Preparation of Whole-Cut Plant-Based Pork Meat and Its Quality Evaluation with Animal Meat
Abstract
1. Introduction
2. Results and Discussion
2.1. Appearance
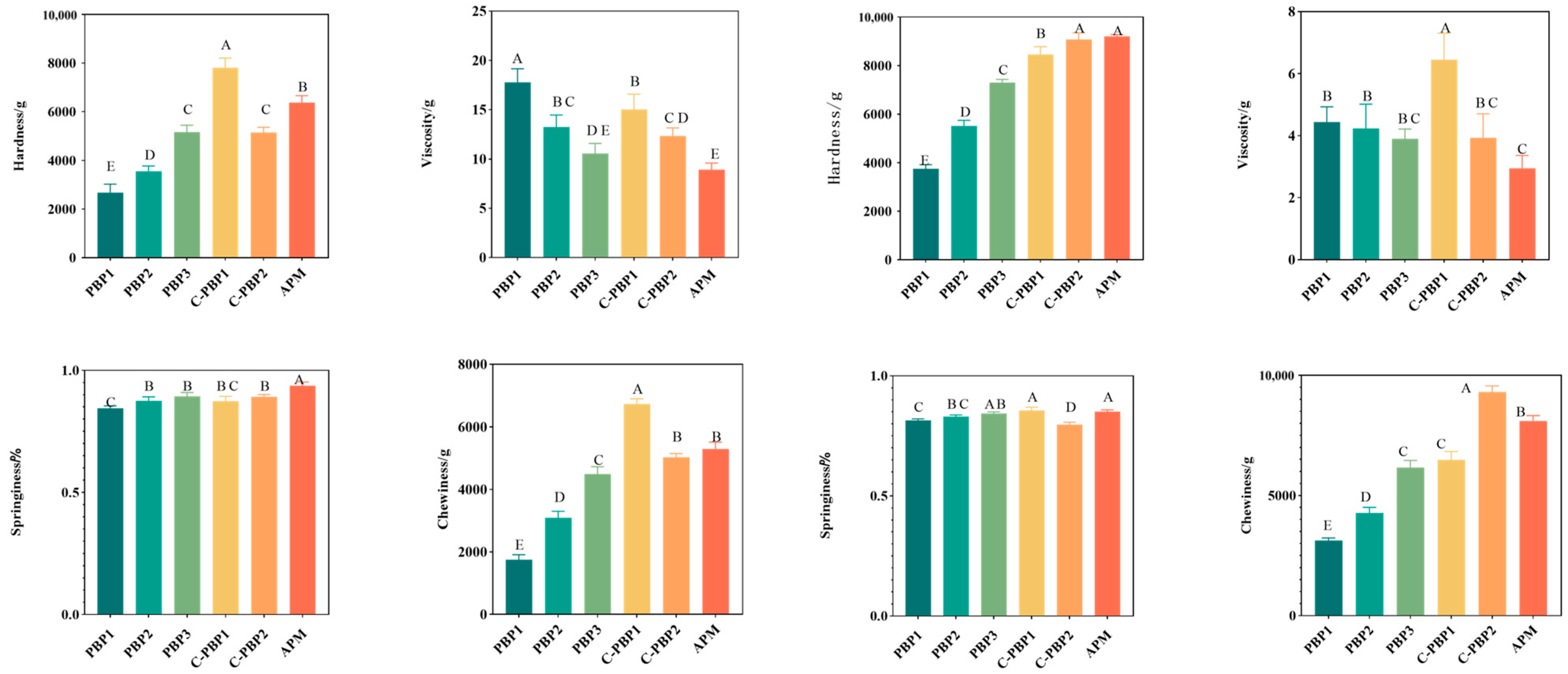
2.2. Textural Properties
2.3. WHC and OHC
2.4. Nutritional Composition
2.5. IVPD
2.6. Nutritional Evaluation of Amino Acids
3. Conclusions
4. Materials and Methods
4.1. Materials
4.2. Preparation of Plant-Based Pork
4.3. Nutritional Composition
4.4. Appearance
4.5. Texture Profile Analysis
4.6. WHC and OHC
4.7. IVPD
4.8. Nutritional Evaluation of Amino Acids
4.9. Statistical Analysis
Author Contributions
Funding
Institutional Review Board Statement
Informed Consent Statement
Data Availability Statement
Conflicts of Interest
References
- Chen, Q.; Zhang, J.; Wang, Q. Research advances on macromolecular interactions during the high moisture extrusion process. J. Chin. Inst. Food Sci. Technol. 2021, 21, 350–359. [Google Scholar]
- Wang, Q.; Zhang, J. Research Status, Opportunities and Challenges of High Moisture Extrusion Technology. J. Chin. Inst. Food Sci. Technol. 2018, 18, 1–9. [Google Scholar]
- Kumar, P.; Chatli, M.K.; Mehta, N.; Singh, P.; Malav, O.P.; Verma, A.K. Meat analogues: Health promising sustainable meat substitutes. Crit. Rev. Food Sci. Nutr. 2017, 57, 923–932. [Google Scholar] [CrossRef] [PubMed]
- Zhang, J.; Liu, L.; Jiang, Y.; Faisal, S.; Wei, L.; Cao, C.; Yan, W.; Wang, Q. Converting Peanut Protein Biomass Waste into “Double Green” Meat Substitutes Using a High-Moisture Extrusion Process: A Multiscale Method to Explore a Process for Forming a Meat-Like Fibrous Structure. J. Agric. Food Chem. 2019, 67, 10713–10725. [Google Scholar] [CrossRef] [PubMed]
- Chen, Q.; Zhang, J.; Zhang, Y.; Meng, S.; Wang, Q. Rheological properties of pea protein isolate-amylose/amylopectin mixtures and the application in the high-moisture extruded meat substitutes. Food Hydrocoll. 2021, 117, 106732. [Google Scholar] [CrossRef]
- Bohrer, B.M. An investigation of the formulation and nutritional composition of modern meat analogue products. Food Sci. Hum. Wellness 2019, 8, 320–329. [Google Scholar] [CrossRef]
- Ismail, I.; Hwang, Y.H.; Joo, S.T. Meat analog as future food: A review. J. Anim. Sci. Technol. 2020, 62, 111–120. [Google Scholar] [CrossRef]
- Schreuders, F.K.G.; Dekkers, B.L.; Bodnár, I.; Erni, P.; Boom, R.M.; van der Goot, A.J. Comparing structuring potential of pea and soy protein with gluten for meat analogue preparation. J. Food Eng. 2019, 261, 32–39. [Google Scholar] [CrossRef]
- Zhang, J.; Liu, L.; Jiang, Y.; Shah, F.; Xu, Y.; Wang, Q. High-moisture extrusion of peanut protein-/carrageenan/sodium alginate/wheat starch mixtures: Effect of different exogenous polysaccharides on the process forming a fibrous structure. Food Hydrocoll. 2020, 99, 105311. [Google Scholar] [CrossRef]
- Katidi, A.; Xypolitaki, K.; Vlassopoulos, A.; Kapsokefalou, M. Nutritional Quality of Plant-Based Meat and Dairy Imitation Products and Comparison with Animal-Based Counterparts. Nutrients 2023, 15, 401. [Google Scholar] [CrossRef]
- Offiah, V.; Kontogiorgos, V.; Falade, K.O. Extrusion processing of raw food materials and by-products: A review. Crit. Rev. Food Sci. Nutr. 2019, 59, 2979–2998. [Google Scholar] [CrossRef]
- Jiang, L.; Zhang, X.; Dou, W.; Sui, X. Advance and challenges in plant-based meat. J. Chin. Inst. Food Sci. Technol. 2020, 20, 1–10. [Google Scholar]
- Zhou, H.; Vu, G.; Gong, X.; McClements, D.J. Comparison of the Cooking Behaviors of Meat and Plant-Based Meat Analogues: Appearance, Texture, and Fluid Holding Properties. ACS Food Sci. Technol. 2022, 2, 844–851. [Google Scholar] [CrossRef]
- Xie, Y.T.; Cai, L.L.; Huang, Z.J.; Shan, K.; Xu, X.L.; Zhou, G.H.; Li, C.B. Plant-Based Meat Analogues Weaken Gastrointestinal Digestive Function and Show Less Digestibility Than Real Meat in Mice. J. Agric. Food Chem. 2022, 70, 12442–12455. [Google Scholar] [CrossRef]
- Xie, Y.T.; Cai, L.L.; Zhao, D.; Liu, H.; Xu, X.L.; Zhou, G.H.; Li, C.B. Real meat and plant-based meat analogues have different in vitro protein digestibility properties. Food Chem. 2022, 387, 132917. [Google Scholar] [CrossRef]
- Reynaud, Y.; Buffiere, C.; Cohade, B.; Vauris, M.; Liebermann, K.; Hafnaoui, N.; Lopez, M.; Souchon, I.; Dupont, D.; Remond, D. True ileal amino acid digestibility and digestible indispensable amino acid scores (DIAASs) of plant-based protein foods. Food Chem. 2021, 338, 128020. [Google Scholar] [CrossRef]
- Drewnowski, A. Defining nutrient density: Development and validation of the nutrient rich foods index. J. Am. Coll. Nutr. 2009, 28, 421S–426S. [Google Scholar] [CrossRef]
- Vu, G.; Zhou, H.; McClements, D.J. Impact of cooking method on properties of beef and plant-based burgers: Appearance, texture, thermal properties, and shrinkage. J. Agric. Food Res. 2022, 9, 100355. [Google Scholar] [CrossRef]
- Zhang, Q.; Huang, L.; Li, H.; Zhao, D.; Cao, J.; Song, Y.; Liu, X. Mimic Pork Rinds from Plant-Based Gel: The Influence of Sweet Potato Starch and Konjac Glucomannan. Molecules 2022, 27, 3103. [Google Scholar] [CrossRef]
- Zhang, Y.; Zhang, J.; Chen, Q.; He, N.; Wang, Q. High-Moisture Extrusion of Mixed Proteins from Soy and Surimi: Effect of Protein Gelling Properties on the Product Quality. Foods 2022, 11, 1397. [Google Scholar] [CrossRef]
- Cho, S.Y.; Ryu, G.H. Effects of mealworm larva composition and selected process parameters on the physicochemical properties of extruded meat analog. Food Sci. Nutr. 2021, 9, 4408–4419. [Google Scholar] [CrossRef] [PubMed]
- Zhang, J.; Liu, L.; Zhu, S.; Wang, Q. Texturisation behaviour of peanut–soy bean/wheat protein mixtures during high moisture extrusion cooking. Int. J. Food Sci. Technol. 2018, 53, 2535–2541. [Google Scholar] [CrossRef]
- Osen, R.; Toelstede, S.; Wild, F.; Eisner, P.; Schweiggert-Weisz, U. High moisture extrusion cooking of pea protein isolates: Raw material characteristics, extruder responses, and texture properties. J. Food Eng. 2014, 127, 67–74. [Google Scholar] [CrossRef]
- Cornet, S.H.V.; Snel, S.J.E.; Lesschen, J.; van der Goot, A.J.; van der Sman, R.G.M. Enhancing the water holding capacity of model meat analogues through marinade composition. J. Food Eng. 2021, 290, 110283. [Google Scholar] [CrossRef]
- Mandliya, S.; Pratap-Singh, A.; Vishwakarma, S.; Dalbhagat, C.G.; Mishra, H.N. Incorporation of Mycelium (Pleurotus eryngii) in Pea Protein Based Low Moisture Meat Analogue: Effect on Its Physicochemical, Rehydration and Structural Properties. Foods 2022, 11, 2476. [Google Scholar] [CrossRef]
- Guo, Q.; Li, T.; Qu, Y.; Liang, M.; Ha, Y.; Zhang, Y.; Wang, Q. New research development on trans fatty acids in food: Biological effects, analytical methods, formation mechanism, and mitigating measures. Prog. Lipid Res. 2023, 89, 101199. [Google Scholar] [CrossRef]
- Liu, H.; Zhang, J.; Chen, Q.; Li, T.; Wang, Q. Analysis and evaluation of nutritional composition of plant-based meat substitutes. J. Chin. Cereals Oils 2022, 38, 1–14. [Google Scholar]
- Kumar, P.; Sharma, N.; Ahmed, M.A.; Verma, A.K.; Umaraw, P.; Mehta, N.; Abubakar, A.A.; Hayat, M.N.; Kaka, U.; Lee, S.J.; et al. Technological interventions in improving the functionality of proteins during processing of meat analogs. Front. Nutr. 2022, 9, 1044024. [Google Scholar] [CrossRef]
- Nelson, M.E.; Hamm, M.W.; Hu, F.B.; Abrams, S.A.; Griffin, T.S. Alignment of Healthy Dietary Patterns and Environmental Sustainability: A Systematic Review. Adv. Nutr. 2016, 7, 1005–1025. [Google Scholar] [CrossRef]
- Bryngelsson, S.; Moshtaghian, H.; Bianchi, M.; Hallstrom, E. Nutritional assessment of plant-based meat analogues on the Swedish market. Int. J. Food Sci. Nutr. 2022, 73, 889–901. [Google Scholar] [CrossRef]
- Wang, M.; Li, W.; Peng, J.; Liu, Y.; Chen, Y. Edible Qualities Evaluation of the Commercial Artificial Meat Patties. J. Chin. Inst. Food Sci. Technol. 2022, 22, 318–329. [Google Scholar]
- Zhang, L.; Yu, H.S.; Hu, Y.H. Extruder Responses, Textural Properties and Color of Meat Analogs Made by High Moisture Soybean Residue and Soy Protein Isolate. Adv. Mater. Res. 2013, 781–784, 1670–1676. [Google Scholar] [CrossRef]
- Li, Z.; Wu, J.; Chen, Z.; He, S.; Ma, L.; Wu, Z.; Wang, T. Effect of Feeding Pattern on Amino Acid in Muscle of Heishui Sewan Tibetan Pig. Acat Agric. Boreali-Occident. Sin. 2022, 31, 823–829. [Google Scholar]
- Ahmad, S.S.; Khalid, M.; Younis, K. Interaction study of dietary fibers (pectin and cellulose) with meat proteins using bioinformatics analysis: An In-Silico study. LWT 2020, 119, 108889. [Google Scholar] [CrossRef]
- Schneeman, B.O.; Gallaher, D. Effects of Dietary Fiber on Digestive Enzyme Activity and Bile Acids in the Small Instestine. Proc. Soc. Exp. Biol. Med. 1985, 180, 409–414. [Google Scholar] [CrossRef]
- Chen, D.; Rocha-Mendoza, D.; Shan, S.; Smith, Z.; Garcia-Cano, I.; Prost, J.; Jimenez-Flores, R.; Campanella, O. Characterization and Cellular Uptake of Peptides Derived from In Vitro Digestion of Meat Analogues Produced by a Sustainable Extrusion Process. J. Agric. Food Chem. 2022, 70, 8124–8133. [Google Scholar] [CrossRef]
- Hou, D.; Huang, W.; Chen, H.; Wu, Y.; Bao, D.; Wang, W.; Tao, X.; Yang, R. Amino acid profile and protein quality of Lentinula edodes with ball-shaped fruiting bodies. Mygosystema 2021, 40, 2412–2422. [Google Scholar]
- Liu, X.; Qin, J.; Li, J.; Zhou, J. Effect of transglutaminase on the structure and digestive characteristics of pea protein extrudates using high-moisture extrusion. Food Sci. 2022, 5, 1–8. [Google Scholar]
- AOAC. Official Methods of Analysis, 21st ed.; Association of Official Analytical Chemists International: Gaithersburg, ML, USA, 2019; Volume 1. [Google Scholar]
- Ferjancic, B.; Skrt, M.; Korosec, M.; Bertoncelj, J. Comparative analysis of dietary fibre determination by AOAC 991.43 and AOAC 2011.25 for frequently consumed foods in Slovenia. Food Chem. 2022, 397, 133753. [Google Scholar] [CrossRef]
- Ma, Y.; Qie, M.; Zhao, S.; Hu, X.; Zhao, Y.; Guo, J. Fatty Acid Characteristics and Origin Traceability of Alxa Bactrian Camel Milk in Different Pastures and Feeding Methods. J. Nucl. Agric. Sci. 2022, 36, 1964–1974. [Google Scholar]
- Binmin, L.; Yangsheng, Z.; Ziwen, P.; Ying, Z.; Huichao, Y.; Yanfang, C. Nutritional value of mulberry female and male sikworm moths before and after mating. Food Ferment. Ind. 2022, 1, 1–9. [Google Scholar]




| Cooker | Indicator | PBP1 | PBP2 | PBP3 | C-PBP1 | C-PBP2 | APM |
|---|---|---|---|---|---|---|---|
| Before frying | L | 62.82 ± 0.54 A | 53.03 ± 0.46 C | 54.99 ± 0.59 B | 46.53 ± 0.53 D | 47.93 ± 0.82 D | 47.90 ± 0.63 D |
| a* | 24.71 ± 0.57 A | 19.33 ± 0.37 B | 16.85 ± 0.46 C | 14.79 ± 0.43 D | 15.84 ± 0.51 CD | 19.49 ± 0.51 B | |
| b* | 17.05 ± 0.40 C | 15.92 ± 0.04 C | 20.66 ± 0.47 A | 18.91 ± 0.58 B | 19.08 ± 0.15 B | 16.27 ± 0.92 C | |
| ∆E | 40.05 ± 0.05 C | 44.14 ± 0.28 B | 43.25 ± 0.46 B | 48.99 ± 0.55 A | 48.16 ± 0.86 A | 48.67 ± 0.49 A | |
| After frying | L | 44.77 ± 1.49 A | 39.46 ± 1.15 C | 36.74 ± 0.51 D | 32.84 ± 0.31 E | 38.51 ± 0.30 CD | 42.47 ± 0.46 B |
| a* | 31.17 ± 0.11 A | 24.40 ± 1.17 B | 17.85 ± 1.63 D | 15.09 ± 0.31 E | 18.50 ± 0.36 D | 20.95 ± 0.32 C | |
| b* | 20.80 ± 0.21 A | 19.13 ± 0.54 AB | 17.23 ± 1.53 BC | 13.21 ± 0.20 D | 19.36 ± 0.25 A | 15.99 ± 0.21 C | |
| ∆E | 58.32 ± 1.12 B | 58.82 ± 0.58 AB | 58.27 ± 0.63 B | 60.14 ± 0.25 A | 57.46 ± 0.22 B | 53.60 ± 0.58 C |
| Content | PBP1 | PBP2 | PBP3 | C-PBP1 | C-PBP2 | APM |
|---|---|---|---|---|---|---|
| Fat g/100 g | 4.14 ± 0.16 D | 4.23 ± 0.08 CD | 4.98 ± 0.31 C | 6.54 ± 0.24 B | 4.52 ± 0.01 CD | 11.91 ± 0.19 A |
| Ash g/100 g | 0.84 ± 0.02 B | 0.96 ± 0.16 B | 1.85 ± 0.03 A | 1.96 ± 0.27 A | 1.96 ± 0.05 A | 1.91 ± 0.00 A |
| Protein g/100 g | 10.69 ± 0.18 D | 13.36 ± 0.15 C | 16.43 ± 0.25 B | 6.04 ± 0.28 E | 18.22 ± 0.93 A | 16.79 ± 0.22 B |
| Moisture g/100 g | 63.31 ± 0.36 A | 58.57 ± 1.00 B | 56.12 ± 0.75 C | 58.59 ± 0.89 B | 57.80 ± 0.78 B | 58.83 ± 0.62 A |
| Dietary fiber g/100 g | 4.02 ± 0.12 C | 4.62 ± 0.31 B | 5.02 ± 0.44 A | 3.81 ± 0.25 C | 1.96 ± 0.35 D | — |
| Iron mg/100 g | 1.22 ± 0.11 D | 1.74 ± 0.08 C | 1.99 ± 0.20 B | 1.22 ± 0.14 D | 3.90 ± 0.35 A | 0.85 ± 0.09 E |
| Sodium mg/100 g | 266.94 ± 65.85 D | 510.96 ± 33.45 C | 878.54 ± 78.51 A | 838.01 ± 45.95 A | 551.25 ± 66.57 C | 780.00 ± 7.30 B |
| Calcium mg/100 g | 15.51 ± 2.00 D | 27.11 ± 1.84 C | 30.53 ± 2.54 B | 15.24 ± 1.99 D | 48.57 ± 3.58 A | 5.60 ± 1.25 E |
| Amino Acids (mg/g Protein) | PBP1 | PBP2 | PBP3 | C-PBP1 | C-PBP2 | APM |
|---|---|---|---|---|---|---|
| THR * | 25.83 ± 0.85 E | 30.64 ± 0.21 D | 34.20 ± 0.31 C | 11.22 ± 0.55 F | 44.98 ± 0.36 B | 47.50 ± 0.71 A |
| VAL * | 43.17 ± 0.29 D | 48.02 ± 0.57 C | 56.13 ± 0.68 A | 19.72 ± 0.17 E | 57.00 ± 0.25 A | 50.90 ± 0.44 B |
| MET * | 13.69 ± 0.15 E | 15.35 ± 0.22 D | 17.556 ± 0.39 C | 7.91 ± 0.26 F | 21.58 ± 0.51 A | 19.9 ± 0.61 B |
| ILE * | 36.03 ± 1.57 D | 41.57 ± 0.39 C | 46.83 ± 0.57 B | 18.46 ± 0.61 E | 52.00 ± 0.39 A | 47.70 ± 0.78 B |
| LEU * | 57.87 ± 0.53 E | 68.97 ± 1.05 D | 79.45 ± 1.26 B | 20.49 ± 0.18 F | 75.00 ± 0.27 C | 82.10 ± 0.48 A |
| PHE * | 50.57 ± 0.28 D | 54.31 ± 0.41 C | 62.3 ± 0.73 B | 23.78 ± 0.29 F | 65.00 ± 0.56 A | 39.80 ± 0.67 E |
| LYS * | 36.04 ± 0.94 E | 44.04 ± 0.23 D | 52.21 ± 0.34 C | 17.32 ± 1.05 F | 77.10 ± 0.26 B | 92.40 ± 0.38 A |
| TRP * | 9.50 ± 0.31 B | 10.00 ± 0.62 B | 14.00 ± 0.74 A | 4.00 ± 0.35 C | 10.00 ± 0.69 B | 13.00 ± 0.84 A |
| ASP | 86.50 ± 0.16 C | 94.39 ± 0.24 B | 103.92 ± 0.43 A | 32.10 ± 0.18 E | 82.50 ± 0.27 D | 93.80 ± 0.48 B |
| SER | 43.06 ± 1.11 D | 48.40 ± 0.27 C | 55.42 ± 0.40 B | 17.72 ± 0.72 F | 72.90 ± 0.47 A | 28.80 ± 0.92 E |
| GLU | 119.90 ± 0.37 F | 131.50 ± 0.74 E | 152.60 ± 0.88 A | 135.55 ± 0.22 D | 150.10 ± 0.32 B | 148.30 ± 0.57 C |
| GLY | 37.38 ± 0.20 E | 45.19 ± 0.29 D | 47.43 ± 0.51 C | 14.12 ± 0.34 F | 57.30 ± 0.66 B | 63.90 ± 0.80 A |
| ALA | 32.44 ± 2.04 E | 35.65 ± 0.50 D | 39.90 ± 0.74 C | 14.39 ± 0.78 F | 50.62 ± 0.51 B | 61.80 ± 1.02 A |
| TYR | 45.39 ± 0.69 C | 44.85 ± 1.36 C | 50.80 ± 1.63 B | 21.86 ± 0.24 E | 66.22 ± 0.35 A | 36.70 ± 0.63 D |
| HIS | 18.77 ± 0.36 E | 22.00 ± 0.54 D | 24.15 ± 0.95 C | 9.19 ± 0.37 F | 33.31 ± 0.73 B | 43.90 ± 0.87 A |
| ARG | 81.64 ± 1.22 D | 93.00 ± 0.30 C | 105.00 ± 0.44 B | 58.00 ± 1.36 F | 110.87 ± 0.33 A | 71.40 ± 0.50 E |
| PRO | 52.70 ± 0.41 D | 60.95 ± 0.81 C | 72.45 ± 0.97 B | 31.25 ± 0.46 E | 75.00 ± 0.90 A | 51.60 ± 1.08 D |
| CYS | 19.00 ± 0.21 B | 20.00 ± 0.319176 B | 20.00 ± 0.56 B | 8.00 ± 0.24 C | 25.00 ± 0.35 A | 19.20 ± 0.63 B |
| TAA | 809.44 ± 72.11 AB | 908.80 ± 90.15 AB | 1034.32 ± 152.30 AB | 465.05 ± 52.36 C | 1126.46 ± 136.50 A | 1012.70 ± 147.90 AB |
| EAA | 272.68 ± 15.6 D | 312.875 ± 9.6 C | 362.65 ± 11.5 B | 122.88 ± 2.9 E | 402.66 ± 5.63 A | 393.3 ± 7.51 A |
| NEAA | 536.755 ± 35.11 D | 595.925 ± 15.6 C | 671.66 ± 26.36 AB | 342.16 ± 5.6 E | 723.79 ± 6.55 A | 619.4 ± 12.11 BC |
| EAA/NEAA | 50.80 ± 0.01% E | 52.50 ± 0.01% D | 53.99 ± 0.13% C | 35.91 ± 0.02% F | 55.63 ± 0.14% B | 63.50 ± 0.02% A |
| EAA/TAA | 33.69 ± 0.01% D | 34.43 ± 0.14% C | 35.06 ± 0.02% B | 26.42 ± 0.01% E | 35.75 ± 0.01% B | 39.84 ± 0.01% A |
| EAAI | 105.52 ± 1.05 E | 120.07 ± 1.25 D | 141.34 ±0.39 C | 48.46 ± 0.77 F | 153.09 ± 0.51 A | 149.64 ± 0.88 B |
| BV | 103.32 ±0.58 E | 119.17 ± 0.60 D | 142.36 ± 1.05 C | 41.12 ± 0.96 F | 155.17 ± 1.18 A | 151.40 ± 1.42 B |
| Amino Acid Scores | WHO/FAO 2007 | PBP1 | PBP2 | PBP3 | C-PBP1 | C-PBP2 | APM |
|---|---|---|---|---|---|---|---|
| His | 15.00 | 125.10 ± 2.42 E | 146.67 ± 3.57 D | 161.00 ± 6.34 C | 61.27 ± 2.47 F | 222.03 ± 4.87 B | 292.67 ± 5.83 A |
| Thr | 23.00 | 112.28 ± 3.69 E | 133.22 ± 1.40 D | 148.67 ± 2.06 C | 48.76 ± 3.66 F | 195.57 ± 2.40 B | 206.52 ± 4.73 A |
| Lys | 45.00 | 80.08 ± 0.64 D | 97.87 ± 3.78 C | 116.01 ± 4.53 A | 38.48 ± 1.12 E | 171.33 ± 1.65 B | 205.33 ± 2.93 A |
| Leu | 59.00 | 98.08 ± 0.25 E | 116.89 ± 1.48 D | 134.65 ± 2.64 C | 34.72 ± 1.72 F | 127.12 ± 3.40 B | 139.15 ± 4.08 A |
| Ile | 30.00 | 120.08 ± 5.23 D | 138.55 ± 2.58 C | 156.10 ± 3.81 B | 61.53 ± 4.03 E | 173.33 ± 2.64 A | 159.00 ± 5.20 B |
| Met + Cys | 22.00 | 148.59 ± 2.41 D | 160.66 ± 6.99 C | 170.70 ± 8.37 B | 72.32 ± 1.23 E | 211.73 ± 1.81 A | 177.73 ± 3.22 B |
| Phe + Tyr | 38.00 | 252.51 ± 0.73 D | 260.92 ± 2.74 C | 297.63 ± 4.87 B | 120.08 ± 1.90 F | 345.30 ± 3.74 A | 201.32 ± 4.48 E |
| Val | 39.00 | 110.69 ± 2.39 E | 123.12 ± 1.54 D | 143.91 ± 2.27 C | 50.56 ± 6.98 F | 146.15 ± 1.72 A | 130.51 ± 2.54 B |
| Trp | 6.00 | 158.33 ± 5.28 D | 166.67 ± 10.40 C | 233.33 ± 12.40 A | 66.67 ± 5.91 E | 166.67 ± 11.60 C | 216.67 ± 13.90 B |
| Chemical Scores | FAO Pattern 1984 | PBP1 | PBP2 | PBP3 | C-PBP1 | C-PBP2 | APM |
|---|---|---|---|---|---|---|---|
| Thr | 40.00 | 64.56 ± 2.12 E | 76.60 ± 0.52 D | 85.49 ± 0.77 C | 28.04 ± 1.37 F | 112.45 ± 0.90 B | 118.75 ± 1.77 A |
| Lys | 55.00 | 65.52 ± 0.52 E | 80.07 ± 1.03 D | 94.92 ± 1.23 C | 31.48 ± 0.30 F | 140.18 ± 0.45 B | 168.00 ± 0.80 A |
| Leu | 70.00 | 82.67 ± 0.21 E | 98.52 ± 0.31 D | 113.49 ± 0.56 B | 29.26 ± 0.37 F | 107.14 ± 0.73 C | 117.29 ± 0.87 A |
| Ile | 40.00 | 90.06 ± 3.92 D | 103.91 ± 0.97 C | 117.08 ± 1.43 B | 130.00 ± 0.99 A | 119.25 ± 1.95 B | |
| Met + Cys | 35.00 | 93.40 ± 1.52 E | 100.99 ± 2.99 D | 107.30 ± 3.59 C | 45.46 ± 0.52 F | 133.09 ± 0.77 A | 111.71 ± 1.38 B |
| Phe + Tyr | 60.00 | 159.93 ± 0.46 D | 165.25 ± 0.68 C | 188.00 ± 1.21 B | 76.05 ± 0.47 F | 218.69 ± 0.93 A | 127.50 ± 1.12 E |
| Val | 50.00 | 86.34 ± 1.87 D | 96.03 ± 0.46 C | 112.25 ± 0.68 A | 39.44 ± 2.09 E | 114.00 ± 0.51 A | 101.80 ± 0.76 B |
| Trp | 10.00 | 95.00 ± 3.16 B | 100.00 ± 6.24 B | 140.00 ± 7.48 A | 40.00 ± 3.54 C | 100.00 ± 6.99 B | 130.00 ± 8.37 A |
Disclaimer/Publisher’s Note: The statements, opinions and data contained in all publications are solely those of the individual author(s) and contributor(s) and not of MDPI and/or the editor(s). MDPI and/or the editor(s) disclaim responsibility for any injury to people or property resulting from any ideas, methods, instructions or products referred to in the content. |
© 2023 by the authors. Licensee MDPI, Basel, Switzerland. This article is an open access article distributed under the terms and conditions of the Creative Commons Attribution (CC BY) license (https://creativecommons.org/licenses/by/4.0/).
Share and Cite
Liu, H.; Zhang, J.; Chen, Q.; Hu, A.; Li, T.; Guo, F.; Wang, Q. Preparation of Whole-Cut Plant-Based Pork Meat and Its Quality Evaluation with Animal Meat. Gels 2023, 9, 461. https://doi.org/10.3390/gels9060461
Liu H, Zhang J, Chen Q, Hu A, Li T, Guo F, Wang Q. Preparation of Whole-Cut Plant-Based Pork Meat and Its Quality Evaluation with Animal Meat. Gels. 2023; 9(6):461. https://doi.org/10.3390/gels9060461
Chicago/Turabian StyleLiu, Haodong, Jinchuang Zhang, Qiongling Chen, Anna Hu, Tongqing Li, Feng Guo, and Qiang Wang. 2023. "Preparation of Whole-Cut Plant-Based Pork Meat and Its Quality Evaluation with Animal Meat" Gels 9, no. 6: 461. https://doi.org/10.3390/gels9060461
APA StyleLiu, H., Zhang, J., Chen, Q., Hu, A., Li, T., Guo, F., & Wang, Q. (2023). Preparation of Whole-Cut Plant-Based Pork Meat and Its Quality Evaluation with Animal Meat. Gels, 9(6), 461. https://doi.org/10.3390/gels9060461

