Optimization of Copper Stain Removal from Marble through the Formation of Cu(II) Complexes in Agar Gels
Abstract
1. Introduction
2. Results and Discussion
2.1. Characterization of Copper Complexes in Aqueous Solutions and in Gels
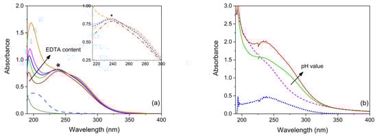
2.1.1. UV-Vis Characterization
2.1.2. EPR Characterization
2.2. Marble Specimens Cleaning
2.2.1. ICP-MS Analysis of Gels
2.2.2. Colorimetric Characterization of Marble Specimens
3. Conclusions
4. Materials and Methods
4.1. Materials
4.2. Preparation of Solutions
4.3. Preparation of Laboratory Specimens
4.4. Preparation and Application of Agar Gels
4.5. Solution and Agar Gel Characterization
4.6. Marble Characterization
Supplementary Materials
Author Contributions
Funding
Institutional Review Board Statement
Informed Consent Statement
Data Availability Statement
Conflicts of Interest
References
- Sansonetti, A.; Casati, M.; Striova, J.; Canevali, C.; Anzani, M.; Rabbolini, A. A cleaning method based on the use of agar gels: New tests and perspectives. In Proceedings of the 12th International Congress on the Deterioration and Conservation of Stone, New York, NY, USA, 22–26 October 2012. [Google Scholar]
- Angelova, L.V.; Ormsby, B.; Townsend, J.; Wolbers, R. Gels in the Conservation of Art; Archetype Publications Ltd: London, UK, 2017. [Google Scholar]
- Casoli, A.; Cremonesi, P.; Isca, C.; Groppetti, R.; Pini, S.; Senin, N. Evaluation of the effect of cleaning on the morphological properties of ancient paper surface. Cellulose 2013, 20, 2027–2043. [Google Scholar] [CrossRef]
- Bertasa, M.; Bandini, F.; Felici, A.; Lanfranchi, M.; Negrotti, R.; Riminesi, C.; Scalarone, D.; Sansonetti, A. Soluble salts extraction with different thickeners: Monitoring of the effects on plaster. In Proceedings of the IOP Conference Series: Materials Science and Engineering, Kuala Lumpur, Malaysia, 13–14 August 2018; p. 012076. [Google Scholar]
- Canevali, C.; Fasoli, M.; Bertasa, M.; Botteon, A.; Colombo, A.; Di Tullio, V.; Capitani, D.; Proietti, N.; Scalarone, D.; Sansonetti, A. A multi-analytical approach for the study of copper stain removal by agar gels. Microchem. J. 2016, 129, 249–258. [Google Scholar] [CrossRef]
- Borrelli, E. Standardization of a removal salts meted from porous support and its use as diagnostic tool. In Proceedings of the III International Symposium on the Conservation Monuments in the Mediterranean Basin, Venice, Italy, 1994; pp. 163–167. [Google Scholar]
- Young, M.E.; Urquhart, D.; Laing, R. Maintenance and repair issues for stone cleaned sandstone and granite building façades. Build. Environ. 2003, 38, 1125–1131. [Google Scholar] [CrossRef]
- Macchia, A.; Sammartino, M.; Tabasso, M.L. A new method to remove copper corrosion stains from stone surfaces. J. Archaeol. Sci. 2011, 38, 1300–1307. [Google Scholar] [CrossRef]
- Akter, M.; Bhattacharjee, M.; Dhar, A.K.; Rahman, F.B.A.; Haque, S.; Rashid, T.U.; Kabir, S.M.F. Cellulose-Based Hydrogels for Wastewater Treatment: A Concise Review. Gels 2021, 7, 30. [Google Scholar] [CrossRef] [PubMed]
- Sharma, B.; Thakur, S.; Mamba, G.; Gupta, R.K.; Gupta, V.K.; Thakur, V.K. Titania modified gum tragacanth based hydrogel nanocomposite for water remediation. J. Environ. Chem. Eng. 2021, 9, 104608. [Google Scholar] [CrossRef]
- Verma, A.; Thakur, S.; Mamba, G.; Gupta, R.K.; Thakur, P.; Thakur, V.K. Graphite modified sodium alginate hydrogel composite for efficient removal of malachite green dye. Int. J. Biol. Macromol. 2020, 148, 1130–1139. [Google Scholar] [CrossRef]
- Bertasa, M.; Canevali, C.; Sansonetti, A.; Lazzari, M.; Malandrino, M.; Simonutti, R.; Scalarone, D. An in-depth study on the agar gel effectiveness for built heritage cleaning. J. Cult. Herit. 2021, 47, 12–20. [Google Scholar] [CrossRef]
- Bonino, V.E.S.; Tegoni, M.; Mucchino, C.; Predieri, G.; Casoli, A. Model study of the constituents of wall painting degradation patinas: The effect of the treatment with chelating agents on the solubility of the calcium salts. Microchem. J. 2015, 118, 62–68. [Google Scholar] [CrossRef]
- Zaitoun, M.A.; Lin, C. Chelating behavior between metal ions and EDTA in sol−gel matrix. J. Phys. Chem. B 1997, 101, 1857–1860. [Google Scholar] [CrossRef]
- Sansonetti, A.; Bertasa, M.; Canevali, C.; Rabbolini, A.; Anzani, M.; Scalarone, D. A review in using agar gels for cleaning art surfaces. J. Cult. Herit. 2020. [Google Scholar] [CrossRef]
- Gulotta, D.; Saviello, D.; Gherardi, F.; Toniolo, L.; Anzani, M.; Rabbolini, A.; Goidanich, S. Setup of a sustainable indoor cleaning methodology for the sculpted stone surfaces of the Duomo of Milan. Herit. Sci. 2014, 2, 1–13. [Google Scholar] [CrossRef]
- Fratini, E.; Carretti, E. CHAPTER 10 Cleaning IV: Gels and Polymeric Dispersions. In Nanoscience for the Conservation of Works of Art; The Royal Society of Chemistry: Cambridge, UK, 2013; pp. 252–279. [Google Scholar]
- Bertasa, M.; Dodero, A.; Alloisio, M.; Vicini, S.; Riedo, C.; Sansonetti, A.; Scalarone, D.; Castellano, M. Agar gel strength: A correlation study between chemical composition and rheological properties. Eur. Polym. J. 2020, 123, 109442. [Google Scholar] [CrossRef]
- Bonelli, N.; Montis, C.; Mirabile, A.; Berti, D.; Baglioni, P. Restoration of paper artworks with microemulsions confined in hydrogels for safe and efficient removal of adhesive tapes. Proc. Natl. Acad. Sci. USA 2018, 115, 5932–5937. [Google Scholar] [CrossRef]
- Baglioni, M.; Domingues, J.A.; Carretti, E.; Fratini, E.; Chelazzi, D.; Giorgi, R.; Baglioni, P. Complex fluids confined into semi-interpenetrated chemical hydrogels for the cleaning of classic art: A rheological and SAXS study. ACS Appl. Mater. Interfaces 2018, 10, 19162–19172. [Google Scholar] [CrossRef]
- Angelova, L.V.; Ormsby, B.; Richardson, E. Diffusion of water from a range of conservation treatment gels into paint films studied by unilateral NMR: Part I: Acrylic emulsion paint. Microchem. J. 2016, 124, 311–320. [Google Scholar] [CrossRef]
- Bertasa, M.; Poli, T.; Riedo, C.; Di Tullio, V.; Capitani, D.; Proietti, N.; Canevali, C.; Sansonetti, A.; Scalarone, D. A study of non-bounded/bounded water and water mobility in different agar gels. Microchem. J. 2018, 139, 306–314. [Google Scholar] [CrossRef]
- Bertasa, M.; Botteon, A.; Brambilla, L.; Riedo, C.; Chiantore, O.; Poli, T.; Sansonetti, A.; Scalarone, D. Cleaning materials: A compositional multi-analytical characterization of commercial agar powders. J. Anal. Appl. Pyrolysis 2017, 125, 310–317. [Google Scholar] [CrossRef]
- Mazzuca, C.; Micheli, L.; Carbone, M.; Basoli, F.; Cervelli, E.; Iannuccelli, S.; Sotgiu, S.; Palleschi, A. Gellan hydrogel as a powerful tool in paper cleaning process: A detailed study. J. Colloid Interface Sci. 2014, 416, 205–211. [Google Scholar] [CrossRef] [PubMed]
- Prati, S.; Volpi, F.; Fontana, R.; Galletti, P.; Giorgini, L.; Mazzeo, R.; Mazzocchetti, L.; Samorì, C.; Sciutto, G.; Tagliavini, E. Sustainability in art conservation: A novel bio-based organogel for the cleaning of water sensitive works of art. Pure Appl. Chem. 2018, 90, 239–251. [Google Scholar] [CrossRef]
- Bertasa, M.; Chiantore, O.; Poli, T.; Riedo, C.; Tullio, V.d.; Canevali, C.; Sansonetti, A.; Scalarone, D. A Study of Commercial Agar Gels as Cleaning Materials. In Proceedings of the Gels in Conservation, London, UK, 16–18 October 2017; pp. 11–18. [Google Scholar]
- Di Tullio, V.; Sciutto, G.; Proietti, N.; Prati, S.; Mazzeo, R.; Colombo, C.; Cantisani, E.; Romè, V.; Rigaglia, D.; Capitani, D. 1H NMR depth profiles combined with portable and micro-analytical techniques for evaluating cleaning methods and identifying original, non-original, and degraded materials of a 16th century Italian wall painting. Microchem. J. 2018, 141, 40–50. [Google Scholar] [CrossRef]
- Harris, D.C. Quantitative Chemical Analysis; Macmillan: London, UK, 2010. [Google Scholar]
- Zabiszak, M.; Nowak, M.; Taras-Goslinska, K.; Kaczmarek, M.T.; Hnatejko, Z.; Jastrzab, R. Carboxyl groups of citric acid in the process of complex formation with bivalent and trivalent metal ions in biological systems. J. Inorg. Biochem. 2018, 182, 37–47. [Google Scholar] [CrossRef]
- Kunimoto, M.; Sadaoka, Y.; Nakanishi, T.; Osaka, T.; Homma, T. Theoretical Study on the Formation Mechanism of Amino Acid–Cu (II) Complexes on an Enantio-Sensing Device Interface. J. Phys. Chem. C 2016, 120, 15722–15728. [Google Scholar] [CrossRef]
- Irving, H.; Williams, R. 637. The stability of transition-metal complexes. J. Chem. Soc. 1953, 3192–3210. [Google Scholar] [CrossRef]
- Karaderi, S.; Bakla, M.; Mazı, C. Determination of UV-Vis Spectrophotometric Method of Metal Complexes Stoichiometry between Cu (II), Ca (II), Cd (II), Mg (II) and Zn (II) with Bupropion Hydrochloride. Int. J. Pharm. Res. Allied Sci. 2019, 8, 1–9. [Google Scholar]
- Sharma, S.; Rahman, N.; Azmi, S.N.H.; Iqbal, B.; Amburk, M.I.B.B.; Al Barwani, Z.M.H. UV spectrophotometric determination of Cu (II) in synthetic mixture and water samples. J. Chin. Chem. Soc. 2010, 57, 622–631. [Google Scholar]
- Zhang, Y.; Yan, Y.; Wang, J.; Huang, J. Lamellar supramolecular materials based on a chelated metal complex for organic dye adsorption. RSC Adv. 2016, 6, 33295–33301. [Google Scholar] [CrossRef]
- Thuy, T.T.; Herman, G.; Lommens, P.; Driessche, I.V. Complexation behavior in aqueous edta sol-gel systems for the synthesis of YBa2Cu3O7-x high-temperature superconductors. J. Braz. Chem. Soc. 2012, 23, 1289–1297. [Google Scholar] [CrossRef][Green Version]
- Ferreira, S.; Andrade, M.; Lobo, I.; Costa, A.S. 2-(2-Thiazolylazo)-p-cresol (TAC) as a reagent for the spectrophotometric determination of lead (II). Anal. Lett. 1991, 24, 1675–1684. [Google Scholar] [CrossRef]
- Ferreira, S.L.C.; Costa, A.S.; Andrade, H. 2-(2-Thiazolylazo)-p-cresol (TAC) as a reagent for the spectrophotometric determination of indium (III). Microchem. J. 1991, 44, 63–66. [Google Scholar] [CrossRef][Green Version]
- Fujimoto, M.; Tomkiewicz, Y. EPR Studies of Copper-Doped L-Alanine Crystals: Ultraviolet-Induced Conversion in Cu2+ Complexes. J. Chem. Phys. 1972, 56, 749–754. [Google Scholar] [CrossRef]
- Peisach, J.; Blumberg, W. Structural implications derived from the analysis of electron paramagnetic resonance spectra of natural and artificial copper proteins. Arch. Biochem. Biophys. 1974, 165, 691–708. [Google Scholar] [CrossRef]
- Canevali, C.; Morazzoni, F.; Scotti, R.; Cauzzi, D.; Moggi, P.; Predieri, G. Electron paramagnetic resonance characterisation of silica-dispersed copper molybdate obtained by sol-gel and impregnation methods. J. Mater. Chem. 1999, 9, 507–513. [Google Scholar] [CrossRef]
- Stiles, W. Color Science: Concepts and Methods, Quantitative Data and Formulae; Wiley-Interscience: New York NY, USA, 2000; Volume 40. [Google Scholar]
- Monticelli, D.; Castelletti, A.; Civati, D.; Recchia, S.; Dossi, C. How to efficiently produce ultrapure acids. Int. J. Anal. Chem. 2019. [Google Scholar] [CrossRef]
- Anania, L.; Badalà, A.; Barone, G.; Belfiore, C.M.; Calabrò, C.; La Russa, M.F.; Mazzoleni, P.; Pezzino, A. The stones in monumental masonry buildings of the “Val di Noto” area: New data on the relationships between petrographic characters and physical-mechanical properties. Constr. Build. Mater. 2012, 33, 122–132. [Google Scholar] [CrossRef]







| Solute | Free | In Agar Gel | ||||
|---|---|---|---|---|---|---|
| pH of as Prepared/Modified | λmax (nm) | Attribution | pH of as Prepared/Modified | λmax (nm) | Attribution | |
| CuSO4 | 5.0/n.d. | 198 | [Cu(H2O)6]2+ | 5.0/10.0 | 233 | Cu(agar) |
| CuSO4 + EDTA | 5.0/6.0, 8.0 | 239 | Cu(EDTA) | 6.0/10.0 | 239 | Cu(EDTA) |
| CuSO4 + TAC | 9.0/6.0 | 225 260 | Cu(TAC) or Cu2(TAC)2; Cu(TAC)2 | 5.5/10.0 | 260 | Cu(TAC)2 |
| CuSO4 + ALA | 6.0/10.0 | 234 | Cu(ALA)2 | 3.4/10.0 | 234 | Cu(ALA)2 |
| Solute | g1 ± 0.01 | g2 ± 0.01 | g3 ± 0.01 | A1 (G) ± 5 G | A2 (G) ± 5 G | A3 (G) ± 5 G | Attribution |
|---|---|---|---|---|---|---|---|
| CuSO4 | ~2.3 | 2.07 | ~140 | n.d. | Cu(agar) | ||
| CuSO4 + EDTA | 2.29 | 2.07 | 141 | n.d. | Cu(EDTA) | ||
| CuSO4 + ALA | 2.18 | 2.07 | 2.00 | 183 | 12 | n.d. | Cu(ALA)2 |
| CuSO4 + TAC | 2.19 | 2.05 | 2.00 | 185 | 15 | n.d. | Cu(TAC) and Cu(TAC)2 |
| 2.08 | 14 | ||||||
| Cleaning Material | Time (min) | ΔL* | Δa* | Δb* | ΔE* |
|---|---|---|---|---|---|
| Pure gel | 30 | −2.59 | −1.18 | −0.29 | 2.61 |
| 60 | 1.1 | 5.11 | −0.43 | 5.25 | |
| Gel with EDTA | 30 | 3.34 | 2.81 | 4.22 | 6.06 |
| 60 | 3.56 | 3.02 | 3.87 | 6.07 | |
| Gel with TAC | 30 | 4.08 | 2.92 | 4.45 | 6.61 |
| 60 | 4.92 | 4.22 | 4.03 | 7.64 | |
| Gel with ALA | 30 | 6.22 | 9.9 | 0.8 | 11.72 |
| 60 | 6.22 | 10.57 | 2.68 | 12.55 |
Publisher’s Note: MDPI stays neutral with regard to jurisdictional claims in published maps and institutional affiliations. |
© 2021 by the authors. Licensee MDPI, Basel, Switzerland. This article is an open access article distributed under the terms and conditions of the Creative Commons Attribution (CC BY) license (https://creativecommons.org/licenses/by/4.0/).
Share and Cite
Sansonetti, A.; Bertasa, M.; Corti, C.; Rampazzi, L.; Monticelli, D.; Scalarone, D.; Sassella, A.; Canevali, C. Optimization of Copper Stain Removal from Marble through the Formation of Cu(II) Complexes in Agar Gels. Gels 2021, 7, 111. https://doi.org/10.3390/gels7030111
Sansonetti A, Bertasa M, Corti C, Rampazzi L, Monticelli D, Scalarone D, Sassella A, Canevali C. Optimization of Copper Stain Removal from Marble through the Formation of Cu(II) Complexes in Agar Gels. Gels. 2021; 7(3):111. https://doi.org/10.3390/gels7030111
Chicago/Turabian StyleSansonetti, Antonio, Moira Bertasa, Cristina Corti, Laura Rampazzi, Damiano Monticelli, Dominique Scalarone, Adele Sassella, and Carmen Canevali. 2021. "Optimization of Copper Stain Removal from Marble through the Formation of Cu(II) Complexes in Agar Gels" Gels 7, no. 3: 111. https://doi.org/10.3390/gels7030111
APA StyleSansonetti, A., Bertasa, M., Corti, C., Rampazzi, L., Monticelli, D., Scalarone, D., Sassella, A., & Canevali, C. (2021). Optimization of Copper Stain Removal from Marble through the Formation of Cu(II) Complexes in Agar Gels. Gels, 7(3), 111. https://doi.org/10.3390/gels7030111

