Using Fish Skin Gelatin Hydrolysate as Stabilizer and/or Emulsifier Agent in Ice Cream Production and Melting, Textural, Rheological, and Sensory Characteristics
Abstract
1. Introduction
2. Results and Discussion
2.1. Physicochemical and Color Properties
2.2. Overrun Levels
2.3. Textural Characteristics of Ice Cream Samples
2.4. Melting Characteristics of Samples
2.5. Flow Behavior and Rheological Properties
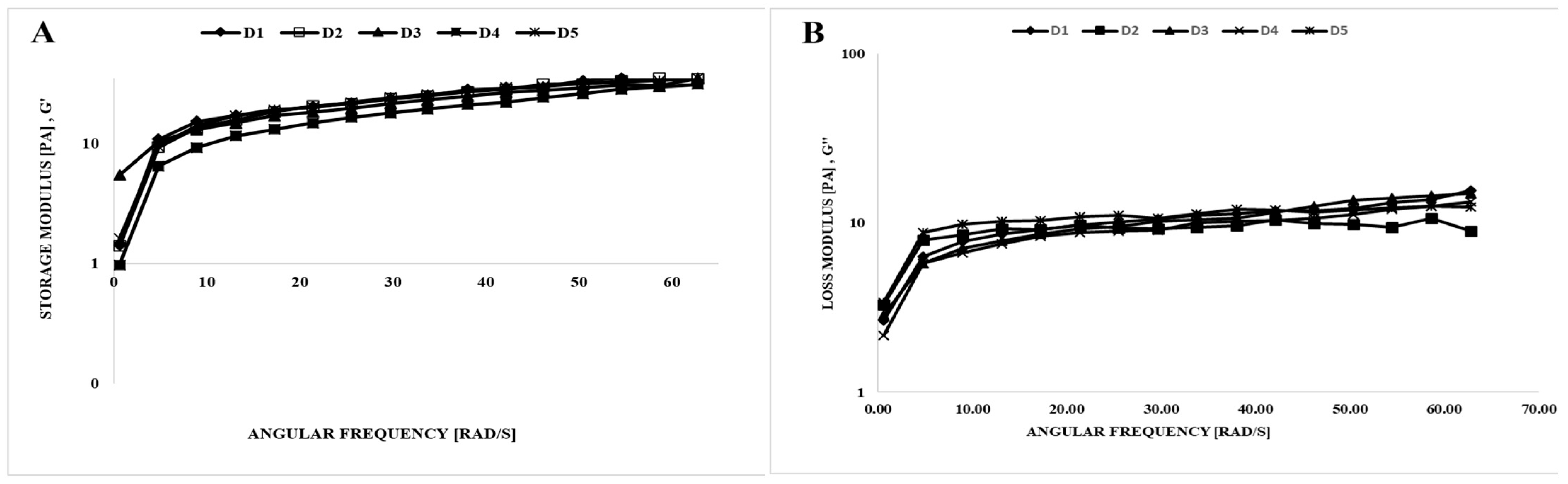
2.5.1. Dynamic Rheological Properties
2.5.2. Three Interval Thixotropy Test (3-ITT)
2.6. Sensory Properties
3. Conclusions
4. Materials and Methods
4.1. Preparation of Gelatin Hydrolysate
4.2. Production of Ice Cream Samples
4.3. Physicochemical Properties
4.4. Color Properties
4.5. Determination of Overrun Levels of Samples
4.6. Textural Properties
4.7. Melting Properties
4.8. Rheological Measurements
4.9. Consumer Acceptance of the Ice Creams
4.10. Statistical Analyses
Author Contributions
Funding
Data Availability Statement
Acknowledgments
Conflicts of Interest
Abbreviations
| FDT | First dripping time |
| MR | Melting rate |
| TA | Titratable acidity |
| TDM | Total dry matter |
References
- Idowu, A.T.; Igiehon, O.O.; Idowu, S.; Olatunde, O.O.; Benjakul, S. Bioactivity potentials and general applications of fish protein hydrolysates. Int. J. Pept. Res. Ther. 2021, 27, 109–118. [Google Scholar] [CrossRef]
- Abuine, R.; Rathnayake, A.U.; Byun, H.-G. Biological activity of peptides purified from fish skin hydrolysates. Fish. Aquat. Sci. 2019, 22, 10. [Google Scholar] [CrossRef]
- Sila, A.; Bougatef, A. Antioxidant peptides from marine by-products: Isolation, identification and application in food systems. A review. J. Funct. Foods 2016, 21, 10–26. [Google Scholar] [CrossRef]
- Jemil, I.; Jridi, M.; Nasri, R.; Ktari, N.; Salem, R.B.S.-B.; Mehiri, M.; Hajji, M.; Nasri, M. Functional, antioxidant and antibacterial properties of protein hydrolysates prepared from fish meat fermented by Bacillus subtilis A26. Process Biochem. 2014, 49, 963–972. [Google Scholar] [CrossRef]
- Atik, I.; Tekin Cakmak, Z.H.; Avcı, E.; Karasu, S. The effect of cold press chia seed oil by-products on the rheological, microstructural, thermal, and sensory properties of low-fat ice cream. Foods 2021, 10, 2302. [Google Scholar] [CrossRef] [PubMed]
- Durmaz, Y.; Kilicli, M.; Toker, O.S.; Konar, N.; Palabiyik, I.; Tamtürk, F. Using spray-dried microalgae in ice cream formulation as a natural colorant: Effect on physicochemical and functional properties. Algal Res. 2020, 47, 101811. [Google Scholar] [CrossRef]
- Goktas, H.; Dikmen, H.; Bekiroglu, H.; Cebi, N.; Dertli, E.; Sagdic, O. Characteristics of functional ice cream produced with probiotic Saccharomyces boulardii in combination with Lactobacillus rhamnosus GG. LWT-Food Sci. Technol. 2022, 153, 112489. [Google Scholar] [CrossRef]
- Güven, M.; Karaca, O.B.; Yaşar, K. Düşük yağ oranlı Kahramanmaraş tipi dondurma üretiminde farklı emülgatörlerin kullanımının dondurmaların özellikleri üzerine etkileri. Gıda 2010, 35, 97–104. [Google Scholar]
- Bahramparvar, M.; Mazaheri Tehrani, M. Application and functions of stabilizers in ice cream. Food Rev. Int. 2011, 27, 389–407. [Google Scholar] [CrossRef]
- Minervini, F.; Comitini, F.; De Boni, A.; Fiorino, G.M.; Rodrigues, F.; Tlais, A.Z.A.; Carafa, I.; De Angelis, M. Sustainable and Health-Protecting Food Ingredients from Bioprocessed Food by-Products and Wastes. Sustainability 2022, 14, 15283. [Google Scholar] [CrossRef]
- Chen, W.; Liang, G.; Li, X.; He, Z.; Zeng, M.; Gao, D.; Qin, F.; Goff, H.D.; Chen, J. Effects of soy proteins and hydrolysates on fat globule coalescence and meltdown properties of ice cream. Food Hydrocoll. 2019, 94, 279–286. [Google Scholar] [CrossRef]
- Liu, R.; Wang, L.; Liu, Y.; Wu, T.; Zhang, M. Fabricating soy protein hydrolysate/xanthan gum as fat replacer in ice cream by combined enzymatic and heat-shearing treatment. Food Hydrocoll. 2018, 81, 39–47. [Google Scholar] [CrossRef]
- Yan, L.; Yu, D.; Liu, R.; Jia, Y.; Zhang, M.; Wu, T.; Sui, W. Microstructure and meltdown properties of low-fat ice cream: Effects of microparticulated soy protein hydrolysate/xanthan gum (MSPH/XG) ratio and freezing time. J. Food Eng. 2021, 291, 110291. [Google Scholar] [CrossRef]
- López-Martínez, M.I.; Moreno-Fernández, S.; Miguel, M. Development of functional ice cream with egg white hydrolysates. Int. J. Gastron. Food Sci. 2021, 25, 100334. [Google Scholar] [CrossRef]
- Tekle, S.; Ozulku, G.; Bekiroglu, H.; Sagdic, O. Effects of fish skin gelatin hydrolysates treated with alcalase and savinase on frozen dough and bread quality. Foods 2023, 13, 139. [Google Scholar] [CrossRef]
- Muse, M.; Hartel, R.W. Ice cream structural elements that affect melting rate and hardness. J. Dairy Sci. 2004, 87, 1–10. [Google Scholar] [CrossRef]
- Nie, Y.; Wang, L.; Jiang, J. Fat crystallization and physical characteristics of mung bean protein-based frozen whipped emulsions: Effect of lipophilic surfactants and quinoa hydrolysate. Food Hydrocoll. 2024, 146, 109297. [Google Scholar] [CrossRef]
- Kot, A.; Jakubczyk, E.; Kamińska-Dwórznicka, A. The effectiveness of combination stabilizers and ultrasound homogenization in milk ice cream production. Appl. Sci. 2023, 13, 7561. [Google Scholar] [CrossRef]
- Wu, B.; Freire, D.O.; Hartel, R.W. The effect of overrun, fat destabilization, and ice cream mix viscosity on entire meltdown behavior. J. Food Sci. 2019, 84, 2562–2571. [Google Scholar] [CrossRef] [PubMed]
- Rout, P.; Saha, S. Rheology of ice cream: From fundamentals to applications. Innov. Agric. 2023, 6, e32854. [Google Scholar] [CrossRef]
- Wu, B.; Sözeri Atik, D.; Freire, D.O.; Hartel, R.W. The Science of Ice Cream Meltdown and Structural Collapse: A Comprehensive Review. Compr. Rev. Food Sci. Food Saf. 2025, 24, e70226. [Google Scholar] [CrossRef] [PubMed]
- Sharma, M.; Singh, A.K.; Yadav, D.N. Rheological properties of reduced fat ice cream mix containing octenyl succinylated pearl millet starch. J. Food Sci. Technol. 2017, 54, 1638–1645. [Google Scholar] [CrossRef]
- Norton, I.T.; Spyropoulos, F.; Cox, P. Practical Food Rheology: An Interpretive Approach, 1st ed.; John Wiley & Sons: London, UK, 2010. [Google Scholar]
- Vega, C.; Goff, H. Phase separation in soft-serve ice cream mixes: Rheology and microstructure. Int. Dairy J. 2005, 15, 249–254. [Google Scholar] [CrossRef]
- Zhang, H.; Chen, J.; Li, J.; Wei, C.; Ye, X.; Shi, J.; Chen, S. Pectin from citrus canning wastewater as potential fat replacer in ice cream. Molecules 2018, 23, 925. [Google Scholar] [CrossRef]
- Kurt, A.; Kahyaoglu, T. Rheological properties and structural characterization of salep improved by ethanol treatment. Carbohydr. Polym. 2015, 133, 654–661. [Google Scholar] [CrossRef] [PubMed]
- Aziz, N.S.; Sofian-Seng, N.-S.; Yusop, S.M.; Kasim, K.F.; Razali, N.S.M. Functionality of okra gum as a novel carbohydrate-based fat replacer in ice cream. Food Sci. Technol. Res. 2018, 24, 519–530. [Google Scholar] [CrossRef]
- Tekin-Cakmak, Z.H.; Atik, I.; Karasu, S. The potential use of cold-pressed pumpkin seed oil by-products in a low-fat salad dressing: The effect on rheological, microstructural, recoverable properties, and emulsion and oxidative stability. Foods 2021, 10, 2759. [Google Scholar] [CrossRef]
- Toker, O.S.; Karaman, S.; Yuksel, F.; Dogan, M.; Kayacier, A.; Yilmaz, M.T. Temperature dependency of steady, dynamic, and creep-recovery rheological properties of ice cream mix. Food Bioprocess Technol. 2013, 6, 2974–2985. [Google Scholar] [CrossRef]
- Kasapoglu, M.Z.; Sagdic, O.; Avci, E.; Tekin-Cakmak, Z.H.; Karasu, S.; Turker, R.S. The potential use of cold-pressed coconut oil by-product as an alternative source in the production of plant-based drink and plant-based low-fat ice cream: The rheological, thermal, and sensory properties of plant-based ice cream. Foods 2023, 12, 650. [Google Scholar] [CrossRef] [PubMed]
- Chuaychan, S.; Benjakul, S.; Sae-Leaw, T. Gelatin hydrolysate powder from the scales of spotted golden goatfish: Effect of drying conditions and juice fortification. Dry. Technol. 2017, 35, 1195–1203. [Google Scholar] [CrossRef]
- Kanwate, B.W.; Karkal, S.S.; Kudre, T.G. Impact of antioxidant potential of rohu (Labeo rohita) swim bladder gelatin hydrolysate on oxidative stability, textural and sensory properties of fish sausage enriched with polyunsaturated fatty acids. J. Food Sci. Technol. 2024, 61, 1083–1093. [Google Scholar] [CrossRef] [PubMed]
- Gheshlaghi, S.P.; Khaledabad, M.A.; Nikoo, M.; Regenstein, J.M.; Gavlighi, H.A. Impact of sturgeon gelatin hydrolysates (SGH) on physicochemical and microbiological properties of fat-free set-type yogurt. LWT-Food Sci. Technol. 2021, 148, 111665. [Google Scholar] [CrossRef]
- Tekle, S.; Bozkurt, F.; Akman, P.K.; Sagdic, O. Bioactive and Functional properties of gelatin peptide fractions obtained from sea bass (Dicentrarchus labrax) skin. Food Sci. Technol. 2022, 42, e60221. [Google Scholar] [CrossRef]
- Williams, S. Official Methods of Analysis of the Association of Official Analytical Chemists; Association of Official Analytical Chemists: Arlington, VA, USA, 1984. [Google Scholar]
- Goktas, H. Enrichment of antioxidant activity of ice cream samples with addition of rowanberry (Sorbus aucuparia L.) pulp and production of functional probiotic ice cream with using L. rhamnosus. Int. J. Food Sci. Technol. 2023, 58, 5962–5971. [Google Scholar] [CrossRef]
- Soukoulis, C.; Lyroni, E.; Tzia, C. Sensory profiling and hedonic judgement of probiotic ice cream as a function of hydrocolloids, yogurt and milk fat content. LWT-Food Sci. Technol. 2010, 43, 1351–1358. [Google Scholar] [CrossRef]
- Ürkek, B. Effect of using chia seed powder on physicochemical, rheological, thermal, and texture properties of ice cream. J. Food Process. Preserv. 2021, 45, e15418. [Google Scholar] [CrossRef]





| Physicochemical Properties | Overrun (%) | Color Properties | ||||||
|---|---|---|---|---|---|---|---|---|
| pH | TA (%) | TDM (g/100 g) | Protein (g/100 g) | L* | a* | b* | ||
| D1 | 6.45 ± 0.00 a | 2.69 ± 0.09 a | 30.04 ± 0.06 a | 3.13 ± 0.07 b | 11.44 ± 1.79 cd | 87.41 ± 3.56 a | −0.89 ± 0.16 ab | 10.43 ± 0.96 ab |
| D2 | 6.46 ± 0.00 a | 2.73 ± 0.14 a | 30.04 ± 1.39 a | 3.75 ± 0.13 a | 9.55 ± 1.21 d | 86.67 ± 1.12 a | −1.82 ± 0.33 d | 9.20 ± 1.55 b |
| D3 | 6.48 ± 0.01 a | 2.75 ± 0.28 a | 30.01 ± 1.39 a | 3.32 ± 0.11 b | 21.74 ± 1.39 a | 89.67 ± 0.55 a | −0.63 ± 0.09 a | 10.89 ± 0.91 a |
| D4 | 6.48 ± 0.02 a | 2.80 ± 0.05 a | 29.97 ± 0.37 a | 3.99 ± 0.04 a | 15.79 ± 1.29 bc | 87.46 ± 2.29 a | −1.47 ± 0.19 cd | 10.08 ± 0.61 ab |
| D5 | 6.46 ± 0.00 a | 2.83 ± 0.18 a | 29.84 ± 0.25 a | 3.38 ± 0.03 b | 19.16 ± 1.60 ab | 88.51 ± 3.27 a | −1.11 ± 0.13 bc | 9.92 ± 0.58 ab |
| Steady Shear Properties | Textural Properties | Melting Properties | |||||
|---|---|---|---|---|---|---|---|
| K (Pa.s) | n | R2 | Hardness (g) | Adhesiveness (g) | FDT (min) | MR (g/min) | |
| D1 | 1.012 ± 0.012 a | 0.558 ± 0.004 c | 1.000 ± 0.000 | 1511.59 ± 302.78 bc | −357.66 ± 62.69 bc | 3.74 ± 0.56 b | 0.62 ± 0.05 a |
| D2 | 0.249 ± 0.033 b | 0.356 ± 0.019 d | 0.989 ± 0.016 | 1703.51 ± 267.03 b | −403.61 ± 84.36 c | 5.23 ± 0.18 ab | 0.52 ± 0.01 ab |
| D3 | 0.997 ± 0.064 a | 0.550 ± 0.009 c | 1.000 ± 0.000 | 1597.32 ± 653.19 bc | −248.85 ± 25.31 b | 5.21 ± 0.09 ab | 0.57 ± 0.00 ab |
| D4 | 0.009 ± 0.003 c | 0.863 ± 0.026 a | 0.996 ± 0.003 | 803.19 ± 141.76 c | −92.05 ± 41.45 a | 6.67 ± 0.63 a | 0.53 ± 0.01 ab |
| D5 | 0.190 ± 0.047 b | 0.664 ± 0.052 b | 1.000 ± 0.000 | 2826.95 ± 451.29 a | −606.35 ± 98.93 d | 5.52 ± 0.07 a | 0.49 ± 0.04 b |
| K′ | n′ | R2 | K″ | n″ | R2 | |
|---|---|---|---|---|---|---|
| D1 | 4.457 ± 0.169 a | 0.519 ± 0.008 c | 0.996 ± 0.004 | 3.481 ± 0.020 b | 0.272 ± 0.086 a | 0.975 ± 0.009 |
| D2 | 2.124 ± 0.566 c | 0.601 ± 0.018 b | 0.997 ± 0.001 | 1.774 ± 0.133 d | 0.126 ± 0.024 a | 0.981 ± 0.012 |
| D3 | 4.471 ± 0.284 a | 0.492 ± 0.005 cd | 0.994 ± 0.004 | 3.963 ± 1.623 a | 0.278 ± 0.161 a | 0.941 ± 0.064 |
| D4 | 1.668 ± 0.431 c | 0.667 ± 0.011 a | 0.995 ± 0.003 | 1.607 ± 0.025 d | 0.243 ± 0.136 a | 0.896 ± 0.130 |
| D5 | 3.783 ± 1.043 b | 0.463 ± 0.043 d | 0.974 ± 0.032 | 2.573 ± 0.422 c | 0.271 ± 0.118 a | 0.947 ± 0.001 |
| G0 | Ge | k | Ge/G0 | K × 1000 | R2 | |
|---|---|---|---|---|---|---|
| D1 | 1.437 ± 0.041 b | 6.673 ± 0.412 b | 0.022 ± 0.002 a | 4.639 ± 0.156 a | 22.197 ± 0.226 a | 0.999 ± 0.000 |
| D2 | 2.997 ± 0.041 b | 8.624 ± 0.251 b | 0.005 ± 0.000 bc | 2.877 ± 0.044 b | 4.934 ± 0.154 d | 1.000 ± 0.000 |
| D3 | 2.077 ± 0.121 b | 8.658 ± 0.136 b | 0.022 ± 0.005 a | 4.179 ± 0.177 a | 21.523 ± 0.247 ab | 0.996 ± 0.002 |
| D4 | 6.748 ± 0.132 a | 13.832 ± 0.104 a | 0.002 ± 0.000 bc | 2.050 ± 0.025 c | 1.912 ± 0.289 e | 0.997 ± 0.001 |
| D5 | 6.399 ± 0.206 a | 14.018 ± 0.708 a | 0.008 ± 0.001 b | 2.189 ± 0.040 c | 7.682 ± 0.623 c | 0.982 ± 0.017 |
Disclaimer/Publisher’s Note: The statements, opinions and data contained in all publications are solely those of the individual author(s) and contributor(s) and not of MDPI and/or the editor(s). MDPI and/or the editor(s) disclaim responsibility for any injury to people or property resulting from any ideas, methods, instructions or products referred to in the content. |
© 2025 by the authors. Licensee MDPI, Basel, Switzerland. This article is an open access article distributed under the terms and conditions of the Creative Commons Attribution (CC BY) license (https://creativecommons.org/licenses/by/4.0/).
Share and Cite
Tekle, S.; Goktas, H.; Agan, C.; Develioglu-Arslan, A.; Tekin-Cakmak, Z.H. Using Fish Skin Gelatin Hydrolysate as Stabilizer and/or Emulsifier Agent in Ice Cream Production and Melting, Textural, Rheological, and Sensory Characteristics. Gels 2025, 11, 643. https://doi.org/10.3390/gels11080643
Tekle S, Goktas H, Agan C, Develioglu-Arslan A, Tekin-Cakmak ZH. Using Fish Skin Gelatin Hydrolysate as Stabilizer and/or Emulsifier Agent in Ice Cream Production and Melting, Textural, Rheological, and Sensory Characteristics. Gels. 2025; 11(8):643. https://doi.org/10.3390/gels11080643
Chicago/Turabian StyleTekle, Sefik, Hamza Goktas, Cansu Agan, Aysen Develioglu-Arslan, and Zeynep Hazal Tekin-Cakmak. 2025. "Using Fish Skin Gelatin Hydrolysate as Stabilizer and/or Emulsifier Agent in Ice Cream Production and Melting, Textural, Rheological, and Sensory Characteristics" Gels 11, no. 8: 643. https://doi.org/10.3390/gels11080643
APA StyleTekle, S., Goktas, H., Agan, C., Develioglu-Arslan, A., & Tekin-Cakmak, Z. H. (2025). Using Fish Skin Gelatin Hydrolysate as Stabilizer and/or Emulsifier Agent in Ice Cream Production and Melting, Textural, Rheological, and Sensory Characteristics. Gels, 11(8), 643. https://doi.org/10.3390/gels11080643

