Comparative Analysis of Tunicate vs. Plant-Based Cellulose in Chitosan Hydrogels for Bone Regeneration
Abstract
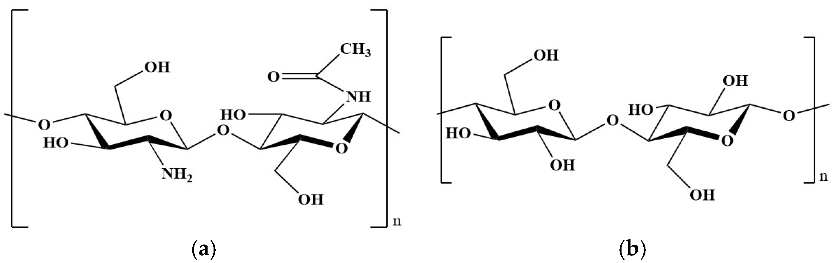
1. Introduction
2. Results and Discussion
2.1. Chemical Characterization of Peptide-Grafted CS
Nuclear Magnetic Resonance (NMR)
2.2. Morphological Characterization of Cellulose
Transmission Electron Microscopy (TEM)
2.3. Characterization of Hybrid Scaffolds
2.3.1. Morphological Characterization
Scanning Electron Microscopy (SEM)
2.3.2. Mechanical Measurements
Compression Tests
2.3.3. Biological Characterization
Viability Assay
Proliferation Test
Mineralization Test
3. Conclusions
4. Materials and Methods
4.1. Materials
4.2. Methods
4.2.1. Peptide Synthesis
4.2.2. CS Functionalization
4.2.3. Cellulose
4.2.4. Preparation of Cellulose-Enriched Matrices
4.3. Chemical Characterization of Peptide-Grafted CS
NMR Experiment
4.4. Morphological Characterization of Cellulose
TEM
4.5. Characterization of Hybrid Scaffolds
4.5.1. Morphological Characterization
SEM
4.5.2. Mechanical Measurements
Compression Tests
4.5.3. Biological Characterization
Human Osteoblast Cell Isolation and Culture
Viability Assay
Proliferation Assay
Mineralization Assay
Statistical Analysis
Supplementary Materials
Author Contributions
Funding
Data Availability Statement
Acknowledgments
Conflicts of Interest
References
- Chen, Z.-Y.; Gao, S.; Zhang, Y.-W.; Zhou, R.-B.; Zhou, F. Antibacterial Biomaterials in Bone Tissue Engineering. J. Mater. Chem. B 2021, 9, 2594–2612. [Google Scholar] [CrossRef]
- Bharadwaz, A.; Jayasuriya, A.C. Recent Trends in the Application of Widely Used Natural and Synthetic Polymer Nanocomposites in Bone Tissue Regeneration. Mater. Sci. Eng. C 2020, 110, 110698. [Google Scholar] [CrossRef] [PubMed]
- Guo, L.; Liang, Z.; Yang, L.; Du, W.; Yu, T.; Tang, H.; Li, C.; Qiu, H. The Role of Natural Polymers in Bone Tissue Engineering. J. Control. Release 2021, 338, 571–582. [Google Scholar] [CrossRef]
- Raut, M.; Asare, E.; Syed Mohamed, S.; Amadi, E.; Roy, I. Bacterial Cellulose-Based Blends and Composites: Versatile Biomaterials for Tissue Engineering Applications. Int. J. Mol. Sci. 2023, 24, 986. [Google Scholar] [CrossRef]
- Adel, I.M.; ElMeligy, M.F.; Elkasabgy, N.A. Conventional and Recent Trends of Scaffolds Fabrication: A Superior Mode for Tissue Engineering. Pharmaceutics 2022, 14, 306. [Google Scholar] [CrossRef]
- Murizan, N.I.S.; Mustafa, N.S.; Ngadiman, N.H.A.; Mohd Yusof, N.; Idris, A. Review on Nanocrystalline Cellulose in Bone Tissue Engineering Applications. Polymers 2020, 12, 2818. [Google Scholar] [CrossRef]
- Brun, P.; Zamuner, A.; Cassari, L.; D’Auria, G.; Falcigno, L.; Franchi, S.; Contini, G.; Marsotto, M.; Battocchio, C.; Iucci, G.; et al. Chitosan Covalently Functionalized with Peptides Mapped on Vitronectin and BMP-2 for Bone Tissue Engineering. Nanomaterials 2021, 11, 2784. [Google Scholar] [CrossRef]
- Yan, D.; Li, Y.; Liu, Y.; Li, N.; Zhang, X.; Yan, C. Antimicrobial Properties of Chitosan and Chitosan Derivatives in the Treatment of Enteric Infections. Molecules 2021, 26, 7136. [Google Scholar] [CrossRef]
- Islam, M.M.; Shahruzzaman, M.; Biswas, S.; Nurus Sakib, M.; Rashid, T.U. Chitosan Based Bioactive Materials in Tissue Engineering Applications-A Review. Bioact. Mater. 2020, 5, 164–183. [Google Scholar] [CrossRef]
- Kou, S.; Peters, L.M.; Mucalo, M.R. Chitosan: A Review of Sources and Preparation Methods. Int. J. Biol. Macromol. 2021, 169, 85–94. [Google Scholar] [CrossRef]
- Brun, P.; Zamuner, A.; Battocchio, C.; Cassari, L.; Todesco, M.; Graziani, V.; Iucci, G.; Marsotto, M.; Tortora, L.; Secchi, V.; et al. Bio-Functionalized Chitosan for Bone Tissue Engineering. Int. J. Mol. Sci. 2021, 22, 5916. [Google Scholar] [CrossRef] [PubMed]
- Falcigno, L.; D’Auria, G.; Calvanese, L.; Marasco, D.; Iacobelli, R.; Scognamiglio, P.L.; Brun, P.; Danesin, R.; Pasqualin, M.; Castagliuolo, I.; et al. Osteogenic Properties of a Short BMP-2 Chimera Peptide: BMP-2 Chimera Peptide. J. Pept. Sci. 2015, 21, 700–709. [Google Scholar] [CrossRef] [PubMed]
- Dutta, S.D.; Patel, D.K.; Lim, K.-T. Functional Cellulose-Based Hydrogels as Extracellular Matrices for Tissue Engineering. J. Biol. Eng. 2019, 13, 55. [Google Scholar] [CrossRef] [PubMed]
- Seddiqi, H.; Oliaei, E.; Honarkar, H.; Jin, J.; Geonzon, L.C.; Bacabac, R.G.; Klein-Nulend, J. Cellulose and Its Derivatives: Towards Biomedical Applications. Cellulose 2021, 28, 1893–1931. [Google Scholar] [CrossRef]
- Khan, S.; Siddique, R.; Huanfei, D.; Shereen, M.A.; Nabi, G.; Bai, Q.; Manan, S.; Xue, M.; Ullah, M.W.; Bowen, H. Perspective Applications and Associated Challenges of Using Nanocellulose in Treating Bone-Related Diseases. Front. Bioeng. Biotechnol. 2021, 9, 616555. [Google Scholar] [CrossRef]
- Čolić, M.; Tomić, S.; Bekić, M. Immunological Aspects of Nanocellulose. Immunol. Lett. 2020, 222, 80–89. [Google Scholar] [CrossRef]
- Hickey, R.J.; Pelling, A.E. Cellulose Biomaterials for Tissue Engineering. Front. Bioeng. Biotechnol. 2019, 7, 45. [Google Scholar] [CrossRef]
- Chavooshi, R.; Ranjkesh, M.R.; Hashemi, B.; Roshangar, L. Cellulose and Lignin-Derived Scaffold and Their Biological Application in Tissue Engineering Drug Delivery and Wound Healing: A Review. Cell J. 2023, 25, 158. [Google Scholar] [CrossRef]
- Bhat, A.H.; Khan, I.; Usmani, M.A.; Umapathi, R.; Al-Kindy, S.M.Z. Cellulose an Ageless Renewable Green Nanomaterial for Medical Applications: An Overview of Ionic Liquids in Extraction, Separation and Dissolution of Cellulose. Int. J. Biol. Macromol. 2019, 129, 750–777. [Google Scholar] [CrossRef]
- Huang, Y.; Zhu, C.; Yang, J.; Nie, Y.; Chen, C.; Sun, D. Recent Advances in Bacterial Cellulose. Cellulose 2014, 21, 1–30. [Google Scholar] [CrossRef]
- Apelgren, P.; Sämfors, S.; Säljö, K.; Mölne, J.; Gatenholm, P.; Troedsson, C.; Thompson, E.M.; Kölby, L. Biomaterial and Biocompatibility Evaluation of Tunicate Nanocellulose for Tissue Engineering. Biomater. Adv. 2022, 137, 212828. [Google Scholar] [CrossRef] [PubMed]
- Zhao, Y.; Li, J. Excellent Chemical and Material Cellulose from Tunicates: Diversity in Cellulose Production Yield and Chemical and Morphological Structures from Different Tunicate Species. Cellulose 2014, 21, 3427–3441. [Google Scholar] [CrossRef]
- Lv, X.; Han, J.; Liu, M.; Yu, H.; Liu, K.; Yang, Y.; Sun, Y.; Pan, P.; Liang, Z.; Chang, L.; et al. Overview of Preparation, Modification, and Application of Tunicate-Derived Nanocellulose. Chem. Eng. J. 2023, 452, 139439. [Google Scholar] [CrossRef]
- Kim, S.M.; Park, J.M.; Kang, T.Y.; Kim, Y.S.; Lee, S.K. Purification of Squirt Cellulose Membrane from the Cystic Tunic of Styela Clava and Identification of Its Osteoconductive Effect. Cellulose 2013, 20, 655–673. [Google Scholar] [CrossRef]
- Strnad, S.; Zemljič, L. Cellulose–Chitosan Functional Biocomposites. Polymers 2023, 15, 425. [Google Scholar] [CrossRef]
- Seidi, F.; Khodadadi Yazdi, M.; Jouyandeh, M.; Dominic, M.; Naeim, H.; Nezhad, M.N.; Bagheri, B.; Habibzadeh, S.; Zarrintaj, P.; Saeb, M.R.; et al. Chitosan-Based Blends for Biomedical Applications. Int. J. Biol. Macromol. 2021, 183, 1818–1850. [Google Scholar] [CrossRef]
- Hasan, A.; Waibhaw, G.; Saxena, V.; Pandey, L.M. Nano-Biocomposite Scaffolds of Chitosan, Carboxymethyl Cellulose and Silver Nanoparticle Modified Cellulose Nanowhiskers for Bone Tissue Engineering Applications. Int. J. Biol. Macromol. 2018, 111, 923–934. [Google Scholar] [CrossRef]
- Liuyun, J.; Yubao, L.; Chengdong, X. Preparation and Biological Properties of a Novel Composite Scaffold of Nano-Hydroxyapatite/Chitosan/Carboxymethyl Cellulose for Bone Tissue Engineering. J. Biomed. Sci. 2009, 16, 65. [Google Scholar] [CrossRef]
- Moon, S.M.; Heo, J.E.; Jeon, J.; Eom, T.; Jang, D.; Her, K.; Cho, W.; Woo, K.; Wie, J.J.; Shim, B.S. High Crystallinity of Tunicate Cellulose Nanofibers for High-Performance Engineering Films. Carbohydr. Polym. 2021, 254, 117470. [Google Scholar] [CrossRef]
- Rostami, E.; Kashanian, S.; Askari, M. The Effect of Ultrasound Wave on Levothyroxine Release from Chitosan Nanoparticles. Adv. Mater. Res. 2013, 829, 284–288. [Google Scholar] [CrossRef]
- Karim, Z.; Mathew, A.P.; Grahn, M.; Mouzon, J.; Oksman, K. Nanoporous Membranes with Cellulose Nanocrystals as Functional Entity in Chitosan: Removal of Dyes from Water. Carbohydr. Polym. 2014, 112, 668–676. [Google Scholar] [CrossRef] [PubMed]
- Abou-Yousef, H.; Dacrory, S.; Hasanin, M.; Saber, E.; Kamel, S. Biocompatible Hydrogel Based on Aldehyde-Functionalized Cellulose and Chitosan for Potential Control Drug Release. Sustain. Chem. Pharm. 2021, 21, 100419. [Google Scholar] [CrossRef]
- Kang, X.; Deng, L.; Yi, L.; Ruan, C.-Q.; Zeng, K. A Facile Method for Preparation of Green and Antibacterial Hydrogel Based on Chitosan and Water-Soluble 2,3-Dialdehyde Cellulose. Cellulose 2021, 28, 6403–6416. [Google Scholar] [CrossRef]
- Breuls, R.G.M.; Jiya, T.U.; Smit, T.H. Scaffold Stiffness Influences Cell Behavior: Opportunities for Skeletal Tissue Engineering. Open Orthop. J. 2008, 2, 103–109. [Google Scholar] [CrossRef]
- Anselme, K.; Bigerelle, M.; Noel, B.; Dufresne, E.; Judas, D.; Iost, A.; Hardouin, P. Qualitative and Quantitative Study of Human Osteoblast Adhesion on Materials with Various Surface Roughnesses. J. Biomed. Mater. Res. 2000, 49, 155–166. [Google Scholar] [CrossRef]
- Karim, Z.; Svedberg, A.; Lee, K.-Y.; Khan, M.J. Processing-Structure-Property Correlation Understanding of Microfibrillated Cellulose Based Dimensional Structures for Ferric Ions Removal. Sci. Rep. 2019, 9, 10277. [Google Scholar] [CrossRef]
- He, Y.; Hou, H.; Wang, S.; Lin, R.; Wang, L.; Yu, L.; Qiu, X. From Waste of Marine Culture to Natural Patch in Cardiac Tissue Engineering. Bioact. Mater. 2021, 6, 2000–2010. [Google Scholar] [CrossRef]
- Zheng, Y.; Zhang, L.; Duan, B. Anisotropic Chitosan/Tunicate Cellulose Nanocrystals Hydrogel with Tunable Interference Color and Acid-Responsiveness. Carbohydr. Polym. 2022, 295, 119866. [Google Scholar] [CrossRef]






| Sample | Width (nm) | Length (nm) | Aspect Ratio |
|---|---|---|---|
| P-MC | 15.500 ± 2.824 | 215.638 ± 86.646 | 13.9 |
| T-NC | 5.847 ± 1.166 | 1526.427 ± 433.805 | 261.1 |
| CTRL1 (CS + CS1 1:1) | +8% P-MC | +16% P-MC | +24% P-MC | CTRL2 (CS + CS2 1:1) | +8% T-NC | +16% T-NC | +24% T-NC | |
|---|---|---|---|---|---|---|---|---|
| σmax [MPa] | 0.15 ± 0.01 | 0.20 ± 0.01 | 0.23 ± 0.01 | 0.28 ± 0.02 | 0.15 ± 0.01 | 0.19 ± 0.01 | 0.22 ± 0.02 | 0.28 ± 0.02 |
| E [MPa] | 0.4 ± 0.1 | 0.8 ± 0.2 | 1.0 ± 0.2 | 1.4 ± 0.2 | 0.5 ± 0.1 | 0.7 ± 0.2 | 0.9 ± 0.2 | 1.3 ± 0.3 |
Disclaimer/Publisher’s Note: The statements, opinions and data contained in all publications are solely those of the individual author(s) and contributor(s) and not of MDPI and/or the editor(s). MDPI and/or the editor(s) disclaim responsibility for any injury to people or property resulting from any ideas, methods, instructions or products referred to in the content. |
© 2025 by the authors. Licensee MDPI, Basel, Switzerland. This article is an open access article distributed under the terms and conditions of the Creative Commons Attribution (CC BY) license (https://creativecommons.org/licenses/by/4.0/).
Share and Cite
Furlan, L.; Zamuner, A.; Riccioni, A.; Sabbadin, G.; Russo, T.; Gallicchio, V.; D’Auria, G.; Falcigno, L.; Manni, L.; Ballarin, L.; et al. Comparative Analysis of Tunicate vs. Plant-Based Cellulose in Chitosan Hydrogels for Bone Regeneration. Gels 2025, 11, 102. https://doi.org/10.3390/gels11020102
Furlan L, Zamuner A, Riccioni A, Sabbadin G, Russo T, Gallicchio V, D’Auria G, Falcigno L, Manni L, Ballarin L, et al. Comparative Analysis of Tunicate vs. Plant-Based Cellulose in Chitosan Hydrogels for Bone Regeneration. Gels. 2025; 11(2):102. https://doi.org/10.3390/gels11020102
Chicago/Turabian StyleFurlan, Laura, Annj Zamuner, Andrea Riccioni, Giacomo Sabbadin, Teresa Russo, Vito Gallicchio, Gabriella D’Auria, Lucia Falcigno, Lucia Manni, Loriano Ballarin, and et al. 2025. "Comparative Analysis of Tunicate vs. Plant-Based Cellulose in Chitosan Hydrogels for Bone Regeneration" Gels 11, no. 2: 102. https://doi.org/10.3390/gels11020102
APA StyleFurlan, L., Zamuner, A., Riccioni, A., Sabbadin, G., Russo, T., Gallicchio, V., D’Auria, G., Falcigno, L., Manni, L., Ballarin, L., Schievano, E., Brun, P., & Dettin, M. (2025). Comparative Analysis of Tunicate vs. Plant-Based Cellulose in Chitosan Hydrogels for Bone Regeneration. Gels, 11(2), 102. https://doi.org/10.3390/gels11020102

