Next Article in Journal
Performance and Numerical Simulation of Gel–Foam Systems for Profile Control and Flooding in Fractured Reservoirs
Previous Article in Journal
Response Surface Optimization of Curcumin Oil-Loaded Dual-Crosslinked PVOH/CMC/Gellan Gum Hydrogels with Controlled Release and Anti-Inflammatory Activity
Previous Article in Special Issue
Structural Characterization of Ordered Mesoporous Silica Prepared by a Sol–Gel Process Using Urea-Based Cationic Gemini Surfactants
 
 
Font Type:
Arial Georgia Verdana
Font Size:
Aa Aa Aa
Line Spacing:
Column Width:
Background:
Article

A De Novo Sacrificial-MOF Strategy for Fabricating Cellulose Nanofibers/ZIF-8/PANI Gel Composite Membranes for High-Performance Flexible Supercapacitors

1
School of Materials Science and Engineering, Changzhou University, Changzhou 213164, China
2
School of Chemical and Pharmaceutical Engineering, Changzhou Vocational Institute of Engineering, Changzhou 213164, China
*
Author to whom correspondence should be addressed.
Gels 2026, 12(2), 134; https://doi.org/10.3390/gels12020134
Submission received: 25 December 2025 / Revised: 29 January 2026 / Accepted: 30 January 2026 / Published: 2 February 2026
(This article belongs to the Special Issue Gel Formation Processes and Materials for Functional Thin Films)

Abstract

Cellulose nanofibers/metal-organic framework (CNFs/MOF) composites hold promise for energy storage thanks to high porosity, large specific surface area, and inherent flexibility, but their poor conductivity limits applications to environmental remediation and gas adsorption. Herein, flexible CNFs served as substrates for in situ growth of continuous ZIF-8 nanolayers via interfacial synthesis, with a CNFs/ZIF-8 gel network built to enhance structural integrity and flexibility. A novel strategy first regulated the layered pore structure: ZIF-8 in CNFs/ZIF-8 nanofibers was etched in the acidic environment of aniline in situ polymerization, constructing a hierarchical porous architecture with interconnected micropores and mesopores. CNFs/ZIF-8/PANI gel composite membranes were then fabricated. As self-supporting electrodes for symmetric supercapacitors, the composites showed excellent electrochemical performance: 1350 F/g at 1 A/g for the electrode, and the flexible solid-state device delivered a specific capacitance of 220.9 F/g at 0.5 A/g, along with a capacitance retention rate of 74% after 5000 charge–discharge cycles at 10 A/g. The superior performance stems from synergistic hierarchical pore structure regulation via partial MOF sacrificial templating and gel matrix-mediated rapid ion diffusion, offering a feasible approach for high-performance flexible energy storage devices.

1. Introduction

Flexible supercapacitors (SCs) have emerged as a pivotal energy storage device for portable and wearable electronics, owing to their high power density, rapid charge–discharge capability, and excellent cycle stability [1,2]. To meet the practical demands of flexible SCs, electrode materials with superior flexibility, high active substance utilization, and stable structural integrity are in urgent demand. Porous membrane materials have thus attracted increasing attention from researchers in the preparation and research of flexible SCs in recent years, benefiting from their inherent advantages: high surface loading of active substances, uniform dispersion of components, excellent flexibility and foldability, as well as the elimination of binders and additional substrates [3,4].
Among various porous membrane precursors, cellulose nanofibers (CNFs) stand out as an ideal scaffold material for flexible SC electrodes. CNFs possess abundant active groups, a unique interconnected network structure, outstanding mechanical strength, and facile film-forming capability [5], which enable them to efficiently combine with conductive active components to construct high-performance electrodes. Such CNFs-based composite electrodes can effectively address the key challenges of flexible SCs (e.g., poor structural stability under bending/folding, low active substance loading efficiency), thereby exhibiting tremendous potential and broad application prospects in advanced energy storage fields, including flexible SCs and metal-ion batteries [6,7,8].
Metal-organic frameworks (MOFs) possess prominent merits including adjustable porosity, tunable pore size, large specific surface area, and diverse topological structures, as well as excellent chemical and thermal stability, and thus exhibit broad application prospects in the field of energy storage [9]. However, MOFs synthesized via traditional methods are mostly in powder form, which tend to agglomerate, are fragile, and have poor processing properties. Additionally, they exhibit high cost, poor electrical conductivity, and insolubility in water. As a result, their applications in electrochemical energy storage are mostly limited to serving as precursors or templates for carbon materials or metal oxides [10,11].
Although CNFs are environmentally friendly and renewable and flexible, their low conductivity restricts practical applications in the energy storage field. To enhance their performance and overcome this limitation, MOFs are perfect materials for composites with CNFs, because CNFs can serve as a stable substrate to solve the molding challenges of MOFs, while MOFs endow CNFs with special functions such as efficient adsorption and catalysis—thus perfectly overcoming the shortcomings of both.
In recent years, the vast majority of research on CNFs/MOF composites has focused on fields such as environmental remediation and gas adsorption [12,13]. To further expand the application of CNFs/MOF composites in energy storage, some researchers have already conducted explorations.
The electrical conductivity of CNFs@c-MOF nanofilm, which was fabricated by Zhou et al. [14] through growing continuous conductive c-MOF nanolayers on carboxylated CNFs via interface synthesis, was 1–2 orders of magnitude superior to that of pure c-MOF powder. Li et al. [15] fabricated an integrated film electrode derived from cellulose/graphene oxide (GO)/zeolitic imidazolate framework-8 (ZIF-8) by using a simple solution casting method combined with in situ growth and thermal activation processes. The film delivers a specific capacitance of 426 F/g at a current density of 0.5 A/g, with a capacitance retention rate of 83.2% maintained after 10,000 charge–discharge cycles at 5 A/g, demonstrating excellent cyclic stability.
Up to now, the fabrication of CNFs/MOF composites for electrochemical energy storage has been reported in only a small number of studies. Therefore, there is an urgent need to develop effective strategies to address these issues, so as to promote the application of CNFs/MOF composites in electrochemical energy storage.
In this work, we report for the first time the fabrication of a flexible solid-state SC with high capacitance, which is based on CNFs/MOF composites. Carboxylated CNFs served as flexible gel substrates for growth of a continuous ZIF-8 nanolayer by interfacial synthesis. Subsequently, an acidic aqueous solution generated during the in-situ polymerization of aniline was used for etching treatment to form partially defective ZIF-8 nanoparticles, which served to regulate the layered pore structure, forming a hierarchical porous structure with micropore–mesopore coexistence. A multi-level porous CNFs/ZIF-8/PANI gel composite membrane was prepared by in-situ synthesizing ordered nanostructured polyaniline (PANI) on its surface. The obtained hybrid gel composite membranes can be directly assembled into freestanding composite membrane electrodes without additional binders for high-performance supercapacitors.
This method not only avoids the insulating of CNFs/ZIF-8, in addition, the hierarchical porous structure formed by sacrificed ZIF-8 nanoparticles can be used to create additional charge storage sites and expand charge transport pathways, as well as to improve the electrochemical performance of CNFs/ZIF-8/PANI gel composite membranes. This strategy of regulating the pore structure of the selective layer using MOF nanoparticles as sacrificial templates may provide an effective approach for developing supercapacitors with low cost, sustainability, flexibility, outstanding electrochemical performance, and cyclic stability.

2. Results and Discussion

The fabrication process of CNFs/ZIF-8/PANI gel composite membrane is schematically illustrated in Figure 1 Briefly, carboxyl groups were introduced onto the surface of CNFs derived from softwood pulp via an initial TEMPO oxidation treatment. Thereafter, the carboxylated CNFs were subjected to thorough ion exchange with Zn2+ ions, and a moderate amount of PVP was introduced to modify the surface of the CNFs. Subsequently, an aqueous solution containing Zn(NO3)2·6H2O and organic ligand 2-methylimidazole(MI) was incorporated into the ion-exchanged CNFs suspension to drive the assembly of ZIF-8. A uniformly dispersed CNFs/ZIF-8 nanofiber suspension was finally achieved. Furthermore, PANI was deposited onto the surface of CNFs/ZIF-8 via in situ polymerization. Ultimately, freestanding CNFs/ZIF-8/PANI gel composite membranes were obtained via vacuum filtration through a filter membrane. Detailed experimental procedures for all steps are described in Section 4.
Figure 2a presents the Fourier transform infrared (FT-IR) spectra of CNFs, ZIF-8, and a series of CNFs/ZIF-8 composites. The absorption peak at 1045 cm−1 is attributed to the bending vibration of C–O–C groups in CNFs, whereas the peaks located at 3344 cm−1 and 2896 cm−1 correspond to the stretching vibrations of O–H and C–H groups in CNFs, respectively. The appearance of a strong absorption peak at 1608 cm−1 indicates the successful introduction of carboxyl groups into CNFs [16]. For ZIF-8, the stretching vibration peak of C=N bonds in the imidazole ring is detected at 1565 cm−1; meanwhile, the peaks located at 995 cm−1 and 1149 cm−1 are associated with the vibrational absorption of C–N bonds, which serve as the characteristic peaks of ZIF-8 [17]. Additionally, the peaks at 3135 cm−1 and 2930 cm−1 are attributed to the stretching vibrations of C–H groups in methyl groups and imidazole rings [18], and the peaks at 1311 cm−1 and 1419 cm−1 are assigned to the vibrational absorption of Zn–N bonds in ZIF-8 [19].
To confirm the formation of the CNFs/ZIF-8 nanofibers, Figure 2a shows that the characteristic peak of carboxyl groups in CNFs at 1608 cm−1 is clearly observed when the ZIF-8 content is low (CNFs:ZIF-8 mass ratio of 2:1). As the ZIF-8 content increases, the peak intensity of carboxyl groups in the composites gradually weakens, while that of ZIF-8 (e.g., 1565 cm−1 for C=N stretching vibration, 1311 cm−1 for Zn–N vibrational absorption) significantly intensifies. This phenomenon indicates that ZIF-8 is uniformly coated on the surface of CNFs, which may be ascribed to the coordination interaction between the carboxyl groups of CNFs and the Zn2+ ions of ZIF-8 during the composite process. Such uniform coating is favorable for improving the interface compatibility between CNFs and ZIF-8.
As illustrated in Figure 2b, the main characteristic peaks of PANI are observed in the spectrum of the CNFs/ZIF-8/PANI flexible composite membrane. The peaks located at 1585 cm−1 and 1500 cm−1 correspond to the C=C stretching vibrations of the quinone ring and benzene ring, respectively [20]. In addition, peaks observed at 1307, 1141, and 806 cm−1 are ascribed to the C–N/C–N+ stretching vibrations (benzene ring), C–H bending vibrations (quinoid ring), and out-of-plane C–H bending vibrations (1,4-disubstituted aromatic rings), respectively [21].
However, the characteristic peaks of ZIF-8 are not prominent in the spectrum of the CNFs/ZIF-8/PANI flexible gel composite membrane. This phenomenon may be attributed to the instability of ZIF-8 nanoparticles in acidic aqueous solution, which leads to partial structural collapse. Additionally, the in situ polymerized PANI nanoparticles are uniformly loaded on the surface of CNFs/ZIF-8 nanofibers, which further obscures the characteristic peaks of ZIF-8.
Figure 3a shows the powder X-ray diffraction (PXRD) patterns of CNFs, ZIF-8, PANI, and CNFs/ZIF-8/PANI gel composite membrane. The broad diffraction peaks around 14.8° and 22.6° correspond to the (110) and (200) crystal planes of the type I cellulose structure, respectively. Diffraction peaks at 15.6°, 22.6°, and 25.2° indicate the successful synthesis of the doped emeraldine salt form of PANI [22,23]. The crystal structure of ZIF-8 was confirmed from the PXRD pattern, with its diffraction peaks at 7.5°, 10.5°, 12.9°, 16.8°, and 18.2° being fully consistent with the reported PXRD profile of ZIF-8 [24].
As observed from the XRD patterns presented in Figure 3b, the intensity of the characteristic peaks belonging to ZIF-8 exhibits a gradual enhancement with the increasing amount of ZIF-8 in the composites, ranging from the (2:1) to (2:5) CNFs/ZIF-8 ratio, and positions are basically consistent with those of pure ZIF-8. When PANI is polymerized in situ on (2:5) CNFs/ZIF-8 nanofibers, distinct characteristic peaks of PANI are observed in the spectrum of the flexible gel composite membrane (Figure 3a). However, it is also found that the characteristic peaks of ZIF-8 are not obvious. It is preliminarily deduced that under the acidic reaction environment of PANI in situ polymerization, partial ZIF-8 particles undergo acid hydrolysis and etching, resulting in the formation of ZIF-8 crystals with framework defects. This structural transformation leads to a significant decline in intensity and broadening of the characteristic diffraction peaks of ZIF-8 in the XRD pattern of the gel composite membrane. Consequently, the characteristic peaks of ZIF-8 become indistinct in the composite system.
To characterize the exact morphology of ZIF-8 and further clarify its chemical state in the CNFs/ZIF-8/PANI gel composite membrane, Figure 4 compares the variations in elemental composition and surface valence state between the in situ polymerized (2:5) CNFs/ZIF-8/PANI gel composite membrane and the physically mixed counterpart. As shown in Figure 4a, both membranes display characteristic peaks of C 1s, N 1s, O 1s, and Zn 2p.
The presence of Zn 2p peaks, combined with the results of FT-IR and XRD analyses, confirms the successful incorporation of ZIF-8 nanoparticles in both gel composite membranes. In the Zn 2p spectrum (Figure 4b), the binding energy peaks of Zn 2p1/2 and Zn 2p3/2 in CNFs-ZIF-8-PANI are located at 1045 eV and 1021.7 eV, respectively, which are consistent with the peak positions of Zn 2p in pure ZIF-8. In contrast, the binding energy peaks of Zn 2p1/2 and Zn 2p3/2 in the (2:5) CNFs/ZIF-8/PANI composite membrane are located at 1043.7 eV and 1020.7 eV, respectively, which are negatively shifted by approximately 1.3 eV and 1 eV. In the process of in situ polymerization of PANI on the CNFs/ZIF-8 surface, the etching behavior of partial ZIF-8 nanoparticles in the HCl acidic solution, which acted as the polymerization medium for PANI, can be described as follows: first, the Zn-2-methylimidazolate coordination bonds dissociate. Within a short period, the external structure of ZIF-8 does not undergo complete structural collapse; subsequently, it evolves into a hollow cage-like structure with macroporous apertures. Specifically, the outer layer retains a relatively intact ZIF-8 framework, while the inner layer develops loose and porous domains due to the etching, thus constructing a hierarchical porous architecture with interconnected micropores and mesopores. In other words, the etching treatment only modulates the morphological features of ZIF-8 rather than altering its intrinsic crystal structure [25]. The primary reason for the shift of binding energy peaks is that a dense polymer layer is formed after the in situ polymerization of PANI, which coats the surface of CNFs/ZIF-8 and constructs an interfacial microregion of “CNFs-ZIF-8-PANI”. The interfacial interactions between PANI and ZIF-8 layers (primarily including π-π stacking and N–H…π hydrogen bonding) induce interfacial charge transfer, enabling the delocalization of electrons from PANI toward the ZIF-8 framework, which ultimately manifests as a negative shift of the Zn 2p peak toward lower binding energy.
The high-resolution N 1s spectrum (Figure 4c) can be fitted into three characteristic peaks: 398.4 eV (=N–), 399.1 eV (–NH–), and 401.0 eV (–N+–), indicating the existence of PANI [26]. Notably, the peak at 398.4 eV falls within the characteristic binding energy range of both quinoid imine nitrogen in PANI and pyridinic nitrogen in the imidazolate linkers of ZIF-8. This overlap indicates a strong close interfacial interaction between PANI and ZIF-8, which may induce electronic structure modulation. Meanwhile, the XPS O 1 s peak (Figure 4d) could be deconvoluted into two peaks at 532.4 eV (O–C–O/C–OH) and 531.1 eV (C=O), which are characteristic of carboxylated CNFs [27].
As shown in Table 1, the Zn element content in the CNFs-ZIF-8-PANI gel composite membrane is 5.88% and the N element content is 14.39%. In contrast, the Zn and N contents in the (2:5) CNFs/ZIF-8/PANI gel composite membrane are only 1.4% and 1.68%, respectively. This is primarily attributed to the in situ polymerization process of aniline in an HCl acidic environment, which induces acid etching and partial hydrolysis of a portion of ZIF-8 nanoparticles. Consequently, the Zn–N coordination bonds dissociate, leading to the substantial loss of Zn2+ ions and partial collapse of the ZIF-8 framework structure. Notably, a kinetic competition exists between the polymerization of aniline and the dissolution ZIF-8. Prior to complete decomposition, a dense polyaniline layer rapidly forms on or around ZIF-8 particles. This encapsulation layer partially inhibits further acid etching, allowing some ZIF-8 nanoparticles—either intact or fragmented forms—to remain embedded within PANI. Precisely due to the massive depletion of ZIF-8, the signal intensities of the Zn 2p and N 1s in the XPS spectrum of the gel composite membranes are significantly weakened; meanwhile, the characteristic peaks of corresponding to ZIF-8 in the FTIR and XRD patterns are also rendered indistinct.
To further investigate the effect of acidic solution on CNFs/ZIF-8 nanoparticles, the CNFs/ZIF-8 nanoparticles were immersed in an aqueous HCl solution with pH 2.5, followed by static incubation at 0–5 °C for 6 h before being retrieved. This treatment was designed to simulate the acidic polymerization environment for aniline. The morphological characteristics of the nanoparticles before and after etching are presented in Figure 5a and Figure 5b, respectively. As observed in Figure 5a, ZIF-8 nanoparticles were uniformly anchored onto the CNFs network. After oxidation treatment, the diameter of each cellulose nanofiber was maintained below 100 nm, and all fibers achieved a uniform nanoscale diameter.
As shown in Figure 5b, the surface morphology of the CNFs network became more regular and the microscopic morphology denser after etching. This phenomenon is primarily attributed to the selective hydrolysis of the amorphous regions of cellulose induced by the acidic solution, whereas the crystalline regions remain intact and evolve into nanocellulose crystals with uniform dimensions, thereby eliminating the loose inter-fibrillar structure. Meanwhile, partial ZIF-8 nanoparticles were etched away by the acid, and the residual ZIF-8 nanoparticles were more uniformly dispersed on the CNFs surface, which further fill the inter-fibrillar voids, ultimately resulting in the formation of a compact and dense structure.
While the simulated etching environment enables direct observation of the surface morphology of CNFs/ZIF-8 nanoparticles, the actual acidic solution environment for PANI polymerization involves the continuous in situ generation of PANI on the surface of CNFs/ZIF-8 nanoparticles. This polymer layer rapidly encapsulates the nanoparticles, thereby limiting their exposure duration to the acidic environment.
As shown in Figure 5c, the surface of CNFs is decorated with uniformly distributed, well-defined protrusions encapsulated by PANI. These protrusions correspond to both intact and partially etched ZIF-8 crystals that are coated with PANI during the in situ polymerization process. Through the selective removal of partial structural components of ZIF-8 nanoparticles via etching and hydrolysis, a defective, porous hierarchical architecture is constructed. This structure not only offers additional active sites for the redox reactions of the electrode but also offers robust anchoring sites for PANI loading. Consequently, PANI is uniformly coated onto the surface of CNFs/ZIF-8, which in turn facilitates the efficient diffusion of ions and charge transfer within the electrolyte. In contrast, for the CNFs/ZIF-8/PANI gel composite membrane prepared via physical mixing, PANI tends to agglomerate into bulk stacked structures. CNFs and ZIF-8 are randomly interspersed within the bulk PANI, and this agglomerated structure significantly impedes the migration and diffusion of charges and ions in the electrolyte.
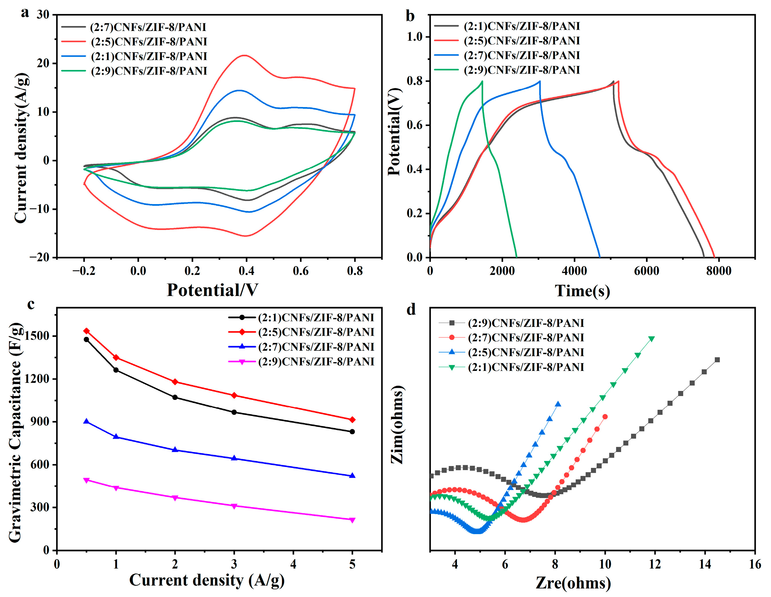
To further verify the aforementioned analysis, the electrochemical performance of these flexible gel composite membranes was investigated (Figure 6). As depicted in Figure 6a,b, obvious redox peaks are observed in cyclic voltammetry (CV) and galvanostatic charge–discharge (GCD) curves of the four gel composite membrane electrodes with varying ratios. The observed peaks are ascribed to the redox interconversions among leucoemeraldine (LB), emeraldine salt (ES), and pernigraniline (PB) of PANI [28,29], which reflects the pseudocapacitive behavior of PANI. All CV curves exhibit excellent symmetry, and the GCD curves show stable charge–discharge plateaus without significant voltage drops, indicating that the composite membranes possess ideal pseudocapacitive reversibility and outstanding electrochemical stability. As the ZIF-8 content increases, the area of the CV curves and the discharge time of the GCD curves initially increase and then decrease.
When the ratio of CNFs to ZIF-8 is 2:5, the CV curve area is significantly larger than those with other ratios. This is further confirmed by the triangular peak shape observed in the GCD curve (Figure 6b). Notably, at a current density of 0.5 A g−1, the specific capacitance of the (2:5) CNFs/ZIF-8/PANI gel composite membrane reaches up to 1536 F/g, which is nearly 7 times higher than the similar literature values reported for CNFs-based electrode materials [30], and over 3.5 times higher than those of electrodes composed solely of ZIF-8 and CNFs [15]. The detailed comparative data are listed in Table 2. When the ratio of CNFs to ZIF-8 increases to 2:7, the specific capacitance drops sharply to 900 F/g. This phenomenon can be attributed to the following mechanism: CNFs serve as the gel matrix, and ZIF-8 nanoparticles synthesized via interfacial synthesis uniformly and tightly anchor onto the surface of CNFs filaments. Meanwhile, the intrinsically high specific surface area of ZIF-8, combined with the defective hierarchical porous architecture formed by etching, synergistically enhances the overall surface area of the composite. This provides sufficient anchoring sites for the in situ polymerization and growth of PANI, enabling PANI to deposit as ordered nanorod structures and avoiding its agglomeration. The abundant porous architecture and uniform distribution of PANI not only supply additional active sites for redox reactions of the gel composite membrane electrode but also shorten the ion diffusion paths. Additionally, the significant interfacial interactions between the PANI and ZIF-8 layers induce efficient interfacial charge transfer, enabling effective electron delocalization across the interface. This not only shortens the charge transport distance but also increases the charge transfer paths, thereby significantly lowering the charge transfer resistance. Collectively, these factors contribute to the remarkable enhancement of the specific capacitance of the gel composite membrane. However, an excessive loading of ZIF-8 nanoparticles leads to their agglomeration on the CNFs surface, which reduces the accessible porosity, blocks the charge transfer paths, decreases the effective anchoring sites for PANI, and obstructs ion transport channels. Consequently, the overall electrochemical performance deteriorates with a concomitant reduction in specific capacitance, which is consistent with the aforementioned SEM and XPS analyses.
EIS was employed to investigate the electrode–electrolyte interface resistance and charge transfer resistance of the fabricated devices (Figure 6d). In the high-frequency region, the initial intercepts of all curves are closely aligned, indicating negligible differences in the solution resistance of the gel composite membranes with varying ratios. The diameter of the semicircle in the high-frequency region corresponds to the charge transfer resistance (Rct), a core parameter characterizing the charge transfer efficiency of electrode materials that directly affects their electrochemical performance. Notably, a smaller semicircle diameter denotes a faster charge transfer rate. In Figure 6d, the semicircular arcs of the composite membranes with different ratios exhibit distinct differences. Specifically, the semicircle corresponding to the (2:5) CNFs/ZIF-8/PANI gel composite membrane appears more compact, indicating that the ratio of CNFs to ZIF-8 exerts a significant influence on the charge transfer efficiency of the composite membrane electrode, and that the charge transfer is the fastest when the CNFs:ZIF-8 ratio is 2:5. The steepness of the linear segment in the low-frequency region reflects the ion diffusion rate within the electrode; a higher slope denotes lower ion diffusion resistance and faster diffusion rates. The slopes of all gel composite membrane curves are significantly greater than 45°, except for that of the (2:9) CNFs/ZIF-8/PANI gel composite membrane, yet pronounced variations in the steepness of these linear segments are observed across different ratios. This result demonstrates that the CNFs:ZIF-8 ratio has a substantial impact on the ion diffusion capacity in the electrolyte. Specifically, the curve of the (2:5) composite membrane displays the steepest slope, corresponding to lower impedance and superior electrochemical performance (faster charge transfer and low diffusion resistance), which is in accordance with the conclusions derived from the CV and GCD measurements.
To further verify the synergistic interactions among CNFs, ZIF-8, and PANI, as well as their influence on electrical performance, the electrochemical performances of three gel composite membranes—CNFs/PANI, CNFs-ZIF-8-PANI, and (2:5) CNFs/ZIF-8/PANI—were compared. The corresponding results are presented in Figure 7.
The CV curve area and GCD curve discharge time of the (2:5) CNFs/ZIF-8/PANI gel composite membrane are considerably larger than those of the other two gel composite membranes. This further demonstrates that the interaction among CNFs, ZIF-8, and PANI is not merely a simple physical stacking or surface coverage; instead, the synergistic effects enhance the charge transfer paths and efficiency, and reduce the ion diffusion resistance, and thereby collectively boost the electrochemical performance.
In contrast, the specific capacitance of the physically mixed CNFs-ZIF-8-PANI gel composite membrane is nearly identical to that of the CNFs/PANI composite membrane. This indicates that the simple physical mixing lacks interfacial synergistic effects, making it difficult to construct continuous charge transport channels and efficient ion diffusion paths. Consequently, the porous structure advantage of ZIF-8 and the synergistic energy storage effects of the three components cannot be fully exploited.
Based on the aforementioned analysis, the electrochemical performance of the (2:5) CNFs/ZIF-8/PANI gel composite membrane was further investigated, with the results illustrated in Figure 8.
Figure 8a shows the CV curves of the electrode at different scan rates (5–100 mV/s). The current response of the electrode’s CV curves increases with the scan rate, while the curve shape remains stable, exhibiting typical pseudocapacitive characteristics. Energy storage analysis reveals that the kinetic behavior of the electrode varies significantly with the scan rate: at low scan rates, the broadened redox peaks correspond to a diffusion-dominated process; at high scan rates, the curves tend to be rectangular, indicating that surface-controlled processes (electric double-layer capacitance and fast pseudocapacitance) dominate, thus demonstrating excellent rapid charge storage capability. This characteristic stems from the multiple synergistic effects of the 3D CNFs network, micro-mesoporous hierarchical pores of etched ZIF-8, and in situ polymerized PANI. Through the dynamic coordination of capacitive and diffusion behaviors, the electrode achieves the unification of high specific capacitance and excellent rate performance.
In addition, the charge–discharge curves of the electrode were measured at current densities ranging from 0.5 to 5 A/g (Figure 8b). It is observed that a potential plateau between 0.4 and 0.7 V exists for all curves at different current densities, which is ascribed to the redox reactions of polyaniline. Moreover, the curves display a slightly distorted triangular shape, which demonstrates the reversibility of the redox reactions within the current density range.
The specific capacitance of the electrode was calculated from the GCD data presented in Figure 8c. As the current density increases, the specific capacitance of the electrode declines gradually. When the current density is elevated from 0.5 to 2 A/g, the specific capacitance drops from 1536 to 1181 F/g, with a capacitance retention rate of 76.9%. This result verifies the presence of rapid ion diffusion pathways and superior rate capability of the electrode. However, during the charge–discharge cycling process, conductive polymers are prone to undergo volume expansion and contraction induced by the swelling and shrinking of molecular chains, which may trigger active material detachment, electrochemical performance degradation, and thus inferior cycling stability.
To evaluate the cycling stability of the electrode, GCD tests were conducted at a current density of 10 A/g for 5000 cycles, as presented in Figure 8d. The electrode retains 88% of its initial capacitance, which represents a significant enhancement compared with the performance reported in other PANI-related literature [32]. Such outstanding cycling stability is mainly attributed to the robust framework derived from strong interfacial interactions between CNFs and ZIF-8, which serves as a rigid structural scaffold for PANI. Moreover, the core–shell structure constructed via interfacial polymerization effectively buffers the volume deformation of PANI during cycling and prevents structural collapse, thereby ensuring the long-term electrochemical performance stability of the composite membrane electrode. Nevertheless, it should be noted that the cycling stability exhibits a slight decay after 3000 cycles at a high current density of 10 A/g. Specifically, the stability decay is primarily attributed to interfacial fatigue under high-rate cycling. The synergistic effect of volume changes in PANI during redox reactions and the mechanical stress from high-current impact leads to progressive interfacial detachment between the ZIF-8-derived active materials and the CNFs substrate. This results in increased charge transfer resistance and reduced utilization of active sites. This interfacial degradation mechanism is supported by the GCD curves recorded between 106,000 and 106,300 s (corresponding to ~3600 cycles). The curves maintain stable Coulombic efficiency while exhibiting significantly increased polarization.
Given its outstanding electrochemical performance, symmetric supercapacitors were assembled using (2:5) CNFs/ZIF-8/PANI flexible gel composite membranes (dimension: 1 cm × 1 cm × 0.005 cm) to evaluate the composite’s potential application in flexible electrochemical energy storage devices. A piece of non-woven fabric was sandwiched between two identical (2:5) CNFs/ZIF-8/PANI membrane electrodes, serving as the separator. Two pieces of graphite paper were employed as current collectors, while a PVA-H2SO4 gel electrolyte was adopted as the electrolyte. As expected, the as-fabricated device exhibited typical pseudocapacitive behavior, as evidenced by the CV and GCD curves (Figure 9a,b).
As illustrated in Figure 9a, the CV curves of the assembled supercapacitor were tested at scan rates varying from 5 to 100 mV/s, which display highly symmetric and overlapping profiles, indicating that the supercapacitor has ideal capacitive behavior. A marked enhancement in oxidation peak currents is observed with increasing scan rate, which verifies the rapid electrochemical response of the device to varying scan rates. Notably, a distortion in the CV curve profile occurs at high scan rates, where the redox peaks become increasingly vague. This behavior can be attributed to the kinetic limitation of H+ ion transport: the charge–discharge process in the H2SO4 electrolyte relies on the reversible insertion/extraction of H+ ions between the electrolyte and the electrode, and at high scan rates, the ion migration rate fails to match the rate of the electrochemical reaction [32].
The GCD profiles displayed in Figure 9b exhibit typical charge–discharge characteristics for the (2:5) CNFs/ZIF-8/PANI membrane-based supercapacitor. At a current density of 0.5 A/g, the specific capacitance of the device reaches up to 220.9 F/g, which is indicative of its rapid ion transport capability. To evaluate the long-term cycling stability of the device, GCD cycling tests were carried out at 10 A/g for 5000 cycles. As presented in Figure 9d, the device maintains approximately 74% of its initial specific capacitance after cycling, demonstrating favorable cycling durability.
As depicted in Figure 9c, the Nyquist plot of the supercapacitor shows that the ohmic resistance (Rs), corresponding to the intercept at the high-frequency region, is approximately 0.32 Ω, while the charge transfer resistance (Rct) is negligible. This result indicates that the device possesses extremely low internal resistance, thus enabling electrolyte ions to readily penetrate the internal porous structure of the (2:5) CNFs/ZIF-8/PANI composite for efficient charge transfer. Additionally, the steep straight line observed in the low-frequency region implies minimal ion diffusion resistance in the electrolyte and reflects the excellent capacitive behavior of the fabricated supercapacitor.
In previous studies, the fabrication of electrodes from MOF and polymer powders usually involves the incorporation of conductive additives, solvents, and binders to coat flexible substrates such as carbon cloth [21]. The process is complicated, and the resulting electrodes as well as assembled devices usually lack flexibility. In contrast, the (2:5) CNFs/ZIF-8/PANI flexible gel composite membrane developed in this work can be directly cut into electrodes without any additional processing, and the assembled supercapacitor exhibits outstanding flexibility. After bending the device at 90° or even folding it at 180°, the CV curves show negligible variations (Figure 10b). The series connection of three devices enables the driving of a timer for over two minutes (Figure 10d). The Ragone plots of the fabricated supercapacitor are illustrated in Figure 10c. As shown, within a 0.8 V voltage window, the device achieves a high energy density of 39.55 Wh/kg at a corresponding power density of 200 W/kg, outperforming most previously reported analogous supercapacitors [15,32].

3. Conclusions

In summary, CNFs were employed as the gel substrate in this work. A continuous ZIF-8 nanolayer was grown on their surface via interfacial synthesis, followed by the regulation of its pore structure through partial etching and hydrolysis in an acidic aqueous solution. This treatment successfully constructed a hierarchical porous architecture with both micropores and mesopores. On this basis, PANI were further polymerized onto the porous framework, ultimately yielding a structurally integrated CNFs/ZIF-8/PANI flexible gel composite membrane.
Owing to the elaborately designed hierarchical structure and synergistic interactions among components, the prepared CNFs/ZIF-8/PANI gel composite membrane exhibits both excellent flexibility and outstanding electrochemical performance, whether serving as a self-supporting electrode or in the assembled symmetric supercapacitor. Specifically, the electrode material achieves a high specific capacitance of 1350 F/g at 1 A/g, while the fully assembled device delivers a gravimetric capacitance of 220.9 F/g at 0.5 A/g. Moreover, the device demonstrates favorable cycling stability, retaining 74% of its initial specific capacitance after 5000 consecutive charge–discharge cycles at a high current density of 10 A/g. This strategy of tailoring the selective layer pore structure using partial MOF nanoparticles as sacrificial templates is the key to the flexible composite membrane electrode’s superior electrochemical performance and the assembled device’s high stability, which is expected to offer a novel and feasible approach for developing of high-performance flexible energy storage devices.

4. Materials and Methods

4.1. Materials

Needle-bleached kraft pulp was supplied by Weifang Derui Biotechnology Co., Ltd., (Weifang, China), Sodium bromide (NaBr), sodium hydroxide (NaOH), aniline (ANI), hydrochloric acid (HCl), ammonium persulphate (APS), 2,2,6,6-tetramethylpiperidine-1-oxygen radical (TEMPO), zinc nitrate hexahydrate (Zn(NO3)2·6H2O), sodium hypochlorite solution (NaClO, 6–14%), polyvinylpyrrolidone (PVP), and 2-methylimidazole were purchased from Sigma-Aldrich (Shanghai, China). All chemicals were analytical grade and utilized without additional purification, except aniline, which was purified by reduced-pressure distillation prior to use.

4.2. Fabrication of Carboxylated CNFs

CNFs were exfoliated from needle-bleached kraft pulp according to the typical TEMPO-mediated oxidation [14]. Briefly, dry kraft pulp (5 g) was washed and dispersed in 500 mL of deionized water (DI) containing TEMPO (0.08 g) and NaBr (0.5 g) by a probe sonicator until completely dissolved to form a uniform suspension. Subsequently, NaClO (45.5 mL) solution was added dropwise to the mixture to start the TEMPO oxidation with stirring at 500 rpm. The pH value of the mixture was maintained at 10–10.5 by dropwise adding an aqueous NaOH solution (0.1 M) during the oxidation process. When the pH remained constant, the reaction was quenched by ethanol (30 mL). The mixture was filtered and washed thoroughly with DI and freeze-dried. The charge density of the obtained carboxylated CNFs was controlled to around 1200 μmol/g.

4.3. Ion-Exchange and Surface Modification of CNFs

A quantity of 0.2 g carboxylated CNFs was dispersed in 500 mL of DI by a probe sonicator for 20 min until completely dissolved to form a uniform suspension. Zn(NO3)2·6H2O (1.44 mmol) was added to the carboxylated CNFs suspension and the mixture was stirred at 500 rpm for 4 h. The suspension was thereafter collected by filtration and washed by DI several times. The ion-exchanged carboxylated CNFs were redispersed in 40 mL deionized water and sonicated for 20 min, 50 mL of aqueous solution of PVP (2.8 g) was added, and the mixture was stirred at 500 rpm for 5 h. The obtained solution of Zn2+-exchanged and surface-modified CNFs was stored for growing ZIF-8 in the next step, called Solution A.

4.4. Synthesis of CNFs/ZIF-8

Zn(NO3)2·6H2O (0.1 g) and 2-methylimidazole (0.1 g) were separately dissolved in 10 mL of deionized water (DI). First, the Zn (NO3)2·6H2O solution was added into Solution A. The mixture was continuously stirred at 500 rpm for 1 h until it became a uniform and stable CNFs gel-based suspension. Then, the 2-methylimidazole solution was dropwise added into the mixture, which was subsequently stirred for an hour at room temperature. The obtained suspension was filtered and washed by DI several times to remove unreacted reagent and then freeze-dried. The obtained sample was denoted (2:1) CNFs/ZIF-8. Other CNFs/ZIF-8 composites with different mass ratios, shown in Table 3, were prepared following the same method as this example.

4.5. Preparation of CNFs/ZIF-8/PANI Gel Composite Membrane

To achieve efficient doping and modulate the morphology of PANI, HCl was selected as the reaction medium during the polymerization of aniline.
Aniline was dissolved in a HCl (25 mL, 1 M) solution to prepare 0.2 M aniline solution, designated as Solution A. A quantity of 1.14 g APS was dissolved in HCl solution (25 mL, 1 M) to obtain Solution B. The as-prepared CNFs/ZIF-8 was added to Solution A, which was pre-cooled in an ice-water bath with stirring. When the temperature of Solution A was maintained between 0 °C and 4 °C, Solution B was slowly added dropwise to Solution A. Once the dropwise addition was finalized, the mixture was placed in a low-temperature constant-temperature bath at 0–4 °C for 6 h. When the reaction was quenched, the product was filtered and washed with DI and ethanol to remove unreacted monomers and by-products, then freeze-dried to obtain the CNFs/ZIF-8/PANI flexible gel composite membrane.
To further compare CNFs/ZIF-8/PANI flexible gel composite membranes, CNFs/PANI gel composite membranes were fabricated via in situ polymerization and CNFs-ZIF-8-PANI gel composite membranes were prepared by physical mixing.

4.6. Preparation of CNFs/PANI Gel Composite Membrane

The preparation process was identical to that of the CNFs/ZIF-8/PANI flexible gel composite membrane, excluding the ZIF-8 synthesis step.

4.7. Preparation of CNFs-ZIF-8-PANI Gel Composite Membrane

Fabrication of ZIF-8: 0.1 g Zn(NO3)2·6H2O was dissolved in 500 mL DI water (Solution A), and 0.1 g 2-methylimidazole was dissolved in 10 mL DI water (Solution B). Solution B was introduced dropwise into Solution A with continuous stirring for 1 h. The mixture was filtered, washed thoroughly with DI water and ethanol, and freeze-dried to obtain ZIF-8.
Fabrication of PANI: Solution A (0.2 M aniline solution) was prepared by dissolving in HCl (25 mL, 1 M) solution. A quantity of 1.14 g APS was ultrasonically dissolved in HCl (25 mL, 1 M) solution (Solution B). Solution A was pre-cooled in an ice-water bath with stirring, followed by slow dropwise addition of Solution B. The mixture was reacted at 0–4 °C for 6 h, then filtered, washed with DI and ethanol until the filtrate turned colorless, and finally freeze-dried to obtain PANI.
Preparation of CNFs-ZIF-8-PANI gel composite membrane: A quantity of 0.2 g as-prepared CNFs was ultrasonically dispersed in 40 mL DI. ZIF-8 and PANI were added sequentially with ultrasonic dispersion, followed by filtration, washing with DI and ethanol, then freeze-dried to obtain the CNFs-ZIF-8-PANI gel composite membrane.

4.8. Assembly of the Flexible All-Solid-State Symmetric SC

A symmetric SC was assembled via sandwiching a non-woven fabric separator (pre-soaked with PVA/H2SO4 gel electrolyte) between two identical CNFs/ZIF-8/PANI gel composite membrane electrodes. A quantity of 6 g of PVA was dissolved in 1 M H2SO4 aqueous solution at 85 °C to fabricate the PVA/H2SO4 gel electrolyte. The gel composite membrane electrodes were soaked in PVA/H2SO4 gel for 30 min, and two pieces of graphite paper served as current collectors.

4.9. Electrochemical Characterizations

Electrochemical characterizations were conducted in a conventional three-electrode setup, where the electrolyte consisted of 1 M H2SO4 aqueous solution.
A platinum plate and a saturated calomel electrode served as the counter electrode and reference electrode, respectively. CV and GCD curves were recorded on an electrochemical workstation (CHI 760E, Shanghai Chenhua Instrument Co., Ltd., Shanghai, China). EIS (Electrochemical Impedance Spectroscopy) measurements were conducted with a CHI 660D-3 instrument (Shanghai Chenhua Instrument Co., Ltd., Shanghai, China). The frequency was varied in the range of 100 kHz to 0.01 Hz, with an alternating current (AC) amplitude of 5 mV applied.
The GCD measurements were conducted within a voltage window of 0 to 0.8 V, at constant current densities ranging from 0.5 to 5 A/g. CV measurements were implemented within the identical potential range, with scan rates varying from 5 to 100 mV/s.
The surface area of the electrode used in the experiment was 1 × 1 cm2. The mass specific capacitance (Cg) (F/g) of electrodes was calculated from the GCD curves using the following equation [14]:
C g = I Δ t m Δ V
where I (A), Δt (s), ΔV (V), and m (g) are the discharge current, the discharge time, the voltage window, and the mass of the active material (PANI and ZIF-8) in the electrode.
The mass-specific capacitance (Ccell-GCD) of the supercapacitor was calculated from the GCD curves according to the following equation [21]:
C c e l l = I Δ t M Δ V
where I (A), Δt (s), ΔV (V), and M (g) are the discharge current, the discharge time, the voltage change upon discharging, and the total mass of PANI and ZIF-8 in two electrodes, respectively.
In the calculations section (Equations (1) and (2)), the mass of the active material (PANI and ZIF-8) is defined as the difference between the mass of the final CNFs/ZIF-8/PANI composite membrane after reaction and the initial mass of the CNFs. Specific capacitance and its derived device metrics were uniformly calculated using the same mass normalization basis.
The energy density (E, Wh/kg) and the power density (P, W/kg) of the supercapacitors were calculated according to the following equations:
E = C m Δ V 2 2
P = 3600 E Δ t
Here, Cm is the mass-specific capacitance.

4.10. Material Characterizations

Powder XRD (X-ray diffraction) patterns were recorded in a Bruker Focus D8 diffractometer with Cu Kα X-ray radiation (λ = 1.5418 Å). FT-IR was employed to acquire Frontier FT-IR spectrometers (VECTOR 22, Bruker Optik GmbH, Ettlingen, Germany) in the range of 400–4000 cm−1 at room temperature. The surface morphology of the material was characterized using a field emission scanning electron microscope (FESEM; SUPRA-55, Zeiss, Carl Zeiss AG, Oberkochen, Germany). Meanwhile, an X-ray photoelectron spectrometer (ESCALAB 250 XI, Thermo Fisher Scientific, Waltham, MA, USA) was utilized to acquire XPS spectra for elemental composition analysis.

Author Contributions

Conceptualization, S.-S.L.; Methodology, S.-S.L., P.-J.W. and W.-C.W.; Validation, P.-J.W.; Resources, Z.-Y.M.; Data curation, P.-J.W.; Writing—original draft, S.-S.L.; Writing—review & editing, S.-S.L. and Z.-D.C.; Visualization, Z.-Y.M. and W.-C.W.; Supervision, S.-S.L., Z.-Y.M., C.-H.L., W.-C.W. and Z.-D.C.; Project administration, S.-S.L., C.-H.L. and Z.-D.C.; Funding acquisition, Z.-D.C. All authors have read and agreed to the published version of the manuscript.

Funding

This research was funded by National Natural Science Foundation of China (No. 22378029).

Institutional Review Board Statement

Not applicable.

Informed Consent Statement

Not applicable.

Data Availability Statement

The data supporting the findings of this study are available upon reasonable request from the corresponding author.

Conflicts of Interest

The authors declare no conflict of interest.

References

  1. Anjuma, N.; Grotaa, M.; Lib, D.; Shen, C. Laminate Composite-Based Highly Durable and Flexible Supercapacitors for Wearable Energy Storage. J. Energy Storage 2020, 29, 101460. [Google Scholar] [CrossRef]
  2. El-Kady, M.; Kaner, R. Scalable Fabrication of High-Power Graphene Micro-Supercapacitors for Flexible and On-Chip Energy Storage. Nat. Commun. 2013, 4, 1475. [Google Scholar] [CrossRef] [PubMed]
  3. Zhao, Y.; Huang, B.; Ji, Y.W.; Yu, Y.; Gao, X.Y.; Zhang, Z.J.; Fei, H.F. Porous Carbon Nanofiber Flexible Membranes via a Bottlebrush Copolymer Template for Enhanced High-Performance Supercapacitors. ACS Appl. Mater. Interfaces 2023, 15, 52407–52418. [Google Scholar] [CrossRef]
  4. Bai, T.; Wang, W.; Xue, G.; Li, S.; Guo, W.; Ye, M.; Wu, C. Free-Standing, Flexible Carbon@MXene Films with Cross-Linked Mesoporous Structures toward Supercapacitors and Pressure Sensors. ACS Appl. Mater. Interfaces 2021, 13, 58275–58285. [Google Scholar] [CrossRef] [PubMed]
  5. Takeno, H.; Shikano, R.; Kikuchi, R. Mechanical Performance of Corn Starch/Poly(Vinyl Alcohol) Composite Hydrogels Reinforced by Inorganic Nanoparticles and Cellulose Nanofibers. Gels 2022, 8, 514. [Google Scholar] [CrossRef]
  6. Zhang, F.W.; Trackey, P.D.; Verma, V.; Mandes, G.; Calabro, R. Cellulose Nanofiber–Alginate Biotemplated Cobalt Composite Multifunctional Aerogels for Energy Storage Electrodes. Gels 2023, 9, 893. [Google Scholar] [CrossRef]
  7. Ma, Y.; Zhu, Y.; Lei, Y.; Yang, Y.; Li, L.; Zhu, Q.; Zhang, W. Three-Dimensional Bacterial Cellulose and MOF-74 Derivatives as Anode for High Performance Potassium-Ion Batteries. J. Alloys Compd. 2023, 946, 169365. [Google Scholar] [CrossRef]
  8. Hou, M.J.; Hu, Y.M.; Xu, M.J.; Li, B. Nanocellulose Based Flexible and Highly Conductive Film and Its Application in Supercapacitors. Cellulose 2020, 27, 9457–9466. [Google Scholar] [CrossRef]
  9. Mehtab, T.; Yasin, G.; Arif, M.; Shakeel, M.; Korai, R.M.; Nadeem, M.; Muhammad, N.; Lu, X. Metal-Organic Frameworks for Energy Storage Devices: Batteries and Supercapacitors. J. Energy Storage 2019, 21, 632–646. [Google Scholar] [CrossRef]
  10. Powell, J.A.; Yang, Y.; Zhou, H.C. Design, Analysis, and Application of Metal–Organic Framework Derived Carbons. Inorg. Chem. Front. 2025, 12, 2194–2209. [Google Scholar] [CrossRef]
  11. Cao, F.; Zhao, M.; Yu, Y.; Chen, B.; Huang, Y.; Yang, J.; Cao, X.; Lu, Q.; Zhang, X.; Zhang, Z.; et al. Synthesis of Two-Dimensional CoS1.097/Nitrogen-Doped Carbon Nanocomposites Using Metal−Organic Framework Nanosheets as Precursors for Supercapacitor Application. J. Am. Chem. Soc. 2016, 138, 6924–6927. [Google Scholar] [CrossRef]
  12. Song, Y.; Zhu, W.; Wang, C.; Yamauchi, Y. Nanoarchitectonics of Metal−Organic Framework and Nanocellulose Composites for Multifunctional Environmental Remediation. Adv. Mater. 2025, 37, 2406994. [Google Scholar] [CrossRef]
  13. Zhang, X.F.; Feng, Y.; Wang, Z.G.; Jia, M.M.; Yao, J.F. Fabrication of Cellulose Nanofibrils/UiO-66-NH2 Composite Membrane for CO2/N2 Separation. J. Membr. Sci. 2018, 568, 10–16. [Google Scholar] [CrossRef]
  14. Zhou, S.Y.; Kong, X.Y.; Zheng, B.; Huo, F.W.; Strømme, M.; Xu, C. Cellulose Nanofiber @ Conductive Metal−Organic Frameworks for High-Performance Flexible Supercapacitors. ACS Nano 2019, 13, 9578–9586. [Google Scholar] [CrossRef]
  15. Li, J.; Sun, Y.; Kang, W.; Wang, P.; Zhang, H.; Zhang, X. Green Synthesis of Cellulose/Graphene Oxide/ZIF-8 Derived Highly Conductive Integrated Film Electrode for Supercapacitor. Carbon 2021, 185, 599–607. [Google Scholar] [CrossRef]
  16. Saito, T.; Kimura, S.; Nishiyama, Y.; Isogai, A. Cellulose Nanofibers Prepared by TEMPO-Mediated Oxidation of Native Cellulose. Biomacromolecules 2007, 8, 2485–2491. [Google Scholar] [CrossRef]
  17. Hwang, S.; Chi, W.S.; Lee, S.J.; Im, S.H.; Kim, J.H.; Kim, J. Hollow ZIF-8 Nanoparticles Improve the Permeability of Mixed Matrix Membranes for CO2/CH4 Gas Separation. J. Membr. Sci. 2015, 480, 11–19. [Google Scholar] [CrossRef]
  18. Venna, S.R.; Carreon, M.A. Highly Permeable Zeolite Imidazolate Framework-8 Membranes for CO2/CH4 Separation. J. Am. Chem. Soc. 2010, 132, 76–78. [Google Scholar] [CrossRef]
  19. Hu, Y.; Kazemian, H.; Rohani, S.; Huang, Y.; Song, Y. In Situ High Pressure Study of ZIF-8 by FTIR Spectroscopy. Chem. Commun. 2011, 47, 12694–12696. [Google Scholar] [CrossRef] [PubMed]
  20. Ontolan, J.P.B.; Alcantara, P.A.M.; Vequizo, R.M.; Odarve, M.K.; Sambo, B.R. Properties of In Situ HCl-Doped Emeraldine Polyaniline on n-Si (100) Substrates for Diode Application. Phys. Status Solidi C 2015, 12, 580–583. [Google Scholar] [CrossRef]
  21. Shao, L.; Wang, Q.; Ma, Z.L.; Jia, Z.Y.; Wang, X.Y.; Song, D.D.; Liu, A.Y.; Wang, N. A High-Capacitance Flexible Solid-State Supercapacitor Based on Polyaniline and Metal-Organic Framework (UiO-66) Composites. J. Power Sources 2018, 379, 350–361. [Google Scholar] [CrossRef]
  22. Gopakumar, D.A.; Pai, A.R.; Pottathara, Y.B.; Pasquini, D.; de Morais, L.C.; Luke, M.; Kalarikkal, N.; Grohens, Y.; Thomas, S. Cellulose Nanofiber-Based Polyaniline Flexible Papers as Sustainable Microwave Absorbers in the X-Band. ACS Appl. Mater. Interfaces 2018, 10, 21357–21365. [Google Scholar] [CrossRef] [PubMed]
  23. MacDiarmid, A.G.; Chiang, J.C.; Richter, A.F.; Epstein, A.J. Polyaniline: A New Concept in Conducting Polymers. Synth. Met. 1987, 18, 285–290. [Google Scholar] [CrossRef]
  24. Nordin, N.A.H.M.; Rachaa, S.M.; Matsuura, T.; Misdan, N.; Sania, N.A.A.; Ismail, A.F.; Mustafaa, A. Facile Modification of ZIF-8 Mixed Matrix Membranes for CO2/CH4 Separation: Synthesis and Preparation. RSC Adv. 2015, 5, 36511–36519. [Google Scholar] [CrossRef]
  25. Zhou, Y.; Jia, M.; Zhang, X.; Yao, J. Etched ZIF-8 as a Filler in Mixed-Matrix Membranes for Enhanced CO2/N2 Separation. Chem. Eur. J. 2020, 26, 7918–7922. [Google Scholar] [CrossRef] [PubMed]
  26. Yue, J.; Epstein, A.J. XPS Study of Self-Doped Conducting Polyaniline and Parent Systems. Macromolecules 1991, 24, 4441–4445. [Google Scholar] [CrossRef]
  27. Stenstad, P.; Andresen, M.; Tanem, B.S.; Stenius, P. Chemical Surface Modifications of Microfibrillated Cellulose. Cellulose 2008, 15, 35–45. [Google Scholar] [CrossRef]
  28. Gu, Y.; Ding, J.; Hu, G.; You, F.; Chen, S.; Huang, H.; Zhu, K.; Lu, Z.; Li, J.; Dong, A. Carbon Nanofibers as Supporting Substrate for Growth of Polyaniline Nanorods on Fe2O3 Nanoneedles toward Electrochemical Energy Storage. ACS Omega 2024, 9, 50310–50319. [Google Scholar] [CrossRef] [PubMed]
  29. Pomposo, J.A.; Fernández-García, M.J.; García-Martínez, J.M.; Mecerreyes, D. Mechanochemical Synthesis of Polyanilines and Their Nanocomposites: A Critical Review. Polymers 2022, 15, 66. [Google Scholar] [CrossRef]
  30. Liu, Q.Z.; Jing, S.S.; Wang, S.; Zhuo, H.; Zhong, L.X.; Peng, X.W.; Sun, R.C. Flexible Nanocomposites with Ultrahigh Specific Areal Capacitance and Tunable Properties Based on a Cellulose-Derived Nanofiber-Carbon Sheet Framework Coated with Polyaniline. J. Mater. Chem. A 2016, 4, 13352–13360. [Google Scholar] [CrossRef]
  31. Wang, D.C.; Yu, H.Y.; Qi, D.; Ramasamy, M.; Yao, J.; Tang, F.; Tam, K.M.C.; Ni, Q. Supramolecular Self-Assembly of 3D Conductive Cellulose Nanofiber Aerogels for Flexible Supercapacitors and Ultrasensitive Sensors. ACS Appl. Mater. Interfaces 2019, 11, 24435–24446. [Google Scholar] [CrossRef]
  32. Zheng, W.; Lv, R.; Na, B.; Liu, H.; Yuan, D. Nanocellulose-Mediated Hybrid Polyaniline Electrodes for High Performance Flexible Supercapacitors. J. Mater. Chem. A 2017, 5, 12969–12976. [Google Scholar] [CrossRef]
  33. Yang, C.; Chen, C.; Pan, Y.; Li, S.; Wang, F.; Li, J.; Li, N.; Li, X.; Zhang, Y.; Li, D. Flexible Highly Specific Capacitance Aerogel Electrodes Based on Cellulose Nanofibers, Carbon Nanotubes and Polyaniline. Electrochim. Acta 2015, 182, 264–271. [Google Scholar] [CrossRef]
  34. Xu, C.; Kong, X.; Zhou, S.; Zheng, B.; Huo, F.; Strømme, M. Interweaving Metal–Organic Framework-Templated Co–Ni Layered Double Hydroxide Nanocages with Nanocellulose and Carbon Nanotubes to Make Flexible and Foldable Electrodes for Energy Storage Devices. J. Mater. Chem. A 2018, 6, 24050–24057. [Google Scholar] [CrossRef]
  35. Liu, P.; Zhang, H.; He, X.; Du, H.; Liu, K.; Yu, W.; Zhang, H.; Si, C. Preparation of Porous Conductive Cellulose Nanofibril Based Composite Aerogels and Performance Comparison with Films. React. Funct. Polym. 2020, 157, 104748. [Google Scholar] [CrossRef]
  36. Zou, Z.; Xiao, W.; Zhang, Y.; Yu, H.; Zhou, W. Facile Synthesis of Freestanding Cellulose/RGO/Silver/Fe2O3 Hybrid Film for Ultrahigh-Areal-Energy-Density Flexible Solid-State Supercapacitor. Appl. Surf. Sci. 2020, 500, 144244. [Google Scholar] [CrossRef]
  37. Yan, C.; Jia, S.; Wei, J.; Shao, Z. Construction of Hierarchical Porous Derived from Cellulose Nanofiber/Graphene/Zn/Co ZIF 3D Conductive Carbon Aerogels for High-Performance Supercapacitors. J. Alloys Compd. 2022, 920, 165868. [Google Scholar] [CrossRef]
  38. Bao, L.Q.; Nguyen, T.H.; Fei, H.J.; Münster, L.; Bergerová, E.D.; Jiang, H. Electrochemical Performance of Composites Made of rGO with Zn-MOF and PANI as Electrodes for Supercapacitors. Electrochim. Acta 2021, 367, 137563. [Google Scholar]
  39. Srinivasan, R.; Elaiyappillai, E.; Nixon, E.J.; Lydia, I.S.; Johnson, P.M. Enhanced Electrochemical Behaviour of Co-MOF/PANI Composite Electrode for Supercapacitors. Inorg. Chim. Acta 2020, 502, 119393. [Google Scholar] [CrossRef]
  40. Le, Q.B.; Nguyen, T.H.; Fei, H.; Bubulinca, C.; Munster, L.; Bugarova, N. Electrochemical Performance of Composite Electrodes Based on rGO, Mn/Cu Metal–Organic Frameworks, and PANI. Sci. Rep. 2022, 12, 18965. [Google Scholar] [CrossRef] [PubMed]
Figure 1. Schematic illustration of the fabrication of CNFs/ZIF-8/PANI gel composite membrane.
Figure 1. Schematic illustration of the fabrication of CNFs/ZIF-8/PANI gel composite membrane.
Gels 12 00134 g001
Figure 2. (a) The FT-IR spectra of CNFs, ZIF-8, and a series of CNFs/ZIF-8. (b) The FT-IR spectra of CNFs, ZIF-8, PANI, and (2:5) CNFs/ZIF-8/PANI gel composite membrane.
Figure 2. (a) The FT-IR spectra of CNFs, ZIF-8, and a series of CNFs/ZIF-8. (b) The FT-IR spectra of CNFs, ZIF-8, PANI, and (2:5) CNFs/ZIF-8/PANI gel composite membrane.
Gels 12 00134 g002
Figure 3. (a) PXRD patterns of CNFs, PANI, ZIF-8, and (2:5) CNFs/ZIF-8/PANI. (b) PXRD patterns of CNFs, ZIF-8, and a series of CNFs/ZIF-8. “♥” denotes the positions of the diffraction peaks for PANI.
Figure 3. (a) PXRD patterns of CNFs, PANI, ZIF-8, and (2:5) CNFs/ZIF-8/PANI. (b) PXRD patterns of CNFs, ZIF-8, and a series of CNFs/ZIF-8. “♥” denotes the positions of the diffraction peaks for PANI.
Gels 12 00134 g003
Figure 4. The XPS spectra of ZIF-8, (2:5) CNFs/ZIF-8/PANI, and CNFs-ZIF-8-PANI (a) survey scan. (b) Zn 2p. (c) XPS N1s spectra of (2:5) CNFs/ZIF-8/PANI. (d) XPS O1s spectra of (2:5) CNFs/ZIF-8/PANI.
Figure 4. The XPS spectra of ZIF-8, (2:5) CNFs/ZIF-8/PANI, and CNFs-ZIF-8-PANI (a) survey scan. (b) Zn 2p. (c) XPS N1s spectra of (2:5) CNFs/ZIF-8/PANI. (d) XPS O1s spectra of (2:5) CNFs/ZIF-8/PANI.
Gels 12 00134 g004
Figure 5. (a) The SEM image of CNFs/ZIF-8. (b) The SEM image of etching of CNFs/ZIF-8, using an etchant solution at pH 2.5. (c) The SEM image of (2:5) CNFs/ZIF-8/PANI. (d) The SEM image of CNFs-ZIF-8-PANI.
Figure 5. (a) The SEM image of CNFs/ZIF-8. (b) The SEM image of etching of CNFs/ZIF-8, using an etchant solution at pH 2.5. (c) The SEM image of (2:5) CNFs/ZIF-8/PANI. (d) The SEM image of CNFs-ZIF-8-PANI.
Gels 12 00134 g005
Figure 6. Electrochemical performance of the CNFs/ZIF-8/PANI composite membrane electrode with different proportions of CNF and ZIF-8. (a) CV curve at scan rate of 5 mV/s. (b) GCD curves at current density of 0.5 A/g. (c) Gravimetric capacitance of the CNFs/ZIF-8/PANI gel composite membrane electrode at different current densities. (d) Nyquist plots.
Figure 6. Electrochemical performance of the CNFs/ZIF-8/PANI composite membrane electrode with different proportions of CNF and ZIF-8. (a) CV curve at scan rate of 5 mV/s. (b) GCD curves at current density of 0.5 A/g. (c) Gravimetric capacitance of the CNFs/ZIF-8/PANI gel composite membrane electrode at different current densities. (d) Nyquist plots.
Gels 12 00134 g006
Figure 7. Electrochemical performance of different gel composite membrane electrodes. (a) CV curve at scan rate of 20 mV/s. (b) GCD curves at current density of 0.5 A/g. (c) Gravimetric capacitance at current density of 1 A/g.
Figure 7. Electrochemical performance of different gel composite membrane electrodes. (a) CV curve at scan rate of 20 mV/s. (b) GCD curves at current density of 0.5 A/g. (c) Gravimetric capacitance at current density of 1 A/g.
Gels 12 00134 g007
Figure 8. Electrochemical performance of the (2:5) CNFs/ZIF-8/PANI gel composite membrane electrode. (a) CV curve at different scan rates. (b) GCD curves at different current densities. (c) Specific capacitance at different current densities. (d) Cycle performance at a current density of 10 A/g.
Figure 8. Electrochemical performance of the (2:5) CNFs/ZIF-8/PANI gel composite membrane electrode. (a) CV curve at different scan rates. (b) GCD curves at different current densities. (c) Specific capacitance at different current densities. (d) Cycle performance at a current density of 10 A/g.
Gels 12 00134 g008
Figure 9. The electrochemical performances of the (2:5) CNFs/ZIF-8/PANI all-solid-state symmetrical SC. (a) CV curves at different scan rates. (b) GCD curves at different current densities. (c) Nyquist plots. (d) Cycle performance at a current density of 10 A/g.
Figure 9. The electrochemical performances of the (2:5) CNFs/ZIF-8/PANI all-solid-state symmetrical SC. (a) CV curves at different scan rates. (b) GCD curves at different current densities. (c) Nyquist plots. (d) Cycle performance at a current density of 10 A/g.
Gels 12 00134 g009
Figure 10. (a) Specific capacitance of supercapacitor at current density of 0.5–5 A/g. (b) CV curve at scan rate of 10 mV/s under different folding angles. (c) Ragone plots of supercapacitor at current density of 0.5–5 A/g. (d) Photograph of timer by the devices.
Figure 10. (a) Specific capacitance of supercapacitor at current density of 0.5–5 A/g. (b) CV curve at scan rate of 10 mV/s under different folding angles. (c) Ragone plots of supercapacitor at current density of 0.5–5 A/g. (d) Photograph of timer by the devices.
Gels 12 00134 g010
Table 1. Surface elemental percentage of ZIF-8, (2:5) CNFs/ZIF-8/PANI, CNFs-ZIF-8-PANI.
Table 1. Surface elemental percentage of ZIF-8, (2:5) CNFs/ZIF-8/PANI, CNFs-ZIF-8-PANI.
SamplesElement Content (at%)
CONZn
ZIF-865.53 17.546.53
(2:5) CNFs/ZIF-8/PANI63.5633.361.681.4
CNFs-ZIF-8-PANI60.0919.6314.395.88
Table 2. Specific capacitance comparison of various flexible electrode materials.
Table 2. Specific capacitance comparison of various flexible electrode materials.
Electrode MaterialElectrolyteSpecific Capacitance for ElectrodeSpecific Capacitance for SupercapacitorReference
CNF/PANI1 M H2SO459.26 mF/cm2201.91 F/g (1 A/g)[31]
CNF/CCS/PANI1 M H2SO4220 F/g (0.1 A/g)-[30]
CNFs/GNP/PANI1 M H2SO4421.5 F/g (1 A/g)101.7 F/g (1 A/g)[32]
CNFs/MWCNTs/PANI1 M H2SO4791.13 F/g (0.2 A/g)-[33]
CNF/CNT/LDH1 M KOH1979 mF/cm2168 mF/cm2[34]
CNF/GNS/PANI1 M KOH446.23 F/g (1 A/g)-[35]
Cellulose /rGO/Ag/Fe2O32 M KOH2044 mF/cm21132 mF/cm2[36]
CNF/rGO/Zn/CO-ZIF-672 M KOH364.6 F/g (1 A/g)121.4 F/g (0.5 A/g)[37]
Zn-MOF/rGO/PANI1 M H2SO4372 F/g (0.1 A/g)-[38]
Co-MOF/PANI1 M KOH504 F/g (1 A/g)-[39]
Cu-MOF/rGO/PANI1 M H2SO4253.35 F/g (0.5 A/g)-[40]
CNFs/ZIF-8/PANI1 M H2SO41440 (1 A/g)220.9 (0.5 A/g)This work
Table 3. The parameters of CNFs/ZIF-8/PANI gel composite membrane preparation.
Table 3. The parameters of CNFs/ZIF-8/PANI gel composite membrane preparation.
Samples[CNFs]/[ZIF-8]
Mass Ratio (%)
[APS]/[ANI]
Molar Ratio
CNFs/PANI/1
(2:1) CNFs/ZIF-8/PANI2:11
(2:5) CNFs/ZIF-8/PANI2:51
(2:7) CNFs/ZIF-8/PANI2:71
(2:9) CNFs/ZIF-8/PANI2:91
CNFs-ZIF-8-PANI2:11
Disclaimer/Publisher’s Note: The statements, opinions and data contained in all publications are solely those of the individual author(s) and contributor(s) and not of MDPI and/or the editor(s). MDPI and/or the editor(s) disclaim responsibility for any injury to people or property resulting from any ideas, methods, instructions or products referred to in the content.

Share and Cite

MDPI and ACS Style

Li, S.-S.; Wu, P.-J.; Ming, Z.-Y.; Liu, C.-H.; Wang, W.-C.; Chen, Z.-D. A De Novo Sacrificial-MOF Strategy for Fabricating Cellulose Nanofibers/ZIF-8/PANI Gel Composite Membranes for High-Performance Flexible Supercapacitors. Gels 2026, 12, 134. https://doi.org/10.3390/gels12020134

AMA Style

Li S-S, Wu P-J, Ming Z-Y, Liu C-H, Wang W-C, Chen Z-D. A De Novo Sacrificial-MOF Strategy for Fabricating Cellulose Nanofibers/ZIF-8/PANI Gel Composite Membranes for High-Performance Flexible Supercapacitors. Gels. 2026; 12(2):134. https://doi.org/10.3390/gels12020134

Chicago/Turabian Style

Li, Shan-Shan, Peng-Jiu Wu, Zhi-Yao Ming, Chang-Hai Liu, Wen-Chang Wang, and Zhi-Dong Chen. 2026. "A De Novo Sacrificial-MOF Strategy for Fabricating Cellulose Nanofibers/ZIF-8/PANI Gel Composite Membranes for High-Performance Flexible Supercapacitors" Gels 12, no. 2: 134. https://doi.org/10.3390/gels12020134

APA Style

Li, S.-S., Wu, P.-J., Ming, Z.-Y., Liu, C.-H., Wang, W.-C., & Chen, Z.-D. (2026). A De Novo Sacrificial-MOF Strategy for Fabricating Cellulose Nanofibers/ZIF-8/PANI Gel Composite Membranes for High-Performance Flexible Supercapacitors. Gels, 12(2), 134. https://doi.org/10.3390/gels12020134

Note that from the first issue of 2016, this journal uses article numbers instead of page numbers. See further details here.

Article Metrics

Back to TopTop