMS-Seq) data from human erythroleukemic cell line K562 and psoralen analysis of RNA interactions and structure (PARIS) data from cervical cancer-derived HeLa cells compared to the working structural model of MALAT1 in noncancerous cells, the authors postulated that m6A-based structural changes of MALAT1 might mediate cancer in a cell-type-specific manner [107]. Thus, increasing evidence suggests that examining epitranscriptomic marks on lncRNAs is important to uncover the potential functions of lncRNAs [108].
4. Secondary Analysis of RNA-Seq and m6A-Seq Data to Reveal the Impact of m6A Marks on lncRNAs
As stated earlier, the most well-studied epitranscriptomic marks in recent years are m6A. Indeed, a number of lncRNAs have been shown to own m6A marks, including lincRNA 1281 (official gene name; ephemeron, early developmental lncRNA (Eprn)) during the differentiation of mouse embryonic stem cells [50], MALAT1 in obstructive nephropathy [109], Pvt1 in sustaining stemness of epidermal progenitor cells [110], and XIST in transcriptional repression [33]. Many more m6A-marked lncRNAs are found in cancers, such as FOXF1 adjacent non-coding developmental regulatory RNA (FENDDR) in endometrioid endometrial carcinoma [111], KCNK15 and WISP2 antisense RNA 1 (KCNK15-AS1) in pancreatic cancer [43], nuclear paraspeckle assembly transcript 1 (NEAT1) in the colon [112] and gastric cancer [113], as well as miRNA sponges, including long intergenic non-protein coding RNA 857 (LINC00857) in pancreatic cancer [114], long intergenic non-protein coding RNA 958 (LINC00958) in breast cancer [115], and PVT1 in osteosarcoma [45]. Furthermore, there are several high-throughput screening studies reporting m6A marks in lncRNAs [16,24,116,117,118,119] as well as databases (CVm6A [120], DRUM [121], m6A-Atlas [122], m6Acorr [123], M6A2Target [124], m6AVar [125], MeT-DB [126,127], REPIC [128], RMBase [129,130], RMDisease [131], RMVar [132], and RNAWRE [133]) have been released with m6A marks (and also other epigenetic marks, such as m1A, m5C, RNA editing, and Ψ, for some databases) in protein-coding and lncRNAs. These screenings are the results of RNA immunoprecipitation (RIP) using anti-m6A antibody (often termed as m6A-seq) [18] as well as more elaborate techniques, such as amplicon sequencing evaluation method for RNA m6A sites after chemical deamination (NOseq) [134], MeRIP-seq (methylated RNA immunoprecipitation sequencing) [24], and miCLIP (m6A individual-nucleotide-resolution cross-linking and immunoprecipitation) [118] technologies. As there are several enzymes involved in m6A (writers, readers, and erasers), in some screening studies, knockdown of each m6A enzyme was performed to record the dependency of m6A marks for each enzyme. Yet, most of these studies mainly focus on protein-coding genes as further biological validation experiments are possible by examining protein expressions of m6A-marked transcripts that encode. Furthermore, it is not clear whether m6A-dependent (based on m6A marks) and -independent effects of m6A enzymes (changes in gene expressions due to the loss of a particular m6A enzyme but not affecting m6A marks) in such screening studies.
We performed a secondary analysis of previously published RNA-seq data to address the above point directly. In the original study [135], the authors report that METTL14 is a crucial component for the crosstalk between histone H3 trimethylation at Lys36 (H3K36me3, a marker for pre-mRNA splicing) and m6A marks. Using the human hepatoma cell line HepG2, RNA-seq and m6A-seq experiments were performed upon silencing of m6A writers—METTL3, METTL14, and WTAP (Gene Expression Omnibus (GEO) accession GSE110320). Since the original study analyzed only for protein-coding genes and used the older version of the genome, hg19, a secondary analysis of this data set was performed using the latest annotation provided by the Ensembl database (GRCh38.103). The usage of the latest annotation of the human genome is crucial as the number of lncRNAs has been increased drastically in recent years, which allows us to examine the lncRNAs more carefully. Of 19,796 protein-coding and 16,593 lncRNA genes without readthrough transcripts registered under the GRCh38.103 annotation file, there are less than 100 differentially expressed genes (both protein-coding and lncRNA genes) upon silencing of each m6A writer compared to the control (HepG2 cells treated with short hairpin RNA (shRNA) against non-specific sequences) (Figure 2A,B, Supplementary Tables S1–S3. When up-and down-regulated protein-coding genes are compared among silencing of m6A writers, only two protein-coding genes (HMGCS2 (3-hydroxy-3-methylglutaryl-CoA synthase 2) and LGALS2 (galectin 2)) are shared between silencing of METTL3 and METTL14, while three protein-coding genes (BHMT (betaine--homocysteine S-methyltransferase), CYP4F2 (cytochrome P450 family 4 subfamily F member 2), and STMN4 (stathmin 4)) are shared between silencing of METTL3 and WTAP. However, no protein-coding gene is shared among all three conditions (Figure 2C). In the case of down-regulated protein-coding genes, no gene was shared (Figure 2D). Unlike the protein-coding genes, only 11 non-overlapping lncRNA genes are identified as up-regulated (Figure 2E). Simultaneously, there is no down-regulated lncRNA gene in the silencing of any of three m6A writers compared to the control, suggesting that at the level of transcriptional control, m6A writers influence different sets of protein-coding genes. However, such transcriptional influence is rather minimal, especially since such transcriptional control via m6A writers is negligible for lncRNA genes, even for the mRNA-seq (targeting only RNA with poly A tails; thus missing about half of lncRNAs without poly A tails).
Figure 2.
RNA-seq data of silencing of m6A writers in HepG2 cells. (A) volcano plots comparing silencing of METTL3, METTL14, or WTAP to the control sample group. With the threshold values of 2-fold and FDR-adjusted p < 0.05, protein-coding genes are colored in red, lncRNA genes in blue, and other genes (e.g., pseudogenes) in yellow-green. (B) the table indicates the number of differentially expressed genes for each category. (C,D) Venn diagrams for shared protein-coding genes that are (C) up- and (D) down-regulated in each condition. (E) heatmaps of target m6A reader genes followed by up-regulated lncRNA genes in each condition.
5. Materials and Methods
5.1. RNA-Seq Data Analysis
RNA-seq data were downloaded from the Sequence Read Archive (SRA) database using SRA Toolkit. [136] FASTQ files were preprocessed with fastp [137] (version 0.21.0) using the default setting. After preprocessing of sequencing reads, STAR [138] (version 020201) was used to map the reads to the reference genome (GRCh38.103). To calculate counts per million (CPM) values and derive differentially expressed genes, the R package, edgeR [139] (version 3.30.3), was used. False discovery rate (FDR)-adjusted p-values were used for further analysis.
5.2. Data Analysis and Visualization
Volcano plots were generated using R-package, ggplot2 [140]. To draw heat maps, MultiExperiment Viewer (MeV) [141] was used.
6. Conclusions
On the whole, we summarize updates on lncRNA epitranscriptomics, in the context of lncRNA function and biology. Even though the last couple of decades of research revealed the importance of epitranscriptomics in health and disease, several questions still need to be answered, such as future insights into the functional importance of RNA modification in lncRNAs? Are these modifications conserved between species, whether these modifications are mediators or actual drivers? How do we identify different modifications on the same lncRNA? Can these modifications be targeted to restrict disease progression? All these above questions would unravel our understanding of epitranscriptomics as novel disease mechanisms to design effective and targeted therapeutics.
Supplementary Materials
The following are available online at https://www.mdpi.com/article/10.3390/ncrna7020031/s1, Table S1: Differentially expressed genes in silencing of METTL3 (shMETTL3) compared to the control; Table S2: Differentially expressed genes in silencing of METTL14 (shMETTL14) compared to the control; Table S3: Differentially expressed genes in silencing of WTAP (shWTAP) compared to the control.
Author Contributions
S.U. performed data analysis of RNA-seq data. V.N.S.G. and S.U. wrote the manuscript, generated figures, and approved the final version of this manuscript. Both authors have read and agreed to the published version of the manuscript.
Funding
This work was partially supported by the American Heart Association Career Development Award 18CDA34110277 and startup funds from the Ohio State University to VNSG.
Institutional Review Board Statement
Ethical review and approval were waived for this study, due to the usage of publicly available data sets.
Informed Consent Statement
Patient consent was waived due to the usage of publicly available data sets.
Data Availability Statement
The commands and programs used in this study can be found in the Github repository (https://github.com/heartlncrna/Analysis_of_GSE110320). The data sets analyzed in this study can be found in the Zenodo repository (https://doi.org/10.5281/zenodo.4635589, accessed on 22 March 2021).
Conflicts of Interest
The authors declare no conflict of interest.
References
- Boo, S.H.; Kim, Y.K. The emerging role of RNA modifications in the regulation of mRNA stability. Exp. Mol. Med. 2020, 52, 400–408. [Google Scholar] [CrossRef]
- Frye, M.; Harada, B.T.; Behm, M.; He, C. RNA modifications modulate gene expression during development. Science 2018, 361, 1346–1349. [Google Scholar] [CrossRef] [PubMed]
- Bjork, G.R.; Kjellin-Straby, K. General screening procedure for RNA modificationless mutants: Isolation of Escherichia coli strains with specific defects in RNA methylation. J. Bacteriol. 1978, 133, 499–507. [Google Scholar] [CrossRef]
- Caboche, M.; Bachellerie, J.P. RNA methylation and control of eukaryotic RNA biosynthesis. Effects of cycloleucine, a specific inhibitor of methylation, on ribosomal RNA maturation. Eur. J. Biochem. 1977, 74, 19–29. [Google Scholar] [CrossRef]
- Klootwijk, J.; Planta, R.J. Modified sequences in yeast ribosomal RNA. Mol. Biol. Rep. 1973, 1, 187–191. [Google Scholar] [CrossRef]
- Fittler, F.; Hall, R.H. Selective modification of yeast seryl-t-RNA and its effect on the acceptance and binding functions. Biochem. Biophys. Res. Commun. 1966, 25, 441–446. [Google Scholar] [CrossRef]
- Doi, R.H.; Goehler, B. Reversible modification of lysyl-tRNA which affects its binding to poly A-ribosome complexes. Biochem. Biophys. Res. Commun. 1966, 24, 44–49. [Google Scholar] [CrossRef]
- Saletore, Y.; Meyer, K.; Korlach, J.; Vilfan, I.D.; Jaffrey, S.; Mason, C.E. The birth of the Epitranscriptome: Deciphering the function of RNA modifications. Genome Biol. 2012, 13, 175. [Google Scholar] [CrossRef] [PubMed]
- Motorin, Y.; Marchand, V. Analysis of RNA Modifications by Second- and Third-Generation Deep Sequencing: 2020 Update. Genes 2021, 12, 278. [Google Scholar] [CrossRef] [PubMed]
- Shi, H.; Wei, J.; He, C. Where, When, and How: Context-Dependent Functions of RNA Methylation Writers, Readers, and Erasers. Mol. Cell 2019, 74, 640–650. [Google Scholar] [CrossRef] [PubMed]
- Asadi-Atoi, P.; Barraud, P.; Tisne, C.; Kellner, S. Benefits of stable isotope labeling in RNA analysis. Biol. Chem. 2019, 400, 847–865. [Google Scholar] [CrossRef] [PubMed]
- Jora, M.; Lobue, P.A.; Ross, R.L.; Williams, B.; Addepalli, B. Detection of ribonucleoside modifications by liquid chromatography coupled with mass spectrometry. Biochim. Biophys. Acta Gene Regul. Mech. 2019, 1862, 280–290. [Google Scholar] [CrossRef] [PubMed]
- Meng, Z.; Limbach, P.A. Mass spectrometry of RNA: Linking the genome to the proteome. Brief. Funct. Genomic. Proteomic 2006, 5, 87–95. [Google Scholar] [CrossRef] [PubMed]
- He, P.C.; He, C. m(6) A RNA methylation: From mechanisms to therapeutic potential. EMBO J. 2021, 40, e105977. [Google Scholar] [CrossRef]
- Zaccara, S.; Ries, R.J.; Jaffrey, S.R. Reading, writing and erasing mRNA methylation. Nat. Rev. Mol. Cell Biol. 2019, 20, 608–624. [Google Scholar] [CrossRef]
- Dominissini, D.; Moshitch-Moshkovitz, S.; Schwartz, S.; Salmon-Divon, M.; Ungar, L.; Osenberg, S.; Cesarkas, K.; Jacob-Hirsch, J.; Amariglio, N.; Kupiec, M.; et al. Topology of the human and mouse m6A RNA methylomes revealed by m6A-seq. Nature 2012, 485, 201–206. [Google Scholar] [CrossRef]
- Wang, X.; Lu, Z.; Gomez, A.; Hon, G.C.; Yue, Y.; Han, D.; Fu, Y.; Parisien, M.; Dai, Q.; Jia, G.; et al. N6-methyladenosine-dependent regulation of messenger RNA stability. Nature 2014, 505, 117–120. [Google Scholar] [CrossRef]
- Dominissini, D.; Moshitch-Moshkovitz, S.; Salmon-Divon, M.; Amariglio, N.; Rechavi, G. Transcriptome-wide mapping of N(6)-methyladenosine by m(6)A-seq based on immunocapturing and massively parallel sequencing. Nat. Protoc. 2013, 8, 176–189. [Google Scholar] [CrossRef]
- Wang, X.; Zhao, B.S.; Roundtree, I.A.; Lu, Z.; Han, D.; Ma, H.; Weng, X.; Chen, K.; Shi, H.; He, C. N(6)-methyladenosine Modulates Messenger RNA Translation Efficiency. Cell 2015, 161, 1388–1399. [Google Scholar] [CrossRef]
- Wang, Y.; Li, Y.; Toth, J.I.; Petroski, M.D.; Zhang, Z.; Zhao, J.C. N6-methyladenosine modification destabilizes developmental regulators in embryonic stem cells. Nat. Cell Biol. 2014, 16, 191–198. [Google Scholar] [CrossRef]
- Xiao, S.; Cao, S.; Huang, Q.; Xia, L.; Deng, M.; Yang, M.; Jia, G.; Liu, X.; Shi, J.; Wang, W.; et al. The RNA N(6)-methyladenosine modification landscape of human fetal tissues. Nat. Cell Biol. 2019, 21, 651–661. [Google Scholar] [CrossRef]
- Hsu, P.J.; Zhu, Y.; Ma, H.; Guo, Y.; Shi, X.; Liu, Y.; Qi, M.; Lu, Z.; Shi, H.; Wang, J.; et al. Ythdc2 is an N(6)-methyladenosine binding protein that regulates mammalian spermatogenesis. Cell Res. 2017, 27, 1115–1127. [Google Scholar] [CrossRef] [PubMed]
- Geula, S.; Moshitch-Moshkovitz, S.; Dominissini, D.; Mansour, A.A.; Kol, N.; Salmon-Divon, M.; Hershkovitz, V.; Peer, E.; Mor, N.; Manor, Y.S.; et al. Stem cells. m6A mRNA methylation facilitates resolution of naive pluripotency toward differentiation. Science 2015, 347, 1002–1006. [Google Scholar] [CrossRef]
- Meyer, K.D.; Saletore, Y.; Zumbo, P.; Elemento, O.; Mason, C.E.; Jaffrey, S.R. Comprehensive analysis of mRNA methylation reveals enrichment in 3’ UTRs and near stop codons. Cell 2012, 149, 1635–1646. [Google Scholar] [CrossRef] [PubMed]
- He, X.; Tan, L.; Ni, J.; Shen, G. Expression pattern of m(6)A regulators is significantly correlated with malignancy and antitumor immune response of breast cancer. Cancer Gene Ther. 2020. [Google Scholar] [CrossRef]
- Ueda, Y.; Ooshio, I.; Fusamae, Y.; Kitae, K.; Kawaguchi, M.; Jingushi, K.; Hase, H.; Harada, K.; Hirata, K.; Tsujikawa, K. AlkB homolog 3-mediated tRNA demethylation promotes protein synthesis in cancer cells. Sci. Rep. 2017, 7, 42271. [Google Scholar] [CrossRef] [PubMed]
- Yang, X.; Liu, M.; Li, M.; Zhang, S.; Hiju, H.; Sun, J.; Mao, Z.; Zheng, M.; Feng, B. Epigenetic modulations of noncoding RNA: A novel dimension of Cancer biology. Mol. Cancer 2020, 19, 64. [Google Scholar] [CrossRef] [PubMed]
- Liu, J.; Yue, Y.; Han, D.; Wang, X.; Fu, Y.; Zhang, L.; Jia, G.; Yu, M.; Lu, Z.; Deng, X.; et al. A METTL3-METTL14 complex mediates mammalian nuclear RNA N6-adenosine methylation. Nat. Chem. Biol. 2014, 10, 93–95. [Google Scholar] [CrossRef]
- Wang, X.; Feng, J.; Xue, Y.; Guan, Z.; Zhang, D.; Liu, Z.; Gong, Z.; Wang, Q.; Huang, J.; Tang, C.; et al. Structural basis of N(6)-adenosine methylation by the METTL3-METTL14 complex. Nature 2016, 534, 575–578. [Google Scholar] [CrossRef] [PubMed]
- Scholler, E.; Weichmann, F.; Treiber, T.; Ringle, S.; Treiber, N.; Flatley, A.; Feederle, R.; Bruckmann, A.; Meister, G. Interactions, localization, and phosphorylation of the m(6)A generating METTL3-METTL14-WTAP complex. RNA 2018, 24, 499–512. [Google Scholar] [CrossRef]
- Ping, X.L.; Sun, B.F.; Wang, L.; Xiao, W.; Yang, X.; Wang, W.J.; Adhikari, S.; Shi, Y.; Lv, Y.; Chen, Y.S.; et al. Mammalian WTAP is a regulatory subunit of the RNA N6-methyladenosine methyltransferase. Cell Res. 2014, 24, 177–189. [Google Scholar] [CrossRef] [PubMed]
- Kobayashi, M.; Ohsugi, M.; Sasako, T.; Awazawa, M.; Umehara, T.; Iwane, A.; Kobayashi, N.; Okazaki, Y.; Kubota, N.; Suzuki, R.; et al. The RNA Methyltransferase Complex of WTAP, METTL3, and METTL14 Regulates Mitotic Clonal Expansion in Adipogenesis. Mol. Cell Biol. 2018, 38. [Google Scholar] [CrossRef] [PubMed]
- Patil, D.P.; Chen, C.K.; Pickering, B.F.; Chow, A.; Jackson, C.; Guttman, M.; Jaffrey, S.R. m(6)A RNA methylation promotes XIST-mediated transcriptional repression. Nature 2016, 537, 369–373. [Google Scholar] [CrossRef] [PubMed]
- Brown, J.A.; Kinzig, C.G.; DeGregorio, S.J.; Steitz, J.A. Methyltransferase-like protein 16 binds the 3’-terminal triple helix of MALAT1 long noncoding RNA. Proc. Natl. Acad. Sci. USA 2016, 113, 14013–14018. [Google Scholar] [CrossRef] [PubMed]
- Warda, A.S.; Kretschmer, J.; Hackert, P.; Lenz, C.; Urlaub, H.; Hobartner, C.; Sloan, K.E.; Bohnsack, M.T. Human METTL16 is a N(6)-methyladenosine (m(6)A) methyltransferase that targets pre-mRNAs and various non-coding RNAs. EMBO Rep. 2017, 18, 2004–2014. [Google Scholar] [CrossRef]
- Huang, Y.; Su, R.; Sheng, Y.; Dong, L.; Dong, Z.; Xu, H.; Ni, T.; Zhang, Z.S.; Zhang, T.; Li, C.; et al. Small-Molecule Targeting of Oncogenic FTO Demethylase in Acute Myeloid Leukemia. Cancer Cell 2019, 35, 677–691. [Google Scholar] [CrossRef]
- Zheng, G.; Dahl, J.A.; Niu, Y.; Fedorcsak, P.; Huang, C.M.; Li, C.J.; Vagbo, C.B.; Shi, Y.; Wang, W.L.; Song, S.H.; et al. ALKBH5 is a mammalian RNA demethylase that impacts RNA metabolism and mouse fertility. Mol. Cell. 2013, 49, 18–29. [Google Scholar] [CrossRef]
- Meyer, K.D.; Jaffrey, S.R. Rethinking m(6)A Readers, Writers, and Erasers. Annu. Rev. Cell Dev. Biol. 2017, 33, 319–342. [Google Scholar] [CrossRef]
- Wu, Y.; Huang, C.; Meng, X.; Li, J. Long Noncoding RNA MALAT1: Insights into its Biogenesis and Implications in Human Disease. Curr. Pharm. Des. 2015, 21, 5017–5028. [Google Scholar] [CrossRef]
- He, R.Z.; Jiang, J.; Luo, D.X. The functions of N6-methyladenosine modification in lncRNAs. Genes. Dis. 2020, 7, 598–605. [Google Scholar] [CrossRef]
- Wang, X.; Liu, C.; Zhang, S.; Yan, H.; Zhang, L.; Jiang, A.; Liu, Y.; Feng, Y.; Li, D.; Guo, Y.; et al. N(6)-methyladenosine modification of MALAT1 promotes metastasis via reshaping nuclear speckles. Dev. Cell 2021, 56, 702–715. [Google Scholar] [CrossRef]
- Ban, Y.; Tan, P.; Cai, J.; Li, J.; Hu, M.; Zhou, Y.; Mei, Y.; Tan, Y.; Li, X.; Zeng, Z.; et al. LNCAROD is stabilized by m6A methylation and promotes cancer progression via forming a ternary complex with HSPA1A and YBX1 in head and neck squamous cell carcinoma. Mol. Oncol. 2020, 14, 1282–1296. [Google Scholar] [CrossRef] [PubMed]
- He, Y.; Hu, H.; Wang, Y.; Yuan, H.; Lu, Z.; Wu, P.; Liu, D.; Tian, L.; Yin, J.; Jiang, K.; et al. ALKBH5 Inhibits Pancreatic Cancer Motility by Decreasing Long Non-Coding RNA KCNK15-AS1 Methylation. Cell. Physiol. Biochem. 2018, 48, 838–846. [Google Scholar] [CrossRef] [PubMed]
- Hu, X.; Peng, W.X.; Zhou, H.; Jiang, J.; Zhou, X.; Huang, D.; Mo, Y.Y.; Yang, L. IGF2BP2 regulates DANCR by serving as an N6-methyladenosine reader. Cell Death Differ. 2020, 27, 1782–1794. [Google Scholar] [CrossRef]
- Chen, S.; Zhou, L.; Wang, Y. ALKBH5-mediated m(6)A demethylation of lncRNA PVT1 plays an oncogenic role in osteosarcoma. Cancer Cell Int. 2020, 20, 34. [Google Scholar] [CrossRef] [PubMed]
- Ni, W.; Yao, S.; Zhou, Y.; Liu, Y.; Huang, P.; Zhou, A.; Liu, J.; Che, L.; Li, J. Long noncoding RNA GAS5 inhibits progression of colorectal cancer by interacting with and triggering YAP phosphorylation and degradation and is negatively regulated by the m(6)A reader YTHDF3. Mol. Cancer 2019, 18, 143. [Google Scholar] [CrossRef]
- Wu, Y.; Yang, X.; Chen, Z.; Tian, L.; Jiang, G.; Chen, F.; Li, J.; An, P.; Lu, L.; Luo, N.; et al. m(6)A-induced lncRNA RP11 triggers the dissemination of colorectal cancer cells via upregulation of Zeb1. Mol. Cancer 2019, 18, 87. [Google Scholar] [CrossRef]
- Zheng, Z.Q.; Li, Z.X.; Zhou, G.Q.; Lin, L.; Zhang, L.L.; Lv, J.W.; Huang, X.D.; Liu, R.Q.; Chen, F.; He, X.J.; et al. Long Noncoding RNA FAM225A Promotes Nasopharyngeal Carcinoma Tumorigenesis and Metastasis by Acting as ceRNA to Sponge miR-590-3p/miR-1275 and Upregulate ITGB3. Cancer Res. 2019, 79, 4612–4626. [Google Scholar] [CrossRef] [PubMed]
- Zuo, X.; Chen, Z.; Gao, W.; Zhang, Y.; Wang, J.; Wang, J.; Cao, M.; Cai, J.; Wu, J.; Wang, X. M6A-mediated upregulation of LINC00958 increases lipogenesis and acts as a nanotherapeutic target in hepatocellular carcinoma. J. Hematol. Oncol. 2020, 13, 5. [Google Scholar] [CrossRef]
- Yang, D.; Qiao, J.; Wang, G.; Lan, Y.; Li, G.; Guo, X.; Xi, J.; Ye, D.; Zhu, S.; Chen, W.; et al. N6-Methyladenosine modification of lincRNA 1281 is critically required for mESC differentiation potential. Nucleic Acids Res. 2018, 46, 3906–3920. [Google Scholar] [CrossRef]
- Bohnsack, J.P.; Teppen, T.; Kyzar, E.J.; Dzitoyeva, S.; Pandey, S.C. The lncRNA BDNF-AS is an epigenetic regulator in the human amygdala in early onset alcohol use disorders. Transl. Psychiatry 2019, 9, 34. [Google Scholar] [CrossRef]
- Shang, W.; Gao, Y.; Tang, Z.; Zhang, Y.; Yang, R. The Pseudogene Olfr29-ps1 Promotes the Suppressive Function and Differentiation of Monocytic MDSCs. Cancer Immunol. Res. 2019, 7, 813–827. [Google Scholar] [CrossRef]
- Huyghe, J.R.; Bien, S.A.; Harrison, T.A.; Kang, H.M.; Chen, S.; Schmit, S.L.; Conti, D.V.; Qu, C.; Jeon, J.; Edlund, C.K.; et al. Discovery of common and rare genetic risk variants for colorectal cancer. Nat. Genet. 2019, 51, 76–87. [Google Scholar] [CrossRef] [PubMed]
- Onagoruwa, O.T.; Pal, G.; Ochu, C.; Ogunwobi, O.O. Oncogenic Role of PVT1 and Therapeutic Implications. Front. Oncol. 2020, 10, 17. [Google Scholar] [CrossRef]
- Xiao, M.S.; Ai, Y.; Wilusz, J.E. Biogenesis and Functions of Circular RNAs Come into Focus. Trends Cell Biol. 2020, 30, 226–240. [Google Scholar] [CrossRef] [PubMed]
- Kishore, R.; Garikipati, V.N.S.; Gonzalez, C. Role of Circular RNAs in Cardiovascular Disease. J. Cardiovasc. Pharmacol. 2020, 76, 128–137. [Google Scholar] [CrossRef]
- Garikipati, V.N.S.; Verma, S.K.; Cheng, Z.; Liang, D.; Truongcao, M.M.; Cimini, M.; Yue, Y.; Huang, G.; Wang, C.; Benedict, C.; et al. Circular RNA CircFndc3b modulates cardiac repair after myocardial infarction via FUS/VEGF-A axis. Nat. Commun. 2019, 10, 4317. [Google Scholar] [CrossRef] [PubMed]
- Rai, A.K.; Lee, B.; Gomez, R.; Rajendran, D.; Khan, M.; Garikipati, V.N.S. Current Status and Potential Therapeutic Strategies for Using Non-coding RNA to Treat Diabetic Cardiomyopathy. Front. Physiol. 2020, 11, 612722. [Google Scholar] [CrossRef] [PubMed]
- Zhang, Z.; Yang, T.; Xiao, J. Circular RNAs: Promising Biomarkers for Human Diseases. EBioMedicine 2018, 34, 267–274. [Google Scholar] [CrossRef]
- Park, O.H.; Ha, H.; Lee, Y.; Boo, S.H.; Kwon, D.H.; Song, H.K.; Kim, Y.K. Endoribonucleolytic Cleavage of m(6)A-Containing RNAs by RNase P/MRP Complex. Mol. Cell 2019, 74, 494–507. [Google Scholar] [CrossRef]
- Legnini, I.; Di Timoteo, G.; Rossi, F.; Morlando, M.; Briganti, F.; Sthandier, O.; Fatica, A.; Santini, T.; Andronache, A.; Wade, M.; et al. Circ-ZNF609 Is a Circular RNA that Can Be Translated and Functions in Myogenesis. Mol. Cell 2017, 66, 22–37 e29. [Google Scholar] [CrossRef]
- Pamudurti, N.R.; Bartok, O.; Jens, M.; Ashwal-Fluss, R.; Stottmeister, C.; Ruhe, L.; Hanan, M.; Wyler, E.; Perez-Hernandez, D.; Ramberger, E.; et al. Translation of CircRNAs. Mol. Cell 2017, 66, 9–21 e27. [Google Scholar] [CrossRef]
- Yang, Y.; Fan, X.; Mao, M.; Song, X.; Wu, P.; Zhang, Y.; Jin, Y.; Yang, Y.; Chen, L.L.; Wang, Y.; et al. Extensive translation of circular RNAs driven by N(6)-methyladenosine. Cell Res. 2017, 27, 626–641. [Google Scholar] [CrossRef]
- Tang, C.; Xie, Y.; Yu, T.; Liu, N.; Wang, Z.; Woolsey, R.J.; Tang, Y.; Zhang, X.; Qin, W.; Zhang, Y.; et al. m(6)A-dependent biogenesis of circular RNAs in male germ cells. Cell Res. 2020, 30, 211–228. [Google Scholar] [CrossRef]
- Chen, Y.G.; Chen, R.; Ahmad, S.; Verma, R.; Kasturi, S.P.; Amaya, L.; Broughton, J.P.; Kim, J.; Cadena, C.; Pulendran, B.; et al. N6-Methyladenosine Modification Controls Circular RNA Immunity. Mol. Cell 2019, 76, 96–109 e109. [Google Scholar] [CrossRef]
- Wesselhoeft, R.A.; Kowalski, P.S.; Parker-Hale, F.C.; Huang, Y.; Bisaria, N.; Anderson, D.G. RNA Circularization Diminishes Immunogenicity and Can Extend Translation Duration In Vivo. Mol. Cell 2019, 74, 508–520 e504. [Google Scholar] [CrossRef] [PubMed]
- Dai, X.; Wang, T.; Gonzalez, G.; Wang, Y. Identification of YTH Domain-Containing Proteins as the Readers for N1-Methyladenosine in RNA. Anal. Chem. 2018, 90, 6380–6384. [Google Scholar] [CrossRef] [PubMed]
- Shi, L.; Yang, X.M.; Tang, D.D.; Liu, G.; Yuan, P.; Yang, Y.; Chang, L.S.; Zhang, L.R.; Song, D.K. Expression and significance of m1A transmethylase, hTrm6p/hTrm61p and its related gene hTrm6/hTrm61 in bladder urothelial carcinoma. Am. J. Cancer Res. 2015, 5, 2169–2179. [Google Scholar] [PubMed]
- Dominissini, D.; Nachtergaele, S.; Moshitch-Moshkovitz, S.; Peer, E.; Kol, N.; Ben-Haim, M.S.; Dai, Q.; Di Segni, A.; Salmon-Divon, M.; Clark, W.C.; et al. The dynamic N(1)-methyladenosine methylome in eukaryotic messenger RNA. Nature 2016, 530, 441–446. [Google Scholar] [CrossRef] [PubMed]
- Chen, Z.; Qi, M.; Shen, B.; Luo, G.; Wu, Y.; Li, J.; Lu, Z.; Zheng, Z.; Dai, Q.; Wang, H. Transfer RNA demethylase ALKBH3 promotes cancer progression via induction of tRNA-derived small RNAs. Nucleic Acids Res. 2019, 47, 2533–2545. [Google Scholar] [CrossRef]
- Stellos, K.; Gatsiou, A.; Stamatelopoulos, K.; Perisic Matic, L.; John, D.; Lunella, F.F.; Jae, N.; Rossbach, O.; Amrhein, C.; Sigala, F.; et al. Adenosine-to-inosine RNA editing controls cathepsin S expression in atherosclerosis by enabling HuR-mediated post-transcriptional regulation. Nat. Med. 2016, 22, 1140–1150. [Google Scholar] [CrossRef] [PubMed]
- Walkley, C.R.; Li, J.B. Rewriting the transcriptome: adenosine-to-inosine RNA editing by ADARs. Genome Biol. 2017, 18, 205. [Google Scholar] [CrossRef] [PubMed]
- Savva, Y.A.; Rieder, L.E.; Reenan, R.A. The ADAR protein family. Genome Biol. 2012, 13, 252. [Google Scholar] [CrossRef] [PubMed]
- Peng, X.; Xu, X.; Wang, Y.; Hawke, D.H.; Yu, S.; Han, L.; Zhou, Z.; Mojumdar, K.; Jeong, K.J.; Labrie, M.; et al. A-to-I RNA Editing Contributes to Proteomic Diversity in Cancer. Cancer Cell 2018, 33, 817–828 e817. [Google Scholar] [CrossRef]
- Salameh, A.; Lee, A.K.; Cardo-Vila, M.; Nunes, D.N.; Efstathiou, E.; Staquicini, F.I.; Dobroff, A.S.; Marchio, S.; Navone, N.M.; Hosoya, H.; et al. PRUNE2 is a human prostate cancer suppressor regulated by the intronic long noncoding RNA PCA3. Proc. Natl. Acad. Sci. USA 2015, 112, 8403–8408. [Google Scholar] [CrossRef]
- Li, Y.; Jiang, T.; Zhou, W.; Li, J.; Li, X.; Wang, Q.; Jin, X.; Yin, J.; Chen, L.; Zhang, Y.; et al. Pan-cancer characterization of immune-related lncRNAs identifies potential oncogenic biomarkers. Nat. Commun. 2020, 11, 1000. [Google Scholar] [CrossRef] [PubMed]
- Hussain, S.; Aleksic, J.; Blanco, S.; Dietmann, S.; Frye, M. Characterizing 5-methylcytosine in the mammalian epitranscriptome. Genome Biol. 2013, 14, 215. [Google Scholar] [CrossRef]
- Khoddami, V.; Yerra, A.; Mosbruger, T.L.; Fleming, A.M.; Burrows, C.J.; Cairns, B.R. Transcriptome-wide profiling of multiple RNA modifications simultaneously at single-base resolution. Proc. Natl. Acad. Sci. USA 2019, 116, 6784–6789. [Google Scholar] [CrossRef] [PubMed]
- Amort, T.; Souliere, M.F.; Wille, A.; Jia, X.Y.; Fiegl, H.; Worle, H.; Micura, R.; Lusser, A. Long non-coding RNAs as targets for cytosine methylation. RNA Biol. 2013, 10, 1003–1008. [Google Scholar] [CrossRef]
- Amort, T.; Rieder, D.; Wille, A.; Khokhlova-Cubberley, D.; Riml, C.; Trixl, L.; Jia, X.Y.; Micura, R.; Lusser, A. Distinct 5-methylcytosine profiles in poly(A) RNA from mouse embryonic stem cells and brain. Genome Biol. 2017, 18, 1. [Google Scholar] [CrossRef]
- Zhao, B.S.; He, C. Pseudouridine in a new era of RNA modifications. Cell Res. 2015, 25, 153–154. [Google Scholar] [CrossRef]
- Li, X.; Zhu, P.; Ma, S.; Song, J.; Bai, J.; Sun, F.; Yi, C. Chemical pulldown reveals dynamic pseudouridylation of the mammalian transcriptome. Nat. Chem. Biol. 2015, 11, 592–597. [Google Scholar] [CrossRef] [PubMed]
- Schwartz, S.; Bernstein, D.A.; Mumbach, M.R.; Jovanovic, M.; Herbst, R.H.; Leon-Ricardo, B.X.; Engreitz, J.M.; Guttman, M.; Satija, R.; Lander, E.S.; et al. Transcriptome-wide mapping reveals widespread dynamic-regulated pseudouridylation of ncRNA and mRNA. Cell 2014, 159, 148–162. [Google Scholar] [CrossRef] [PubMed]
- Kretz, M.; Siprashvili, Z.; Chu, C.; Webster, D.E.; Zehnder, A.; Qu, K.; Lee, C.S.; Flockhart, R.J.; Groff, A.F.; Chow, J.; et al. Control of somatic tissue differentiation by the long non-coding RNA TINCR. Nature 2013, 493, 231–235. [Google Scholar] [CrossRef]
- Gandhi, M.; Caudron-Herger, M.; Diederichs, S. RNA motifs and combinatorial prediction of interactions, stability and localization of noncoding RNAs. Nat. Struct. Mol. Biol. 2018, 25, 1070–1076. [Google Scholar] [CrossRef] [PubMed]
- Zhang, Y.; Huang, H.; Zhang, D.; Qiu, J.; Yang, J.; Wang, K.; Zhu, L.; Fan, J.; Yang, J. A Review on Recent Computational Methods for Predicting Noncoding RNAs. Biomed. Res. Int. 2017, 2017, 9139504. [Google Scholar] [CrossRef] [PubMed]
- Eckhart, L.; Lachner, J.; Tschachler, E.; Rice, R.H. TINCR is not a non-coding RNA but encodes a protein component of cornified epidermal keratinocytes. Exp. Dermatol. 2020, 29, 376–379. [Google Scholar] [CrossRef]
- Chillon, I.; Marcia, M. The molecular structure of long non-coding RNAs: emerging patterns and functional implications. Crit. Rev. Biochem. Mol. Biol. 2020, 55, 662–690. [Google Scholar] [CrossRef]
- Chen, X.; Sun, Y.Z.; Guan, N.N.; Qu, J.; Huang, Z.A.; Zhu, Z.X.; Li, J.Q. Computational models for lncRNA function prediction and functional similarity calculation. Brief. Funct. Genom. 2019, 18, 58–82. [Google Scholar] [CrossRef] [PubMed]
- Haubold, B.; Wiehe, T. How repetitive are genomes? BMC Bioinform. 2006, 7, 541. [Google Scholar] [CrossRef]
- Ninomiya, K.; Hirose, T. Short Tandem Repeat-Enriched Architectural RNAs in Nuclear Bodies: Functions and Associated Diseases. Noncoding RNA 2020, 6, 6. [Google Scholar] [CrossRef] [PubMed]
- Weirick, T.; Militello, G.; Muller, R.; John, D.; Dimmeler, S.; Uchida, S. The identification and characterization of novel transcripts from RNA-seq data. Brief. Bioinform. 2016, 17, 678–685. [Google Scholar] [CrossRef]
- Johnson, R.; Guigo, R. The RIDL hypothesis: transposable elements as functional domains of long noncoding RNAs. RNA 2014, 20, 959–976. [Google Scholar] [CrossRef]
- Deininger, P. Alu elements: know the SINEs. Genome Biol. 2011, 12, 236. [Google Scholar] [CrossRef] [PubMed]
- Caudron-Herger, M.; Pankert, T.; Seiler, J.; Nemeth, A.; Voit, R.; Grummt, I.; Rippe, K. Alu element-containing RNAs maintain nucleolar structure and function. EMBO J. 2015, 34, 2758–2774. [Google Scholar] [CrossRef]
- Capshew, C.R.; Dusenbury, K.L.; Hundley, H.A. Inverted Alu dsRNA structures do not affect localization but can alter translation efficiency of human mRNAs independent of RNA editing. Nucleic Acids Res. 2012, 40, 8637–8645. [Google Scholar] [CrossRef]
- Malik, T.N.; Doherty, E.E.; Gaded, V.M.; Hill, T.M.; Beal, P.A.; Emeson, R.B. Regulation of RNA editing by intracellular acidification. Nucleic Acids Res. 2021. [Google Scholar] [CrossRef] [PubMed]
- Silvestris, D.A.; Scopa, C.; Hanchi, S.; Locatelli, F.; Gallo, A. De Novo A-to-I RNA Editing Discovery in lncRNA. Cancers 2020, 12, 2959. [Google Scholar] [CrossRef] [PubMed]
- Galipon, J.; Ishii, R.; Suzuki, Y.; Tomita, M.; Ui-Tei, K. Differential Binding of Three Major Human ADAR Isoforms to Coding and Long Non-Coding Transcripts. Genes 2017, 8, 68. [Google Scholar] [CrossRef]
- John, D.; Weirick, T.; Dimmeler, S.; Uchida, S. RNAEditor: easy detection of RNA editing events and the introduction of editing islands. Brief. Bioinform. 2017, 18, 993–1001. [Google Scholar] [CrossRef]
- Solomon, O.; Di Segni, A.; Cesarkas, K.; Porath, H.T.; Marcu-Malina, V.; Mizrahi, O.; Stern-Ginossar, N.; Kol, N.; Farage-Barhom, S.; Glick-Saar, E.; et al. RNA editing by ADAR1 leads to context-dependent transcriptome-wide changes in RNA secondary structure. Nat. Commun. 2017, 8, 1440. [Google Scholar] [CrossRef]
- Jones, A.N.; Sattler, M. Challenges and perspectives for structural biology of lncRNAs-the example of the Xist lncRNA A-repeats. J. Mol. Cell Biol. 2019, 11, 845–859. [Google Scholar] [CrossRef] [PubMed]
- Lai, W.C.; Kayedkhordeh, M.; Cornell, E.V.; Farah, E.; Bellaousov, S.; Rietmeijer, R.; Salsi, E.; Mathews, D.H.; Ermolenko, D.N. mRNAs and lncRNAs intrinsically form secondary structures with short end-to-end distances. Nat. Commun. 2018, 9, 4328. [Google Scholar] [CrossRef]
- Blythe, A.J.; Fox, A.H.; Bond, C.S. The ins and outs of lncRNA structure: How, why and what comes next? Biochim. Biophys. Acta 2016, 1859, 46–58. [Google Scholar] [CrossRef]
- Xiang, J.F.; Yang, Q.; Liu, C.X.; Wu, M.; Chen, L.L.; Yang, L. N(6)-Methyladenosines Modulate A-to-I RNA Editing. Mol. Cell 2018, 69, 126–135 e126. [Google Scholar] [CrossRef]
- Visvanathan, A.; Patil, V.; Abdulla, S.; Hoheisel, J.D.; Somasundaram, K. N(6)-Methyladenosine Landscape of Glioma Stem-Like Cells: METTL3 Is Essential for the Expression of Actively Transcribed Genes and Sustenance of the Oncogenic Signaling. Genes 2019, 10, 141. [Google Scholar] [CrossRef] [PubMed]
- Wang, M.C.; McCown, P.J.; Schiefelbein, G.E.; Brown, J.A. Secondary Structural Model of MALAT1 Becomes Unstructured in Chronic Myeloid Leukemia and Undergoes Structural Rearrangement in Cervical Cancer. Noncoding RNA 2021, 7, 6. [Google Scholar] [CrossRef]
- Liu, N.; Dai, Q.; Zheng, G.; He, C.; Parisien, M.; Pan, T. N(6)-methyladenosine-dependent RNA structural switches regulate RNA-protein interactions. Nature 2015, 518, 560–564. [Google Scholar] [CrossRef] [PubMed]
- Liu, P.; Zhang, B.; Chen, Z.; He, Y.; Du, Y.; Liu, Y.; Chen, X. m(6)A-induced lncRNA MALAT1 aggravates renal fibrogenesis in obstructive nephropathy through the miR-145/FAK pathway. Aging (Albany NY) 2020, 12, 5280–5299. [Google Scholar] [CrossRef]
- Lee, J.; Wu, Y.; Harada, B.T.; Li, Y.; Zhao, J.; He, C.; Ma, Y.; Wu, X. N(6) methyladenosine modification of lncRNA Pvt1 governs epidermal stemness. EMBO J. 2021, e106276. [Google Scholar] [CrossRef]
- Shen, J.; Feng, X.P.; Hu, R.B.; Wang, H.; Wang, Y.L.; Qian, J.H.; Zhou, Y.X. N-methyladenosine reader YTHDF2-mediated long noncoding RNA FENDRR degradation promotes cell proliferation in endometrioid endometrial carcinoma. Lab. Invest 2021. [Google Scholar] [CrossRef] [PubMed]
- Guo, T.; Liu, D.F.; Peng, S.H.; Xu, A.M. ALKBH5 promotes colon cancer progression by decreasing methylation of the lncRNA NEAT1. Am. J. Transl. Res. 2020, 12, 4542–4549. [Google Scholar] [PubMed]
- Zhang, J.; Guo, S.; Piao, H.Y.; Wang, Y.; Wu, Y.; Meng, X.Y.; Yang, D.; Zheng, Z.C.; Zhao, Y. ALKBH5 promotes invasion and metastasis of gastric cancer by decreasing methylation of the lncRNA NEAT1. J. Physiol. Biochem. 2019, 75, 379–389. [Google Scholar] [CrossRef] [PubMed]
- Meng, X.; Deng, Y.; He, S.; Niu, L.; Zhu, H. m(6)A-Mediated Upregulation of LINC00857 Promotes Pancreatic Cancer Tumorigenesis by Regulating the miR-150-5p/E2F3 Axis. Front. Oncol. 2021, 11, 629947. [Google Scholar] [CrossRef]
- Rong, D.; Dong, Q.; Qu, H.; Deng, X.; Gao, F.; Li, Q.; Sun, P. m(6)A-induced LINC00958 promotes breast cancer tumorigenesis via the miR-378a-3p/YY1 axis. Cell Death Discov. 2021, 7, 27. [Google Scholar] [CrossRef]
- Zeng, Y.; Wang, S.; Gao, S.; Soares, F.; Ahmed, M.; Guo, H.; Wang, M.; Hua, J.T.; Guan, J.; Moran, M.F.; et al. Refined RIP-seq protocol for epitranscriptome analysis with low input materials. PLoS Biol. 2018, 16, e2006092. [Google Scholar] [CrossRef]
- Chen, K.; Luo, G.Z.; He, C. High-Resolution Mapping of N(6)-Methyladenosine in Transcriptome and Genome Using a Photo-Crosslinking-Assisted Strategy. Methods Enzymol. 2015, 560, 161–185. [Google Scholar] [CrossRef]
- Linder, B.; Grozhik, A.V.; Olarerin-George, A.O.; Meydan, C.; Mason, C.E.; Jaffrey, S.R. Single-nucleotide-resolution mapping of m6A and m6Am throughout the transcriptome. Nat. Methods 2015, 12, 767–772. [Google Scholar] [CrossRef]
- Liu, N.; Parisien, M.; Dai, Q.; Zheng, G.; He, C.; Pan, T. Probing N6-methyladenosine RNA modification status at single nucleotide resolution in mRNA and long noncoding RNA. RNA 2013, 19, 1848–1856. [Google Scholar] [CrossRef]
- Han, Y.; Feng, J.; Xia, L.; Dong, X.; Zhang, X.; Zhang, S.; Miao, Y.; Xu, Q.; Xiao, S.; Zuo, Z.; et al. CVm6A: A Visualization and Exploration Database for m(6)As in Cell Lines. Cells 2019, 8, 168. [Google Scholar] [CrossRef]
- Tang, Y.; Chen, K.; Wu, X.; Wei, Z.; Zhang, S.Y.; Song, B.; Zhang, S.W.; Huang, Y.; Meng, J. DRUM: Inference of Disease-Associated m(6)A RNA Methylation Sites From a Multi-Layer Heterogeneous Network. Front. Genet. 2019, 10, 266. [Google Scholar] [CrossRef]
- Tang, Y.; Chen, K.; Song, B.; Ma, J.; Wu, X.; Xu, Q.; Wei, Z.; Su, J.; Liu, G.; Rong, R.; et al. m6A-Atlas: a comprehensive knowledgebase for unraveling the N6-methyladenosine (m6A) epitranscriptome. Nucleic Acids Res. 2021, 49, D134–D143. [Google Scholar] [CrossRef] [PubMed]
- Li, J.; Huang, Y.; Cui, Q.; Zhou, Y. m6Acorr: an online tool for the correction and comparison of m(6)A methylation profiles. BMC Bioinform. 2020, 21, 31. [Google Scholar] [CrossRef] [PubMed]
- Deng, S.; Zhang, H.; Zhu, K.; Li, X.; Ye, Y.; Li, R.; Liu, X.; Lin, D.; Zuo, Z.; Zheng, J. M6A2Target: a comprehensive database for targets of m6A writers, erasers and readers. Brief. Bioinform. 2020. [Google Scholar] [CrossRef]
- Zheng, Y.; Nie, P.; Peng, D.; He, Z.; Liu, M.; Xie, Y.; Miao, Y.; Zuo, Z.; Ren, J. m6AVar: a database of functional variants involved in m6A modification. Nucleic Acids Res. 2018, 46, D139–D145. [Google Scholar] [CrossRef]
- Liu, H.; Flores, M.A.; Meng, J.; Zhang, L.; Zhao, X.; Rao, M.K.; Chen, Y.; Huang, Y. MeT-DB: a database of transcriptome methylation in mammalian cells. Nucleic Acids Res. 2015, 43, D197–D203. [Google Scholar] [CrossRef] [PubMed]
- Liu, H.; Wang, H.; Wei, Z.; Zhang, S.; Hua, G.; Zhang, S.W.; Zhang, L.; Gao, S.J.; Meng, J.; Chen, X.; et al. MeT-DB V2.0: elucidating context-specific functions of N6-methyl-adenosine methyltranscriptome. Nucleic Acids Res. 2018, 46, D281–D287. [Google Scholar] [CrossRef] [PubMed]
- Liu, S.; Zhu, A.; He, C.; Chen, M. REPIC: a database for exploring the N(6)-methyladenosine methylome. Genome Biol. 2020, 21, 100. [Google Scholar] [CrossRef] [PubMed]
- Sun, W.J.; Li, J.H.; Liu, S.; Wu, J.; Zhou, H.; Qu, L.H.; Yang, J.H. RMBase: a resource for decoding the landscape of RNA modifications from high-throughput sequencing data. Nucleic Acids Res. 2016, 44, D259–D265. [Google Scholar] [CrossRef] [PubMed]
- Xuan, J.J.; Sun, W.J.; Lin, P.H.; Zhou, K.R.; Liu, S.; Zheng, L.L.; Qu, L.H.; Yang, J.H. RMBase v2.0: deciphering the map of RNA modifications from epitranscriptome sequencing data. Nucleic Acids Res. 2018, 46, D327–D334. [Google Scholar] [CrossRef] [PubMed]
- Chen, K.; Song, B.; Tang, Y.; Wei, Z.; Xu, Q.; Su, J.; de Magalhaes, J.P.; Rigden, D.J.; Meng, J. RMDisease: a database of genetic variants that affect RNA modifications, with implications for epitranscriptome pathogenesis. Nucleic Acids Res. 2021, 49, D1396–D1404. [Google Scholar] [CrossRef] [PubMed]
- Luo, X.; Li, H.; Liang, J.; Zhao, Q.; Xie, Y.; Ren, J.; Zuo, Z. RMVar: an updated database of functional variants involved in RNA modifications. Nucleic Acids Res. 2021, 49, D1405–D1412. [Google Scholar] [CrossRef]
- Nie, F.; Feng, P.; Song, X.; Wu, M.; Tang, Q.; Chen, W. RNAWRE: a resource of writers, readers and erasers of RNA modifications. Database (Oxford) 2020, 2020. [Google Scholar] [CrossRef]
- Werner, S.; Galliot, A.; Pichot, F.; Kemmer, T.; Marchand, V.; Sednev, M.V.; Lence, T.; Roignant, J.Y.; Konig, J.; Hobartner, C.; et al. NOseq: amplicon sequencing evaluation method for RNA m6A sites after chemical deamination. Nucleic Acids Res. 2021, 49, e23. [Google Scholar] [CrossRef] [PubMed]
- Huang, H.; Weng, H.; Zhou, K.; Wu, T.; Zhao, B.S.; Sun, M.; Chen, Z.; Deng, X.; Xiao, G.; Auer, F.; et al. Histone H3 trimethylation at lysine 36 guides m(6)A RNA modification co-transcriptionally. Nature 2019, 567, 414–419. [Google Scholar] [CrossRef]
- Leinonen, R.; Sugawara, H.; Shumway, M.; International Nucleotide Sequence Database Collaboration. The sequence read archive. Nucleic Acids Res. 2011, 39, D19–D21. [Google Scholar] [CrossRef] [PubMed]
- Chen, S.; Zhou, Y.; Chen, Y.; Gu, J. fastp: an ultra-fast all-in-one FASTQ preprocessor. Bioinformatics 2018, 34, i884–i890. [Google Scholar] [CrossRef] [PubMed]
- Dobin, A.; Davis, C.A.; Schlesinger, F.; Drenkow, J.; Zaleski, C.; Jha, S.; Batut, P.; Chaisson, M.; Gingeras, T.R. STAR: ultrafast universal RNA-seq aligner. Bioinformatics 2013, 29, 15–21. [Google Scholar] [CrossRef]
- Robinson, M.D.; McCarthy, D.J.; Smyth, G.K. edgeR: a Bioconductor package for differential expression analysis of digital gene expression data. Bioinformatics 2010, 26, 139–140. [Google Scholar] [CrossRef]
- Wickham, H. ggplot2: Elegant Graphics for Data Analysis. In Use R! 2nd ed.; Springer International Publishing: Cham, Switzerland, 2016. [Google Scholar]
- Howe, E.A.; Sinha, R.; Schlauch, D.; Quackenbush, J. RNA-Seq analysis in MeV. Bioinformatics 2011, 27, 3209–3210. [Google Scholar] [CrossRef]
Publisher’s Note: MDPI stays neutral with regard to jurisdictional claims in published maps and institutional affiliations. |
© 2021 by the authors. Licensee MDPI, Basel, Switzerland. This article is an open access article distributed under the terms and conditions of the Creative Commons Attribution (CC BY) license (https://creativecommons.org/licenses/by/4.0/).

