Resolution and Energy Dissipation Characteristics of Implicit LES and Explicit Filtering Models for Compressible Turbulence
Abstract
:1. Introduction
- How does a central scheme augmented with a relaxation filter compare with the performance of the conventional upwind-biased approach to numerical dissipation in ILES?
- What reduction in computational expense can we expect through the utilization of this new explicit filtering framework?
- Can we quantify the effect of the free modeling parameters that accompany low-pass spatial filters on the statistical and instantaneous features of our solution field?
- What parameters dominate the dissipative nature of a WENO-ILES scheme for our test cases?
2. Governing Equations
3. Numerical Methods
3.1. Finite Volume Framework
3.2. Upwind-Biased ILES Schemes
3.2.1. WENO Reconstructions
3.2.2. Riemann Solvers
3.2.3. Rusanov Scheme
3.2.4. Roe Scheme
3.2.5. HLL Scheme
3.2.6. AUSM Scheme
3.3. Central Reconstruction Schemes
3.3.1. Relaxation Filtering
3.3.2. Shock Filtering
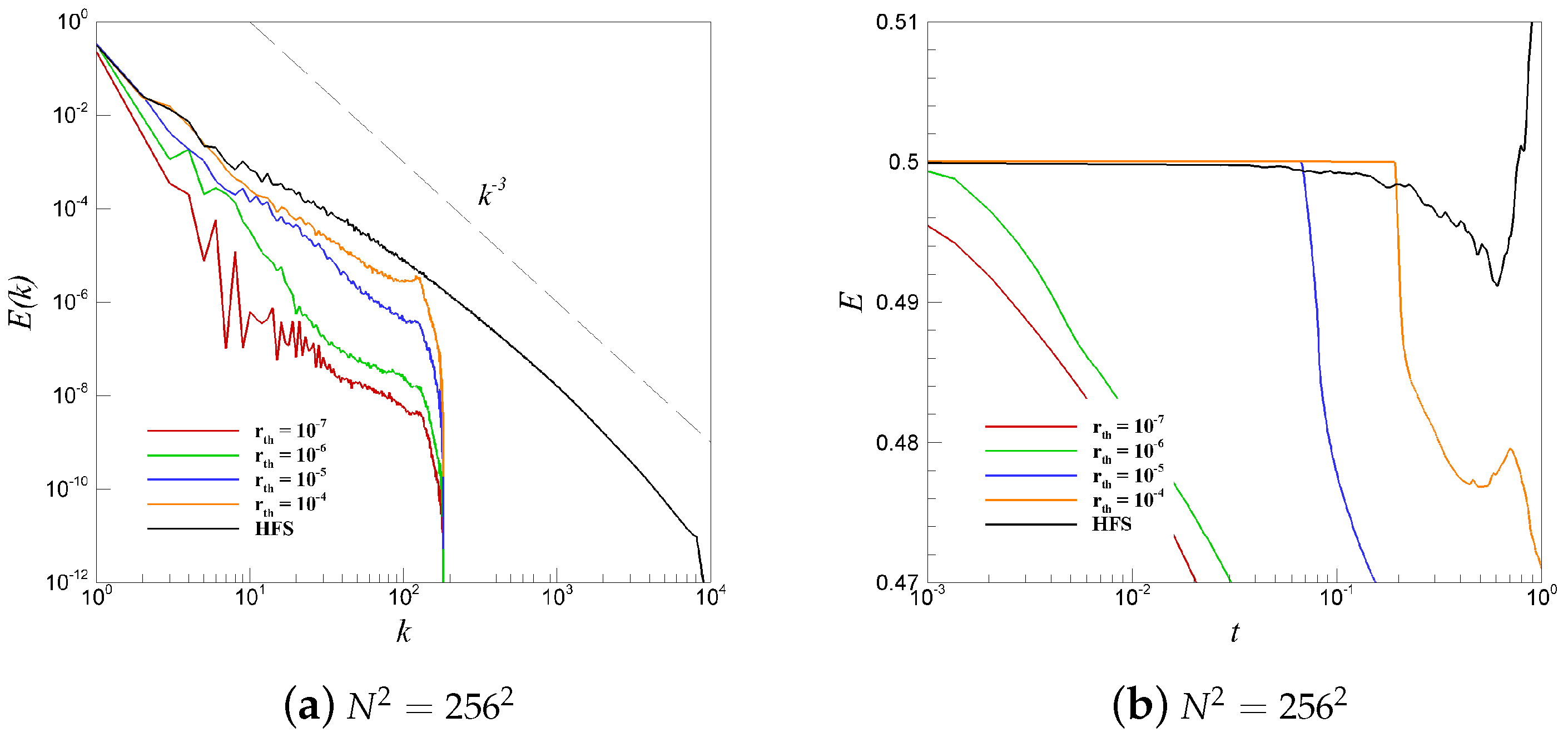
4. Results
4.1. Problem Definitions
4.2. MPI Methodology
4.3. Dual Shear Layer (DSL) Problem
4.4. Riemann Shock Interaction (RSI) Problem
5. Conclusions
- It can be stated with a certain degree of confidence that the central schemes implemented with relaxation filters perform in a comparable manner to the WENO-Riemann solver combinations tested here and that the standard and modified relaxation filters represent a viable alternative to the ILES framework for the test cases investigated here. Not only are they seen to capture small scale features and their nonlinear interactions accurately, they also appear to perform well when it comes to capturing shocks. However, WENO based ILES schemes are attractive, because they do not require any ad-hoc tuning or filtering parameters.
- We note a significant reduction in computational complexity due to the relative simplicity of the numerical algorithm for the relaxation filtering framework. In addition, the computational expense of this framework is seen to be much lower in comparison to the different WENO based ILES solvers. We find that the relaxation filtering (or explicit filtering) approach is approximately four times faster than the WENO reconstruction based ILES approaches.
- The free modeling parameters associated with the proposed numerical framework perform as expected with a changing transfer function shape corresponding to a modification of the dissipative behavior of the numerical method. This also allows us to actively control the dissipation in the numerical method through model free parameters and for the standard and shock relaxation filtering approach respectively.
- We have performed a thorough investigation of the WENO-Riemann solver based ILES schemes where it is verified that the AUSM Riemann solver is the least dissipative whereas the Rusanov solver is the most. The flux reconstruction scheme does have an effect on the dissipative behavior of the ILES methodology when it comes to the expressions for the calculation of the smoothness indicators (i.e., WENO-JS and WENO-Z), but for the dissipative Riemann solvers (Rusanov and HLL) only. The WENO-JS scheme is seen to be more dissipative than the WENO-Z scheme for these two solvers and more or less identical for the less dissipative AUSM and Roe solvers. It is seen that p does not have a major effect on the dissipative effect of the scheme for this investigation. However, less dissipative results are obtained for lower p values.
Acknowledgments
Author Contributions
Conflicts of Interest
References
- Titarev, V.; Toro, E. WENO schemes based on upwind and centred TVD fluxes. Comput. Fluids 2005, 34, 705–720. [Google Scholar] [CrossRef]
- Shu, C.W. High order weighted essentially nonoscillatory schemes for convection dominated problems. SIAM Rev. 2009, 51, 82–126. [Google Scholar] [CrossRef]
- Pirozzoli, S. Numerical methods for high-speed flows. Annu. Rev. Fluid Mech. 2011, 43, 163–194. [Google Scholar] [CrossRef]
- Martín, M.P.; Taylor, E.M.; Wu, M.; Weirs, V.G. A bandwidth-optimized WENO scheme for the effective direct numerical simulation of compressible turbulence. J. Comput. Phys. 2006, 220, 270–289. [Google Scholar] [CrossRef]
- Grinstein, F.F.; Margolin, L.G.; Rider, W.J. Implicit Large Eddy Simulation: Computing Turbulent Fluid Dynamics; Cambridge University Press: Cambridge, UK, 2007. [Google Scholar]
- Karaca, M.; Lardjane, N.; Fedioun, I. Implicit Large Eddy Simulation of high-speed non-reacting and reacting air/H2 jets with a 5th order WENO scheme. Comput. Fluids 2012, 62, 25–44. [Google Scholar] [CrossRef]
- Zhao, S.; Lardjane, N.; Fedioun, I. Comparison of improved finite-difference WENO schemes for the implicit large eddy simulation of turbulent non-reacting and reacting high-speed shear flows. Comput. Fluids 2014, 95, 74–87. [Google Scholar] [CrossRef]
- Hickel, S.; Egerer, C.P.; Larsson, J. Subgrid-scale modeling for implicit large eddy simulation of compressible flows and shock-turbulence interaction. Phys. Fluids 2014, 26, 106101. [Google Scholar] [CrossRef]
- Lund, T. The use of explicit filters in large eddy simulation. Comput. Math. Appl. 2003, 46, 603–616. [Google Scholar] [CrossRef]
- Visbal, M.R.; Gaitonde, D.V. On the use of higher-order finite-difference schemes on curvilinear and deforming meshes. J. Comput. Phys. 2002, 181, 155–185. [Google Scholar] [CrossRef]
- Visbal, M.R.; Rizzetta, D. Large-eddy simulation on curvilinear grids using compact differencing and filtering schemes. J. Fluids Eng. 2002, 124, 836–847. [Google Scholar] [CrossRef]
- Thomson, W. Hydrokinetic solutions and observations. Philos. Mag. Ser. 1871, 42, 362–377. [Google Scholar]
- Hwang, K.J.; Goldstein, M.; Kuznetsova, M.; Wang, Y.; Viñas, A.; Sibeck, D. The first in situ observation of Kelvin-Helmholtz waves at high-latitude magnetopause during strongly dawnward interplanetary magnetic field conditions. J. Geophys. Res. Space Phys. 2012, 117, A08233. [Google Scholar] [CrossRef]
- San, O.; Kara, K. Evaluation of Riemann flux solvers for WENO reconstruction schemes: Kelvin-Helmholtz instability. Comput. Fluids 2015, 117, 24–41. [Google Scholar] [CrossRef]
- Lax, P.D.; Liu, X.D. Solution of two-dimensional Riemann problems of gas dynamics by positive schemes. SIAM J. Sci. Comput. 1998, 19, 319–340. [Google Scholar] [CrossRef]
- San, O.; Kara, K. Numerical assessments of high-order accurate shock capturing schemes: Kelvin-Helmholtz type vortical structures in high-resolutions. Comput. Fluids 2014, 89, 254–276. [Google Scholar] [CrossRef]
- Li, Z.; Zhang, Y.; Chen, H. A low dissipation numerical scheme for Implicit Large Eddy Simulation. Comput. Fluids 2015, 117, 233–246. [Google Scholar] [CrossRef]
- Fu, L.; Hu, X.Y.; Adams, N.A. A family of high-order targeted ENO schemes for compressible-fluid simulations. J. Comput. Phys. 2016, 305, 333–359. [Google Scholar] [CrossRef]
- Drikakis, D.; Hahn, M.; Mosedale, A.; Thornber, B. Large eddy simulation using high-resolution and high-order methods. Philos. Trans. R. Soc. Lond. A Math. Phys. Eng. Sci. 2009, 367, 2985–2997. [Google Scholar] [CrossRef] [PubMed]
- Tsoutsanis, P.; Titarev, V.A.; Drikakis, D. WENO schemes on arbitrary mixed-element unstructured meshes in three space dimensions. J. Comput. Phys. 2011, 230, 1585–1601. [Google Scholar] [CrossRef]
- Margolin, L.; Rider, W.; Grinstein, F. Modeling turbulent flow with implicit LES. J. Turbul. 2006, 7, N15. [Google Scholar] [CrossRef]
- Zhu, H.; Fu, S.; Shi, L.; Wang, Z. Implicit large-eddy simulation for the high-order flux reconstruction method. AIAA J. 2016, 54, 2721–2733. [Google Scholar] [CrossRef]
- Shu, C.W.; Osher, S. Efficient implementation of essentially non-oscillatory shock-capturing schemes. J. Comput. Phys. 1988, 77, 439–471. [Google Scholar] [CrossRef]
- Shu, C.W.; Osher, S. Efficient implementation of essentially non-oscillatory shock-capturing schemes, II. J. Comput. Phys. 1989, 83, 32–78. [Google Scholar] [CrossRef]
- Zhu, J.; Qiu, J. A new fifth order finite difference WENO scheme for solving hyperbolic conservation laws. J. Comput. Phys. 2016, 318, 110–121. [Google Scholar] [CrossRef]
- Domaradzki, J.A.; Xiao, Z.; Smolarkiewicz, P.K. Effective eddy viscosities in implicit large eddy simulations of turbulent flows. Phys. Fluids 2003, 15, 3890–3893. [Google Scholar] [CrossRef]
- Qiu, J.; Shu, C.W. On the construction, comparison, and local characteristic decomposition for high-order central WENO schemes. J. Comput. Phys. 2002, 183, 187–209. [Google Scholar] [CrossRef]
- Jia, F.; Gao, Z.; Don, W.S. A spectral study on the dissipation and dispersion of the WENO schemes. J. Sci. Comput. 2015, 63, 49–77. [Google Scholar] [CrossRef]
- Tsoutsanis, P.; Antoniadis, A.F.; Drikakis, D. WENO schemes on arbitrary unstructured meshes for laminar, transitional and turbulent flows. J. Comput. Phys. 2014, 256, 254–276. [Google Scholar] [CrossRef]
- Hu, C.; Shu, C.W. Weighted essentially non-oscillatory schemes on triangular meshes. J. Comput. Phys. 1999, 150, 97–127. [Google Scholar] [CrossRef]
- Jiang, G.S.; Wu, C.c. A high-order WENO finite difference scheme for the equations of ideal magnetohydrodynamics. J. Comput. Phys. 1999, 150, 561–594. [Google Scholar] [CrossRef]
- Li, G.; Xing, Y. High order finite volume WENO schemes for the Euler equations under gravitational fields. J. Comput. Phys. 2016, 316, 145–163. [Google Scholar] [CrossRef]
- Latini, M.; Schilling, O.; Don, W.S. Effects of WENO flux reconstruction order and spatial resolution on reshocked two-dimensional Richtmyer-Meshkov instability. J. Comput. Phys. 2007, 221, 805–836. [Google Scholar] [CrossRef]
- Schilling, O.; Latini, M. High-order WENO simulations of three-dimensional reshocked Richtmyer-Meshkov instability to late times: dynamics, dependence on initial conditions, and comparisons to experimental data. Acta Math. Sci. 2010, 30, 595–620. [Google Scholar] [CrossRef]
- Thornber, B.; Mosedale, A.; Drikakis, D. On the implicit large eddy simulations of homogeneous decaying turbulence. J. Comput. Phys. 2007, 226, 1902–1929. [Google Scholar] [CrossRef]
- Boris, J.; Grinstein, F.; Oran, E.; Kolbe, R. New insights into large eddy simulation. Fluid Dyn. Res. 1992, 10, 199–228. [Google Scholar] [CrossRef]
- Hickel, S.; Adams, N.A.; Domaradzki, J.A. An adaptive local deconvolution method for implicit LES. J. Comput. Phys. 2006, 213, 413–436. [Google Scholar] [CrossRef]
- Watanabe, T.; Sakai, Y.; Nagata, K.; Ito, Y.; Hayase, T. Implicit large eddy simulation of a scalar mixing layer in fractal grid turbulence. Phys. Scr. 2016, 91, 074007. [Google Scholar] [CrossRef]
- Egerer, C.P.; Schmidt, S.J.; Hickel, S.; Adams, N.A. Efficient implicit LES method for the simulation of turbulent cavitating flows. J. Comput. Phys. 2016, 316, 453–469. [Google Scholar] [CrossRef]
- Domaradzki, J.; Adams, N. Direct modelling of subgrid scales of turbulence in large eddy simulations. J. Turbul. 2002, 3, N24. [Google Scholar] [CrossRef]
- Denaro, F.M. What does Finite Volume-based implicit filtering really resolve in Large-Eddy Simulations? J. Comput. Phys. 2011, 230, 3849–3883. [Google Scholar] [CrossRef]
- Ducros, F.; Ferrand, V.; Nicoud, F.; Weber, C.; Darracq, D.; Gacherieu, C.; Poinsot, T. Large-eddy simulation of the shock/turbulence interaction. J. Comput. Phys. 1999, 152, 517–549. [Google Scholar] [CrossRef]
- Mittal, R.; Moin, P. Suitability of upwind-biased finite difference schemes for large-eddy simulation of turbulent flows. AIAA J. 1997, 35, 1415–1417. [Google Scholar] [CrossRef]
- Mathew, J.; Lechner, R.; Foysi, H.; Sesterhenn, J.; Friedrich, R. An explicit filtering method for large eddy simulation of compressible flows. Phys. Fluids 2003, 15, 2279–2289. [Google Scholar] [CrossRef]
- Mathew, J.; Foysi, H.; Friedrich, R. A new approach to LES based on explicit filtering. Int. J. Heat Fluid Flow 2006, 27, 594–602. [Google Scholar] [CrossRef]
- Kremer, F.; Bogey, C. Large-eddy simulation of turbulent channel flow using relaxation filtering: Resolution requirement and Reynolds number effects. Comput. Fluids 2015, 116, 17–28. [Google Scholar] [CrossRef]
- Fauconnier, D.; Bogey, C.; Dick, E. On the performance of relaxation filtering for large-eddy simulation. J. Turbul. 2013, 14, 22–49. [Google Scholar] [CrossRef]
- Bull, J.R.; Jameson, A. Explicit filtering and exact reconstruction of the sub-filter stresses in large eddy simulation. J. Comput. Phys. 2016, 306, 117–136. [Google Scholar] [CrossRef]
- Bogey, C.; Bailly, C. A family of low dispersive and low dissipative explicit schemes for flow and noise computations. J. Comput. Phys. 2004, 194, 194–214. [Google Scholar] [CrossRef]
- Berland, J.; Lafon, P.; Daude, F.; Crouzet, F.; Bogey, C.; Bailly, C. Filter shape dependence and effective scale separation in large-eddy simulations based on relaxation filtering. Comput. Fluids 2011, 47, 65–74. [Google Scholar] [CrossRef]
- Bose, S.T.; Moin, P.; You, D. Grid-independent large-eddy simulation using explicit filtering. Phys. Fluids 2010, 22, 105103. [Google Scholar] [CrossRef]
- Gropp, W.; Lusk, E.; Skjellum, A. Using MPI: Portable Parallel Programming with the Message-Passing Interface; MIT Press: Cambridge, MA, USA, 1999; Volume 1. [Google Scholar]
- Laney, C.B. Computational Gasdynamics; Cambridge University Press: Cambridge, UK, 1998. [Google Scholar]
- Pletcher, R.H.; Tannehill, J.C.; Anderson, D. Computational Fluid Mechanics and Heat Transfer; CRC Press: New York, NY, USA, 2012. [Google Scholar]
- Van Der Burg, J.; Kuerten, J.G.M.; Zandbergen, P.J. Improved shock-capturing of Jameson’s scheme for the Euler equations. Int. J. Numer. Methods Fluids 1992, 15, 649–671. [Google Scholar] [CrossRef]
- Parent, B. Positivity-preserving high-resolution schemes for systems of conservation laws. J. Comput. Phys. 2012, 231, 173–189. [Google Scholar] [CrossRef]
- Gottlieb, S.; Shu, C.W. Total variation diminishing Runge-Kutta schemes. Math. Comput. Am. Math. Soc. 1998, 67, 73–85. [Google Scholar] [CrossRef]
- Liu, X.D.; Osher, S.; Chan, T. Weighted essentially non-oscillatory schemes. J. Comput. Phys. 1994, 115, 200–212. [Google Scholar] [CrossRef]
- Jiang, G.S.; Shu, C.W. Efficient implementation of weighted ENO schemes. J. Comput. Phys. 1996, 126, 202–228. [Google Scholar] [CrossRef]
- Borges, R.; Carmona, M.; Costa, B.; Don, W.S. An improved weighted essentially non-oscillatory scheme for hyperbolic conservation laws. J. Comput. Phys. 2008, 227, 3191–3211. [Google Scholar] [CrossRef]
- Henrick, A.K.; Aslam, T.D.; Powers, J.M. Mapped weighted essentially non-oscillatory schemes: achieving optimal order near critical points. J. Comput. Phys. 2005, 207, 542–567. [Google Scholar] [CrossRef]
- Ha, Y.; Kim, C.H.; Lee, Y.J.; Yoon, J. An improved weighted essentially non-oscillatory scheme with a new smoothness indicator. J. Comput. Phys. 2013, 232, 68–86. [Google Scholar] [CrossRef]
- Kim, C.H.; Ha, Y.; Yoon, J. Modified non-linear weights for fifth-order weighted essentially non-oscillatory schemes. J. Sci. Comput. 2016, 67, 299–323. [Google Scholar] [CrossRef]
- Huang, C. WENO scheme with new smoothness indicator for Hamilton-Jacobi equation. Appl. Math. Comput. 2016, 290, 21–32. [Google Scholar] [CrossRef]
- Balsara, D.S.; Shu, C.W. Monotonicity preserving weighted essentially non-oscillatory schemes with increasingly high order of accuracy. J. Comput. Phys. 2000, 160, 405–452. [Google Scholar] [CrossRef]
- Balsara, D.S.; Garain, S.; Shu, C.W. An efficient class of WENO schemes with adaptive order. J. Comput. Phys. 2016, 326, 780–804. [Google Scholar] [CrossRef]
- Aràndiga, F.; Baeza, A.; Belda, A.; Mulet, P. Analysis of WENO schemes for full and global accuracy. SIAM J. Numer. Anal. 2011, 49, 893–915. [Google Scholar] [CrossRef]
- Rusanov, V. The calculation of the interaction of non-stationary shock waves with barriers. Zhurnal Vychislitel’noi Matematiki i Matematicheskoi Fiziki 1961, 1, 267–279. [Google Scholar]
- Godunov, S.K. A difference method for numerical calculation of discontinuous solutions of the equations of hydrodynamics. Matematicheskii Sbornik 1959, 89, 271–306. [Google Scholar]
- Roe, P.L. Approximate Riemann solvers, parameter vectors, and difference schemes. J. Comput. Phys. 1981, 43, 357–372. [Google Scholar] [CrossRef]
- Li, X.S.; Li, X.L. All-speed Roe scheme for the large eddy simulation of homogeneous decaying turbulence. Int. J. Comput. Fluid Dyn. 2016, 30, 69–78. [Google Scholar] [CrossRef]
- Harten, A. High resolution schemes for hyperbolic conservation laws. J. Comput. Phys. 1983, 49, 357–393. [Google Scholar] [CrossRef]
- Harten, A.; Lax, P.D.; Van Leer, B. On upstream differencing and Godunov-type schemes for hyperbolic conservation laws. In Upwind and High-Resolution Schemes; Springer: Berlin/Heildelberg, Germany, 1997; pp. 53–79. [Google Scholar]
- Toro, E.F. Riemann Solvers and Numerical Methods for Fluid Dynamics: A Practical Introduction; Springer: Berlin/Heildelberg, Germany, 2013. [Google Scholar]
- Davis, S. Simplified second-order Godunov-type methods. SIAM J. Sci. Stat. Comput. 1988, 9, 445–473. [Google Scholar] [CrossRef]
- Trangenstein, J.A. Numerical Solution of Hyperbolic Partial Differential Equations; Cambridge University Press: Cambridge, UK, 2009. [Google Scholar]
- Liou, M.S.; Steffen, C.J. A new flux splitting scheme. J. Comput. Phys. 1993, 107, 23–39. [Google Scholar] [CrossRef]
- Kundu, A.; De, S.; Thangadurai, M.; Dora, C.; Das, D. Numerical visualization of shock tube-generated vortex–wall interaction using a fifth-order upwind scheme. J. Vis. 2016, 19, 667–678. [Google Scholar] [CrossRef]
- Edwards, J.R.; Liou, M.S. Low-diffusion flux-splitting methods for flows at all speeds. AIAA J. 1998, 36, 1610–1617. [Google Scholar] [CrossRef]
- Liou, M.S. A sequel to AUSM: AUSM+. J. Comput. Phys. 1996, 129, 364–382. [Google Scholar] [CrossRef]
- Wada, Y.; Liou, M.S. An accurate and robust flux splitting scheme for shock and contact discontinuities. SIAM J. Sci. Comput. 1997, 18, 633–657. [Google Scholar] [CrossRef]
- Kim, K.H.; Lee, J.H.; Rho, O.H. An improvement of AUSM schemes by introducing the pressure-based weight functions. Comput. Fluids 1998, 27, 311–346. [Google Scholar]
- Kim, K.H.; Kim, C.; Rho, O.H. Methods for the accurate computations of hypersonic flows: I. AUSMPW+ scheme. J. Comput. Phys. 2001, 174, 38–80. [Google Scholar] [CrossRef]
- Liou, M.S. A sequel to AUSM, Part II: AUSM+-up for all speeds. J. Comput. Phys. 2006, 214, 137–170. [Google Scholar] [CrossRef]
- Hyman, J.M.; Knapp, R.J.; Scovel, J.C. High order finite volume approximations of differential operators on nonuniform grids. Phys. D Nonlinear Phenom. 1992, 60, 112–138. [Google Scholar] [CrossRef]
- Ricot, D.; Marié, S.; Sagaut, P.; Bailly, C. Lattice Boltzmann method with selective viscosity filter. J. Comput. Phys. 2009, 228, 4478–4490. [Google Scholar] [CrossRef]
- San, O. Analysis of low-pass filters for approximate deconvolution closure modelling in one-dimensional decaying Burgers turbulence. Int. J. Comput. Fluid Dyn. 2016, 30, 20–37. [Google Scholar] [CrossRef]
- Jahne, B. Digital Image Processing: Concepts, Algorithms, and Scientific Aplications; Springer: Berlin/Heildelberg, Germany, 1997. [Google Scholar]
- Bogey, C.; De Cacqueray, N.; Bailly, C. A shock-capturing methodology based on adaptative spatial filtering for high-order non-linear computations. J. Comput. Phys. 2009, 228, 1447–1465. [Google Scholar] [CrossRef]
- Kraichnan, R.H. Inertial ranges in two-dimensional turbulence. Phys. Fluids 1967, 10, 1417–1423. [Google Scholar] [CrossRef]
- Batchelor, G. Computation of the energy spectrum in homogeneous two-dimensional turbulence. Phys. Fluids 1969, 12, 233–239. [Google Scholar] [CrossRef]
- Leith, C. Atmospheric predictability and two-dimensional turbulence. J. Atmos. Sci. 1971, 28, 145–161. [Google Scholar] [CrossRef]
- Gropp, W. Tutorial on MPI: The Message-Passing Interface; Mathematics and Computer Science Division Argonne National Laboratory: Argonne, IL, USA, 2009. [Google Scholar]
- Paolucci, S.; Zikoski, Z.J.; Grenga, T. WAMR: An adaptive wavelet method for the simulation of compressible reacting flow. Part II. The parallel algorithm. J. Comput. Phys. 2014, 272, 842–864. [Google Scholar] [CrossRef]
- Schilling, O.; Latini, M.; Don, W.S. Physics of reshock and mixing in single-mode Richtmyer-Meshkov instability. Phys. Rev. E 2007, 76, 026319. [Google Scholar] [CrossRef] [PubMed]
- Kida, S.; Murakami, Y.; Ohkitani, K.; Yamada, M. Energy and flatness spectra in a forced turbulence. J. Phys. Soc. Jpn. 1990, 59, 4323–4330. [Google Scholar] [CrossRef]
- Press, W.H.; Teukolsky, S.A.; Vetterling, W.T.; Flannery, B.P. Numerical Recipes in FORTRAN; Cambridge University Press: Cambridge, UK, 1992. [Google Scholar]
- Shu, C.W.; Don, W.S.; Gottlieb, D.; Schilling, O.; Jameson, L. Numerical convergence study of nearly incompressible, inviscid Taylor-Green vortex flow. J. Sci. Comput. 2005, 24, 1–27. [Google Scholar] [CrossRef]
- San, O.; Staples, A.E.; Iliescu, T. A posteriori analysis of low-pass spatial filters for approximate deconvolution large eddy simulations of homogeneous incompressible flows. Int. J. Comput. Fluid Dyn. 2015, 29, 40–66. [Google Scholar] [CrossRef]



































| CPU Time (in Hours) | |||
|---|---|---|---|
| Solver | |||
| Rusanov | 4.05 × 10 | 2.02 × 10 | 0.90 |
| Roe | 5.29 × 10 | 6.14 × 10 | 1.39 |
| HLL | 6.75 × 10 | 5.57 × 10 | 1.02 |
| AUSM | 3.68 × 10 | 7.79 × 10 | 1.15 |
| Relaxation filtering (standard) | 1.73 × 10 | 2.18 × 10 | 0.32 |
| Relaxation filtering (modified) | 2.21 × 10 | 2.88 × 10 | 0.38 |
| Shock filtering | 2.28 × 10 | 1.86 × 10 | 0.35 |
© 2017 by the authors. Licensee MDPI, Basel, Switzerland. This article is an open access article distributed under the terms and conditions of the Creative Commons Attribution (CC BY) license (http://creativecommons.org/licenses/by/4.0/).
Share and Cite
Maulik, R.; San, O. Resolution and Energy Dissipation Characteristics of Implicit LES and Explicit Filtering Models for Compressible Turbulence. Fluids 2017, 2, 14. https://doi.org/10.3390/fluids2020014
Maulik R, San O. Resolution and Energy Dissipation Characteristics of Implicit LES and Explicit Filtering Models for Compressible Turbulence. Fluids. 2017; 2(2):14. https://doi.org/10.3390/fluids2020014
Chicago/Turabian StyleMaulik, Romit, and Omer San. 2017. "Resolution and Energy Dissipation Characteristics of Implicit LES and Explicit Filtering Models for Compressible Turbulence" Fluids 2, no. 2: 14. https://doi.org/10.3390/fluids2020014
APA StyleMaulik, R., & San, O. (2017). Resolution and Energy Dissipation Characteristics of Implicit LES and Explicit Filtering Models for Compressible Turbulence. Fluids, 2(2), 14. https://doi.org/10.3390/fluids2020014

