Development, Optimization, and In Vitro Evaluation of Novel Oral Long-Acting Resveratrol Nanocomposite In-Situ Gelling Film in the Treatment of Colorectal Cancer
Abstract
:1. Introduction
2. Results and Discussion
2.1. Formulation Optimization of Nanocomposite Film
2.2. Drug Release Analysis and Drug Encapsulation Assay
2.3. Storage Time Effect on the Nanocomposites of In-Situ Gelling Film
2.4. Swelling Study of Nanocomposites of In-Situ Gelling Film-Rv Nanoparticle
2.5. Nanocomposites of In-Situ Gelling Films-Rv Nanoparticle and Sp-Rv Granules Characterizations
2.5.1. Particle Size Distribution and Zeta-Potential Measurements
2.5.2. Chemical and Physical Interactions Elucidation
2.5.3. X-ray Diffraction of the Wet Granules and In-Situ Gelling Films
2.5.4. Dispersion, Morphology, and Distribution of the Wet Granules and In-Situ Gelling Films
2.6. In Vitro Cell-Line Evaluation
2.6.1. Cell-Viability Analysis Using MTT Assay
2.6.2. Apoptosis Analysis & Cell-Cycle Analysis Using Annexin V-Propidium Iodide Assay
2.6.3. Gene Expression Analysis Using RT-PCR
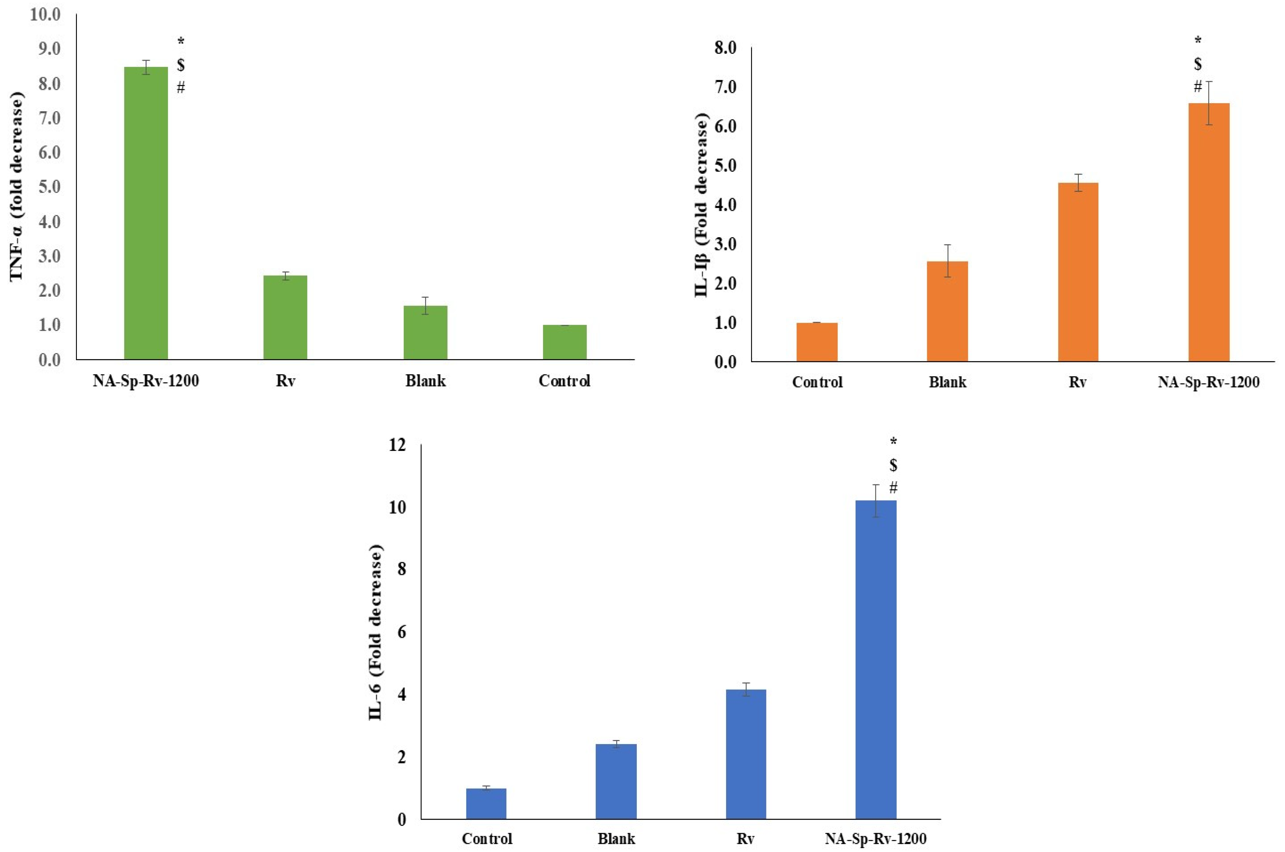
2.6.4. Protein Concentration Assessment Using ELISA
3. Conclusions
4. Materials and Methods
4.1. Rv-Sp Wet Granulation
4.2. Nano-Drug Composites in In-Situ Gelling Film Preparation
4.3. In Vitro Drug Release Analysis and Drug Encapsulation Assay
4.4. Storage Time Effect on the Nanocomposites of In-Situ Gelling Film
4.5. Swelling Study of Nanocomposites of In-Situ Gelling Films–Rv Nanoparticles
4.6. Nanocomposites of In-Situ Gelling Films-Rv Nanoparticle and Sp-Rv Granules Characterizations
4.6.1. Particle Size Distribution and Zeta-Potential
4.6.2. Chemical and Physical Interactions Elucidation
4.6.3. X-ray Diffraction of the Wet Granules and In-Situ Gelling Films
4.6.4. Dispersion, Morphology, and Distribution
4.7. In Vitro Cell-Line Study on HCT-116 Cancer Cells
4.7.1. Cell-Viability Analysis Using MTT Assay
4.7.2. Apoptosis Analysis Using Annexin V-Propidium Iodide Assay
4.7.3. Cell-Cycle Analysis
4.7.4. Gene Expression Analysis Using RT-PCR
4.7.5. Protein Concentration Assessment Using ELISA
4.8. Statistical Analysis
Author Contributions
Funding
Institutional Review Board Statement
Informed Consent Statement
Data Availability Statement
Conflicts of Interest
References
- Devi, P.; Sharma, P.; Rathore, C.; Negi, P. Novel Drug Delivery Systems of Resveratrol to Bioavailability and Therapeutic Effects. In Resveratrol—Adding Life to Years, Not Adding Years to Life; IntechOpen: London, UK, 2019. [Google Scholar]
 - Sharifi-Rad, J.; Quispe, C.; Mukazhanova, Z.; Knut, E.; Turgumbayeva, A.; Kipchakbayeva, A.; Seitimova, G.; Mahomoodally, M.F.; Lobine, D.; Koay, A.; et al. Resveratrol-Based Nanoformulations as an Emerging Therapeutic Strategy for Cancer. Front. Mol. Biosci. 2021, 8, 649395. [Google Scholar] [CrossRef]
 - Yao, H.; Lu, H.; Zou, R.; Chen, X.; Xu, H. Preparation of Encapsulated Resveratrol Liposome Thermosensitive Gel and Evaluation of Its Capability to Repair Sciatic Nerve Injury in Rats. J. Nanomater. 2020, 2020, 2840162. [Google Scholar] [CrossRef]
 - Contado, C.; Caselotto, L.; Mello, P.; Maietti, A.; Marvelli, L.; Marchetti, N.; Dalpiaz, A. Design and formulation of Eudragit-coated zein/pectin nanoparticles for the colon delivery of resveratrol. Eur. Food Res. Technol. 2020, 246, 2427–2441. [Google Scholar] [CrossRef]
 - Daemi, H.; Barikani, M. Synthesis and characterization of calcium alginate nanoparticles, sodium homopolymannuronate salt and its calcium nanoparticles. Sci. Iran. 2012, 19, 2023–2028. [Google Scholar] [CrossRef] [Green Version]
 - Fitriani, R. New cytotoxic diels-alder type adducts from root cultures of Morus alba var. shalun. Nat. Prod. Res. 2021, 35, 2274–2278. [Google Scholar] [CrossRef]
 - Ko, J.-H.; Sethi, G.; Um, J.-Y.; Shanmugam, M.K.; Arfuso, F.; Kumar, A.P.; Bishayee, A.; Ahn, K.S. The Role of Resveratrol in Cancer Therapy. Int. J. Mol. Sci. 2017, 18, 2589. [Google Scholar] [CrossRef] [Green Version]
 - Salehi, B.; Mishra, A.P.; Nigam, M.; Sener, B.; Kilic, M.; Sharifi-Rad, M.; Fokou, P.V.T.; Martins, N.; Sharifi-Rad, J. Resveratrol: A Double-Edged Sword in Health Benefits. Biomedicines 2018, 6, 91. [Google Scholar] [CrossRef] [Green Version]
 - Saralkar, P.; Dash, A.K. Alginate Nanoparticles Containing Curcumin and Resveratrol: Preparation, Characterization, and In Vitro Evaluation Against DU145 Prostate Cancer Cell Line. AAPS PharmSciTech 2017, 18, 2814–2823. [Google Scholar] [CrossRef] [PubMed]
 - Sergides, C.; Chirilă, M.; Silvestro, L.; Pitta, D.; Pittas, A. Bioavailability and safety study of resveratrol 500 mg tablets in healthy male and female volunteers. Exp. Ther. Med. 2016, 11, 164–170. [Google Scholar] [CrossRef] [PubMed] [Green Version]
 - Chevreau, N.; Wang, Y.; Funk-Archuleta, M. Effect of diets on 5-fluorouracil and cyclophosphamide toxicity. Nutr. Cancer 1995, 23, 205–220. [Google Scholar] [CrossRef] [PubMed]
 - Zhang, L.; Zhang, F.; Fang, Y.; Wang, S. Alginate-shelled SPI nanoparticle for encapsulation of resveratrol with enhanced colloidal and chemical stability. Food Hydrocoll. 2019, 90, 313–320. [Google Scholar] [CrossRef]
 - Abdullah, S.; El Hadad, S.; Aldahlawi, A. In vitro optimization, characterization and anti-tumor evaluation against colorectal cancer of a novel 5-fluorouracil oral nanosuspension using soy protein, polysaccharides-protein complexation, and in-situ gel formation. J. Drug Deliv. Sci. Technol. 2021, 102857. [Google Scholar] [CrossRef]
 - Bani-Jaber, A.; Abdullah, S. Development and characterization of novel ambroxol sustained-release oral suspensions based on drug-polymeric complexation and polymeric raft formation. Pharm. Dev. Technol. 2020, 25, 666–675. [Google Scholar] [CrossRef] [PubMed]
 - Istenič, K.; Balanč, B.; Djordjević, V.B.; Bele, M.; Nedović, V.A.; Bugarski, B.M.; Ulrih, N.P. Encapsulation of resveratrol into Ca-alginate submicron particles. J. Food Eng. 2015, 167, 196–203. [Google Scholar] [CrossRef]
 - Ivaniuk, O.; Yarnykh, T.; Kovalevska, I. Determination of the bioadhesion indicators of vaginal gel with resveratrol and hyaluronic acid. Eureka Health Sci. 2019, 2, 33–39. [Google Scholar] [CrossRef]
 - Qin, L.; He, Y.; Zhao, X.; Zhang, T.; Qin, Y.; Du, A. Preparation, Characterization, and In Vitro Sustained Release Profile of Resveratrol-Loaded Silica Aerogel. Molecules 2020, 25, 2752. [Google Scholar] [CrossRef]
 - Springer, M.; Moco, S. Resveratrol and Its Human Metabolites—Effects on Metabolic Health and Obesity. Nutrients 2019, 11, 143. [Google Scholar] [CrossRef] [Green Version]
 - Wang, P.; Ren, D.; Chen, Y.; Jiang, M.; Wang, R.; Wang, Y.-G. Effect of Sodium Alginate Addition to Resveratrol on Acute Gouty Arthritis. Cell. Physiol. Biochem. 2015, 36, 201–207. [Google Scholar] [CrossRef] [Green Version]
 - Zhang, L.; Chen, F.; Zhang, W.; Wu, Q. Kinetics and Characteristics of Soybean Oil and Protein Extracted by AOT Reverse Micelle Technology. J. Chem. 2018, 2018, 5032078. [Google Scholar] [CrossRef] [Green Version]
 - Amidon, S.; Brown, J.E.; Dave, V.S. Colon-Targeted Oral Drug Delivery Systems: Design Trends and Approaches. AAPS PharmSciTech 2015, 16, 731–741. [Google Scholar] [CrossRef]
 - Maurer, J.M.; Schellekens, R.C.A.; Van Rieke, H.M.; Wanke, C.; Iordanov, V.; Stellaard, F.; Wutzke, K.D.; Dijkstra, G.; Van Der Zee, M.; Woerdenbag, H.; et al. Gastrointestinal pH and Transit Time Profiling in Healthy Volunteers Using the IntelliCap System Confirms Ileo-Colonic Release of ColoPulse Tablets. PLoS ONE 2015, 10, e0129076. [Google Scholar] [CrossRef] [PubMed]
 - Patel, N.; Chotai, N.; Patel, J.; Soni, T.; Desai, J.; Patel, R. Comparison of In Vitro Dissolution Profiles of Oxcarbazepine-HP b-CD Tablet Formulations with Marketed Oxcarbazepine Tablets. Dissolution Technol. 2008, 15, 28–34. [Google Scholar] [CrossRef]
 - Tang, C.; Yin, L.; Yu, J.; Yin, C.; Pei, Y. Swelling behavior and biocompatibility of Carbopol-containing superporous hydrogel composites. J. Appl. Polym. Sci. 2007, 104, 2785–2791. [Google Scholar] [CrossRef]
 - Shadab, M.; Alhakamy, N.A.; Aldawsari, H.M.; Husain, M.; Kotta, S.; Abdullah, S.T.; Fahmy, U.A.; AlFaleh, M.A.; Asfour, H.Z. Formulation Design, Statistical Optimization, and In Vitro Evaluation of a Naringenin Nanoemulsion to Enhance Apoptotic Activity in A549 Lung Cancer Cells. Pharmaceuticals 2020, 13, 152. [Google Scholar] [CrossRef]
 - Mourdikoudis, S.; Pallares, R.M.; Thanh, N.T.K. Characterization techniques for nanoparticles: Comparison and complementarity upon studying nanoparticle properties. Nanoscale 2018, 10, 12871–12934. [Google Scholar] [CrossRef] [PubMed] [Green Version]
 - Shadab, M.; Abdullah, S.T.; Alhakamy, N.A.; Bani-Jaber, A.; Radhakrishnan, A.K.; Karim, S.; Shahzad, N.; Gabr, G.A.; Alamoudi, A.J.; Rizg, W.Y. Ambroxol Hydrochloride Loaded Gastro-Retentive Nanosuspension Gels Potentiate Anticancer Activity in Lung Cancer (A549) Cells. Gels 2021, 7, 243. [Google Scholar] [CrossRef]
 - Alhakamy, N.; Ahmed, O.; Fahmy, U.; MD, S. Development and In Vitro Evaluation of 2-Methoxyestradiol Loaded Polymeric Micelles for Enhancing Anticancer Activities in Prostate Cancer. Polymers 2021, 13, 884. [Google Scholar] [CrossRef]
 













| Code | NA-Level (g/g) | Sp-Level (g/g) | Film (F) or Physical Mixture (PM)  | Rv Solid Dispersion (SD) or Free | Product Weight (g) Containing 0.5 g-Rv * | 
|---|---|---|---|---|---|
| NA-Sp-Rv-600 | 0.43 | 0.21 | F | SD | 1.35 ± 0.015 | 
| NA-Sp-Rv-1200 | 0.52 | 0.26 | F | SD | 2.35 ± 0.013 | 
| PM-NA 1200 | 0.52 | 0.26 | PM | Free | 2.31 ± 0.011 | 
| Sp 0.3-Rv | - | 0.38 | - | SD | 0.83 ± 0.031 | 
| Sp 0.6-Rv | - | 0.55 | - | SD | 1.11 ± 0.023 | 
| Rv-NA | 0.70 | - | F | Free | 1.71 ± 0.015 | 
| Rv | - | - | - | Free | 0.50 ± 0.00 | 
| Korsmeyer-Peppas (0–2 h) Mt/M∞ = K* tn  | n = 0.47 ± 0.04 K = 0.029 ± 0.02 R2 = 0.992 ± 0.04  | 
| Zero-order (2–8 h) y = ax + b  | Slope (a) = 1.50 ± 0.02 Intercept = −1.61 ± 0.01 R2 = 0.997 ± 0.02  | 
| Comparison of Percentage Release | NA-Sp-Rv-1200 | NA-Sp-Rv-1200 (2 Weeks)  | NA-Sp-Rv-1200 (4 Weeks)  | NA-Sp-Rv-1200 (8 Weeks)  | 
|---|---|---|---|---|
| Gastric % Release * | 4.77 ± 0.03 | 4.80 ± 0.061 | 4.81 ± 0.025 | 4.70 ± 0.023 | 
| Proximal Intestine % Release * | 5.01 ± 0.03 | 5.10 ± 0.037 | 5.09 ± 0.023 | 5.12 ± 0.011 | 
| Distal Intestine % Release * | 2.72 ± 0.021 | 2.76 ± 0.031 | 2.61 ± 0.051 | 2.63 ± 0.034 | 
| Colon % Release * | 2.13 ± 0.031 | 2.20 ± 0.011 | 2.10 ± 0.031 | 2.03 ± 0.014 | 
| Gastric % Release * | 4.77 ± 0.031 | 4.80 ± 0.061 | 4.81 ± 0.025 | 4.70 ± 0.023 | 
| Intestinal-Colonic % Release * | 9.86 ± 0.044 | 10.06 ± 0.014 | 9.80 ± 0.034 | 9.78 ± 0.044 | 
| Gene | Sequence | 
|---|---|
| BAX: F | 5′-CTGCAGAGGATGATTGCCG-3′ | 
| BAX: R | 5′-TGCCACTCGGAAAAAGACCT-3′ | 
| BCL2: F | 5′-GACTTCGCCGAGATGTCCAG-3′ | 
| BCL2: R | 5′-GAACTCAAAGAAGGCCACAATC-3′ | 
| TNF-α: F | 5′-GCAACAAGACCACCACTTCG-3′ | 
| TNF-α: R | 5′-CTCAAGTCCTGCAGCATTC-3′ | 
| IL-1β: F | 5′-TGTACCTGTCCTGCGTGTT-3′ | 
| IL-1β: R | 5′-CTCCCAGGAAGACGGGCATG-3′ | 
| IL-6: F | 5′-CAACCTGAACCTTCCAAAGATG-3′ | 
| IL-6: R | 5′-ACTCATCTGCACAGCTCTGG-3′ | 
| B-actin: F | 5′-AGAGCTACGAGCTGCCTGAC-3′ | 
| B-actin: R | 5′-AGCACTGTGTTGGCGTACAG-3′ | 
Publisher’s Note: MDPI stays neutral with regard to jurisdictional claims in published maps and institutional affiliations.  | 
© 2021 by the authors. Licensee MDPI, Basel, Switzerland. This article is an open access article distributed under the terms and conditions of the Creative Commons Attribution (CC BY) license (https://creativecommons.org/licenses/by/4.0/).
Share and Cite
Md, S.; Abdullah, S.; Alhakamy, N.A.; Alharbi, W.S.; Ahmad, J.; Shaik, R.A.; Ansari, M.J.; Ibrahim, I.M.; Ali, J. Development, Optimization, and In Vitro Evaluation of Novel Oral Long-Acting Resveratrol Nanocomposite In-Situ Gelling Film in the Treatment of Colorectal Cancer. Gels 2021, 7, 276. https://doi.org/10.3390/gels7040276
Md S, Abdullah S, Alhakamy NA, Alharbi WS, Ahmad J, Shaik RA, Ansari MJ, Ibrahim IM, Ali J. Development, Optimization, and In Vitro Evaluation of Novel Oral Long-Acting Resveratrol Nanocomposite In-Situ Gelling Film in the Treatment of Colorectal Cancer. Gels. 2021; 7(4):276. https://doi.org/10.3390/gels7040276
Chicago/Turabian StyleMd, Shadab, Samaa Abdullah, Nabil A. Alhakamy, Waleed S. Alharbi, Javed Ahmad, Rasheed A. Shaik, Mohammad Javed Ansari, Ibrahim M. Ibrahim, and Javed Ali. 2021. "Development, Optimization, and In Vitro Evaluation of Novel Oral Long-Acting Resveratrol Nanocomposite In-Situ Gelling Film in the Treatment of Colorectal Cancer" Gels 7, no. 4: 276. https://doi.org/10.3390/gels7040276
APA StyleMd, S., Abdullah, S., Alhakamy, N. A., Alharbi, W. S., Ahmad, J., Shaik, R. A., Ansari, M. J., Ibrahim, I. M., & Ali, J. (2021). Development, Optimization, and In Vitro Evaluation of Novel Oral Long-Acting Resveratrol Nanocomposite In-Situ Gelling Film in the Treatment of Colorectal Cancer. Gels, 7(4), 276. https://doi.org/10.3390/gels7040276
        
                                                
