Novel Evolutionary Engineering Approach to Alter Substrate Specificity of Disaccharide Transporter Mal11 in Saccharomyces cerevisiae
Abstract
:1. Introduction
2. Materials and Methods
2.1. Strains and Maintenance
2.2. Molecular Biology Techniques
2.3. Strain Construction
2.4. Media and Cultivation
3. Results
3.1. Evolution for Decreased Sucrose Sensitivity
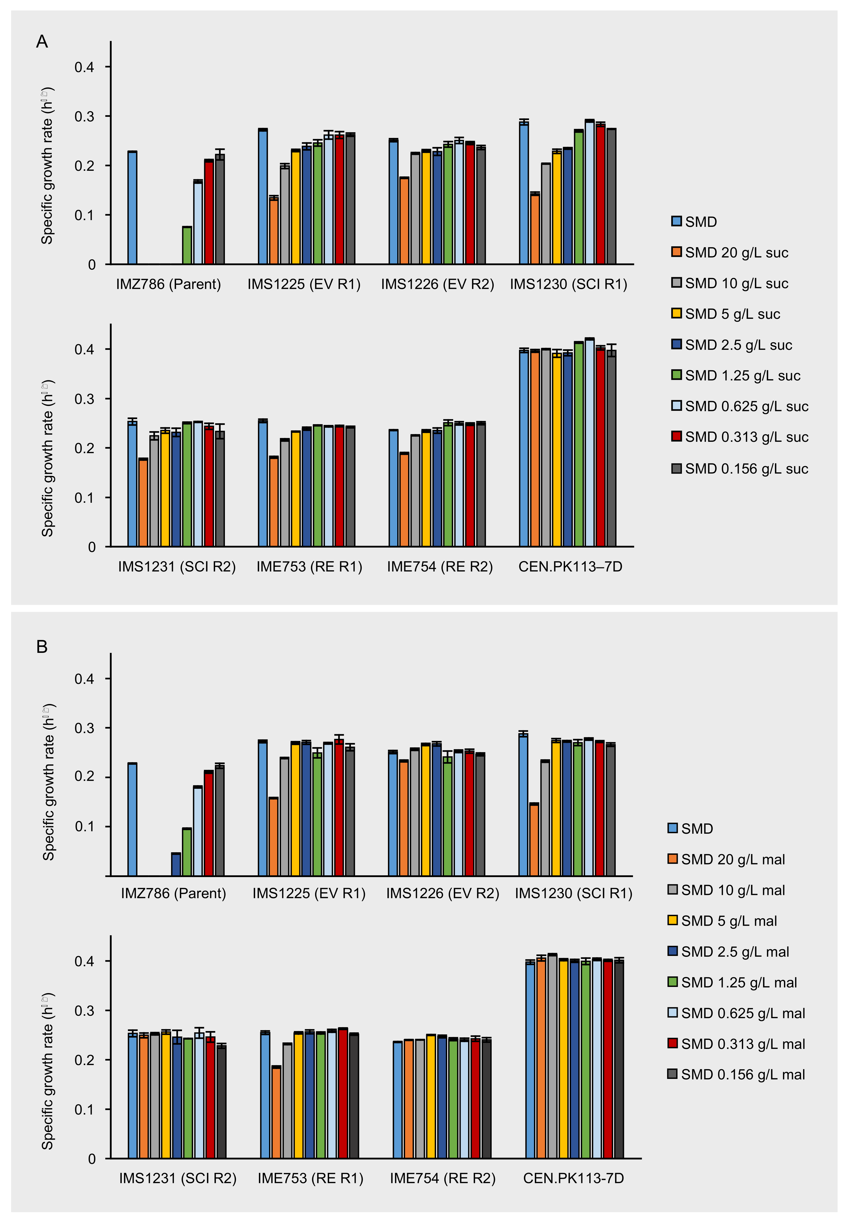
3.2. Evolved Strains Are Less Sensitive to Sucrose and Maltose
3.3. Mutations Occurred in MAL11 during Evolution
3.4. Mutations in MAL11 Are Responsible for Decreased Sucrose and Maltose Sensitivity
4. Discussion
Supplementary Materials
Author Contributions
Funding
Institutional Review Board Statement
Informed Consent Statement
Data Availability Statement
Acknowledgments
Conflicts of Interest
References
- Chen, L.-Q.; Cheung, L.S.; Feng, L.; Tanner, W.; Frommer, W.B. Transport of sugars. Annu. Rev. Biochem. 2015, 84, 865–894. [Google Scholar] [CrossRef]
- Saier, M.H.J. Transport protein evolution deduced from analysis of sequence, topology and structure. Curr. Opin. Struct. Biol. 2016, 38, 9–17. [Google Scholar] [CrossRef] [PubMed] [Green Version]
- Leandro, M.J.; Sychrová, H.; Prista, C.; Loureiro-Dias, M.C. The osmotolerant fructophilic yeast Zygosaccharomyces rouxii employs two plasmamembrane fructose uptake systems belonging to a new family of yeast sugar transporters. Microbiology 2011, 157, 601–608. [Google Scholar] [CrossRef] [Green Version]
- Han, E.-K.; Cotty, F.; Sottas, C.; Jiang, H.; Michels, C.A. Characterization of AGT1 encoding a general α-glucoside transporter from Saccharomyces. Mol. Microbiol. 1995, 17, 1093–1107. [Google Scholar] [CrossRef] [PubMed]
- Wieczorke, R.; Krampe, S.; Weierstall, T.; Kreidel, K.; Hollenberg, C.P.; Boles, E. Concurrent knock-out of at least 20 transporter genes is required to block uptake of hexoses in Saccharomyces cerevisiae. FEBS Lett. 1999, 464, 123–128. [Google Scholar] [CrossRef] [Green Version]
- Stambuk, B.U.; da Silva, M.A.; Panek, A.D.; de Araujo, P.S. Active α-glucoside transport in Saccharomyces cerevisiae. FEMS Microbiol. Lett. 1999, 170, 105–110. [Google Scholar] [CrossRef]
- Nijland, J.G.; Driessen, A.J.M. Engineering of pentose transport in Saccharomyces cerevisiae for biotechnological applications. Front. Bioeng. Biotechnol. 2020, 7, 464. [Google Scholar] [CrossRef] [PubMed]
- Nogueira, K.M.V.; Mendes, V.; Carraro, C.B.; Taveira, I.C.; Oshiquiri, L.H.; Gupta, V.K.; Silva, R.N. Sugar transporters from industrial fungi: Key to improving second-generation ethanol production. Renew. Sustain. Energy Rev. 2020, 131, 109991. [Google Scholar] [CrossRef]
- Agrimi, G.; Steiger, M.G. Metabolite transport and its impact on metabolic engineering approaches. FEMS Microbiol. Lett. 2021, 368, fnaa211. [Google Scholar] [CrossRef]
- Soares-Silva, I.; Ribas, D.; Sousa-Silva, M.; Azevedo-Silva, J.; Rendulić, T.; Casal, M. Membrane transporters in the bioproduction of organic acids: State of the art and future perspectives for industrial applications. FEMS Microbiol. Lett. 2020, 367, fnaa118. [Google Scholar] [CrossRef]
- von Heijne, G. Membrane-protein topology. Nat. Rev. Mol. Cell Biol. 2006, 7, 909–918. [Google Scholar] [CrossRef]
- Moraes, I.; Evans, G.; Sanchez-Weatherby, J.; Newstead, S.; Stewart, P.D.S. Membrane protein structure determination—The next generation. Biochim. Biophys. Acta 2014, 1838, 78–87. [Google Scholar] [CrossRef] [Green Version]
- Grisshammer, R.; Tate, C.G. Overexpression of integral membrane proteins for structural studies. Quar. Rev. Biophys. 2009, 28, 315–422. [Google Scholar] [CrossRef] [PubMed]
- Arinaminpathy, Y.; Khurana, E.; Engelman, D.M.; Gerstein, M.B. Computational analysis of membrane proteins: The largest class of drug targets. Drug Discov. Today 2009, 14, 1130–1135. [Google Scholar] [CrossRef] [PubMed] [Green Version]
- Jumper, J.; Evans, R.; Pritzel, A.; Green, T.; Figurnov, M.; Ronneberger, O.; Tunyasuvunakool, K.; Bates, R.; Žídek, A.; Potapenko, A.; et al. Highly accurate protein structure prediction with AlphaFold. Nature 2021, 596, 583–589. [Google Scholar] [CrossRef] [PubMed]
- Packer, M.S.; Liu, D.R. Methods for the directed evolution of proteins. Nat. Rev. Genet. 2015, 16, 379–394. [Google Scholar] [CrossRef] [PubMed]
- Yuen, C.M.; Liu, D.R. Dissecting protein structure and function using directed evolution. Nat. Methods 2007, 4, 995–997. [Google Scholar] [CrossRef]
- Dragosits, M.; Mattanovich, D. Adaptive laboratory evolution—Principles and applications for biotechnology. Microb. Cell Factories 2018, 12, 17–64. [Google Scholar] [CrossRef] [Green Version]
- Mans, R.; Daran, J.-M.G.; Pronk, J.T. Under pressure: Evolutionary engineering of yeast strains for improved performance in fuels and chemicals production. Curr. Opin. Biotechnol. 2018, 50, 47–56. [Google Scholar] [CrossRef] [PubMed]
- Sandberg, T.E.; Salazar, M.J.; Weng, L.L.; Palsson, B.O.; Feist, A.M. The emergence of adaptive laboratory evolution as an efficient tool for biological discovery and industrial biotechnology. Metab. Eng. 2019, 56, 1–16. [Google Scholar] [CrossRef]
- Lim, H.G.; Eng, T.; Banerjee, D.; Alarcon, G.; Lau, A.K.; Park, M.; Simmons, B.A.; Palsson, B.O.; Singer, S.W.; Mukhopadhyay, A.; et al. Generation of Pseudomonas putida KT2440 strains with efficient utilization of xylose and galactose via adaptive laboratory evolution. ACS Sustain. Chem. Eng. 2021, 9, 11512–11523. [Google Scholar] [CrossRef]
- Marques, W.L.; van der Woude, L.N.; Luttik, M.A.H.; van den Broek, M.; Nijenhuis, J.M.; Pronk, J.T.; van Maris, A.J.A.; Mans, R.; Gombert, A.K. Laboratory evolution and physiological analysis of Saccharomyces cerevisiae strains dependent on sucrose uptake via the Phaseolus vulgaris Suf1 transporter. Yeast 2018, 35, 639–652. [Google Scholar] [CrossRef]
- Henderson, R.K.; de Valk, S.C.; Poolman, B.; Mans, R. Energy coupling of membrane transport and efficiency of sucrose dissimilation in yeast. Metab. Eng. 2021, 65, 243–254. [Google Scholar] [CrossRef]
- Apel, A.R.; Ouellet, M.; Szmidt-Middleton, H.; Keasling, J.D.; Mukhopadhyay, A. Evolved hexose transporter enhances xylose uptake and glucose/xylose co-utilization in Saccharomyces cerevisiae. Sci. Rep. 2016, 6, 19512. [Google Scholar] [CrossRef]
- Brickwedde, A.; van den Broek, M.; Geertman, J.-M.; Magalhães, F.; Kuijpers, N.; Gibson, B.; Pronk, J.T.; Daran, J.-M.G. Evolutionary engineering in chemostat cultures for improved maltotriose fermentation kinetics in Saccharomyces pastorianus lager brewing yeast. Front. Microbiol. 2017, 8, 1690. [Google Scholar] [CrossRef] [PubMed]
- Jansen, M.L.A.; Daran-Lapujade, P.; de Winde, J.H.; Piper, M.D.W.; Pronk, J.T. Prolonged maltose-limited cultivation of Saccharomyces cerevisiae selects for cells with improved maltose affinity and hypersensitivity. Appl. Environ. Microbiol. 2004, 70, 1956–1963. [Google Scholar] [CrossRef] [PubMed] [Green Version]
- Farwick, A.; Bruder, S.; Schadeweg, V.; Oreb, M.; Boles, E. Engineering of yeast hexose transporters to transport D-xylose without inhibition by D-glucose. Proc. Natl. Acad. Sci. USA 2014, 111, 5159–5164. [Google Scholar] [CrossRef] [Green Version]
- Nijland, J.G.; Shin, H.Y.; de Jong, R.M.; de Waal, P.P.; Klaassen, P.; Driessen, A.J.M. Engineering of an endogenous hexose transporter into a specific D-xylose transporter facilitates glucose-xylose co-consumption in Saccharomyces cerevisiae. Biotechnol. Biofuels 2014, 7, 168. [Google Scholar] [CrossRef] [PubMed] [Green Version]
- Li, H.; Schmitz, O.; Alper, H.S. Enabling glucose/xylose co-transport in yeast through the directed evolution of a sugar transporter. Appl. Microbiol. Biotechnol. 2016, 100, 10215–10223. [Google Scholar] [CrossRef] [PubMed]
- Cartwright, C.P.; Juroszek, J.; Beavan, M.J.; Ruby, F.M.S.; de Morais, S.M.F.; Rose, A.H. Ethanol dissipates the proton-motive force across the plasma-membrane of Saccharomyces cerevisiae. J. Gen. Microbiol. 1986, 132, 369–377. [Google Scholar] [CrossRef]
- Postma, E.P.; Verduyn, C.; Kuiper, K.; Scheffers, W.A.; Van Dijken, J.P. Substrate-accelerated death of Saccharornyces cerevisiae CBS 8066 under maltose stress. Yeast 1990, 6, 149–158. [Google Scholar] [CrossRef] [PubMed]
- Entian, K.-D.; Kötter, P. Yeast genetic strain and plasmid collections. Methods Microbiol. 2007, 36, 629–666. [Google Scholar] [CrossRef]
- Gietz, R.D.; Woods, R.A. Transformation of yeast by lithium acetate/single-stranded carrier DNA/polyethylene glycol method. Methods Enzymol. 2002, 350, 87–96. [Google Scholar] [CrossRef]
- van den Broek, M.; Bolat, I.; Nijkamp, J.F.; Ramos, E.; Luttik, M.A.H.; Koopman, F.; Geertman, J.-M.; de Ridder, D.; Pronk, J.T.; Daran, J.-M. Chromosomal copy number variation in Saccharomyces pastorianus is evidence for extensive genome dynamics in industrial lager brewing strains. Appl. Environ. Microbiol. 2015, 81, 6253–6267. [Google Scholar] [CrossRef] [PubMed] [Green Version]
- de Valk, S.C.; Bouwmeester, S.E.; de Hulster, E.; Mans, R. Engineering proton-coupled hexose uptake in Saccharomyces cerevisiae for improved ethanol yield. Biotechnol. Biofuels Bioproducts, under review.
- Marques, W.L.; Mans, R.; Henderson, R.K.; Marella, E.R.; Horst, J.T.; Hulster, E.; Poolman, B.; Daran, J.M.; Pronk, J.T.; Gombert, A.K.; et al. Combined engineering of disaccharide transport and phosphorolysis for enhanced ATP yield from sucrose fermentation in Saccharomyces cerevisiae. Metab. Eng. 2018, 45, 121–133. [Google Scholar] [CrossRef] [PubMed] [Green Version]
- Verduyn, C.; Postma, E.; Scheffers, W.A.; van Dijken, J.P. Effect of benzoic acid on metabolic fluxes in yeasts: A continuous-culture study on the regulation of respiration and alcoholic fermentation. Yeast 1992, 8, 501–517. [Google Scholar] [CrossRef] [Green Version]
- Verduyn, C.; Postma, E.; Scheffers, W.A.; van Dijken, J.P. Physiology of Saccharomyces cerevisiae in anaerobic glucose-limited chemostat cultures. J. Gen. Microbiol. 1990, 136, 395–403. [Google Scholar] [CrossRef] [PubMed] [Green Version]
- Nijkamp, J.F.; van den Broek, M.; Datema, E.; de Kok, S.; Bosman, L.; Luttik, M.A.; Daran-Lapujade, P.; Vongsangnak, W.; Nielsen, J.; Heijne, W.H.M.; et al. De novo sequencing, assembly and analysis of the genome of the laboratory strain Saccharomyces cerevisiae CEN.PK113-7D, a model for modern industrial biotechnology. Microb. Cell Factories 2012, 11, 36. [Google Scholar] [CrossRef] [PubMed] [Green Version]
- Marques, W.L.; Mans, R.; Marella, E.R.; Cordeiro, R.L.; Van den Broek, M.; Daran, J.-M.G.; Pronk, J.T.; Gombert, A.K.; van Maris, A.J.A. Elimination of sucrose transport and hydrolysis in Saccharomyces cerevisiae: A platform strain for engineering sucrose metabolism. FEMS Yeast Res. 2017, 17, fox006. [Google Scholar] [CrossRef]
- Henderson, R.K.; Poolman, B. Proton-solute coupling mechanism of the maltose transporter from Saccharomyces cerevisiae. Sci. Rep. 2017, 7, 14375. [Google Scholar] [CrossRef]
- Deng, D.; Sun, P.; Yan, C.; Ke, M.; Jiang, X.; Xiong, L.; Ren, W.; Hirata, K.; Yamamoto, M.; Fan, S.; et al. Molecular basis of ligand recognition and transport by glucose transporters. Nature 2015, 526, 391–396. [Google Scholar] [CrossRef] [PubMed]
- Postma, E.; Scheffers, W.A.; Van Dijken, J.P. Adaptation of the Kinetics of Glucose Transport to Environmental Conditions in the Yeast Candida utilis CBS 621: A Continuous-culture Study. J. Gen. Microbiol. 1988, 134, 1109–1116. [Google Scholar] [CrossRef] [Green Version]
- Santos, E.; Rodriguez, L.; Elorza, M.V.; Sentandreu, R. Uptake of sucrose by Saccharomyces cerevisiae. Arch. Biochem. Biophys. 1982, 216, 652–660. [Google Scholar] [CrossRef]
- Weusthuis, R.A.; Adams, H.; Scheffers, W.A.; van Dijken, J.P. Energetics and kinetics of maltose transport in Saccharomyces cerevisiae: A continuous culture study. Appl. Environ. Microbiol. 1993, 59, 3102–3109. [Google Scholar] [CrossRef] [Green Version]
- Henderson, R.K.; Ayudya, L.N.; Poolman, B. Characterization of Maltose-Binding Residues in the Central Cavity of Mal11. Mech. Proton-Coupled Transp. By Maltose Permease Saccharomyces cerevisiae. Ph.D. Thesis, Groningen University, Groningen, The Netherlands, 2019. [Google Scholar]
- Wisedchaisri, G.; Park, M.-S.; Iadanza, M.G.; Zheng, H.; Gonen, T. Proton-coupled sugar transport in the prototypical major facilitator superfamily protein XylE. Nat. Commun. 2014, 5, 4621. [Google Scholar] [CrossRef] [PubMed] [Green Version]
- Yan, N. Structural biology of the Major Facilitator Superfamily transporters. Annu. Rev. Biophys. 2015, 44, 257–283. [Google Scholar] [CrossRef]
- Regenberg, B.; Düring-Olsen, L.; Kielland-Brandt, M.C.; Holmberg, S. Substrate specificity and gene expression of the amino-acid permeases in Saccharomyces cerevisiae. Curr. Genet. 1999, 36, 317–328. [Google Scholar] [CrossRef] [PubMed]
- Brandriss, M.C. Isolation and Preliminary Characterization of Saccharomyces cerevisiae Proline Auxotrophs. J. Bacteriol. 1979, 138, 816–822. [Google Scholar] [CrossRef] [PubMed] [Green Version]
- Verhoeven, M.D.; Bracher, J.M.; Nijland, J.G.; Bouwknegt, J.; Daran, J.-M.G.; Driessen, A.J.M.; van Maris, A.J.A.; Pronk, J.T. Laboratory evolution of a glucose-phosphorylation deficient, arabinose-fermenting S. cerevisiae strain reveals mutations in GAL2 that enable glucose-insensitive l-arabinose uptake. FEMS Yeast Res. 2018, 18, foy062. [Google Scholar] [CrossRef] [PubMed]
- Leandro, M.J.; Gonçalves, P.; Spencer-Martins, I. Two glucose/xylose transporter genes from the yeast Candida intermedia: First molecular characterization of a yeast xylose–H+ symporter. Biochem. J. 2006, 395, 543–549. [Google Scholar] [CrossRef] [PubMed] [Green Version]
- Heredia, C.F.; de la Fuenta, G.; Sols, A. Metabolic studies with 2-deoxyhexoses. I. Mechanisms of inhibition of growth and fermentation in baker's yeast. Biochim. Biophys. Acta 1964, 86, 216–223. [Google Scholar] [CrossRef]
- Casal, M.; Paiva, S.; Andrade, R.P.; Gancedo, C.; Leão, C. The lactate-proton symport of Saccharomyces cerevisiae is encoded by JEN1. J. Bacteriol. 1999, 181, 2620–2623. [Google Scholar] [CrossRef] [PubMed] [Green Version]
- Cássio, F.; Leão, C.; van Uden, N. Transport of Lactate and Other Short-Chain Monocarboxylates in the Yeast Saccharomyces cerevisiae. Appl. Environ. Microbiol. 1987, 53, 509–513. [Google Scholar] [CrossRef] [Green Version]
- Baldi, N.; de Valk, S.C.; Sousa-Silva, M.; Casal, M.; Soares-Silva, I.; Mans, R. Evolutionary engineering reveals amino acid substitutions in Ato2 and Ato3 that allow improved growth of Saccharomyces cerevisiae on lactic acid. FEMS Yeast Res. 2021, 21, foab033. [Google Scholar] [CrossRef] [PubMed]
- Mans, R.; Hassing, J.-E.; Wijsman, M.; Giezekamp, A.; Pronk, J.T.; Daran, J.-M.G.; Van Maris, A.J.A. A CRISPR/Cas9-based exploration into the elusive mechanism for lactate export in Saccharomyces cerevisiae. FEMS Yeast Res. 2017, 17, fox085. [Google Scholar] [CrossRef] [PubMed] [Green Version]
- Guiard, B. Structure, expression and regulation of a nuclear gene encoding a mitochondrial protein: The yeast L(+)-lactate cytochrome c oxidoreductase (cytochrome b2). EMBO J. 1985, 4, 3265–3272. [Google Scholar] [CrossRef]




| Strain | Description or Relevant Genotype | Source |
|---|---|---|
| CEN.PK113-7D | MATa URA3 HIS3 LEU2 TRP1 MAL2-8c SUC2 | [32] |
| IMK1010 | MATa ura3-52 LEU2 HIS3 MAL2-8C mal11-mal12::loxP mal21-mal22::loxP mal31-mal32::loxP mph2/3::loxP mph2/3::loxP-hphNT1-loxP suc2::loxP ima1Δ ima2Δ ima3Δ ima4Δ ima5Δ can1Δ::cas9-natNT2 hxt8Δ hxt14Δ gal2Δ hxt4Δ hxt1Δ hxt5Δ hxt3Δ hxt6Δ hxt7Δ hxt13Δ hxt15Δ hxt16Δ hxt2Δ hxt10Δ hxt9Δ hxt11Δ hxt12Δ stl1Δ | [35] |
| IMZ786 | MATa ura3-52 LEU2HIS3MAL2-8C mal11-mal12::loxP mal21-mal22::loxP mal31-mal32::loxP mph2/3::loxP mph2/3::loxP-hphNT1-loxP suc2::loxP ima1Δ ima2Δ ima3Δ ima4Δ ima5Δ can1Δ::cas9-natNT2 hxt8Δ hxt14Δ gal2Δ hxt4Δ hxt1Δ hxt5Δ hxt3Δ hxt6Δ hxt7Δ hxt13Δ hxt15Δ hxt16Δ hxt2Δ hxt10Δ hxt9Δ hxt11Δ hxt12Δ stl1Δ pUDE432 (URA3 MAL11) | This study |
| IMS1225 | IMZ786 evolved in chemostats on SMD with addition of sucrose, first reactor, evolved population | This study |
| IMS1226 | IMZ786 evolved in chemostats on SMD with addition of sucrose, second reactor, evolved population | This study |
| IMS1230 | IMZ786 evolved in chemostats on SMD with addition of sucrose, first reactor, single-colony isolate | This study |
| IMS1231 | IMZ786 evolved in chemostats on SMD with addition of sucrose, second reactor, single-colony isolate | This study |
| IME753 | MATa ura3-52 LEU2HIS3MAL2-8C mal11-mal12::loxP mal21-mal22::loxP mal31-mal32::loxP mph2/3::loxP mph2/3::loxP-hphNT1-loxP suc2::loxP ima1Δ ima2Δ ima3Δ ima4Δ ima5Δ can1Δ::cas9-natNT2 hxt8Δ hxt14Δ gal2Δ hxt4Δ hxt1Δ hxt5Δ hxt3Δ hxt6Δ hxt7Δ hxt13Δ hxt15Δ hxt16Δ hxt2Δ hxt10Δ hxt9Δ hxt11Δ hxt12Δ stl1Δ pUDE1222 (URA3 MAL11C490T/G682C/G1163C) | This study |
| IME754 | MATa ura3-52 LEU2HIS3MAL2-8C mal11-mal12::loxP mal21-mal22::loxP mal31-mal32::loxP mph2/3::loxP mph2/3::loxP-hphNT1-loxP suc2::loxP ima1Δ ima2Δ ima3Δ ima4Δ ima5Δ can1Δ::cas9-natNT2 hxt8Δ hxt14Δ gal2Δ hxt4Δ hxt1Δ hxt5Δ hxt3Δ hxt6Δ hxt7Δ hxt13Δ hxt15Δ hxt16Δ hxt2Δ hxt10Δ hxt9Δ hxt11Δ hxt12Δ stl1Δ pUDE1223 (URA3 MAL11G682C/G1079C/G1163T) | This study |
Publisher’s Note: MDPI stays neutral with regard to jurisdictional claims in published maps and institutional affiliations. |
© 2022 by the authors. Licensee MDPI, Basel, Switzerland. This article is an open access article distributed under the terms and conditions of the Creative Commons Attribution (CC BY) license (https://creativecommons.org/licenses/by/4.0/).
Share and Cite
de Valk, S.C.; Mans, R. Novel Evolutionary Engineering Approach to Alter Substrate Specificity of Disaccharide Transporter Mal11 in Saccharomyces cerevisiae. J. Fungi 2022, 8, 358. https://doi.org/10.3390/jof8040358
de Valk SC, Mans R. Novel Evolutionary Engineering Approach to Alter Substrate Specificity of Disaccharide Transporter Mal11 in Saccharomyces cerevisiae. Journal of Fungi. 2022; 8(4):358. https://doi.org/10.3390/jof8040358
Chicago/Turabian Stylede Valk, Sophie Claire, and Robert Mans. 2022. "Novel Evolutionary Engineering Approach to Alter Substrate Specificity of Disaccharide Transporter Mal11 in Saccharomyces cerevisiae" Journal of Fungi 8, no. 4: 358. https://doi.org/10.3390/jof8040358
APA Stylede Valk, S. C., & Mans, R. (2022). Novel Evolutionary Engineering Approach to Alter Substrate Specificity of Disaccharide Transporter Mal11 in Saccharomyces cerevisiae. Journal of Fungi, 8(4), 358. https://doi.org/10.3390/jof8040358
