The Diketopyrrolopyrrole (DPP) Core as a Gel-Forming Material: Current Status and Untapped Potential
Abstract
1. Introduction
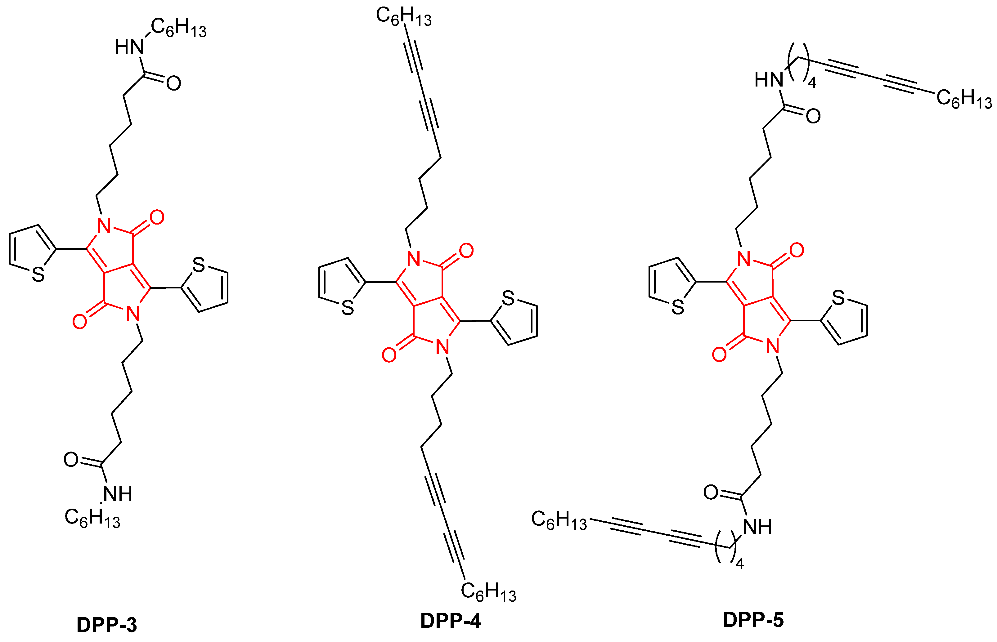
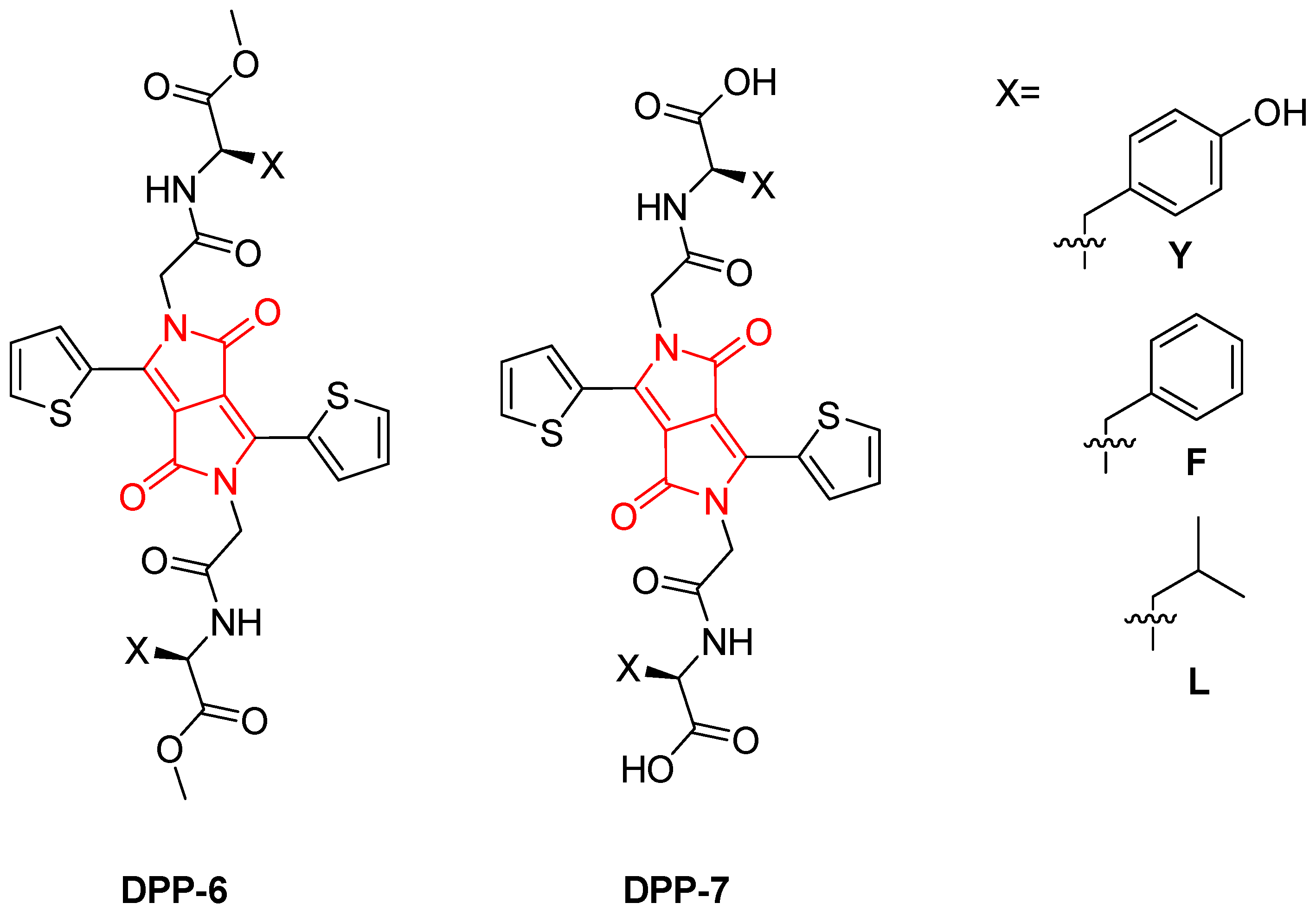
2. Results and Discussion
3. Future Perspectives
4. Conclusions
Author Contributions
Funding
Institutional Review Board Statement
Informed Consent Statement
Data Availability Statement
Conflicts of Interest
References
- Almdal, K.; Dyre, J.; Hvidt, S.; Kramer, O. Towards a phenomenological definition of the term ‘gel’. Polym. Gels Netw. 1993, 1, 5–17. [Google Scholar] [CrossRef]
- Qing, G.; Shan, X.; Chen, W.; Lv, Z.; Xiong, P.; Sun, T. Solvent-driven Chiral-interaction Reversion for Organogel Formation. Angew. Chem. Int. Ed. Engl. 2014, 53, 2124–2129. [Google Scholar] [CrossRef] [PubMed]
- Esposito, C.L.; Kirilov, P.; Roullin, V.G. Organogels, Promising Drug Delivery Systems: An Update of State-of-the-Art and Recent Applications. J. Control. Release 2018, 271, 1–20. [Google Scholar] [CrossRef]
- Sheng, F.; Zhang, B.; Zhang, Y.; Li, Y.; Cheng, R.; Wei, C.; Ning, C.; Dong, K.; Wang, Z.L. Ultrastretchable Organogel/Silicone Fiber-Helical Sensors for Self-Powered Implantable Ligament Strain Monitoring. ACS Nano 2022, 16, 10958–10967. [Google Scholar] [CrossRef]
- Chen, X.; Zhou, Y.; Shan, J.; Guo, C.; Wang, Y. Selective Colorimetric and Fluorometric Organogel Sensors for the Detection of F− and ClO− Based on Chiral Glutamic and Phenothiazine Derivatives. Colloid. Polym. Sci. 2023, 301, 107–115. [Google Scholar] [CrossRef]
- Ge, J.; Dai, S.; Dong, X.; Li, M.; Xu, Y.; Jiang, Y.; Yuan, N.; Ding, J. A Wide-Temperature-Range Sensor Based on Wide-Strain-Range Self-Healing and Adhesive Organogels. New J. Chem. 2022, 46, 4334–4342. [Google Scholar] [CrossRef]
- Koo, J.; Lim, S.-I.; Jang, J.; Oh, M.; Jeong, K.-U. From Polymer Gels to 3D Actuators: Transformation of Programmed 2D Structures to 3D Objects. J. Chem. Educ. 2020, 97, 1396–1401. [Google Scholar] [CrossRef]
- Li, Y.; Guo, M.; Li, Y. Recent Advances in Plasticized PVC Gels for Soft Actuators and Devices: A Review. J. Mater. Chem. C Mater. Opt. Electron. Devices 2019, 7, 12991–13009. [Google Scholar] [CrossRef]
- Hwang, T.; Frank, Z.; Neubauer, J.; Kim, K.J. High-Performance Polyvinyl Chloride Gel Artificial Muscle Actuator with Graphene Oxide and Plasticizer. Sci. Rep. 2019, 9, 9658. [Google Scholar] [CrossRef]
- Xu, F.; Dawson, C.; Lamb, M.; Mueller, E.; Stefanek, E.; Akbari, M.; Hoare, T. Hydrogels for Tissue Engineering: Addressing Key Design Needs toward Clinical Translation. Front. Bioeng. Biotechnol. 2022, 10, 849831. [Google Scholar] [CrossRef]
- Chaudhary, S.; Chakraborty, E. Hydrogel Based Tissue Engineering and Its Future Applications in Personalized Disease Modeling and Regenerative Therapy. Beni-Suef Univ. J. Basic Appl. Sci. 2022, 11, 3. [Google Scholar] [CrossRef] [PubMed]
- Omidian, H.; Wilson, R.L. Long-Acting Gel Formulations: Advancing Drug Delivery across Diverse Therapeutic Areas. Pharmaceuticals 2024, 17, 493. [Google Scholar] [CrossRef] [PubMed]
- Mashabela, L.T.; Maboa, M.M.; Miya, N.F.; Ajayi, T.O.; Chasara, R.S.; Milne, M.; Mokhele, S.; Demana, P.H.; Witika, B.A.; Siwe-Noundou, X.; et al. A Comprehensive Review of Cross-Linked Gels as Vehicles for Drug Delivery to Treat Central Nervous System Disorders. Gels 2022, 8, 563. [Google Scholar] [CrossRef] [PubMed]
- Sastri, T.K.; Gupta, V.N.; Chakraborty, S.; Madhusudhan, S.; Kumar, H.; Chand, P.; Jain, V.; Veeranna, B.; Gowda, D.V. Novel Gels: An Emerging Approach for Delivering of Therapeutic Molecules and Recent Trends. Gels 2022, 8, 316. [Google Scholar] [CrossRef]
- Foster, J.A.; Damodaran, K.K.; Maurin, A.; Day, G.M.; Thompson, H.P.G.; Cameron, G.J.; Bernal, J.C.; Steed, J.W. Pharmaceutical Polymorph Control in a Drug-Mimetic Supramolecular Gel. Chem. Sci. 2017, 8, 78–84. [Google Scholar] [CrossRef]
- Aparicio, F.; Matesanz, E.; Sánchez, L. Cooperative Self-Assembly of Linear Organogelators. Amplification of Chirality and Crystal Growth of Pharmaceutical Ingredients. Chem. Commun. 2012, 48, 5757. [Google Scholar] [CrossRef]
- Torres-Moya, I.; Sánchez, A.; Saikia, B.; Yufit, D.S.; Prieto, P.; Carrillo, J.R.; Steed, J.W. Highly Thermally Resistant Bisamide Gelators as Pharmaceutical Crystallization Media. Gels 2022, 9, 26. [Google Scholar] [CrossRef]
- Kaliaraj, G.; Shanmugam, D.; Dasan, A.; Mosas, K. Hydrogels—A Promising Materials for 3D Printing Technology. Gels 2023, 9, 260. [Google Scholar] [CrossRef]
- Zhang, X.N.; Zheng, Q.; Wu, Z.L. Recent Advances in 3D Printing of Tough Hydrogels: A Review. Compos. B Eng. 2022, 238, 109895. [Google Scholar] [CrossRef]
- Silva, P.M.; Martins, A.J.; Fasolin, L.H.; Vicente, A.A. Modulation and Characterization of Wax-Based Olive Oil Organogels in View of Their Application in the Food Industry. Gels 2021, 7, 12. [Google Scholar] [CrossRef]
- Marangoni, A.G.; Garti, N. An Overview of the Past, Present, and Future of Organogels. In Edible Oleogels; Marangoni, A.G., Garti, N., Eds.; Elsevier: Amsterdam, The Netherlands, 2011; pp. 1–17. ISBN 9780983079118. [Google Scholar]
- Mehta, C.; Bhatt, G.; Kothiyal, P. A Review on Organogel for Skin Aging. Indian J. Pharm. Biol. Res. 2016, 4, 28–37. [Google Scholar] [CrossRef]
- Cheng, X.; Pan, J.; Zhao, Y.; Liao, M.; Peng, H. Gel Polymer Electrolytes for Electrochemical Energy Storage. Adv. Energy Mater. 2018, 8, 1702184. [Google Scholar] [CrossRef]
- Nandi, A.K.; Chatterjee, D.P. Hybrid Polymer Gels for Energy Applications. J. Mater. Chem. A Mater. Energy Sustain. 2023, 11, 12593–12642. [Google Scholar] [CrossRef]
- Lal, J.; Biswas, P.; Singh, S.K.; Debbarma, R.; Mehta, N.K.; Deb, S.; Sharma, S.; Waikhom, G.; Patel, A.B. Moving towards Gel for Fish Feeding: Focus on Functional Properties and Its Acceptance. Gels 2023, 9, 305. [Google Scholar] [CrossRef]
- Abdul Khalil, H.P.S.; Yahya, E.B.; Tajarudin, H.A.; Balakrishnan, V.; Nasution, H. Insights into the Role of Biopolymer-Based Xerogels in Biomedical Applications. Gels 2022, 8, 334. [Google Scholar] [CrossRef]
- Martinez, R.M.; Rosado, C.; Velasco, M.V.R.; Lannes, S.C.S.; Baby, A.R. Main Features and Applications of Organogels in Cosmetics. Int. J. Cosmet. Sci. 2019, 41, 109–117. [Google Scholar] [CrossRef]
- Esposito, C.L.; Kirilov, P. Preparation, Characterization and Evaluation of Organogel-Based Lipstick Formulations: Application in Cosmetics. Gels 2021, 7, 97. [Google Scholar] [CrossRef]
- Mosquera Narvaez, L.E.; Ferreira, L.M.D.M.C.; Sanches, S.; Alesa Gyles, D.; Silva-Júnior, J.O.C.; Ribeiro Costa, R.M. A Review of Potential Use of Amazonian Oils in the Synthesis of Organogels for Cosmetic Application. Molecules 2022, 27, 2733. [Google Scholar] [CrossRef]
- Galindo, J.M.; Tardío, C.; Saikia, B.; Van Cleuvenbergen, S.; Torres-Moya, I. Recent Insights about the Role of Gels in Organic Photonics and Electronics. Gels 2023, 9, 875. [Google Scholar] [CrossRef]
- Chelu, M.; Musuc, A.M. Polymer Gels: Classification and Recent Developments in Biomedical Applications. Gels 2023, 9, 161. [Google Scholar] [CrossRef]
- Adams, D.J. Personal Perspective on Understanding Low Molecular Weight Gels. J. Am. Chem. Soc. 2022, 144, 11047–11053. [Google Scholar] [CrossRef] [PubMed]
- Pokusaev, B.; Vyazmin, A.; Karlov, S.; Zakharov, N.; Reznik, V.; Nekrasov, D. Agar Gels: Kinetics of Formation and Structure. Chem. Eng. Trans. 2017, 57, 1327–1332. [Google Scholar] [CrossRef]
- Gurikov, P.; Smirnova, I. Non-Conventional Methods for Gelation of Alginate. Gels 2018, 4, 14. [Google Scholar] [CrossRef] [PubMed]
- Kang, H.; Liu, R.; Huang, Y. Cellulose-Based Gels. Macromol. Chem. Phys. 2016, 217, 1322–1334. [Google Scholar] [CrossRef]
- Parker, A.; Normand, V. Glassy Dynamics of Gelatin Gels. Soft Matter 2010, 6, 4916. [Google Scholar] [CrossRef]
- Geonzon, L.C.; Descallar, F.B.A.; Du, L.; Bacabac, R.G.; Matsukawa, S. Gelation Mechanism and Network Structure in Gels of Carrageenans and Their Mixtures Viewed at Different Length Scales—A Review. Food Hydrocoll. 2020, 108, 106039. [Google Scholar] [CrossRef]
- Yamagishi, R.; Miura, S.; Yabu, K.; Ando, M.; Hachikubo, Y.; Yokoyama, Y.; Yasuda, K.; Takei, S. Fabrication Technology of Self-Dissolving Sodium Hyaluronate Gels Ultrafine Microneedles for Medical Applications with UV-Curing Gas-Permeable Mold. Gels 2024, 10, 65. [Google Scholar] [CrossRef]
- Liang, X.; Zhong, H.-J.; Ding, H.; Yu, B.; Ma, X.; Liu, X.; Chong, C.-M.; He, J. Polyvinyl Alcohol (PVA)-Based Hydrogels: Recent Progress in Fabrication, Properties, and Multifunctional Applications. Polymers 2024, 16, 2755. [Google Scholar] [CrossRef]
- Wang, Z.; Ye, Q.; Yu, S.; Akhavan, B. Poly Ethylene Glycol (PEG)-based Hydrogels for Drug Delivery in Cancer Therapy: A Comprehensive Review. Adv. Healthc. Mater. 2023, 12, 2300105. [Google Scholar] [CrossRef]
- Bai, B.; Zhou, J.; Yin, M. A Comprehensive Review of Polyacrylamide Polymer Gels for Conformance Control. Pet. Explor. Dev. 2015, 42, 525–532. [Google Scholar] [CrossRef]
- Tang, L.; Wang, L.; Yang, X.; Feng, Y.; Li, Y.; Feng, W. Poly(N-Isopropylacrylamide)-Based Smart Hydrogels: Design, Properties and Applications. Prog. Mater. Sci. 2021, 115, 100702. [Google Scholar] [CrossRef]
- Takeno, H.; Kimura, Y.; Nakamura, W. Mechanical, Swelling, and Structural Properties of Mechanically Tough Clay-Sodium Polyacrylate Blend Hydrogels. Gels 2017, 3, 10. [Google Scholar] [CrossRef] [PubMed]
- Hanabusa, K.; Suzuki, M. Development of Low-Molecular-Weight Gelators and Polymer-Based Gelators. Polym. J. 2014, 46, 776–782. [Google Scholar] [CrossRef]
- Draper, E.R.; Adams, D.J. Low-Molecular-Weight Gels: The State of the Art. Chem 2017, 3, 390–410. [Google Scholar] [CrossRef]
- Raphaelides, S.N. Rheological Studies of Starch—Fatty Acid Gels. Food Hydrocoll. 1993, 7, 479–495. [Google Scholar] [CrossRef]
- Hoffmann, H.; Ulbricht, W. Surfactant Gels. Curr. Opin. Colloid Interface Sci. 1996, 1, 726–739. [Google Scholar] [CrossRef]
- Mondal, S.; Das, S.; Nandi, A.K. A Review on Recent Advances in Polymer and Peptide Hydrogels. Soft Matter 2020, 16, 1404–1454. [Google Scholar] [CrossRef]
- Okihara, M.; Matsuda, A.; Kawamura, A.; Miyata, T. Design of Dual Stimuli-Responsive Gels with Physical and Chemical Properties That Vary in Response to Light and Temperature and Cell Behavior on Their Surfaces. Polym. J. 2024, 56, 193–204. [Google Scholar] [CrossRef]
- Ahn, S.-K.; Kasi, R.M.; Kim, S.-C.; Sharma, N.; Zhou, Y. Stimuli-Responsive Polymer Gels. Soft Matter 2008, 4, 1151. [Google Scholar] [CrossRef]
- Hu, L.; Gao, Y.; Serpe, M.J.; Wiley, J. (Eds.) Smart Stimuli-Responsive Polymers, Films, and Gels; Wiley: Hoboken, NJ, USA, 2022. [Google Scholar]
- Smith, D.K. Supramolecular Gels—A Panorama of Low-Molecular-Weight Gelators from Ancient Origins to next-Generation Technologies. Soft Matter 2024, 20, 10–70. [Google Scholar] [CrossRef]
- Ilyin, S.O. Structural Rheology in the Development and Study of Complex Polymer Materials. Polymers 2024, 16, 2458. [Google Scholar] [CrossRef] [PubMed]
- Zou, X.; Cui, S.; Li, J.; Wei, X.; Zheng, M. Diketopyrrolopyrrole Based Organic Semiconductor Materials for Field-Effect Transistors. Front. Chem. 2021, 9, 671294. [Google Scholar] [CrossRef] [PubMed]
- Lim, B.; Sun, H.; Lee, J.; Noh, Y.-Y. High Performance Solution Processed Organic Field Effect Transistors with Novel Diketopyrrolopyrrole-Containing Small Molecules. Sci. Rep. 2017, 7, 164. [Google Scholar] [CrossRef] [PubMed]
- Heinrichová, P.; Pospíšil, J.; Stříteský, S.; Vala, M.; Weiter, M.; Toman, P.; Rais, D.; Pfleger, J.; Vondráček, M.; Šimek, D.; et al. Diketopyrrolopyrrole-Based Organic Solar Cells Functionality: The Role of Orbital Energy and Crystallinity. J. Phys. Chem. C Nanomater. Interfaces 2019, 123, 11447–11463. [Google Scholar] [CrossRef]
- Li, W.; Hendriks, K.H.; Wienk, M.M.; Janssen, R.A.J. Diketopyrrolopyrrole Polymers for Organic Solar Cells. Acc. Chem. Res. 2016, 49, 78–85. [Google Scholar] [CrossRef] [PubMed]
- Sassi, M.; Buccheri, N.; Rooney, M.; Botta, C.; Bruni, F.; Giovanella, U.; Brovelli, S.; Beverina, L. Near-Infrared Roll-off-Free Electroluminescence from Highly Stable Diketopyrrolopyrrole Light Emitting Diodes. Sci. Rep. 2016, 6, 34096. [Google Scholar] [CrossRef]
- Shukla, A.; Entoma, V.; McGregor, S.K.M.; Hasan, M.; Mamada, M.; Moore, E.G.; Adachi, C.; Lo, S.-C.; Namdas, E.B. Low Light Amplification Threshold and Reduced Efficiency Roll-off in Thick Emissive Layer OLEDs from a Diketopyrrolopyrrole Derivative. Macromol. Rapid Commun. 2022, 43, 2200115. [Google Scholar] [CrossRef]
- Matsuo, T.; Kuwabara, J.; Kanbara, T.; Hayashi, S. Flexible and Red-Emissive Organic Single-Crystal Microresonator for Efficient Active Waveguides. J. Phys. Chem. Lett. 2023, 14, 6577–6582. [Google Scholar] [CrossRef]
- Sánchez-Oliva, A.; Tardío, C.; Pinilla-Peñalver, E.; Saikia, B.; Torres-Moya, I. Advanced Photonic Circuits Using a Mechanofluorochromic Diketopyrrolopyrrole Derivative. Dyes Pigm. 2025, 235, 112593. [Google Scholar] [CrossRef]
- Thool, G.S.; Narayanaswamy, K.; Venkateswararao, A.; Naqvi, S.; Gupta, V.; Chand, S.; Vivekananthan, V.; Koner, R.R.; Krishnan, V.; Singh, S.P. Highly Directional 1D Supramolecular Assembly of New Diketopyrrolopyrrole-Based Gel for Organic Solar Cell Applications. Langmuir 2016, 32, 4346–4351. [Google Scholar] [CrossRef]
- Draper, E.R.; Dietrich, B.; Adams, D.J. Self-Assembly, Self-Sorting, and Electronic Properties of a Diketopyrrolopyrrole Hydrogelator. Chem. Commun. 2017, 53, 1864–1867. [Google Scholar] [CrossRef] [PubMed]
- Nyayachavadi, A.; Mason, G.T.; Nazir Tahir, M.; Ocheje, M.U.; Rondeau-Gagné, S. Covalent Cross-Linking of Diketopyrrolopyrrole-Based Organogels with Polydiacetylenes. Langmuir 2018, 34, 12126–12136. [Google Scholar] [CrossRef] [PubMed]
- Biswas, S.; Kumar, M.; Levine, A.M.; Jimenez, I.; Ulijn, R.V.; Braunschweig, A.B. Visible-Light Photooxidation in Water by 1O2-Generating Supramolecular Hydrogels. Chem. Sci. 2020, 11, 4239–4245. [Google Scholar] [CrossRef]
- Rani, A.; Kavianinia, I.; Hume, P.; De Leon-Rodriguez, L.M.; Kihara, S.; Williams, D.E.; McGillivray, D.J.; Plank, N.O.V.; Gerrard, J.; Hodgkiss, J.M.; et al. Directed Self-Assembly of Peptide–Diketopyrrolopyrrole Conjugates—A Platform for Bio-Organic Thin Film Preparation. Soft Matter 2020, 16, 6563–6571. [Google Scholar] [CrossRef]
- Kumar, S.; Panigrahi, P.; Mohanty, S.; Nayak, S.K.; Palai, A.K. Tuning up the Photovoltaic Performances upon the Utility of Diketopyrrolopyrrole in PEO-Based Gel Polymer Electrolytes. Dalton Trans. 2021, 50, 7647–7655. [Google Scholar] [CrossRef]
- Stegerer, D.; Pracht, M.; Günther, F.; Sun, H.; Preis, K.; Zerson, M.; Maftuhin, W.; Tan, W.L.; Kroon, R.; McNeill, C.R.; et al. Organogels from Diketopyrrolopyrrole Copolymer Ionene/Polythiophene Blends Exhibit Ground-State Single Electron Transfer in the Solid State. Macromolecules 2022, 55, 4979–4994. [Google Scholar] [CrossRef]
- Gauci, V.; Seddon, A.; Adams, D.J. Synthesis and Characterisation of Diketopyrrolopyrrole-Based Hydrogels. Soft Matter 2022, 18, 3756–3761. [Google Scholar] [CrossRef]























Disclaimer/Publisher’s Note: The statements, opinions and data contained in all publications are solely those of the individual author(s) and contributor(s) and not of MDPI and/or the editor(s). MDPI and/or the editor(s) disclaim responsibility for any injury to people or property resulting from any ideas, methods, instructions or products referred to in the content. |
© 2025 by the authors. Licensee MDPI, Basel, Switzerland. This article is an open access article distributed under the terms and conditions of the Creative Commons Attribution (CC BY) license (https://creativecommons.org/licenses/by/4.0/).
Share and Cite
Sánchez-Oliva, A.; Torres-Moya, I. The Diketopyrrolopyrrole (DPP) Core as a Gel-Forming Material: Current Status and Untapped Potential. Gels 2025, 11, 134. https://doi.org/10.3390/gels11020134
Sánchez-Oliva A, Torres-Moya I. The Diketopyrrolopyrrole (DPP) Core as a Gel-Forming Material: Current Status and Untapped Potential. Gels. 2025; 11(2):134. https://doi.org/10.3390/gels11020134
Chicago/Turabian StyleSánchez-Oliva, Abelardo, and Iván Torres-Moya. 2025. "The Diketopyrrolopyrrole (DPP) Core as a Gel-Forming Material: Current Status and Untapped Potential" Gels 11, no. 2: 134. https://doi.org/10.3390/gels11020134
APA StyleSánchez-Oliva, A., & Torres-Moya, I. (2025). The Diketopyrrolopyrrole (DPP) Core as a Gel-Forming Material: Current Status and Untapped Potential. Gels, 11(2), 134. https://doi.org/10.3390/gels11020134

