Characteristics of a Lipid Hydrogel and Bigel as Matrices for Ascorbic Acid Stabilization
Abstract
1. Introduction
2. Results and Discussion
2.1. Visual Appearance, Perception, and Drug Content
2.2. Rheological Behaviour
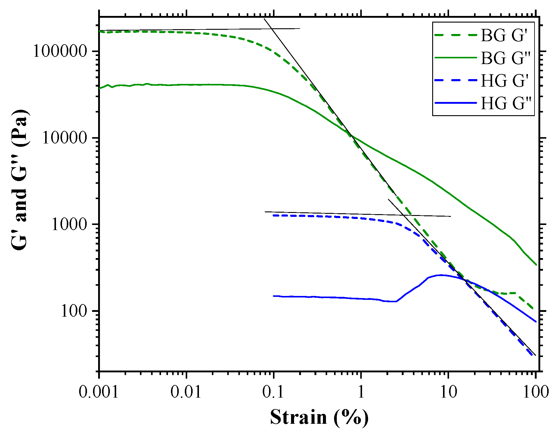
2.2.1. Strain Sweep Assay
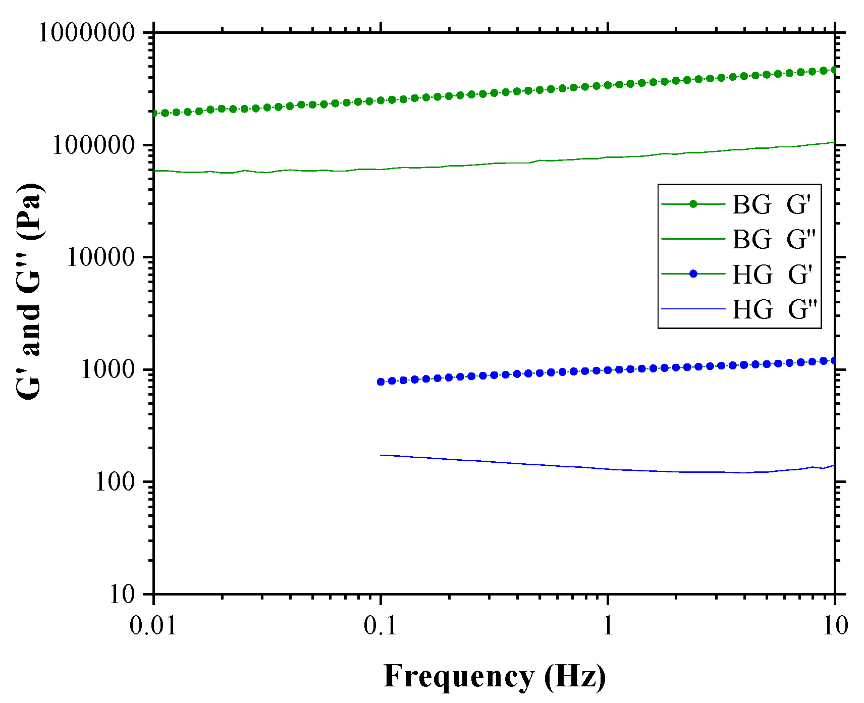
2.2.2. Frequency Sweep Assay
2.3. Texture Analysis
2.4. Small and Wide-Angle X-ray Scattering (SAXS/WAXS)
2.5. Thermal and Light Stability of Ascorbic Acid
2.5.1. Temperature Stability
2.5.2. Photostability Study
3. Conclusions
4. Materials and Methods
4.1. Materials
4.2. Gel Preparation
4.2.1. Hydrogel
4.2.2. Bigel
4.3. Gel Characterization
4.3.1. Rheology
4.3.2. Texture Analysis
4.3.3. Small- and Wide-Angle X-ray Scattering (SAXS/WAXS)
4.3.4. Ascorbic Acid Stability Studies
Thermal Stability
Light Radiation Stability
4.3.5. Statistical Analysis
Author Contributions
Funding
Institutional Review Board Statement
Informed Consent Statement
Data Availability Statement
Acknowledgments
Conflicts of Interest
Appendix A. Temperature Stability
| Material | T0 | 1 Month | 3 Months | |||||
|---|---|---|---|---|---|---|---|---|
| 8 °C | 25 °C | 40 °C | 8 °C | 25 °C | 40 °C | 8 °C | 25 °C | |
| HG | 4.13 ± 0.03 | 4.13 ± 0.03 | 4.07 ± 0.01 | 4.02 ± 0.03 | 3.59 ± 0.00 | 2.32 ± 0.00 | 4.02 ± 0.00 | 2.26 ± 0.01 |
| BG | 3.85 ± 0.08 | 3.85 ± 0.08 | 3.95 ± 0.08 | 3.83 ± 0.04 | 3.12 ± 0.02 | 2.19 ± 0.09 | 3.25 ± 0.05 | 1.05 ± 0.04 |
| 4% AA sol. | 4.07 ± 0.03 | 4.07 ± 0.03 | 4.07 ± 0.03 | 3.81 ± 0.02 | 3.17 ± 0.00 | 1.36 ± 0.00 | 3.58 ± 0.03 | 1.56 ± 0.00 |
| Temperature | Time | Material Comparison | p-Value | Significant Differences |
|---|---|---|---|---|
| 8 °C | 1 month | HG—BG | 0.03 | Yes |
| HG—4% water sol. | 1 × 10−4 | Yes | ||
| 3 months | HG—BG | 6 × 10−4 | Yes | |
| BG—4% water sol. | 0.12 | No | ||
| 25 °C | 1 month | HG—BG | 7.5 × 10−7 | Yes |
| BG—4% water sol. | 6 × 10−5 | Yes | ||
| 3 months | HG—BG | 2.4 × 10−9 | Yes | |
| BG—4% water sol. | 5 × 10−7 | Yes | ||
| 40 °C | 1 month | HG—BG | 0.22 | No |
| BG—4% water sol. | 9 × 10−7 | Yes |
Appendix B. Photostability Study
| Material | T0 | 8 h | 22 h |
|---|---|---|---|
| HG | 4.12 ± 0.03 | 4.05 ± 0.01 | 3.67 ± 0.03 |
| BG | 3.85 ± 0.08 | 3.92 ± 0.02 | 3.76 ± 0.10 |
| 4% AA sol. | 4.07 ± 0.03 | 3.88 ± 0.02 | 3.64 ± 0.05 |
| Time | Material Comparison | p-Value | Significant Differences |
|---|---|---|---|
| 8 h | HG—BG | 6.2 × 10−6 | Yes |
| HG—4% water sol. | 4.5 × 10−5 | Yes | |
| 22 h | HG—BG | 5.7 × 10−4 | Yes |
| HG—4% water sol. | 0.72 | No |
References
- Pullar, J.M.; Carr, A.C.; Vissers, M.C.M. The Roles of Vitamin C in Skin Health. Nutrients 2017, 9, 866. [Google Scholar] [CrossRef] [PubMed]
- Abdullah, M.; Jamil, R.T.; Attia, F.N. Vitamin C (Ascorbic Acid). In StatPearls; StatPearls Publishing: Treasure Island, FL, USA, 2023. [Google Scholar]
- Michalak, M.; Pierzak, M.; Kręcisz, B.; Suliga, E. Bioactive Compounds for Skin Health: A Review. Nutrients 2021, 13, 203. [Google Scholar] [CrossRef]
- Chambial, S.; Dwivedi, S.; Shukla, K.K.; John, P.J.; Sharma, P. Vitamin C in Disease Prevention and Cure: An Overview. Indian J. Clin. Biochem. 2013, 28, 314–328. [Google Scholar] [CrossRef] [PubMed]
- Wang, K.; Jiang, H.; Li, W.; Qiang, M.; Dong, T.; Li, H. Role of Vitamin C in Skin Diseases. Front. Physiol. 2018, 9, 866. [Google Scholar] [CrossRef] [PubMed]
- Padayatty, S.J.; Levine, M. Vitamin C Physiology: The Known and the Unknown and Goldilocks. Oral Dis. 2016, 22, 463–493. [Google Scholar] [CrossRef]
- Gallarate, M.; Carlotti, M.E.; Trotta, M.; Bovo, S. On the Stability of Ascorbic Acid in Emulsified Systems for Topical and Cosmetic Use. Int. J. Pharm. 1999, 188, 233–241. [Google Scholar] [CrossRef]
- Mosca, M.; Ceglie, A.; Ambrosone, L. Biocompatible Water-in-Oil Emulsion as a Model to Study Ascorbic Acid Effect on Lipid Oxidation. J. Phys. Chem. B 2008, 112, 4635–4641. [Google Scholar] [CrossRef]
- Mehmood, T.; Ahmed, A.; Ahmad, Z.; Javed, M.S.; Sharif, H.R.; Shah, F.-H.; Imran, M.; Abdelgawad, M.A.; Murtaza, S. Physicochemical Characteristics of Mixed Surfactant-Stabilized l-Ascorbic Acid Nanoemulsions during Storage. Langmuir 2022, 38, 9500–9506. [Google Scholar] [CrossRef]
- Serrano, G.; Almudéver, P.; Serrano, J.-M.; Milara, J.; Torrens, A.; Expósito, I.; Cortijo, J. Phosphatidylcholine Liposomes as Carriers to Improve Topical Ascorbic Acid Treatment of Skin Disorders. Clin. Cosmet. Investig. Dermatol. 2015, 8, 591–599. [Google Scholar] [CrossRef]
- Shabani Dargah, M.; Hadjizadeh, A. Improvement of Ascorbic Acid Delivery into Human Skin via Hyaluronic Acid-Coated Niosomes. J. Microencapsul. 2022, 39, 552–562. [Google Scholar] [CrossRef]
- Varshosaz, J.; Taymouri, S.; Pardakhty, A.; Asadi-Shekaari, M.; Babaee, A. Niosomes of Ascorbic Acid and α-Tocopherol in the Cerebral Ischemia-Reperfusion Model in Male Rats. BioMed Res. Int. 2014, 2014, 816103. [Google Scholar] [CrossRef] [PubMed]
- Xu, T.-H.; Chen, J.Z.S.; Li, Y.-H.; Wu, Y.; Luo, Y.-J.; Gao, X.-H.; Chen, H.-D. Split-Face Study of Topical 23.8% L-Ascorbic Acid Serum in Treating Photo-Aged Skin. J. Drugs Dermatol. 2012, 11, 51–56. [Google Scholar] [PubMed]
- Yang, J.-H.; Lee, S.; Han, Y.-S.; Park, K.-C.; Choy, J.-H. Efficient Transdermal Penetration and Improved Stability of L-Ascorbic Acid Encapsulated in an Inorganic Nanocapsule. Bull. Korean Chem. Soc. 2003, 24, 499–503. [Google Scholar] [CrossRef]
- Mottola, M.; Vico, R.V.; Villanueva, M.E.; Fanani, M.L. Alkyl Esters of L-Ascorbic Acid: Stability, Surface Behaviour and Interaction with Phospholipid Monolayers. J. Colloid Interface Sci. 2015, 457, 232–242. [Google Scholar] [CrossRef]
- Vasques, L.I.; Vendruscolo, C.W.; Leonardi, G.R. Topical Application of Ascorbic Acid and Its Derivatives: A Review Considering Clinical Trials. Curr. Med. Chem. 2022, 30, 3272–3286. [Google Scholar] [CrossRef]
- Talló Domínguez, K.; López Serrano, O.; Moner del Moral, V. Gel Lipídico Nanoestructurado, Procedimiento de Preparación y Uso. 2020. Available online: https://digital.csic.es/handle/10261/242164 (accessed on 16 May 2023).
- Talló, K.; Pons, R.; González, C.; López, O. Monitoring the Formation of a Colloidal Lipid Gel at the Nanoscale: Vesicle Aggregation Driven by a Temperature-Induced Mechanism. J. Mater. Chem. B 2021, 9, 7472–7481. [Google Scholar] [CrossRef]
- Talló, K.; Pons, R.; López, O.; Bosch, M.; Bosch, M.; Cocera, M. Preparation and Characterization of a Supramolecular Hydrogel Made of Phospholipids and Oleic Acid with a High Water Content. J. Mater. Chem. B 2020, 8, 161–167. [Google Scholar] [CrossRef]
- Talló, K.; Vílchez, S.; Pons, R.; López, O. Gels Formed from the Interaction of Lipid Vesicles: Influence of Charge in Their Structural and Rheological Properties. J. Mol. Liq. 2021, 322, 114957. [Google Scholar] [CrossRef]
- Loza-Rodríguez, N.; Millán-Sánchez, A.; López, O. A Biocompatible Lipid-Based Bigel for Topical Applications. Eur. J. Pharm. Biopharm. 2023, 190, 24–34. [Google Scholar] [CrossRef]
- Zhu, Q.; Gao, J.; Han, L.; Han, K.; Wei, W.; Wu, T.; Li, J.; Zhang, M. Development and Characterization of Novel Bigels Based on Monoglyceride-Beeswax Oleogel and High Acyl Gellan Gum Hydrogel for Lycopene Delivery. Food Chem. 2021, 365, 130419. [Google Scholar] [CrossRef]
- Shakeel, A.; Lupi, F.R.; Gabriele, D.; Baldino, N.; De Cindio, B. Bigels: A Unique Class of Materials for Drug Delivery Applications. Soft Mater. 2018, 16, 77–93. [Google Scholar] [CrossRef]
- Singh, V.K.; Qureshi, D.; Nayak, S.K.; Pal, K. Bigels. In Polymeric Gels; Elsevier: Amsterdam, The Netherlands, 2018; pp. 265–282. [Google Scholar]
- Shakeel, A.; Farooq, U.; Iqbal, T.; Yasin, S.; Lupi, F.R.; Gabriele, D. Key Characteristics and Modelling of Bigels Systems: A Review. Mater. Sci. Eng. C 2019, 97, 932–953. [Google Scholar] [CrossRef] [PubMed]
- Martín-Illana, A.; Notario-Pérez, F.; Cazorla-Luna, R.; Ruiz-Caro, R.; Bonferoni, M.C.; Tamayo, A.; Veiga, M.D. Bigels as Drug Delivery Systems: From Their Components to Their Applications. Drug Discov. Today 2022, 27, 1008–1026. [Google Scholar] [CrossRef] [PubMed]
- Singhai, M.; Bhattacharya, S. Bigels; A Charismatic Drug Delivery Formulation. Drug Metab. Bioanal. Lett. 2023, 16, 27–49. [Google Scholar] [CrossRef]
- Mekala, S.; Silva, E.K.; Saldaña, M.D.A. Ultrasound-Assisted Production of Emulsion-Filled Pectin Hydrogels to Encapsulate Vitamin Complex: Impact of the Addition of Xylooligosaccharides, Ascorbic Acid and Supercritical CO2 Drying. Innov. Food Sci. Emerg. Technol. 2022, 76, 102907. [Google Scholar] [CrossRef]
- Lupi, F.R.; Gentile, L.; Gabriele, D.; Mazzulla, S.; Baldino, N.; de Cindio, B. Olive Oil and Hyperthermal Water Bigels for Cosmetic Uses. J. Colloid Interface Sci. 2015, 459, 70–78. [Google Scholar] [CrossRef]
- Quilaqueo, M.; Iturra, N.; Contardo, I.; Millao, S.; Morales, E.; Rubilar, M. Food-Grade Bigels with Potential to Replace Saturated and Trans Fats in Cookies. Gels 2022, 8, 445. [Google Scholar] [CrossRef]
- Yin, X.; Chen, K.; Cheng, H.; Chen, X.; Feng, S.; Song, Y.; Liang, L. Chemical Stability of Ascorbic Acid Integrated into Commercial Products: A Review on Bioactivity and Delivery Technology. Antioxidants 2022, 11, 153. [Google Scholar] [CrossRef]
- Vergara, D.; Loza-Rodríguez, N.; Acevedo, F.; Bustamante, M.; López, O. Povidone-Iodine Loaded Bigels: Characterization and Effect as a Hand Antiseptic Agent. J. Drug Deliv. Sci. Technol. 2022, 72, 103427. [Google Scholar] [CrossRef]
- Mousavi, S.N.; Hosseini, E.; Seyed Dorraji, M.S.; Sheikh Mohammadi, S.; Pourmansouri, Z.; Rasoulifard, M.H.; Doosti, M.; Chiti, H. Synthesis of a Green Bigel Using Cottonseed Oil/Cannabis Oil/Alginate/Ferula Gum for Quercetin Release: Synergistic Effects for Treating Infertility in Rats. Int. J. Biol. Macromol. 2021, 177, 157–165. [Google Scholar] [CrossRef]
- Golonka, I.; Kizior, B.; Szyja, B.M.; Damek, M.P.; Musiał, W. Assessment of the Influence of the Selected Range of Visible Light Radiation on the Durability of the Gel with Ascorbic Acid and Its Derivative. Int. J. Mol. Sci. 2022, 23, 8759. [Google Scholar] [CrossRef] [PubMed]
- Hyun, K.; Kim, S.H.; Ahn, K.H.; Lee, S.J. Large Amplitude Oscillatory Shear as a Way to Classify the Complex Fluids. J. Non-Newton. Fluid Mech. 2002, 107, 51–65. [Google Scholar] [CrossRef]
- Ong, E.; O’Byrne, S.; Liow, J.-L. Yield Stress Measurement of a Thixotropic Colloid. Rheol. Acta 2019, 58, 383–401. [Google Scholar] [CrossRef]
- Mahendar, C.; Kumar, Y.; Dixit, M.K.; Dubey, M. An Li+-Enriched Co2+-Induced Metallogel: A Study on Thixotropic Rheological Behaviour and Conductance. Soft Matter 2020, 16, 3436–3442. [Google Scholar] [CrossRef] [PubMed]
- Fan, X.; Xu, H.; Zhang, Q.; Xiao, D.; Song, Y.; Zheng, Q. Insight into the Weak Strain Overshoot of Carbon Black Filled Natural Rubber. Polymer 2019, 167, 109–117. [Google Scholar] [CrossRef]
- Chaux-Gutiérrez, A.M.; Pérez-Monterroza, E.J.; Mauro, M.A. Rheological and Structural Characterization of Gels from Albumin and Low Methoxyl Amidated Pectin Mixtures. Food Hydrocoll. 2019, 92, 60–68. [Google Scholar] [CrossRef]
- Patel, A.R.; Rajarethinem, P.S.; Grȩdowska, A.; Turhan, O.; Lesaffer, A.; De Vos, W.H.; Van De Walle, D.; Dewettinck, K. Edible Applications of Shellac Oleogels: Spreads, Chocolate Paste and Cakes. Food Funct. 2014, 5, 645–652. [Google Scholar] [CrossRef]
- Habibi, A.; Kasapis, S.; Truong, T. Effect of Hydrogel Particle Size Embedded into Oleogels on the Physico-Functional Properties of Hydrogel-in-Oleogel (Bigels). LWT 2022, 163, 113501. [Google Scholar] [CrossRef]
- Shakeel, A.; Farooq, U.; Gabriele, D.; Marangoni, A.G.; Lupi, F.R. Bigels and Multi-Component Organogels: An Overview from Rheological Perspective. Food Hydrocoll. 2021, 111, 106190. [Google Scholar] [CrossRef]
- Espert, M.; Hernández, M.J.; Sanz, T.; Salvador, A. Reduction of Saturated Fat in Chocolate by Using Sunflower Oil-Hydroxypropyl Methylcellulose Based Oleogels. Food Hydrocoll. 2021, 120, 106917. [Google Scholar] [CrossRef]
- Meng, Z.; Qi, K.; Guo, Y.; Wang, Y.; Liu, Y. Effects of Thickening Agents on the Formation and Properties of Edible Oleogels Based on Hydroxypropyl Methyl Cellulose. Food Chem. 2018, 246, 137–149. [Google Scholar] [CrossRef]
- Tai, A.; Bianchini, R.; Jachowicz, J. Texture Analysis of Cosmetic/Pharmaceutical Raw Materials and Formulations. Int. J. Cosmet. Sci. 2014, 36, 291–304. [Google Scholar] [CrossRef] [PubMed]
- Estanqueiro, M.; Amaral, M.H.; Sousa Lobo, J.M. Comparison between Sensory and Instrumental Characterization of Topical Formulations: Impact of Thickening Agents. Int. J. Cosmet. Sci. 2016, 38, 389–398. [Google Scholar] [CrossRef] [PubMed]
- Martins, A.J.; Cerqueira, M.A.; Fasolin, L.H.; Cunha, R.L.; Vicente, A.A. Beeswax Organogels: Influence of Gelator Concentration and Oil Type in the Gelation Process. Food Res. Int. 2016, 84, 170–179. [Google Scholar] [CrossRef]
- Small, D.M. Lateral Chain Packing in Lipids and Membranes. J. Lipid Res. 1984, 25, 1490–1500. [Google Scholar] [CrossRef]
- Carretti, E.; Mazzini, V.; Fratini, E.; Ambrosi, M.; Dei, L.; Baglioni, P.; Nostro, P.L. Structure and Rheology of Gel Nanostructures from a Vitamin C-Based Surfactant. Phys. Chem. Chem. Phys. 2016, 18, 8865–8873. [Google Scholar] [CrossRef]
- Uluata, S.; McClements, D.J.; Decker, E.A. How the Multiple Antioxidant Properties of Ascorbic Acid Affect Lipid Oxidation in Oil-in-Water Emulsions. J. Agric. Food Chem. 2015, 63, 1819–1824. [Google Scholar] [CrossRef]
- Noon, J.; Mills, T.B.; Norton, I.T. The Use of Natural Antioxidants to Combat Lipid Oxidation in O/W Emulsions. J. Food Eng. 2020, 281, 110006. [Google Scholar] [CrossRef]
- Chen, P.C.; Huang, J.-W.; Pang, J. An Investigation of Optimum NLC-Sunscreen Formulation Using Taguchi Analysis. J. Nanomater. 2013, 2013, 463732. [Google Scholar] [CrossRef]
- Borello, E.; Domenici, V. Determination of Pigments in Virgin and Extra-Virgin Olive Oils: A Comparison between Two Near UV-Vis Spectroscopic Techniques. Foods 2019, 8, 18. [Google Scholar] [CrossRef]
- Bragg, W.L. The Diffraction of Short Electromagnetic Waves by a Crystal. Proc. Camb. Philos. Soc. 1913, 17, 43–57. [Google Scholar]
- Generalitat de Catalunya. Atlas de Radiació Solar A Catalunya, 1st ed.; Generalitat de Catalunya: Barcelona, Spain, 2000.
- Fernández, E.; Rodríguez, G.; Cócera, M.; Barbosa-Barros, L.; Alonso, C.; López-Iglesias, C.; Jawhari, T.; De La Maza, A.; López, O. Advanced Lipid Systems Containing β-Carotene: Stability under UV-Vis Radiation and Application on Porcine Skin in Vitro. Phys. Chem. Chem. Phys. 2015, 17, 18710–18721. [Google Scholar] [CrossRef] [PubMed]







| Material | Hydrogel 10% AA | Hydrogel 4% AA | Bigel 4% AA |
|---|---|---|---|
| % w/w | % w/w | % w/w | |
| Water | 85 | 91 | 34 |
| HSPC | 4.8 | 4.8 | 1.9 |
| DOTAP | 0.2 | 0.2 | 0.1 |
| Ascorbic Acid | 10 | 4 | 4 |
| OO | - | - | 53.4 |
| BW | - | - | 6 |
| α-Tocopherol | - | - | 0.6 |
| 8 °C | 25 °C | 40 °C |
|---|---|---|
| T0 | T0 | T0 |
| 1 M | 1 M | 1 M |
| 3 M | 3 M | - |
Disclaimer/Publisher’s Note: The statements, opinions and data contained in all publications are solely those of the individual author(s) and contributor(s) and not of MDPI and/or the editor(s). MDPI and/or the editor(s) disclaim responsibility for any injury to people or property resulting from any ideas, methods, instructions or products referred to in the content. |
© 2023 by the authors. Licensee MDPI, Basel, Switzerland. This article is an open access article distributed under the terms and conditions of the Creative Commons Attribution (CC BY) license (https://creativecommons.org/licenses/by/4.0/).
Share and Cite
Loza-Rodríguez, N.; Millán-Sánchez, A.; López, O. Characteristics of a Lipid Hydrogel and Bigel as Matrices for Ascorbic Acid Stabilization. Gels 2023, 9, 649. https://doi.org/10.3390/gels9080649
Loza-Rodríguez N, Millán-Sánchez A, López O. Characteristics of a Lipid Hydrogel and Bigel as Matrices for Ascorbic Acid Stabilization. Gels. 2023; 9(8):649. https://doi.org/10.3390/gels9080649
Chicago/Turabian StyleLoza-Rodríguez, Noèlia, Aina Millán-Sánchez, and Olga López. 2023. "Characteristics of a Lipid Hydrogel and Bigel as Matrices for Ascorbic Acid Stabilization" Gels 9, no. 8: 649. https://doi.org/10.3390/gels9080649
APA StyleLoza-Rodríguez, N., Millán-Sánchez, A., & López, O. (2023). Characteristics of a Lipid Hydrogel and Bigel as Matrices for Ascorbic Acid Stabilization. Gels, 9(8), 649. https://doi.org/10.3390/gels9080649

