Graphene Oxide/Styrene-Butadiene Latex Hybrid Aerogel with Improved Mechanical Properties by PEI Grafted GO and CNT
Abstract
1. Introduction
2. Results and Discussion
2.1. Surface Chemical Structure Analysis of GO and CNTs’ Materials
2.2. Morphology Analysis
2.3. Mechanical Properties
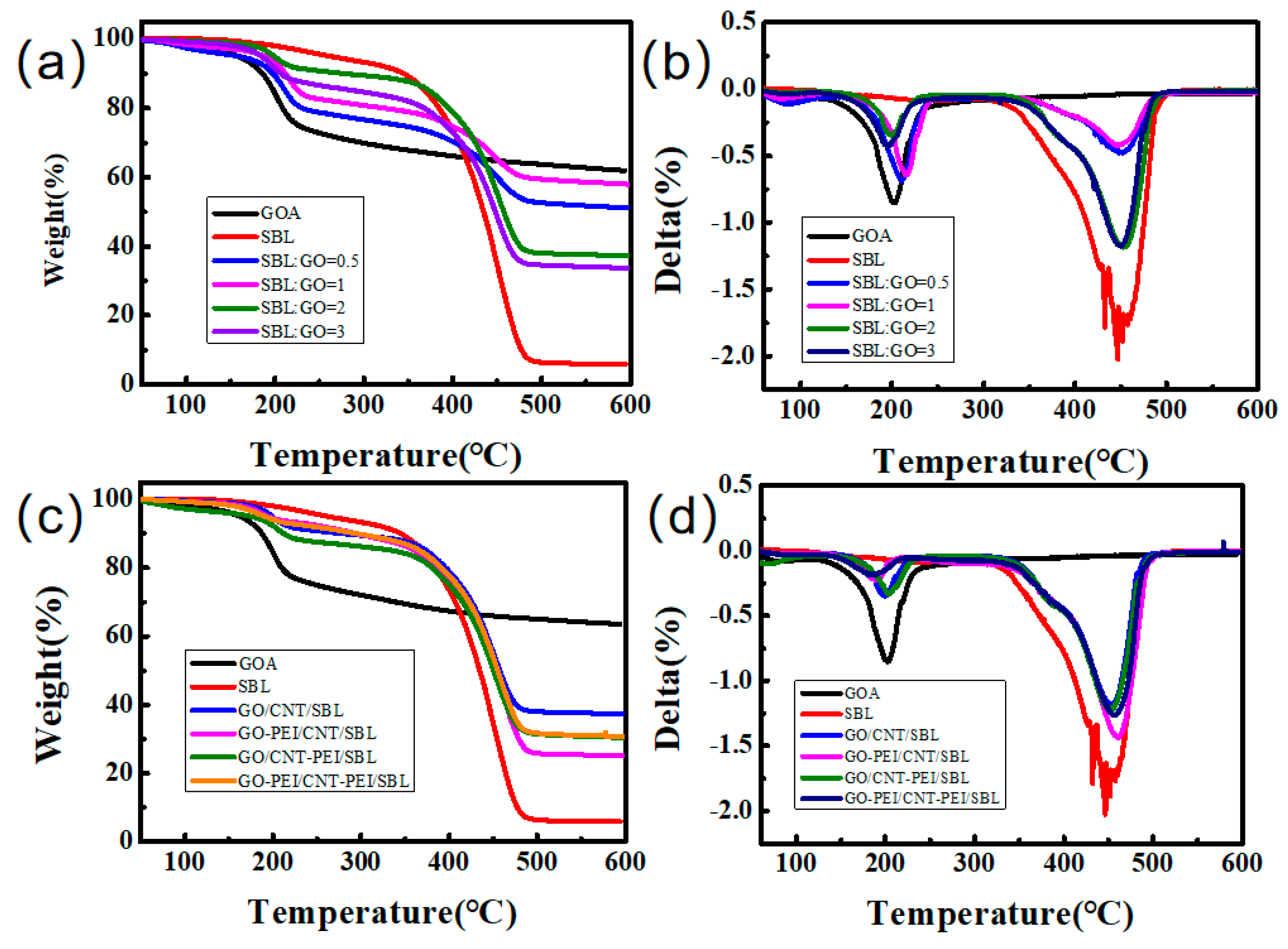
2.4. Thermal Properties
3. Conclusions
4. Materials and Methods
4.1. Materials
4.2. Methods
4.2.1. Preparation of Graphene Oxide
4.2.2. Preparation of GO–PEI
4.2.3. Preparation of CNT–PEI
4.2.4. Preparation of GO/CNT/SBL Aerogel
4.3. Characterization
Supplementary Materials
Author Contributions
Funding
Institutional Review Board Statement
Informed Consent Statement
Data Availability Statement
Acknowledgments
Conflicts of Interest
References
- Chen, K.; Sun, Z.H.; Fang, R.P.; Li, F.; Cheng, H.M. Development of Graphene-based Materials for Lithium-Sulfur Batteries. Acta Phys.-Chim. Sin. 2018, 34, 377–390. [Google Scholar] [CrossRef]
- Sattar, T. Current Review on Synthesis, Composites and Multifunctional Properties of Graphene. Top. Curr. Chem. 2019, 377, 10. [Google Scholar] [CrossRef] [PubMed]
- Pang, K.; Song, X.; Xu, Z.; Liu, X.T.; Liu, Y.J. Hydroplastic foaming of graphene aerogels and artificially intelligent tactile sensor. Sci. Adv. 2020, 6, eabd4045. [Google Scholar] [CrossRef] [PubMed]
- Lv, H.L.; Li, Y.; Jia, Z.R.; Wang, L.J.; Guo, X.Q. Exceptionally porous three-dimensional architectural nanostructure derived from CNTs/graphene aerogel towards the ultra-wideband EM absorption. Compos. Part B 2020, 196, 108122. [Google Scholar] [CrossRef]
- Yu, Z.; Dai, T.W.; Yuan, S.W.; Zou, H.W.; Liu, P.B. Electromagnetic Interference Shielding Performance of Anisotropic Polyimide/Graphene Composite Aerogels. ACS Appl. Mater. Interfaces 2020, 12, 30990–31001. [Google Scholar] [CrossRef]
- Song, B.; He, W.C.; Wang, X.Q.; Cheng, M.T.; Wu, F. Fabrication of stretchable and conductive polymer nanocomposites based on interconnected graphene aerogel. Compos. Sci. Technol. 2020, 200, 108430. [Google Scholar] [CrossRef]
- Korkmaza, S.; Kariper, İ.A. Graphene and graphene oxide based aerogels: Synthesis, characteristics and supercapacitor applications. J. Energy Storage 2020, 27, 101038. [Google Scholar] [CrossRef]
- Dreyer, D.R.; Park, S.J.; Bielawski, C.W. The chemistry of graphene oxide. Chem. Soc. Rev. 2010, 39, 228–240. [Google Scholar] [CrossRef]
- Marcano, D.C.; Kosynkin, D.V.; Berlin, J.M.; Sinitskii, A.; Sun, Z.Z. Improved Synthesis of Graphene Oxide. ACS Nano 2010, 4, 4806–4814. [Google Scholar] [CrossRef]
- Zhu, Y.W.; Murali, S.; Cai, W.W.; Li, X.S.; Suk, J.W. Graphene and Graphene Oxide: Synthesis, Properties, and Applications. Adv. Mater. 2010, 22, 3906–3924. [Google Scholar] [CrossRef]
- Jing, X.T.; Li, Z.; Geng, W.J.; Lv, H.J.; Chi, Y.N.; Hu, C.W. Polyoxometalate-modified reduced graphene oxide foam as a monolith reactor for efficient flow catalysis of epoxide ring-opening reactions. J. Mater. Chem. A 2021, 9, 8480–8488. [Google Scholar] [CrossRef]
- Wang, F.J.; Endo, M.; Mouri, S.; Miyauchi, Y.; Ohno, Y.; Wakamiya, A.; Murata, Y.; Matsuda, K. Highly stable perovskite solar cells with an all-carbon hole transport layer. Nanoscale 2016, 8, 11882–11888. [Google Scholar] [CrossRef] [PubMed]
- Phasuksom, K.; Prissanaroon-Ouajai, W.; Sirivat, A. A highly responsive methanol sensor based on graphene oxide/polyindole composites. RSC Adv. 2020, 10, 15206–15220. [Google Scholar] [CrossRef] [PubMed]
- Chen, J.; Hamon, M.A.; Hu, H.; Chen, Y.S.; Rao, A.M. Solution properties of single-walled carbon nanotubes. Science 1998, 282, 95–98. [Google Scholar] [CrossRef] [PubMed]
- Janas, D. Towards monochiral carbon nanotubes: A review of progress in the sorting of single-walled carbon nanotubes. Mater. Chem. Front. 2018, 2, 36–63. [Google Scholar] [CrossRef]
- Kistler, S.S. Coherent expended aerogels and jellies. Nature 1931, 127, 741. [Google Scholar] [CrossRef]
- Zhang, Y.F.; Wu, L.; Deng, H.L.; Qiao, N.; Zhang, D.S.; Lin, H.; Chen, Y.Y. Modified graphene oxide composite aerogels for enhanced adsorption behavior to heavy metal ions. J. Environ. Chem. Eng. 2021, 9, 106008. [Google Scholar] [CrossRef]
- Long, H.; Harley-Trochimczyk, A.; Pham, T.; Tang, Z.R.; Shi, T.L.; Zettl, A.; Carraro, C.; Worsley, M.A.; Maboudian, R. High Surface Area MoS2/Graphene Hybrid Aerogel for Ultrasensitive NO2 Detection. Adv. Funct. Mater. 2016, 26, 5158–5165. [Google Scholar] [CrossRef]
- Yang, F.; Xu, M.W.; Bao, S.J.; Wei, H. Self-assembled three-dimensional graphene/OMCs hybrid aerogels for high-rate supercapacitive energy storage. RSC Adv. 2013, 3, 25317–25326. [Google Scholar] [CrossRef]
- Ren, L.; Hui, K.S.; Hui, K.N. Self-assembled free-standing three-dimensionalnickel nanoparticle/graphene aerogel for direct ethanol fuel cells. Mater. Chem. A 2013, 1, 5689–5694. [Google Scholar] [CrossRef]
- Yang, H.S.; Zhang, T.P.; Jiang, M.; Duan, Y.X.; Zhang, J.M. Ambient pressure dried graphene aerogels with superelasticity and multifunctionality. J. Mater. Chem. A 2015, 3, 19268–19272. [Google Scholar] [CrossRef]
- Zhang, X.F.; Zhang, T.P.; Wang, Z.; Ren, Z.J.; Yan, S.K.; Duan, Y.X.; Zhang, J.M. Ultralight, Superelastic, and Fatigue-Resistant Graphene Aerogel Templated by Graphene Oxide Liquid Crystal Stabilized Air Bubbles. ACS Appl. Mater. Interfaces 2019, 11, 1303–1310. [Google Scholar] [CrossRef] [PubMed]
- Nishanth, P.; Vimala, G.; Girisha, L.; Jayan, M. Study of Mechanical Performance of BN Grafted Graphene Oxide Hybrid Aerogel for Polypropylene Composites. J. Nanomater. 2022, 2022, 3484613. [Google Scholar] [CrossRef]
- Liu, L.; Kong, G.; Zhu, Y.B.; Lai, D.L.; Zhang, S.H.; Che, C.S. Ultralight, compressive and superhydrophobic methyltriethoxysilane-modified graphene aerogels for recyclable and selective organic pollutants adsorption from water. Appl. Surf. Sci. 2022, 598, 153694. [Google Scholar] [CrossRef]
- Donchak, V.; Stetsyshyn, Y.; Bratychak, M.; Broza, G.; Harhay, K.; Stepina, N.; Kostenko, M.; Voronov, S. Nanoarchitectonics at surfaces using multifunctional initiators of surface-initiated radical polymerization for fabrication of the nanocomposites. Appl. Surf. Sci. Adv. 2021, 5, 100104. [Google Scholar] [CrossRef]
- Deng, S.; Liu, X.H.; Liao, J.B.; Lin, H.; Liu, F. PEI modified multiwalled carbon nanotubes as a novel additive in PAN nanofiber membrane for enhanced removal of heavy metal ions. Chem. Eng. J. 2019, 375, 122086. [Google Scholar] [CrossRef]
- Tadjenant, Y.; Dokhan, N.; Barras, A.; Jijie, R.; Szunerits, S.; Boukherroub, R. Graphene oxide chemically reduced and functionalized with KOH-PEI for efficient Cr(VI) adsorption and reduction in acidic medium. Chemosphere 2020, 258, 127316. [Google Scholar] [CrossRef]
- Fang, J.P.; Zhang, L.; Li, C.Z. Polyamide 6 composite with highly improved mechanical properties by PEI-CNT grafted glass fibers through interface wettting, infiltration and crystallization. Polymer 2019, 172, 253–264. [Google Scholar] [CrossRef]
- Ren, R.P.; Wang, Z.; Ren, J.; Lv, Y.K. Highly compressible polyimide/graphene aerogel for efficient oil/water separation. J. Mater. Sci. 2019, 54, 5918–5926. [Google Scholar] [CrossRef]
- Zhang, X.F.; Yang, G.H.; Zong, L.; Jiang, M.; Song, Z.Q.; Ma, C. Tough, Ultralight and Water-Adhesive Graphene/Natural Rubber Latex Hybrid Aerogel with Sandwichlike Cell Wall and Biomimetic Rose-Petal-Like Surface. Appl. Mater. Inter. 2020, 12, 1378–1386. [Google Scholar] [CrossRef]
- Hummers, W.S.; Offeman, R.E. Preparation of Graphitic Oxide. J. Am. Chem. Soc. 1958, 80, 1339. [Google Scholar] [CrossRef]
- Xu, H.; Li, X.R.; Li, P.Y.; Ma, L.C.; Li, H.Y.; Shi, L.L.; Wang, M.Y.; Chen, H.E.; Song, G.J. Enhancing mechanical performances of polystyrrene composites via constructing carbon nanotube/ graphene oxide aerogel and hot pressing. Compos. Sci. Technol. 2020, 195, 108191. [Google Scholar] [CrossRef]









| Sample Name | 10% Compression (KPa) | 20% Compression (KPa) | 30% Compression (KPa) | 40% Compression (KPa) | 50% Compression (KPa) |
|---|---|---|---|---|---|
| GO/CNT | 0.90 ± 0.08 | 1.73 ± 0.12 | 2.28 ± 0.11 | 2.66 ± 0.14 | 3.13 ± 0.13 |
| GO/CNT/SBL (SBL:GO = 1:2) | 4.03 ± 0.24 | 8.30 ± 0.31 | 10.92 ± 0.19 | 15.04 ± 0.26 | 19.31 ± 0.23 |
| GO/CNT/SBL (SBL:GO = 1:1) | 5.23 ± 0.33 | 9.24 ± 0.41 | 12.07 ± 0.39 | 15.03 ± 0.42 | 19.31 ± 0.35 |
| GO/CNT/SBL (SBL:GO = 2:1) | 7.17 ± 0.32 | 14.37 ± 0.37 | 18.62 ± 0.42 | 22.36 ± 0.36 | 27.72 ± 0.44 |
| GO/CNT/SBL (SBL:GO = 3:1) | 8.14 ± 0.29 | 14.41 ± 0.31 | 18.79 ± 0.46 | 24.64 ± 0.32 | 37.26 ± 0.56 |
| Sample Name | 10% Compression (KPa) | 20% Compression (KPa) | 30% Compression (KPa) | 40% Compression (KPa) | 50% Compression (KPa) |
|---|---|---|---|---|---|
| GO/CNT/SBL | 7.17 ± 0.32 | 14.37 ± 0.37 | 18.62 ± 0.42 | 22.36 ± 0.36 | 27.72 ± 0.44 |
| GO/CNT–PEI/SBL | 5.40 ± 0.21 | 9.96 ± 0.34 | 14.66 ± 0.15 | 21.00 ± 0.27 | 29.26 ± 0.31 |
| GO–PEI/CNT/SBL | 9.54 ± 0.15 | 15.69 ± 0.27 | 21.38 ± 0.13 | 25.37 ± 0.24 | 33.33 ± 0.23 |
| GO–PEI/CNT–PEI/SBL | 9.45 ± 0.22 | 14.18 ± 0.36 | 20.24 ± 0.42 | 25.40 ± 0.33 | 35.75 ± 0.47 |
| Sample Name | 200 °C (%) | 450 °C (%) |
|---|---|---|
| GOA | 75.54 | 65.70 |
| SBL | 98.40 | 7.05 |
| GO/CNT/SBL (SBL:GO = 0.5) | 80.53 | 53.05 |
| GO/CNT/SBL (SBL:GO = 1) | 83.24 | 60.24 |
| GO/CNT/SBL (SBL:GO = 2) | 91.67 | 38.42 |
| GO/CNT/SBL (SBL:GO = 3) | 88.42 | 34.88 |
| GO–PEI/CNT/SBL | 94.39 | 25.92 |
| GO/CNT–PEI/SBL | 88.13 | 31.55 |
| GO–PEI/CNT–PEI/SBL | 93.62 | 31.69 |
| Sample Name | SBL:GO |
|---|---|
| GO/CNT/SBL | 1:2 |
| GO/CNT/SBL | 1:1 |
| GO/CNT/SBL | 2:1 |
| GO/CNT/SBL | 3:1 |
| GO–PEI/CNT/SBL | 2:1 |
| GO/CNT–PEI/SBL | 2:1 |
| GO–PEI/CNT–PEI/SBL | 2:1 |
Disclaimer/Publisher’s Note: The statements, opinions and data contained in all publications are solely those of the individual author(s) and contributor(s) and not of MDPI and/or the editor(s). MDPI and/or the editor(s) disclaim responsibility for any injury to people or property resulting from any ideas, methods, instructions or products referred to in the content. |
© 2023 by the authors. Licensee MDPI, Basel, Switzerland. This article is an open access article distributed under the terms and conditions of the Creative Commons Attribution (CC BY) license (https://creativecommons.org/licenses/by/4.0/).
Share and Cite
Zhao, Z.; Zhang, L.; Song, Y.; Ma, L.; Li, J.; Zhao, M.; Ji, X.; Gao, J.; Song, G.; Li, X. Graphene Oxide/Styrene-Butadiene Latex Hybrid Aerogel with Improved Mechanical Properties by PEI Grafted GO and CNT. Gels 2023, 9, 419. https://doi.org/10.3390/gels9050419
Zhao Z, Zhang L, Song Y, Ma L, Li J, Zhao M, Ji X, Gao J, Song G, Li X. Graphene Oxide/Styrene-Butadiene Latex Hybrid Aerogel with Improved Mechanical Properties by PEI Grafted GO and CNT. Gels. 2023; 9(5):419. https://doi.org/10.3390/gels9050419
Chicago/Turabian StyleZhao, Zetian, Lina Zhang, Yinghu Song, Lichun Ma, Jialiang Li, Min Zhao, Xueliang Ji, Jianfei Gao, Guojun Song, and Xiaoru Li. 2023. "Graphene Oxide/Styrene-Butadiene Latex Hybrid Aerogel with Improved Mechanical Properties by PEI Grafted GO and CNT" Gels 9, no. 5: 419. https://doi.org/10.3390/gels9050419
APA StyleZhao, Z., Zhang, L., Song, Y., Ma, L., Li, J., Zhao, M., Ji, X., Gao, J., Song, G., & Li, X. (2023). Graphene Oxide/Styrene-Butadiene Latex Hybrid Aerogel with Improved Mechanical Properties by PEI Grafted GO and CNT. Gels, 9(5), 419. https://doi.org/10.3390/gels9050419
