Tacrolimus-Loaded Solid Lipid Nanoparticle Gel: Formulation Development and In Vitro Assessment for Topical Applications
Abstract
1. Introduction
2. Results and Discussion
2.1. Preparation of SLNs
2.2. Characterization of Tacrolimus-Loaded SLNs Formulation
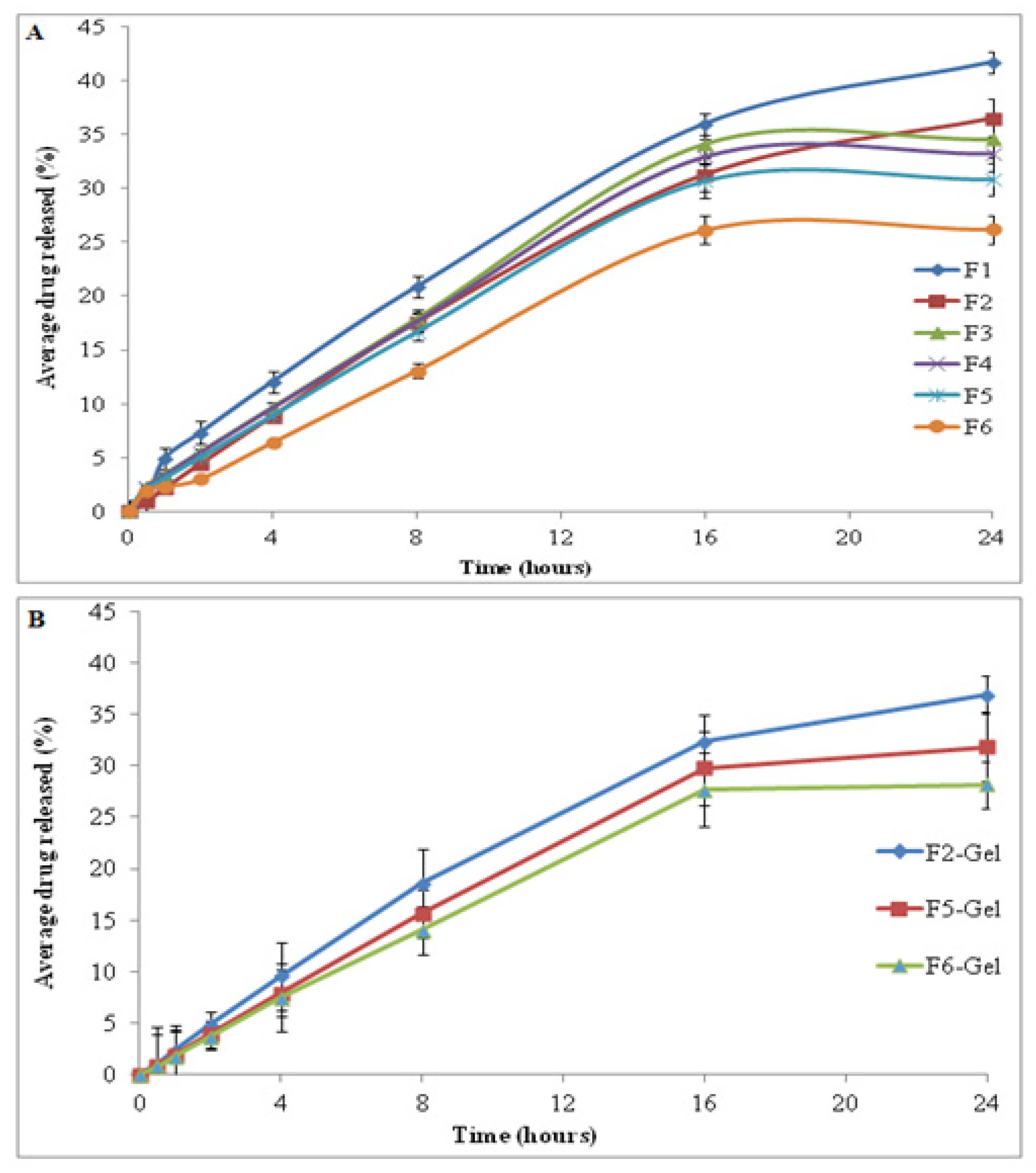
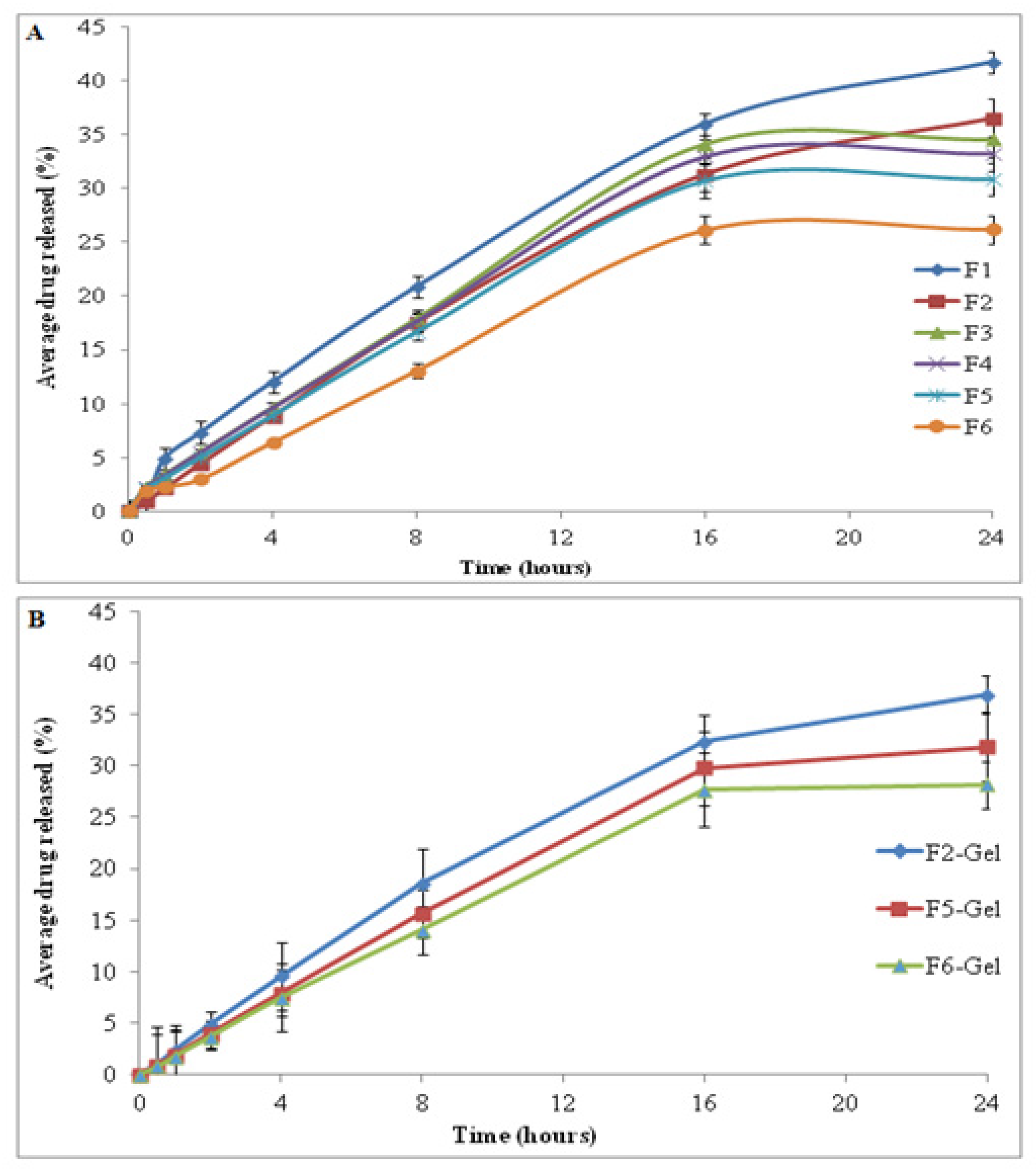
2.3. Drug Release
2.4. Drug Permeation through the Rats’ Skin
2.5. Skin Drug Retention
3. Conclusions
4. Materials and Methods
4.1. Materials
4.2. Preparation of Tacrolimus-Loaded SLNs
4.3. SLN-Loaded Gel Preparation
4.4. Physicochemical Characterization
4.4.1. Particle Size and Polydispersity Index
4.4.2. Zeta Potential
4.4.3. Structural Analysis
4.4.4. Drug Encapsulation Efficiency
4.4.5. Density
4.4.6. Surface Tension
4.4.7. Viscosity
4.4.8. pH
4.5. Ex Vivo Drug Release
4.6. Animal Ethics Approval
4.7. Ex Vivo Drug Permeation and Retention
4.8. Statistical Analysis
Author Contributions
Funding
Institutional Review Board Statement
Informed Consent Statement
Data Availability Statement
Acknowledgments
Conflicts of Interest
References
- Prince, G.T.; Cameron, M.C.; Fathi, R.; Alkousakis, T. Topical 5-fluorouracil in dermatologic disease. Int. J. Dermatol. 2018, 57, 1259–1264. [Google Scholar] [CrossRef]
- Sala, M.; Diab, R.; Elaissari, A.; Fessi, H. Lipid nanocarriers as skin drug delivery systems: Properties, mechanisms of skin interactions and medical applications. Int. J. Pharm. 2018, 535, 1–17. [Google Scholar] [CrossRef]
- Chu, D. Overview of biology, development, and structure of skin. In Fitzpatrick’s Dermatology in General Medicine, 8th ed.; Wolff, K., Goldsmith, L.A., Katz, S.I., Gilchrest, B.A., Paller, A.S., DJ Leffell, D.J., Eds.; McGraw Hill Medical: New York, NY, USA, 2008. [Google Scholar]
- Del Prado-Audelo, M.L.; Caballero-Florán, I.H.; Sharifi-Rad, J.; Mendoza-Muñoz, N.; González-Torres, M.; Urbán-Morlán, Z.; Florán, B.; Cortes, H.; Leyva-Gómez, G. Chitosan-decorated nanoparticles for drug delivery. J. Drug Deliv. Sci. Technol. 2020, 59, 101896. [Google Scholar] [CrossRef]
- Prow, T.W.; Grice, J.E.; Lin, L.L.; Faye, R.; Butler, M.; Becker, W.; Wurm, E.M.; Yoong, C.; Robertson, T.A.; Soyer, H.P. Nanoparticles and microparticles for skin drug delivery. Adv. Drug Deliv. Rev. 2011, 63, 470–491. [Google Scholar] [CrossRef]
- Patel, D.K.; Kesharwani, R.; Kumar, V. Etodolac loaded solid lipid nanoparticle based topical gel for enhanced skin delivery. Biocatal. Agric. Biotechnol. 2020, 29, 101810. [Google Scholar] [CrossRef]
- Chen, X.; Peng, L.; Gao, J. Novel topical drug delivery systems and their potential use in scars treatment. Asian J. Pharm. Sci. 2012, 7, 155–167. [Google Scholar]
- Puglia, C.; Blasi, P.; Rizza, L.; Schoubben, A.; Bonina, F.; Rossi, C.; Ricci, M. Lipid nanoparticles for prolonged topical delivery: An in vitro and in vivo investigation. Int. J. Pharm. 2008, 357, 295–304. [Google Scholar] [CrossRef]
- Kaur, R.; Sharma, N.; Tikoo, K.; Sinha, V. Development of mirtazapine loaded solid lipid nanoparticles for topical delivery: Optimization, characterization and cytotoxicity evaluation. Int. J. Pharm. 2020, 586, 119439. [Google Scholar] [CrossRef]
- Yaghmur, A.; Mu, H. Recent advances in drug delivery applications of cubosomes, hexosomes, and solid lipid nanoparticles. Acta Pharm. Sin. B 2021, 11, 871–885. [Google Scholar] [CrossRef]
- Kang, B.-S.; Choi, J.-S.; Lee, S.-E.; Lee, J.-K.; Kim, T.-H.; Jang, W.S.; Tunsirikongkon, A.; Kim, J.-K.; Park, J.-S. Enhancing the in vitro anticancer activity of albendazole incorporated into chitosan-coated PLGA nanoparticles. Carbohydr. Polym. 2017, 159, 39–47. [Google Scholar] [CrossRef]
- Honary, S.; Zahir, F. Effect of zeta potential on the properties of nano-drug delivery systems-a review (Part 2). Trop. J. Pharm. Res. 2013, 12, 265–273. [Google Scholar]
- Souto, E.; Wissing, S.; Barbosa, C.; Müller, R. Development of a controlled release formulation based on SLN and NLC for topical clotrimazole delivery. Int. J. Pharm. 2004, 278, 71–77. [Google Scholar] [CrossRef] [PubMed]
- Silverberg, J.I.; Hanifin, J.M. Adult eczema prevalence and associations with asthma and other health and demographic factors: A US population–based study. J. Allergy Clin. Immunol. 2013, 132, 1132–1138. [Google Scholar] [CrossRef]
- Chang, K.-T.; Lin, H.Y.-H.; Kuo, C.-H.; Hung, C.-H. Tacrolimus suppresses atopic dermatitis-associated cytokines and chemokines in monocytes. J. Microbiol. Immunol. Infect. 2016, 49, 409–416. [Google Scholar] [CrossRef]
- Zhang, D.; Pan, X.; Wang, S.; Zhai, Y.; Guan, J.; Fu, Q.; Hao, X.; Qi, W.; Wang, Y.; Lian, H. Multifunctional poly (methyl vinyl ether-co-maleic anhydride)-graft-hydroxypropyl-β-cyclodextrin amphiphilic copolymer as an oral high-performance delivery carrier of tacrolimus. Mol. Pharm. 2015, 12, 2337–2351. [Google Scholar] [CrossRef]
- Goebel, A.S.; Neubert, R.H.; Wohlrab, J. Dermal targeting of tacrolimus using colloidal carrier systems. Int. J. Pharm. 2011, 404, 159–168. [Google Scholar] [CrossRef]
- Sezer, A.D.; Cevher, E. Topical drug delivery using chitosan nano-and microparticles. Expert Opin. Drug Deliv. 2012, 9, 1129–1146. [Google Scholar] [CrossRef]
- Dianzani, C.; Foglietta, F.; Ferrara, B.; Rosa, A.C.; Muntoni, E.; Gasco, P.; Della Pepa, C.; Canaparo, R.; Serpe, L. Solid lipid nanoparticles delivering anti-inflammatory drugs to treat inflammatory bowel disease: Effects in an in vivo model. World J. Gastroenterol. 2017, 23, 4200. [Google Scholar] [CrossRef]
- Seo, Y.G.; Kim, D.-W.; Cho, K.H.; Yousaf, A.M.; Kim, D.S.; Kim, J.H.; Kim, J.O.; Yong, C.S.; Choi, H.-G. Preparation and pharmaceutical evaluation of new tacrolimus-loaded solid self-emulsifying drug delivery system. Arch. Pharmacal. Res. 2015, 38, 223–228. [Google Scholar] [CrossRef]
- Shin, S.-B.; Cho, H.-Y.; Kim, D.-D.; Choi, H.-G.; Lee, Y.-B. Preparation and evaluation of tacrolimus-loaded nanoparticles for lymphatic delivery. Eur. J. Pharm. Biopharm. 2010, 74, 164–171. [Google Scholar] [CrossRef]
- Wang, Y.; Sun, J.; Zhang, T.; Liu, H.; He, F.; He, Z. Enhanced oral bioavailability of tacrolimus in rats by self-microemulsifying drug delivery systems. Drug Dev. Ind. Pharm. 2011, 37, 1225–1230. [Google Scholar] [CrossRef] [PubMed]
- Pizzol, C.D.; Filippin-Monteiro, F.B.; Restrepo, J.A.S.; Pittella, F.; Silva, A.H.; Alves de Souza, P.; Machado de Campos, A.; Creczynski-Pasa, T.B. Influence of surfactant and lipid type on the physicochemical properties and biocompatibility of solid lipid nanoparticles. Int. J. Environ. Res. Public Health 2014, 11, 8581–8596. [Google Scholar] [CrossRef] [PubMed]
- Küchler, S.; Herrmann, W.; Panek-Minkin, G.; Blaschke, T.; Zoschke, C.; Kramer, K.D.; Bittl, R.; Schäfer-Korting, M. SLN for topical application in skin diseases—Characterization of drug–carrier and carrier–target interactions. Int. J. Pharm. 2010, 390, 225–233. [Google Scholar] [CrossRef] [PubMed]
- Khan, S.; Shaharyar, M.; Fazil, M.; Baboota, S.; Ali, J. Tacrolimus-loaded nanostructured lipid carriers for oral delivery–optimization of production and characterization. Eur. J. Pharm. Biopharm. 2016, 108, 277–288. [Google Scholar] [CrossRef]
- Danaei, M.; Dehghankhold, M.; Ataei, S.; Hasanzadeh Davarani, F.; Javanmard, R.; Dokhani, A.; Khorasani, S.; Mozafari, M. Impact of particle size and polydispersity index on the clinical applications of lipidic nanocarrier systems. Pharmaceutics 2018, 10, 57. [Google Scholar] [CrossRef]
- Ridolfi, D.M.; Marcato, P.D.; Justo, G.Z.; Cordi, L.; Machado, D.; Durán, N. Chitosan-solid lipid nanoparticles as carriers for topical delivery of tretinoin. Colloids Surf. B Biointerfaces 2012, 93, 36–40. [Google Scholar] [CrossRef]
- Al-Nemrawi, N.; Alsharif, S.; Dave, R. Preparation of chitosan-TPP nanoparticles: The influence of chitosan polymeric properties and formulation variables. Int. J. Appl. Pharm. 2018, 10, 60–65. [Google Scholar] [CrossRef]
- Ruckmani, K.; Sankar, V. Formulation and optimization of zidovudine niosomes. Aaps Pharmscitech 2010, 11, 1119–1127. [Google Scholar] [CrossRef]
- Zirak, M.B.; Pezeshki, A. Effect of surfactant concentration on the particle size, stability and potential zeta of beta carotene nano lipid carrier. Int. J. Curr. Microbiol. Appl. Sci. 2015, 4, 924–932. [Google Scholar]
- Müller, R.H.; Radtke, M.; Wissing, S.A. Solid lipid nanoparticles (SLN) and nanostructured lipid carriers (NLC) in cosmetic and dermatological preparations. Adv. Drug Deliv. Rev. 2002, 54, S131–S155. [Google Scholar] [CrossRef]
- Knudsen, N.Ø.; Pedersen, G.P. pH and drug delivery. In pH of the Skin: Issues and Challenges; Karger Publishers: Berlin, Germany, 2018; Volume 54, pp. 143–151. [Google Scholar]
- El-Housiny, S.; Shams Eldeen, M.A.; El-Attar, Y.A.; Salem, H.A.; Attia, D.; Bendas, E.R.; El-Nabarawi, M.A. Fluconazole-loaded solid lipid nanoparticles topical gel for treatment of pityriasis versicolor: Formulation and clinical study. Drug Deliv. 2018, 25, 78–90. [Google Scholar] [CrossRef] [PubMed]
- Liu, D.; Jiang, S.; Shen, H.; Qin, S.; Liu, J.; Zhang, Q.; Li, R.; Xu, Q. Diclofenac sodium-loaded solid lipid nanoparticles prepared by emulsion/solvent evaporation method. J. Nanoparticle Res. 2011, 13, 2375–2386. [Google Scholar] [CrossRef]
- Üner, M.; Yener, G. Importance of solid lipid nanoparticles (SLN) in various administration routes and future perspectives. Int. J. Nanomed. 2007, 2, 289. [Google Scholar]
- Bansal, V.; Sharma, P.K.; Sharma, N.; Pal, O.P.; Malviya, R. Applications of chitosan and chitosan derivatives in drug delivery. Adv. Biol. Res. 2011, 5, 28–37. [Google Scholar]
- Pople, P.V.; Singh, K.K. Development and evaluation of topical formulation containing solid lipid nanoparticles of vitamin A. Aaps Pharmscitech 2006, 7, E63–E69. [Google Scholar] [CrossRef]
- Olbrich, C.; Müller, R.H.; Tabatt, K.; Kayser, O.; Schulze, C.; Schade, R. Stable biocompatible adjuvants—A new type of adjuvant based on solid lipid nanoparticles: A study on cytotoxicity, compatibility and efficacy in chicken. Altern. Lab. Anim. 2002, 30, 443–458. [Google Scholar] [CrossRef]
- Lv, Q.; Yu, A.; Xi, Y.; Li, H.; Song, Z.; Cui, J.; Cao, F.; Zhai, G. Development and evaluation of penciclovir-loaded solid lipid nanoparticles for topical delivery. Int. J. Pharm. 2009, 372, 191–198. [Google Scholar] [CrossRef]
- Kang, J.-H.; Chon, J.; Kim, Y.-I.; Lee, H.-J.; Oh, D.-W.; Lee, H.-G.; Han, C.-S.; Kim, D.-W.; Park, C.-W. Preparation and evaluation of tacrolimus-loaded thermosensitive solid lipid nanoparticles for improved dermal distribution. Int. J. Nanomed. 2019, 14, 5381. [Google Scholar] [CrossRef]
- Roussel, L.; Abdayem, R.; Gilbert, E.; Pirot, F.; Haftek, M. Influence of excipients on two elements of the stratum corneum barrier: Intercellular lipids and epidermal tight junctions. In Percutaneous Penetration Enhancers Chemical Methods in Penetration Enhancement; Springer: Berlin, Germany, 2015; pp. 69–90. [Google Scholar]
- Lane, M.E. Skin penetration enhancers. Int. J. Pharm. 2013, 447, 12–21. [Google Scholar] [CrossRef]
- Jain, S.; Addan, R.; Kushwah, V.; Harde, H.; Mahajan, R.R. Comparative assessment of efficacy and safety potential of multifarious lipid based Tacrolimus loaded nanoformulations. Int. J. Pharm. 2019, 562, 96–104. [Google Scholar] [CrossRef]
- Jain, S.; Chourasia, M.; Masuriha, R.; Soni, V.; Jain, A.; Jain, N.K.; Gupta, Y. Solid lipid nanoparticles bearing flurbiprofen for transdermal delivery. Drug Deliv. 2005, 12, 207–215. [Google Scholar] [CrossRef] [PubMed][Green Version]
- Raza, K.; Singh, B.; Lohan, S.; Sharma, G.; Negi, P.; Yachha, Y.; Katare, O.P. Nano-lipoidal carriers of tretinoin with enhanced percutaneous absorption, photostability, biocompatibility and anti-psoriatic activity. Int. J. Pharm. 2013, 456, 65–72. [Google Scholar] [CrossRef] [PubMed]
- Zeb, A.; Arif, S.T.; Malik, M.; Shah, F.A.; Din, F.U.; Qureshi, O.S.; Lee, E.-S.; Lee, G.-Y.; Kim, J.-K. Potential of nanoparticulate carriers for improved drug delivery via skin. J. Pharm. Investig. 2019, 49, 485–517. [Google Scholar] [CrossRef]
- Trombino, S.; Serini, S.; Cassano, R.; Calviello, G. Xanthan gum-based materials for omega-3 PUFA delivery: Preparation, characterization and antineoplastic activity evaluation. Carbohydr. Polym. 2019, 208, 431–440. [Google Scholar] [CrossRef]
- Bartosova, L.; Bajgar, J. Transdermal drug delivery in vitro using diffusion cells. Curr. Med. Chem. 2012, 19, 4671–4677. [Google Scholar] [CrossRef]
- Zhuo, F.; Abourehab, M.A.; Hussain, Z. Hyaluronic acid decorated tacrolimus-loaded nanoparticles: Efficient approach to maximize dermal targeting and anti-dermatitis efficacy. Carbohydr. Polym. 2018, 197, 478–489. [Google Scholar] [CrossRef]
- Liu, M.; Wen, J.; Sharma, M. Solid lipid nanoparticles for topical drug delivery: Mechanisms, dosage form perspectives, and translational status. Curr. Pharm. Des. 2020, 26, 3203–3217. [Google Scholar] [CrossRef]
- Balamurugan, M. Chitosan: A perfect polymer used in fabricating gene delivery and novel drug delivery systems. Int. J. Pharm. Pharm. Sci. 2012, 4, 54–56. [Google Scholar]
- Kelidari, H.; Saeedi, M.; Akbari, J.; Morteza-Semnani, K.; Gill, P.; Valizadeh, H.; Nokhodchi, A. Formulation optimization and in vitro skin penetration of spironolactone loaded solid lipid nanoparticles. Colloids Surf. B Biointerfaces 2015, 128, 473–479. [Google Scholar] [CrossRef]
- Pooja, D.; Tunki, L.; Kulhari, H.; Reddy, B.B.; Sistla, R. Optimization of solid lipid nanoparticles prepared by a single emulsification-solvent evaporation method. Data Brief 2016, 6, 15–19. [Google Scholar] [CrossRef]





| Sample | Tacrolimus (gm) | Tween 80 (gm) | Span 80 (gm) | Stearic Acid (gm) | Ethanol (gm) | Chitosan (gm) | Distill Water (gm) |
| F1 | 0.1 | 1 | ---- | 1 | 10 | ---- | 87.90 |
| F2 | 0.1 | 1.25 | ---- | 1 | 10 | ---- | 87.65 |
| F3 | 0.1 | 1.50 | ---- | 1 | 10 | ---- | 87.40 |
| F4 | 0.1 | 1.25 | 0.25 | 1 | 10 | ---- | 87.40 |
| F5 | 0.1 | 1.25 | 0.50 | 1 | 10 | ---- | 87.15 |
| F6 | 0.1 | 1.25 | 0.50 | 1 | 10 | 0.0015 | 87.14 |
| Sample | Sodium Alginate (g) | Glycerol (g) | Trietanolamine (g) | ||||
| Gel (F2) | 1 | 5 | 1 | ||||
| Gel (F5) | 1 | 5 | 1 | ||||
| Gel (F6) | 1 | 5 | 1 | ||||
| Formulation Code | Size (nm) | PDI | Zeta Potential (mV) | Drug Content (mg/mL) | Entrapment Efficiency (%) |
|---|---|---|---|---|---|
| F1 | 669 ± 5.06 | 0.302 | −25.80 ± 0.05 | 0.86 ± 0.03 | 68.95 ± 0.03 |
| F2 | 489 ± 6.81 | 0.318 | −23.10 ± 0.02 | 0.89 ± 0.02 | 72.26 ± 0.05 |
| F3 | 639 ± 8.43 | 0.342 | −20.20 ± 0.04 | 0.87 ± 0.04 | 69.71 ± 0.02 |
| F4 | 578 ± 4.12 | 0.358 | −19.30 ± 0.02 | 0.88 ± 0.03 | 78.38 ± 0.04 |
| F5 | 439 ± 4.44 | 0.372 | −15.70 ± 0.02 | 0.89 ± 0.02 | 80.45 ± 0.05 |
| F6 | 523 ± 3.79 | 0.292 | 17.40 ± 0.07 | 0.91 ± 0.03 | 83.68 ± 0.04 |
| Formulation Code | Viscosity | Surface Tension (Dynes/cm2) | pH | Specific Gravity | Density |
|---|---|---|---|---|---|
| F1 | 11.56 ± 0.43 | 30.82 ± 0.81 | 5.45 ± 0.14 | 0.977 ± 0.09 | 0.947 ± 0.02 |
| F2 | 14.22 ± 0.22 | 28.33 ± 0.78 | 5.36 ± 0.05 | 0.984 ± 0.04 | 0.952 ± 0.04 |
| F3 | 23.11 ± 0.26 | 27.66 ± 0.49 | 5.44 ± 0.07 | 0.991 ± 0.06 | 0.961 ± 0.04 |
| F4 | 25.87 ± 0.55 | 22.79 ± 0.63 | 5.11 ± 0.12 | 0.992 ± 0.01 | 0.979 ± 0.03 |
| F5 | 36.95 ± 0.54 | 21.43 ± 0.52 | 5.29 ± 0.14 | 0.993 ± 0.02 | 0.988 ± 0.03 |
| F6 | 39.87 ± 0.43 | 19.81 ± 0.22 | 5.53 ± 0.07 | 0.996 ± 0.03 | 0.997 ± 0.05 |
Publisher’s Note: MDPI stays neutral with regard to jurisdictional claims in published maps and institutional affiliations. |
© 2022 by the authors. Licensee MDPI, Basel, Switzerland. This article is an open access article distributed under the terms and conditions of the Creative Commons Attribution (CC BY) license (https://creativecommons.org/licenses/by/4.0/).
Share and Cite
Khan, A.S.; Shah, K.U.; Mohaini, M.A.; Alsalman, A.J.; Hawaj, M.A.A.; Alhashem, Y.N.; Ghazanfar, S.; Khan, K.A.; Niazi, Z.R.; Farid, A. Tacrolimus-Loaded Solid Lipid Nanoparticle Gel: Formulation Development and In Vitro Assessment for Topical Applications. Gels 2022, 8, 129. https://doi.org/10.3390/gels8020129
Khan AS, Shah KU, Mohaini MA, Alsalman AJ, Hawaj MAA, Alhashem YN, Ghazanfar S, Khan KA, Niazi ZR, Farid A. Tacrolimus-Loaded Solid Lipid Nanoparticle Gel: Formulation Development and In Vitro Assessment for Topical Applications. Gels. 2022; 8(2):129. https://doi.org/10.3390/gels8020129
Chicago/Turabian StyleKhan, Abdul Shakur, Kifayat Ullah Shah, Mohammed Al Mohaini, Abdulkhaliq J. Alsalman, Maitham A. Al Hawaj, Yousef N. Alhashem, Shakira Ghazanfar, Kamran Ahmad Khan, Zahid Rasul Niazi, and Arshad Farid. 2022. "Tacrolimus-Loaded Solid Lipid Nanoparticle Gel: Formulation Development and In Vitro Assessment for Topical Applications" Gels 8, no. 2: 129. https://doi.org/10.3390/gels8020129
APA StyleKhan, A. S., Shah, K. U., Mohaini, M. A., Alsalman, A. J., Hawaj, M. A. A., Alhashem, Y. N., Ghazanfar, S., Khan, K. A., Niazi, Z. R., & Farid, A. (2022). Tacrolimus-Loaded Solid Lipid Nanoparticle Gel: Formulation Development and In Vitro Assessment for Topical Applications. Gels, 8(2), 129. https://doi.org/10.3390/gels8020129

