Effect of Humidity and Temperature on the Impedances and Voltage of Al/Gr-Jelly/Cu-Rubber Composite-Based Flexible Electrochemical Sensors
Abstract
:1. Introduction
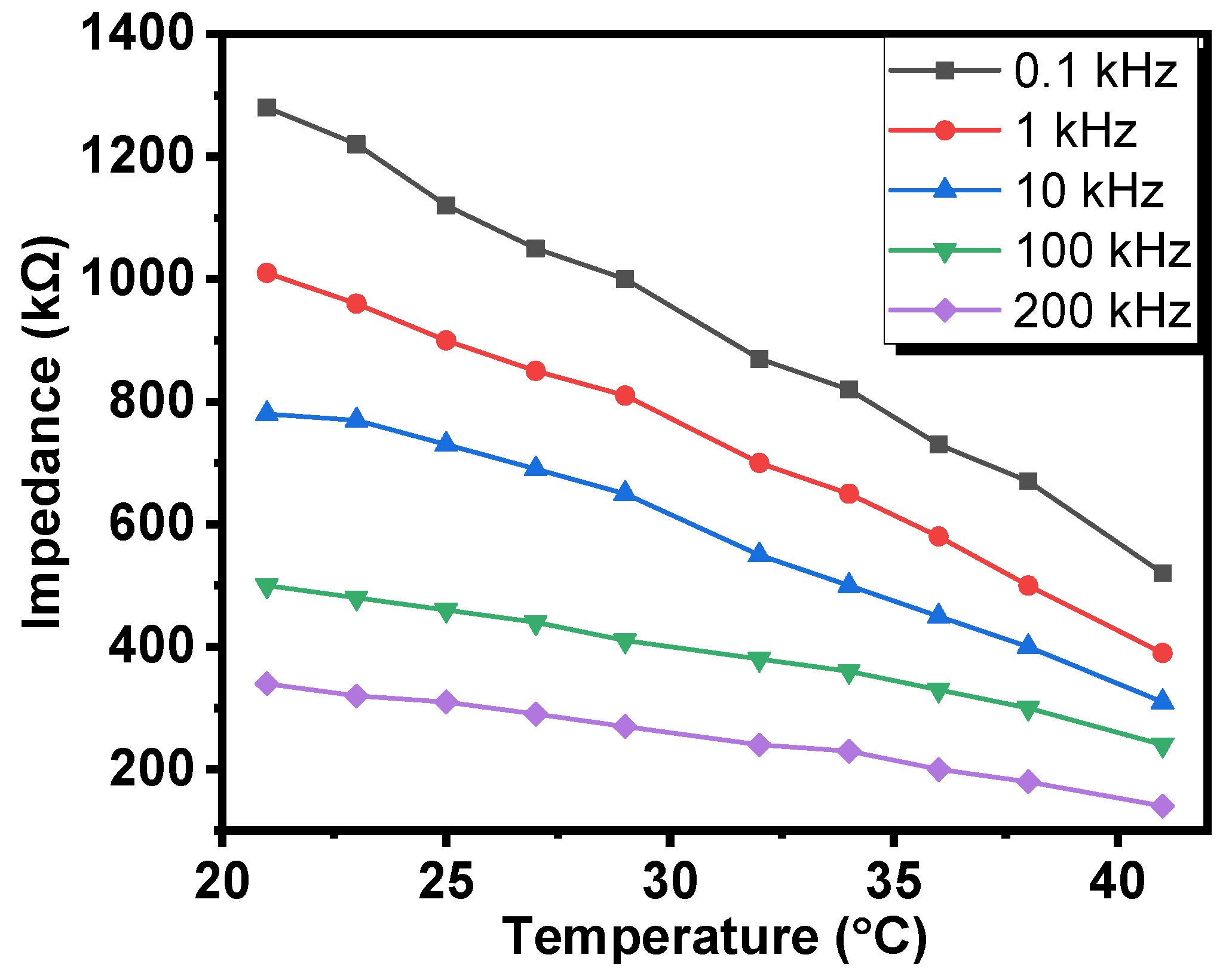
2. Results and Discussions
3. Conclusions
4. Experimental
Author Contributions
Funding
Institutional Review Board Statement
Informed Consent Statement
Data Availability Statement
Acknowledgments
Conflicts of Interest
References
- Chen, Z.; Lu, C. Humidity sensors: A review of materials and mechanisms. Sens. Lett. 2005, 3, 274–295. [Google Scholar] [CrossRef] [Green Version]
- Farahani, H.; Wagiran, R.; Hamidon, M.N. Humidity sensors principle, mechanism, and fabrication technologies: A comprehensive review. Sensors 2014, 14, 7881–7939. [Google Scholar] [CrossRef] [PubMed] [Green Version]
- Najeeb, M.A.; Ahmad, Z.; Shakoor, R.A. Organic Thin-Film Capacitive and Resistive Humidity Sensors: A Focus Review. Adv. Mater. Interfaces 2018, 5, 1800969. [Google Scholar] [CrossRef]
- Hassan, G.; Sajid, M.; Choi, C. Highly Sensitive and Full Range Detectable Humidity Sensor using PEDOT: PSS, Methyl Red and Graphene Oxide Materials. Sci. Rep. 2019, 9, 15227. [Google Scholar] [CrossRef] [Green Version]
- Ali, S.; Tahir, M.; Mehboob, N.; Wahab, F.J.; Langford, S.; Said, S.R.M.; Sarker, M.; Julai, S.; Hamid Md Ali, S. Amino Anthraquinone: Synthesis, Characterization, and Its Application as an Active Material in Environmental Sensors. Materials 2020, 13, 960. [Google Scholar] [CrossRef] [Green Version]
- Karimov, K.S.; Qazi, I.; Khan, T.; Draper, P.; Khalid, F.; Mahroof-Tahir, M. Humidity and illumination organic semiconductor copper phthalocyanine sensor for environmental monitoring. Environ. Monit. Assess. 2008, 141, 323–328. [Google Scholar] [CrossRef] [PubMed]
- Chani, M.T.S. Impedimetric sensing of temperature and humidity by using organic-inorganic nanocomposites composed of chitosan and a CuO-Fe3O4 nanopowder. Microchim. Acta 2017, 184, 2349–2356. [Google Scholar] [CrossRef]
- Karimov, K.S.; Saleem, M.; Iqbal, Y.; Fatima, N.; Gohar, R. Phase, microstructural analysis, and humidity-sensing properties of orange dye and cuprous-oxide composite. Appl. Phys. A 2017, 123, 1–7. [Google Scholar] [CrossRef]
- Chani, M.T.S.; Karimov, K.S.; Meng, H.; Akhmedov, K.M.; Murtaza, I.; Asghar, U.; Abbass, S.Z.; Ali, R.; Asiri, A.M.; Nawaz, N. Humidity sensor based on orange dye and graphene solid electrolyte cells. Russ. J. Electrochem. 2019, 55, 1391–1396. [Google Scholar] [CrossRef]
- Karimov, K.S.; Ahmad, Z.; Khan, M.I.; Siddiqui, K.J.; Qasuria, T.; Abbas, S.Z.; Usman, M.; Rehman, A.-U. Elastic layered rubber-graphene composite fabricated by rubbing-in technology for the multi-functional sensors. Heliyon 2019, 5, e01187. [Google Scholar] [CrossRef] [Green Version]
- Shao, Y.; Wang, J.; Wu, H.; Liu, J.; Aksay, I.A.; Lin, Y. Graphene Based Electrochemical Sensors and Biosensors: A Review. Electroanalysis 2010, 22, 1027–1036. [Google Scholar] [CrossRef]
- Sahatiya, P.; Puttapati, S.K.; Srikanth, V.V.S.S.; Badhulika, S. Graphene-based wearable temperature sensor and infrared photodetector on a flexible polyimide substrate. Flex. Print. Electron. 2016, 1, 025006. [Google Scholar] [CrossRef]
- Liu, G.; Tan, Q.; Kou, H.; Zhang, L.; Wang, J.; Lv, W.; Dong, H.; Xiong, J. A Flexible Temperature Sensor Based on Reduced Graphene Oxide for Robot Skin Used in Internet of Things. Sensors 2018, 18, 1400. [Google Scholar] [CrossRef] [PubMed] [Green Version]
- Sun, P.; Zhu, M.; Wang, K.; Zhong, M.; Wei, J.; Wu, D.; Zhu, H. Small Temperature Coefficient of Resistivity of Graphene/Graphene Oxide Hybrid Membranes. ACS Appl. Mater. Interfaces 2013, 5, 9563–9571. [Google Scholar] [CrossRef] [PubMed]
- Valentine, C.J.; Takagishi, K.; Umezu, S.; Daly, R.; De Volder, M. Paper-Based Electrochemical Sensors Using Paper as a Scaffold to Create Porous Carbon Nanotube Electrodes. ACS Appl. Mater. Interfaces 2020, 12, 30680–30685. [Google Scholar] [CrossRef]
- Rahman, M.A.; Kumar, P.; Park, D.-S.; Shim, Y.-B. Electrochemical Sensors Based on Organic Conjugated Polymers. Sensors 2008, 8, 118–141. [Google Scholar] [CrossRef]
- Gaharwar, A.K.; Peppas, N.A.; Khademhosseini, A. Nanocomposite hydrogels for biomedical applications. Biotechnol. Bioeng. 2014, 111, 441–453. [Google Scholar] [CrossRef] [Green Version]
- Chani, M.T.S. Fabrication and characterization of chitosan-CeO2-CdO nanocomposite based impedimetric humidity sensors. Int. J. Biol. Macromol. 2022, 194, 377–383. [Google Scholar] [CrossRef]
- Hopkins, J.; Fidanovski, K.; Lauto, A.; Mawad, D. All-Organic Semiconductors for Electrochemical Biosensors: An Overview of Recent Progress in Material Design. Front. Bioeng. Biotechnol. 2019, 7, 237. [Google Scholar] [CrossRef]
- Khan, M.K.A.; Rahman, M.S.; Das, T.; Ahmed, M.N.; Saha, K.N.; Paul, S. Investigation on parameters performance of Zn/Cu electrodes of PKL, AVL, Tomato and Lemon juice based electrochemical cells: A comparative study. In Proceedings of the 2017 3rd International Conference on Electrical Information and Communication Technology (EICT), Khulna, Bangladesh, 7–9 December 2017; pp. 1–6. [Google Scholar]
- Haditale, M.; Dariani, R.S.; Lemraski, E.G. Electrical behavior of graphene under temperature effect and survey of I–T curve. J. Theor. Appl. Phys. 2019, 13, 351–356. [Google Scholar] [CrossRef] [Green Version]
- Yang, G.; Li, L.; Lee, W.B.; Ng, M.C. Structure of graphene and its disorders: A review. Sci. Technol. Adv. Mater. 2018, 19, 613–648. [Google Scholar] [CrossRef] [PubMed] [Green Version]










| Sr. No | Sensor Type | Materials | Fabrication Technology | References |
|---|---|---|---|---|
| 1 | Humidity | PEDOT:PSS, Methyl red and graphene oxide | Ink-jet printing and spin coating | [4] |
| 2 | Humidity | Chitosan-CeO2-CdO nanocomposite | Pressing | [18] |
| 3 | Humidity and temperature | Amino anthraquinone | Thermal deposition | [5] |
| 4 | Humidity and illumination | Copper phthalocyanine | Vacuum thermal evaporation | [6] |
| 5 | Temperature and humidity | Chitosan–CuO–Fe3O4 nanocomposite | Pressing | [7] |
| 6 | Temperature and infrared photodetector | Graphene | Microfabrication | [12] |
| 7 | Temperature sensors | Reduced graphene oxide | Screen printing and air spray coating | [13] |
| 8 | Temperature | Graphene–graphene oxide hybrid films | LBL method | [14] |
| 9 | Paper-based electrochemical sensors | CNTs | Laser cutting, drop-casting, and origami | [15] |
Publisher’s Note: MDPI stays neutral with regard to jurisdictional claims in published maps and institutional affiliations. |
© 2022 by the authors. Licensee MDPI, Basel, Switzerland. This article is an open access article distributed under the terms and conditions of the Creative Commons Attribution (CC BY) license (https://creativecommons.org/licenses/by/4.0/).
Share and Cite
Chani, M.T.S.; Karimov, K.S.; Bakhsh, E.M.; Rahman, M.M. Effect of Humidity and Temperature on the Impedances and Voltage of Al/Gr-Jelly/Cu-Rubber Composite-Based Flexible Electrochemical Sensors. Gels 2022, 8, 73. https://doi.org/10.3390/gels8020073
Chani MTS, Karimov KS, Bakhsh EM, Rahman MM. Effect of Humidity and Temperature on the Impedances and Voltage of Al/Gr-Jelly/Cu-Rubber Composite-Based Flexible Electrochemical Sensors. Gels. 2022; 8(2):73. https://doi.org/10.3390/gels8020073
Chicago/Turabian StyleChani, Muhammad Tariq Saeed, Khasan S. Karimov, Esraa M. Bakhsh, and Mohammed M. Rahman. 2022. "Effect of Humidity and Temperature on the Impedances and Voltage of Al/Gr-Jelly/Cu-Rubber Composite-Based Flexible Electrochemical Sensors" Gels 8, no. 2: 73. https://doi.org/10.3390/gels8020073
APA StyleChani, M. T. S., Karimov, K. S., Bakhsh, E. M., & Rahman, M. M. (2022). Effect of Humidity and Temperature on the Impedances and Voltage of Al/Gr-Jelly/Cu-Rubber Composite-Based Flexible Electrochemical Sensors. Gels, 8(2), 73. https://doi.org/10.3390/gels8020073

