Morphology of Graphene Aerogel as the Key Factor: Mechanical Properties Under Tension and Compression
Abstract
1. Introduction
2. Results and Discussion
2.1. Hydrostatic Compression
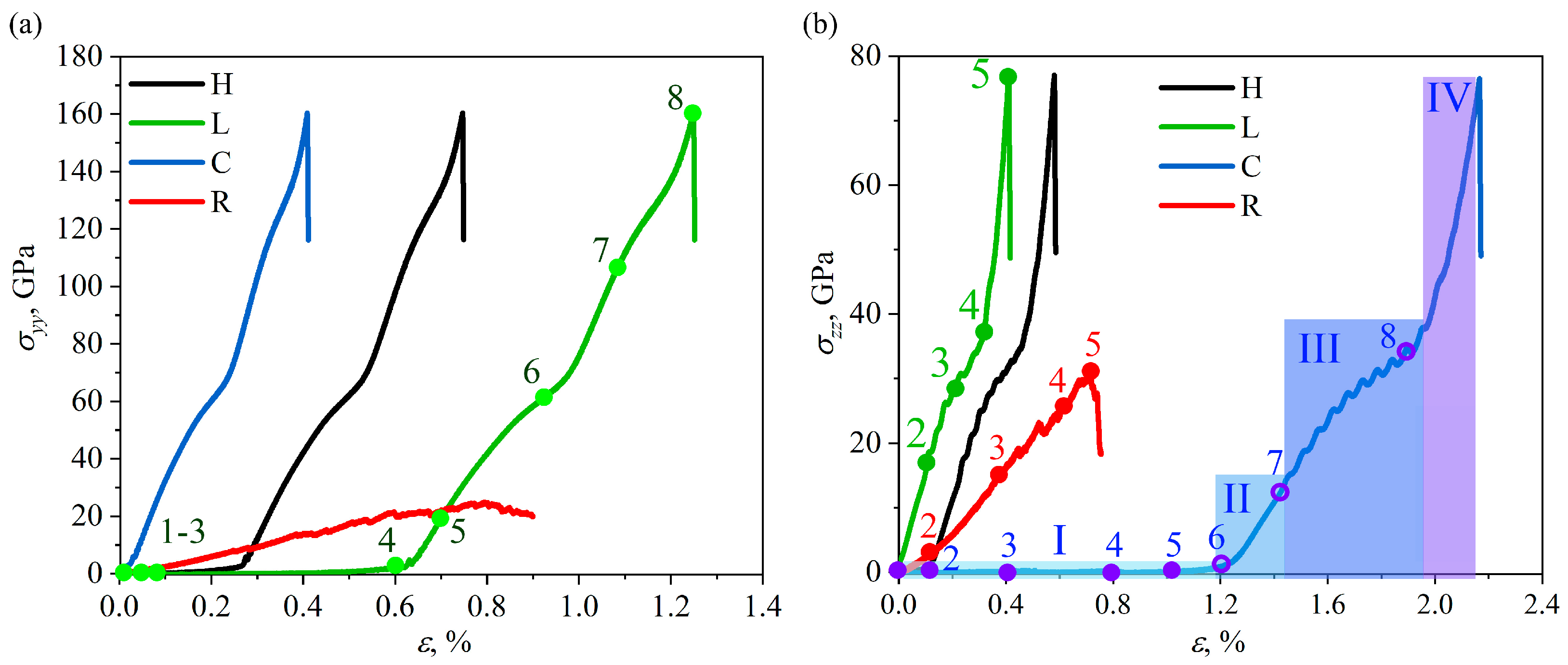
2.2. Uniaxial Tension
3. Conclusions
4. Materials and Method
Author Contributions
Funding
Institutional Review Board Statement
Informed Consent Statement
Data Availability Statement
Conflicts of Interest
Abbreviations
| GA | Graphene Aerogel |
| MD | Molecular Dynamics |
| GF | Graphene Flake |
| HC | Hydrostatic Compression |
| SSA | Specific Surface Area |
References
- Mao, J.; Iocozzia, J.; Huang, J.; Meng, K.; Lai, Y.; Lin, Z. Graphene aerogels for efficient energy storage and conversion. Energy Environ. Sci. 2018, 11, 772–799. [Google Scholar] [CrossRef]
- Cao, X.; Zhang, J.; Chen, S.; Varley, R.J.; Pan, K. 1D/2D Nanomaterials Synergistic, Compressible, and Response Rapidly 3D Graphene Aerogel for Piezoresistive Sensor. Adv. Funct. Mater. 2020, 30, 2003618. [Google Scholar] [CrossRef]
- Zhang, F.; Liu, J.; Hu, L.; Guo, C. Recent Progress of Three-Dimensional Graphene-Based Composites for Photocatalysis. Gels 2024, 10, 626. [Google Scholar] [CrossRef] [PubMed]
- Zhu, Q.; Ong, P.J.; Goh, S.H.A.; Yeo, R.J.; Wang, S.; Liu, Z.; Loh, X.J. Recent advances in graphene-based phase change composites for thermal energy storage and management. Nano Mater. Sci. 2024, 6, 115–138. [Google Scholar] [CrossRef]
- Sultanov, F.; Tatykayev, B.; Bakenov, Z.; Mentbayeva, A. The role of graphene aerogels in rechargeable batteries. Adv. Colloid Interface Sci. 2024, 331, 103249. [Google Scholar] [CrossRef] [PubMed]
- Xia, Y.; Gao, C.; Gao, W. A review on elastic graphene aerogels: Design, preparation, and applications. J. Polym. Sci. 2022, 60, 2239–2261. [Google Scholar] [CrossRef]
- Pekala, R.; Alviso, C.; Kong, F.; Hulsey, S. Aerogels derived from multifunctional organic monomers. J. Non-Cryst. Solids 1992, 145, 90–98. [Google Scholar] [CrossRef]
- Bi, H.; Yin, K.; Xie, X.; Zhou, Y.; Wan, N.; Xu, F.; Banhart, F.; Sun, L.; Ruoff, R.S. Low Temperature Casting of Graphene with High Compressive Strength. Adv. Mater. 2012, 24, 5124–5129. [Google Scholar] [CrossRef]
- Sun, H.; Xu, Z.; Gao, C. Multifunctional, Ultra-Flyweight, Synergistically Assembled Carbon Aerogels. Adv. Mater. 2013, 25, 2554–2560. [Google Scholar] [CrossRef] [PubMed]
- Worsley, M.A.; Charnvanichborikarn, S.; Montalvo, E.; Shin, S.J.; Tylski, E.D.; Lewicki, J.P.; Nelson, A.J.; Satcher, J.H.; Biener, J.; Baumann, T.F.; et al. Toward Macroscale, Isotropic Carbons with Graphene-Sheet-Like Electrical and Mechanical Properties. Adv. Funct. Mater. 2014, 24, 4259–4264. [Google Scholar] [CrossRef]
- Worsley, M.A.; Olson, T.Y.; Lee, J.R.I.; Willey, T.M.; Nielsen, M.H.; Roberts, S.K.; Pauzauskie, P.J.; Biener, J.; Satcher, J.H.; Baumann, T.F. High Surface Area, sp2-Cross-Linked Three-Dimensional Graphene Monoliths. J. Phys. Chem. Lett. 2011, 2, 921–925. [Google Scholar] [CrossRef] [PubMed]
- Zhu, C.; Han, T.Y.J.; Duoss, E.B.; Golobic, A.M.; Kuntz, J.D.; Spadaccini, C.M.; Worsley, M.A. Highly compressible 3D periodic graphene aerogel microlattices. Nat. Commun. 2015, 6, 6962. [Google Scholar] [CrossRef] [PubMed]
- Wang, J.; Shi, Z.; Gong, J.; Zhou, X.; Li, J.; Lyu, Z. 3D printing of graphene-based aerogels and their applications. FlatChem 2024, 47, 100731. [Google Scholar] [CrossRef]
- Tong, Y.; He, M.; Zhou, Y.; Nie, S.; Zhong, X.; Fan, L.; Huang, T.; Liao, Q.; Wang, Y. Three-Dimensional Hierarchical Architecture of the TiO2/Ti3C2Tx/RGO Ternary Composite Aerogel for Enhanced Electromagnetic Wave Absorption. ACS Sustain. Chem. Eng. 2018, 6, 8212–8222. [Google Scholar] [CrossRef]
- Shen, J.; Zhang, P.; Song, L.; Li, J.; Ji, B.; Li, J.; Chen, L. Polyethylene glycol supported by phosphorylated polyvinyl alcohol/graphene aerogel as a high thermal stability phase change material. Compos. Part B Eng. 2019, 179, 107545. [Google Scholar] [CrossRef]
- Yang, J.; Qi, G.Q.; Bao, R.Y.; Yi, K.; Li, M.; Peng, L.; Cai, Z.; Yang, M.B.; Wei, D.; Yang, W. Hybridizing graphene aerogel into three-dimensional graphene foam for high-performance composite phase change materials. Energy Storage Mater. 2018, 13, 88–95. [Google Scholar] [CrossRef]
- Liu, P.; Li, X.; Min, P.; Chang, X.; Shu, C.; Ding, Y.; Yu, Z.Z. 3D Lamellar-Structured Graphene Aerogels for Thermal Interface Composites with High Through-Plane Thermal Conductivity and Fracture Toughness. Nano-Micro Lett. 2020, 13, 22. [Google Scholar] [CrossRef] [PubMed]
- Wu, Y.; An, C.; Guo, Y.; Zong, Y.; Jiang, N.; Zheng, Q.; Yu, Z.Z. Highly Aligned Graphene Aerogels for Multifunctional Composites. Nano-Micro Lett. 2024, 16, 118. [Google Scholar] [CrossRef]
- Gibson, L.J.; Ashby, M.F. Cellular Solids; Cambridge Solid State Science Series; Cambridge University Press: Cambridge, UK, 2001. [Google Scholar]
- Minakshi, M.; Samayamanthry, A.; Whale, J.; Aughterson, R.; Shinde, P.A.; Ariga, K.; Kumar Shrestha, L. Phosphorous–Containing Activated Carbon Derived From Natural Honeydew Peel Powers Aqueous Supercapacitors. Chem. Asian J. 2024, 19, e202400622. [Google Scholar] [CrossRef]
- Xie, Y.; Xu, S.; Xu, Z.; Wu, H.; Deng, C.; Wang, X. Interface-mediated extremely low thermal conductivity of graphene aerogel. Carbon 2016, 98, 381–390. [Google Scholar] [CrossRef]
- Cheng, Y.; Zhou, S.; Hu, P.; Zhao, G.; Li, Y.; Zhang, X.; Han, W. Enhanced mechanical, thermal, and electric properties of graphene aerogels via supercritical ethanol drying and high-temperature thermal reduction. Sci. Rep. 2017, 7, 1439. [Google Scholar] [CrossRef] [PubMed]
- Hu, H.; Zhao, Z.; Wan, W.; Gogotsi, Y.; Qiu, J. Ultralight and Highly Compressible Graphene Aerogels. Adv. Mater. 2013, 25, 2219–2223. [Google Scholar] [CrossRef]
- Li, C.; Qiu, L.; Zhang, B.; Li, D.; Liu, C.Y. Robust Vacuum-Air-Dried Graphene Aerogels and Fast Recoverable Shape-Memory Hybrid Foams. Adv. Mater. 2016, 28, 1510–1516. [Google Scholar] [CrossRef] [PubMed]
- Peng, M.; Wen, Z.; Xie, L.; Cheng, J.; Jia, Z.; Shi, D.; Zeng, H.; Zhao, B.; Liang, Z.; Li, T.; et al. 3D Printing of Ultralight Biomimetic Hierarchical Graphene Materials with Exceptional Stiffness and Resilience. Adv. Mater. 2019, 31, 1902930. [Google Scholar] [CrossRef]
- Patil, S.P.; Shendye, P.; Markert, B. Molecular Investigation of Mechanical Properties and Fracture Behavior of Graphene Aerogel. J. Phys. Chem. B 2020, 124, 6132–6139. [Google Scholar] [CrossRef]
- Qiu, L.; He, Z.; Li, D. Multifunctional Cellular Materials Based on 2D Nanomaterials: Prospects and Challenges. Adv. Mater. 2017, 30, 1704850. [Google Scholar] [CrossRef] [PubMed]
- Li, C.; Ding, M.; Zhang, B.; Qiao, X.; Liu, C.Y. Graphene aerogels that withstand extreme compressive stress and strain. Nanoscale 2018, 10, 18291–18299. [Google Scholar] [CrossRef]
- Baimova, J.A.; Shcherbinin, S.A. Strength and Deformation Behavior of Graphene Aerogel of Different Morphologies. Materials 2023, 16, 7388. [Google Scholar] [CrossRef] [PubMed]
- Trembecka-Wójciga, K.; Sobczak, J.J.; Sobczak, N. A comprehensive review of graphene-based aerogels for biomedical applications. The impact of synthesis parameters onto material microstructure and porosity. Arch. Civ. Mech. Eng. 2023, 23, 133. [Google Scholar] [CrossRef]
- Ni, N.; Barg, S.; Garcia-Tunon, E.; Macul Perez, F.; Miranda, M.; Lu, C.; Mattevi, C.; Saiz, E. Understanding Mechanical Response of Elastomeric Graphene Networks. Sci. Rep. 2015, 5, 13712. [Google Scholar] [CrossRef] [PubMed]
- Si, Y.; Wang, X.; Yan, C.; Yang, L.; Yu, J.; Ding, B. Ultralight Biomass-Derived Carbonaceous Nanofibrous Aerogels with Superelasticity and High Pressure-Sensitivity. Adv. Mater. 2016, 28, 9512–9518. [Google Scholar] [CrossRef] [PubMed]
- Qin, Z.; Jung, G.S.; Kang, M.J.; Buehler, M.J. The mechanics and design of a lightweight three-dimensional graphene assembly. Sci. Adv. 2017, 3, e1601536. [Google Scholar] [CrossRef] [PubMed]
- Lei, J.; Liu, Z. The structural and mechanical properties of graphene aerogels based on Schwarz-surface-like graphene models. Carbon 2018, 130, 741–748. [Google Scholar] [CrossRef]
- Tang, D.; Ren, C.; Zhang, L.; Tao, Y.; Zhang, P.; Lv, W.; Jia, X.; Jiang, X.; Zhou, G.; Ohmura, T.; et al. Size Effects on the Mechanical Properties of Nanoporous Graphene Networks. Adv. Funct. Mater. 2019, 29, 1900311. [Google Scholar] [CrossRef]
- Patil, S.P.; Rege, A.; Sagardas; Itskov, M.; Markert, B. Mechanics of Nanostructured Porous Silica Aerogel Resulting from Molecular Dynamics Simulations. J. Phys. Chem. B 2017, 121, 5660–5668. [Google Scholar] [CrossRef] [PubMed]
- Polyakova, P.V.; Baimova, J.A. Mechanical Properties of Graphene Networks under Compression: A Molecular Dynamics Simulation. Int. J. Mol. Sci. 2023, 24, 6691. [Google Scholar] [CrossRef] [PubMed]
- Magnin, Y.; Rondepierre, F.; Cui, W.; Dunstan, D.; San-Miguel, A. Collapse phase diagram of carbon nanotubes with arbitrary number of walls. Collapse modes and macroscopic analog. Carbon 2021, 178, 552–562. [Google Scholar] [CrossRef]
- Silveira, J.F.; Muniz, A.R. Diamond nanothread-based 2D and 3D materials: Diamond nanomeshes and nanofoams. Carbon 2018, 139, 789–800. [Google Scholar] [CrossRef]
- Morris, B.; Becton, M.; Wang, X. Mechanical abnormality in graphene-based lamellar superstructures. Carbon 2018, 137, 196–206. [Google Scholar] [CrossRef]
- Zhang, B.; Zhang, J.; Sang, X.; Liu, C.; Luo, T.; Peng, L.; Han, B.; Tan, X.; Ma, X.; Wang, D.; et al. Cellular graphene aerogel combines ultralow weight and high mechanical strength: A highly efficient reactor for catalytic hydrogenation. Sci. Rep. 2016, 6, 25830. [Google Scholar] [CrossRef]
- Qiu, L.; Liu, J.Z.; Chang, S.L.; Wu, Y.; Li, D. Biomimetic superelastic graphene-based cellular monoliths. Nat. Commun. 2012, 3, 1241. [Google Scholar] [CrossRef]
- Riaz, M.A.; Hadi, P.; Abidi, I.H.; Tyagi, A.; Ou, X.; Luo, Z. Recyclable 3D graphene aerogel with bimodal pore structure for ultrafast and selective oil sorption from water. RSC Adv. 2017, 7, 29722–29731. [Google Scholar] [CrossRef]
- Minakshi, M.; Mujeeb, A.; Whale, J.; Evans, R.; Aughterson, R.; Shinde, P.A.; Ariga, K.; Shrestha, L.K. Synthesis of Porous Carbon Honeycomb Structures Derived from Hemp for Hybrid Supercapacitors with Improved Electrochemistry. ChemPlusChem 2024, 89, e202400408. [Google Scholar] [CrossRef]
- Stuart, S.J.; Tutein, A.B.; Harrison, J.A. A reactive potential for hydrocarbons with intermolecular interactions. J. Chem. Phys. 2000, 112, 6472–6486. [Google Scholar] [CrossRef]
- Orekhov, N.; Ostroumova, G.; Stegailov, V. High temperature pure carbon nanoparticle formation: Validation of AIREBO and ReaxFF reactive molecular dynamics. Carbon 2020, 170, 606–620. [Google Scholar] [CrossRef]
- Zhang, X.; Xia, W.; Wang, Y.; Wang, L.; Liu, X. Investigation of Projectile Impact Behaviors of Graphene Aerogel Using Molecular Dynamics Simulations. Comput. Model. Eng. Sci. 2024, 139, 3047–3061. [Google Scholar] [CrossRef]
- LAMMPS. Large-Scale Atomic/Molecular Massively Parallel Simulator. Available online: https://www.lammps.org/ (accessed on 2 October 2024).
- Plimpton, S. Fast Parallel Algorithms for Short-Range Molecular Dynamics. J. Comput. Phys. 1995, 117, 1–19. [Google Scholar] [CrossRef]
- Thompson, A.P.; Aktulga, H.M.; Berger, R.; Bolintineanu, D.S.; Brown, W.M.; Crozier, P.S.; in ’t Veld, P.J.; Kohlmeyer, A.; Moore, S.G.; Nguyen, T.D.; et al. LAMMPS—A flexible simulation tool for particle-based materials modeling at the atomic, meso, and continuum scales. Comput. Phys. Commun. 2022, 271, 108171. [Google Scholar] [CrossRef]
- VMD. Molecular Graphics Viewer. Available online: https://www.ks.uiuc.edu/Research/vmd/ (accessed on 2 October 2024).
- OVITO. Open Visualization Tool. Available online: https://www.ovito.org/ (accessed on 2 October 2024).







| Tensile Direction | Structure | , GPa | , GPa | E, GPa | |
|---|---|---|---|---|---|
| y-axis | H | 160.25 | 67.38 | 0.74 | 308.19 |
| L | 160.62 | 67.06 | 1.24 | 243.21 | |
| C | 160.40 | 67.28 | 0.40 | 361.15 | |
| R | 24.92 | – | 0.79 | 32.27 | |
| z-axis | H | 77.04 | 34.96 | 0.58 | 131.74 |
| L | 77.11 | 35.63 | 0.41 | 145.62 | |
| C | 76.51 | 34.05 | 2.16 | 64.14 | |
| R | 31.15 | – | 0.71 | 43.63 |
| Structure | Density, g/ | Compressive Stress, GPa | Ref. |
|---|---|---|---|
| R | 1.0 | 5 | [35] |
| R | 0.7 | 4 | [35] |
| SP1 | 0.838 | 4 | [34] |
| SG3 | 0.803 | 8 | [34] |
| SD2 | 0.792 | 13 | [34] |
| R | 2.0 | 6 | our work |
| C | 2.0 | 2 | our work |
| L | 2.0 | 1 | our work |
| H | 2.0 | 1.5 | our work |
| Structure | , Å | , g/ | N | SSA, /g | , mg/ |
|---|---|---|---|---|---|
| H | 62.5 × 112.1 × 107.5 | 0.6 | 26,100 | 1440 | 2.8 |
| L | 62.5 × 82.9 × 126.1 | 0.7 | 26,100 | 1440 | 16.6–4.0 |
| C | 62.5 × 140.2 × 51.7 | 1.1 | 26,100 | 1300 | 5.1 |
| R | 53.2 × 53.2 × 55.1 | 1.6 | 12,288 | 1083 | - |
Disclaimer/Publisher’s Note: The statements, opinions and data contained in all publications are solely those of the individual author(s) and contributor(s) and not of MDPI and/or the editor(s). MDPI and/or the editor(s) disclaim responsibility for any injury to people or property resulting from any ideas, methods, instructions or products referred to in the content. |
© 2024 by the authors. Licensee MDPI, Basel, Switzerland. This article is an open access article distributed under the terms and conditions of the Creative Commons Attribution (CC BY) license (https://creativecommons.org/licenses/by/4.0/).
Share and Cite
Rozhnova, E.; Baimova, J. Morphology of Graphene Aerogel as the Key Factor: Mechanical Properties Under Tension and Compression. Gels 2025, 11, 3. https://doi.org/10.3390/gels11010003
Rozhnova E, Baimova J. Morphology of Graphene Aerogel as the Key Factor: Mechanical Properties Under Tension and Compression. Gels. 2025; 11(1):3. https://doi.org/10.3390/gels11010003
Chicago/Turabian StyleRozhnova, Elizaveta, and Julia Baimova. 2025. "Morphology of Graphene Aerogel as the Key Factor: Mechanical Properties Under Tension and Compression" Gels 11, no. 1: 3. https://doi.org/10.3390/gels11010003
APA StyleRozhnova, E., & Baimova, J. (2025). Morphology of Graphene Aerogel as the Key Factor: Mechanical Properties Under Tension and Compression. Gels, 11(1), 3. https://doi.org/10.3390/gels11010003

