Yogurt Products Fortified with Microwave-Extracted Peach Polyphenols
Abstract
:1. Introduction
2. Results
2.1. Experimental Design Results and Statistical Analysis
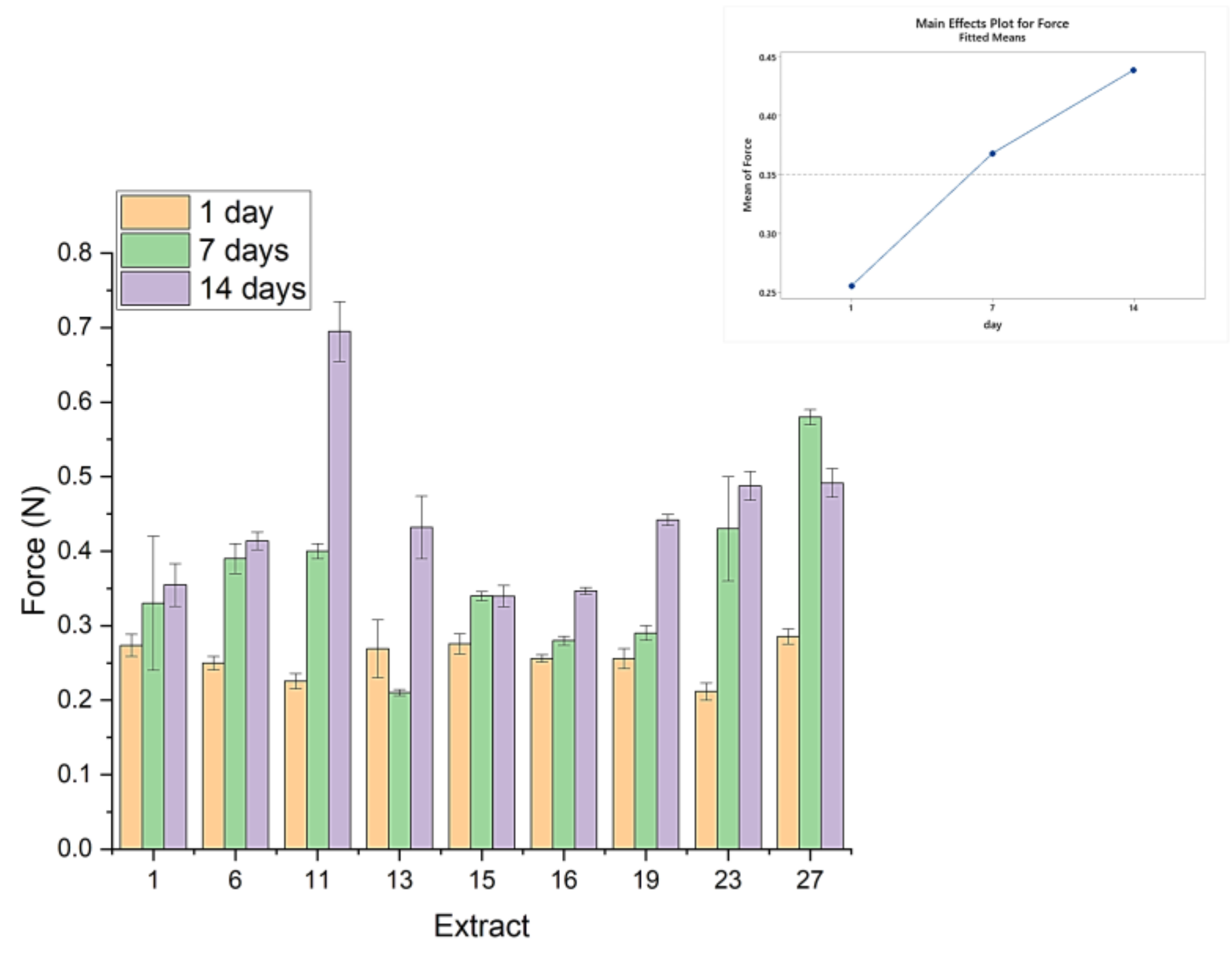
2.2. Color and Texture of the Gel Products
3. Conclusions
4. Materials and Methods
4.1. Materials
4.2. Extraction Process
4.3. Characterization of Extracts
4.4. Incorporation of Extracts into Yogurts
4.5. Colorimetric Analysis
4.6. Texture Analysis
Author Contributions
Funding
Institutional Review Board Statement
Informed Consent Statement
Data Availability Statement
Conflicts of Interest
References
- Bento, C.; Gonçalves, A.C.; Silva, B.; Silva, L.R. Peach (Prunus persica): Phytochemicals and health benefits. Food Rev. Int. 2022, 38, 1703–1734. [Google Scholar]
- Noratto, G.; Martino, H.S.; Simbo, S.; Byrne, D.; Mertens-Talcott, S.U. Consumption of polyphenol-rich peach and plum juice prevents risk factors for obesity-related metabolic disorders and cardiovascular disease in Zucker rats. J. Nutr. Biochem. 2015, 26, 633–641. [Google Scholar] [PubMed]
- Adil, I.H.; Cetin, H.; Yener, M.E.; Bayındırlı, A. Subcritical (carbon dioxide+ ethanol) extraction of polyphenols from apple and peach pomaces, and determination of the antioxidant activities of the extracts. J. Supercrit. Fluids 2007, 43, 55–63. [Google Scholar]
- Rudke, C.R.M.; Zielinski, A.A.F.; Ferreira, S.R.S. From Biorefinery to Food Product Design: Peach (Prunus persica) By-Products Deserve Attention. Food Bioprocess Technol. 2022, 1–19. [Google Scholar] [CrossRef]
- Khodaiyan, F.; Parastouei, K. Co-optimization of pectin and polyphenols extraction from black mulberry pomace using an eco-friendly technique: Simultaneous recovery and characterization of products. Int. J. Biol. Macromol. 2020, 164, 1025–1036. [Google Scholar] [PubMed]
- Niamah, A. Determination, Identification of Bio Active Compounds Extracts from Yellow Banana Peels and Used in Vitro as Antimicrobial. Int. J. Phytomedicine 2014, 6, 625–632. [Google Scholar]
- Sasidharan, S.; Chen, Y.; Saravanan, D.; Sundram, K.; Latha, L.Y. Extraction, isolation and characterization of bioactive compounds from plants’ extracts. Afr. J. Tradit. Complement. Altern. Med. 2011, 8, 1–10. [Google Scholar]
- Altemimi, A.; Lakhssassi, N.; Baharlouei, A.; Watson, D.G.; Lightfoot, D.A. Phytochemicals: Extraction, isolation, and identification of bioactive compounds from plant extracts. Plants 2017, 6, 42. [Google Scholar] [PubMed]
- Ingle, K.P.; Deshmukh, A.G.; Padole, D.A.; Dudhare, M.S.; Moharil, M.P.; Khelurkar, V.C. Phytochemicals: Extraction methods, identification and detection of bioactive compounds from plant extracts. J. Pharmacogn. Phytochem. 2017, 6, 32–36. [Google Scholar]
- Lefebvre, T.; Destandau, E.; Lesellier, E. Selective extraction of bioactive compounds from plants using recent extraction techniques: A review. J. Chromatogr. A 2021, 1635, 461770. [Google Scholar]
- Zakaria, S.M.; Kamal, S.M.M. Subcritical water extraction of bioactive compounds from plants and algae: Applications in pharmaceutical and food ingredients. Food Eng. Rev. 2016, 8, 23–34. [Google Scholar]
- Wijngaard, H.; Hossain, M.B.; Rai, D.K.; Brunton, N. Techniques to extract bioactive compounds from food by-products of plant origin. Food Res. Int. 2012, 46, 505–513. [Google Scholar]
- Giacometti, J.; Kovačević, D.B.; Putnik, P.; Gabrić, D.; Bilušić, T.; Krešić, G.; Stulić, V.; Barba, F.J.; Chemat, F.; Barbosa-Cánovas, G.; et al. Extraction of bioactive compounds and essential oils from mediterranean herbs by conventional and green innovative techniques: A review. Food Res. Int. 2018, 113, 245–262. [Google Scholar] [PubMed]
- Jha, A.K.; Sit, N. Extraction of bioactive compounds from plant materials using combination of various novel methods: A review. Trends Food Sci. Technol. 2022, 119, 579–591. [Google Scholar] [CrossRef]
- Bandici, L.; Teusdea, A.C.; Soproni, V.D.; Hathazi, F.I.; Arion, M.N.; Molnar, C.O.; Vicas, S.I. The Influence of Microwave Treatments on Bioactive Compounds and Antioxidant Capacity of Mentha piperita L. Materials 2022, 15, 7789. [Google Scholar]
- Plazzotta, S.; Ibarz, R.; Manzocco, L.; Martín-Belloso, O. Optimizing the antioxidant biocompound recovery from peach waste extraction assisted by ultrasounds or microwaves. Ultrason. Sonochem. 2020, 63, 104954. [Google Scholar]
- Alwazeer, D.; Bulut, M.; Tunçtürk, Y. Fortification of milk with plant extracts modifies the acidification and reducing capacities of yoghurt bacteria. Daily Technol. 2020, 73, 117–125. [Google Scholar]
- Al-Sahlany, S.T.G.; Khassaf, W.H.; Niamah, A.K.; Abd Al-Manhel, A.J. Date juice addition to bio-yogurt: The effects on physicochemical and microbiological properties during storage, as well as blood parameters in vivo. J. Saudi Soc. Agric. Sci. 2022, 22, 71–77. [Google Scholar]
- Bulut, M.; Akpolat, H.; Tunçtürk, Y.; Alwazeer, D. Determination of optimum ethanolic extraction conditions and phenolic profiles of thyme, mint, uckun, grape seeds and green tea waste fiber. Glob. Health 2020, 6, 605–614. [Google Scholar]
- Bulut, M.; Tunçtürk, Y.; Alwazeer, D. Effect of fortification of set-type yoghurt with different plant extracts on its physicochemical, rheological, textural and sensory properties during storage. Dairy Technol. 2021, 74, 723–736. [Google Scholar]
- Kurtulbaş, E.; Sevgen, S.; Samli, R.; Şahin, S. Microwave-assisted extraction of bioactive components from peach waste: Describing the bioactivity degradation by polynomial regression. Biomass Convers. Biorefinery 2022, 1–11. [Google Scholar] [CrossRef]
- Plazzotta, S.; Ibarz, R.; Manzocco, L.; Martín-Belloso, O. Modelling the recovery of biocompounds from peach waste assisted by pulsed electric fields or thermal treatment. J. Food Eng. 2021, 290, 110196. [Google Scholar]
- Şahin, S.; Bilgin, M. Valorization of peach (Prunus persica L.) waste into speciality products via green methods. Biomass Convers. Biorefinery 2022, 12, 123–132. [Google Scholar] [CrossRef]
- Alvi, T.; Asif, Z.; Khan, M.K.I. Clean label extraction of bioactive compounds from food waste through microwave-assisted extraction technique—A review. Food Biosci. 2022, 46, 101580. [Google Scholar]
- Kupina, S.; Fields, C.; Roman, M.C.; Brunelle, S.L. Determination of total phenolic content using the Folin-C assay: Single-laboratory validation, first action 2017.13. J. AOAC Int. 2018, 101, 1466–1472. [Google Scholar]






| Row | pH | l/s Ratio | Watt | Time (s) | Total Phenols(mg GAE/100 mL) | OBrix | d4.3 (μm) |
|---|---|---|---|---|---|---|---|
| 1 | 1 | 1.0 | 539 | 165 | 19.23 | 7.3 | 17.44 |
| 2 | 3 | 0.5 | 385 | 300 | 9.83 | 12 | 1.92 |
| 3 | 5 | 0.5 | 385 | 165 | 22.57 | 10 | 2.35 |
| 4 | 3 | 0.0 | 700 | 165 | 3.77 | 13 | 2.97 |
| 5 | 3 | 0.5 | 700 | 300 | 20.57 | 11.8 | 2.69 |
| 6 | 3 | 0.5 | 700 | 30 | 9.3 | 8.7 | 1.89 |
| 7 | 5 | 0.5 | 539 | 30 | 18.57 | 7.9 | 1.94 |
| 8 | 5 | 0.0 | 539 | 165 | 35.9 | 13.2 | 2.79 |
| 9 | 3 | 0.5 | 539 | 165 | 10.9 | 8.7 | 2.68 |
| 10 | 3 | 0.5 | 539 | 165 | 13.9 | 8.5 | 2.88 |
| 11 | 5 | 1.0 | 539 | 165 | 13.57 | 10.5 | 3.62 |
| 12 | 1 | 0.5 | 539 | 300 | 39.9 | 13.2 | 3.12 |
| 13 | 1 | 0.5 | 385 | 165 | 23.23 | 10 | 2.45 |
| 14 | 3 | 0.5 | 385 | 30 | 13.87 | 8 | 21.76 |
| 15 | 3 | 1.0 | 700 | 165 | 12.7 | 7.6 | 30.14 |
| 16 | 3 | 1.0 | 539 | 30 | 13.57 | 6 | 7.08 |
| 17 | 1 | 0.0 | 539 | 165 | 30.62 | 15.1 | 2.10 |
| 18 | 1 | 0.5 | 700 | 165 | 31.28 | 11.2 | 2.32 |
| 19 | 3 | 1.0 | 385 | 165 | 13.23 | 6.6 | 2.10 |
| 20 | 3 | 0.0 | 539 | 30 | 14.9 | 11.2 | 3.48 |
| 21 | 3 | 0.0 | 385 | 165 | 18.57 | 11.1 | 3.34 |
| 22 | 3 | 0.0 | 539 | 300 | 6.23 | 4 | 3.78 |
| 23 | 1 | 0.5 | 539 | 30 | 16.57 | 8.8 | 4.85 |
| 24 | 3 | 1.0 | 539 | 300 | 14.23 | 7.9 | 1.94 |
| 25 | 5 | 0.5 | 539 | 300 | 14.57 | 13.2 | 7.45 |
| 26 | 3 | 0.5 | 539 | 165 | 17.23 | 8.2 | 2.60 |
| 27 | 5 | 0.5 | 700 | 165 | 8.57 | 8.2 | 15.83 |
| Sample | L* | a* | b* | C* | h° | CIE-Whiteness | ASTM-Whiteness |
|---|---|---|---|---|---|---|---|
| Control (set yogurt) | 97.47 | −0.57 | 9.00 | 9.02 | 93.65 | 53.56 | 44.24 |
| 1 | −2.47 D | 2.45 R | −1.99 B | −1.76 D | −2.61 R | 55.96 | 50.48 |
| 6 | −5.68 D | 1.67 R | −1.79 B | −1.73 D | −1.74 R | 46.65 | 44.31 |
| 11 | −2.34 D | 0.65 R | −0.66 B | −0.68 D | −0.63 R | 50.11 | 43.95 |
| 13 | −5.23 D | 2.39 R | −2.09 B | −1.87 D | −2.56 R | 49.25 | 46.45 |
| 16 | −5.54 D | 1.39 R | −1.67 B | −1.64 D | −1.42 R | 46.39 | 43.93 |
| 18 | −5.26 D | 1.86 R | −1.55 B | −1.46 D | −1.94 R | 46.61 | 43.79 |
| 19 | −2.67 D | 0.72 R | −0.88 B | −0.89 D | −0.70 R | 50.21 | 44.52 |
| 23 | −1.63 D | 0.74 R | −0.78 B | −0.80 D | −0.72 R | 52.59 | 45.68 |
| 27 | −4.37 D | 0.41 | −0.53 B | −0.55 D | −0.39 R | 44.04 | 40.22 |
| Sample | pH | l/s Ratio | Watt | Time (s) | Sample | pH | l/s Ratio | Watt | Time (s) |
|---|---|---|---|---|---|---|---|---|---|
| 1 | 1 | 1.0 | 539 | 165 | 15 | 3 | 1.0 | 700 | 165 |
| 2 | 3 | 0.5 | 385 | 300 | 16 | 3 | 1.0 | 539 | 30 |
| 3 | 5 | 0.5 | 385 | 165 | 17 | 1 | 0.0 | 539 | 165 |
| 4 | 3 | 0.0 | 700 | 165 | 18 | 1 | 0.5 | 700 | 165 |
| 5 | 3 | 0.5 | 700 | 300 | 19 | 3 | 1.0 | 385 | 165 |
| 6 | 3 | 0.5 | 700 | 30 | 20 | 3 | 0.0 | 539 | 30 |
| 7 | 5 | 0.5 | 539 | 30 | 21 | 3 | 0.0 | 385 | 165 |
| 8 | 5 | 0.0 | 539 | 165 | 22 | 3 | 0.0 | 539 | 300 |
| 9 | 3 | 0.5 | 539 | 165 | 23 | 1 | 0.5 | 539 | 30 |
| 10 | 3 | 0.5 | 539 | 165 | 24 | 3 | 1.0 | 539 | 300 |
| 11 | 5 | 1.0 | 539 | 165 | 25 | 5 | 0.5 | 539 | 300 |
| 12 | 1 | 0.5 | 539 | 300 | 26 | 3 | 0.5 | 539 | 165 |
| 13 | 1 | 0.5 | 385 | 165 | 27 | 5 | 0.5 | 700 | 165 |
| 14 | 3 | 0.5 | 385 | 30 |
| Sample | Extract pH | l/s Ratio | Watt | Time | Yogurt pH |
|---|---|---|---|---|---|
| 1 | 1 | 1.0 | 539 | 165 | 3.92 |
| 6 | 3 | 0.5 | 700 | 30 | 4.12 |
| 11 | 5 | 1.0 | 539 | 165 | 4.27 |
| 13 | 1 | 0.5 | 385 | 165 | 4 |
| 15 | 3 | 1.0 | 700 | 165 | 4.24 |
| 16 | 3 | 1.0 | 539 | 30 | 4.27 |
| 19 | 3 | 1.0 | 385 | 165 | 4.26 |
| 23 | 1 | 0.5 | 539 | 30 | 4 |
| 27 | 5 | 0.5 | 700 | 165 | 4.3 |
Disclaimer/Publisher’s Note: The statements, opinions and data contained in all publications are solely those of the individual author(s) and contributor(s) and not of MDPI and/or the editor(s). MDPI and/or the editor(s) disclaim responsibility for any injury to people or property resulting from any ideas, methods, instructions or products referred to in the content. |
© 2023 by the authors. Licensee MDPI, Basel, Switzerland. This article is an open access article distributed under the terms and conditions of the Creative Commons Attribution (CC BY) license (https://creativecommons.org/licenses/by/4.0/).
Share and Cite
Theocharidou, A.; Psomas, E.; Koliouskas, A.; Ritzoulis, C. Yogurt Products Fortified with Microwave-Extracted Peach Polyphenols. Gels 2023, 9, 266. https://doi.org/10.3390/gels9040266
Theocharidou A, Psomas E, Koliouskas A, Ritzoulis C. Yogurt Products Fortified with Microwave-Extracted Peach Polyphenols. Gels. 2023; 9(4):266. https://doi.org/10.3390/gels9040266
Chicago/Turabian StyleTheocharidou, Athina, Evdoxios Psomas, Antonios Koliouskas, and Christos Ritzoulis. 2023. "Yogurt Products Fortified with Microwave-Extracted Peach Polyphenols" Gels 9, no. 4: 266. https://doi.org/10.3390/gels9040266
APA StyleTheocharidou, A., Psomas, E., Koliouskas, A., & Ritzoulis, C. (2023). Yogurt Products Fortified with Microwave-Extracted Peach Polyphenols. Gels, 9(4), 266. https://doi.org/10.3390/gels9040266

