Landscape Connectivity Limits the Predicted Impact of Fungal Pathogen Invasion
Abstract
1. Introduction
2. Materials and Methods
2.1. Infection Dynamics of B. Salamandrivorans in Lyciasalamandra Helverseni
2.2. B. Salamandrivorans Prevalence in Populations of the Genus Lyciasalamandra
2.3. Thermal Ecology of Lyciasalamandra Sp
2.4. Thermal Environment of B. Salamandrivorans in Lyciasalamandra Habitats
3. Results
3.1. Lyciasalamandra Helverseni Quickly Develops Lethal Infection Loads of B. Salamandrivorans
3.2. B. Salamandrivorans Is Absent from Natural Populations of Lyciasalamandra sp
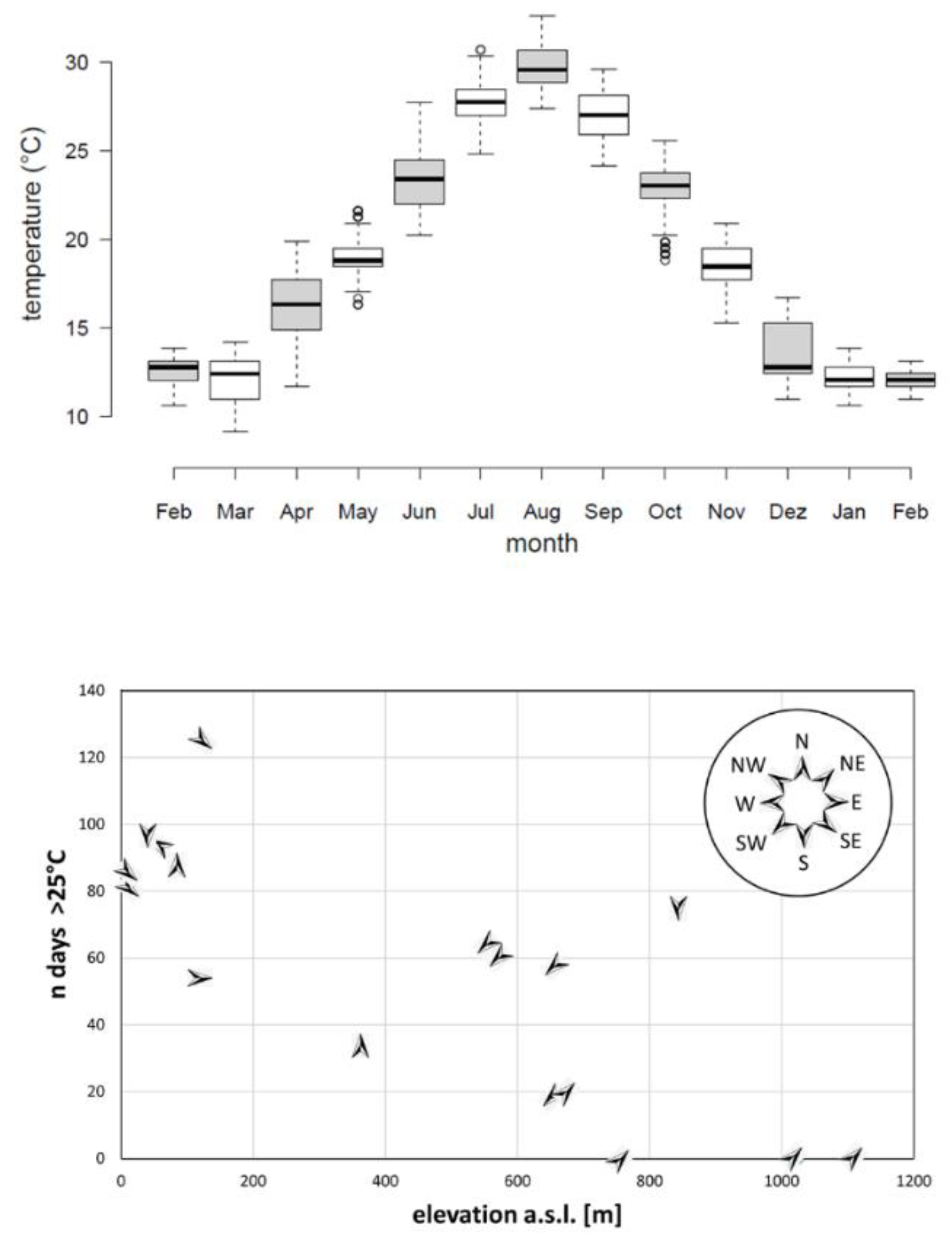
3.3. Lyciasalamandra Body Temperatures Fit the B. Salamandrivorans Thermal Envelope
3.4. Thermal Conduciveness of Lyciasalamandra Surface Habitats for B. Salamandrivorans Survival
4. Discussion
Supplementary Materials
Author Contributions
Funding
Acknowledgments
Conflicts of Interest
References
- Martel, A.; Blooi, M.; Adriaensen, C.; Van Rooij, P.; Beukema, W.; Fisher, M.C.; Farrer, R.A.; Schmidt, B.R.; Tobler, U.; Goka, K. Recent introduction of a chytrid fungus endangers western palearctic salamanders. Science 2014, 346, 630–631. [Google Scholar] [CrossRef] [PubMed]
- Martel, A.; Vila-Escale, M.; Fernández-Giberteau, D.; Martinez-Silvestre, A.; Canessa, S.; Van Praet, S.; Pannon, P.; Chiers, K.; Ferran, A.; Kelly, M. Integral chain management of wildlife diseases. Conserv. Lett. 2020, e12707. [Google Scholar] [CrossRef]
- Spitzen-van der Sluijs, A.; Martel, A.; Asselberghs, J.; Bales, E.K.; Beukema, W.; Bletz, M.C.; Dalbeck, L.; Goverse, E.; Kerres, A.; Kinet, T. Expanding distribution of lethal amphibian fungus Batrachochytrium salamandrivorans in Europe. Emerg. Infect. Dis. 2016, 22, 1286–1288. [Google Scholar] [CrossRef] [PubMed]
- Richgels, K.L.; Russell, R.E.; Adams, M.J.; White, C.L.; Grant, E.H.C. Spatial variation in risk and consequence of Batrachochytrium salamandrivorans introduction in the USA. Roy. Soc. Open Sci. 2016, 3, 150616. [Google Scholar] [CrossRef]
- Basanta, M.D.; Rebollar, E.A.; Parra-Olea, G. Potential risk of Batrachochytrium salamandrivorans in Mexico. PLoS ONE 2019, 14, e0211960. [Google Scholar] [CrossRef]
- Yap, T.A.; Nguyen, N.T.; Serr, M.; Shepack, A.; Vredenburg, V.T. Batrachochytrium salamandrivorans and the risk of a second amphibian pandemic. Ecohealth 2017, 14, 851–864. [Google Scholar] [CrossRef]
- Beukema, W.; Martel, A.; Nguyen, T.T.; Goka, K.; Schmeller, D.S.; Yuan, Z.; Laking, A.E.; Nguyen, T.Q.; Lin, C.F.; Shelton, J. Environmental context and differences between native and invasive observed niches of Batrachochytrium salamandrivorans affect invasion risk assessments in the western palaearctic. Divers. Distrib. 2018, 24, 1788–1801. [Google Scholar] [CrossRef]
- Feldmeier, S.; Schefczyk, L.; Wagner, N.; Heinemann, G.; Veith, M.; Lötters, S. Exploring the distribution of the spreading lethal salamander chytrid fungus in its invasive range in Europe–a macroecological approach. PLoS ONE 2016, 11, e0165682. [Google Scholar] [CrossRef]
- Kaya, U.; Üzüm, N.; Kumlutaş, Y.; Avci, A.; Kaska, Y.; Öz, M.; Tunç, R.; Başkale, E. Overview of conservation and red list of Turkey’s threatened amphibians. FrogLog 2012, 101, 30–31. [Google Scholar]
- Veith, M.; Baran, İ.; Godmann, O.; Kiefer, A.; Öz, M.; Tunç, M.R. A revision of population designation and geographic distribution of the Lycian salamander Mertensiella luschani (Steindachner, 1891). Zool. Middle East 2001, 22, 67–82. [Google Scholar] [CrossRef]
- Sinsch, U.; Böcking, H.; Leskovar, C.; Öz, M.; Veith, M. Demography and lifetime growth patterns in viviparous salamanders (genus Lyciasalamandra): Living underground attenuates interspecific variation. Zool. Anz. 2017, 269, 48–56. [Google Scholar] [CrossRef]
- Polat, F.; Başkale, E. Phenology and factors influencing the abundance of Lyciasalamandra fazilae (Amphibia: Salamandridae) in Turkey. Salamandra 2018, 54, 123–131. [Google Scholar]
- Olgun, K.; Miaud, C.; Gautier, P. Age, growth, and survivorship in the viviparous salamander Mertensiella luschani from southwestern Turkey. Can. J. Zool. 2001, 79, 1559–1567. [Google Scholar] [CrossRef]
- Üzüm, N.; Avcý, A.; Özcan, Ç.G.; Olgun, K. Comparison of the age structure, body size, and some growth parameters of two insular populations of Lysiasalamandra fazilae from southwestern Turkey. Russ. J. Herpetol. 2020, 27. [Google Scholar] [CrossRef]
- Spitzen-van der Sluijs, A.; Stegen, G.; Bogaerts, S.; Canessa, S.; Steinfartz, S.; Janssen, N.; Bosman, W.; Pasmans, F.; Martel, A. Post-epizootic salamander persistence in a disease-free refugium suggests poor dispersal ability of Batrachochytrium salamandrivorans. Sci. Rep. 2018, 8, 1–8. [Google Scholar] [CrossRef] [PubMed]
- EFSA Panel on AHAW; More, S.; Angel Miranda, M.; Bicout, D.; Bøtner, A.; Butterworth, A.; Calistri, P.; Depner, K.; Edwards, S.; Garin-Bastuji, B.; et al. Risk of survival, establishment and spread of Batrachochytrium salamandrivorans (Bsal) in the EU. EFSA J. 2018, 16, e05259. [Google Scholar] [CrossRef]
- Stegen, G.; Pasmans, F.; Schmidt, B.R.; Rouffaer, L.O.; Van Praet, S.; Schaub, M.; Canessa, S.; Laudelout, A.; Kinet, T.; Adriaensen, C. Drivers of salamander extirpation mediated by Batrachochytrium salamandrivorans. Nature 2017, 544, 353–356. [Google Scholar] [CrossRef]
- Beukema, W.; Pasmans, F.; Van Praet, S.; Ferri-Yáñez, F.; Kelly, M.; Laking, A.; Erens, J.; Speybroeck, J.; Verheyen, K.; Lens, L.; et al. Suppression of amphibian thermal behaviour in the wild predisposes to disease-driven population declines. Ecol. Lett. in press.
- Blooi, M.; Martel, A.; Haesebrouck, F.; Vercammen, F.; Bonte, D.; Pasmans, F. Treatment of urodelans based on temperature dependent infection dynamics of Batrachochytrium salamandrivorans. Sci. Rep. 2015, 5, 8037. [Google Scholar] [CrossRef]
- Blooi, M.; Pasmans, F.; Longcore, J.E.; Spitzen-van der Sluijs, A.; Vercammen, F.; Martel, A. Duplex real-time PCR for rapid simultaneous detection of Batrachochytrium dendrobatidis and Batrachochytrium salamandrivorans in Amphibian samples. J. Clin. Microbiol. 2013, 51, 4173–4177. [Google Scholar] [CrossRef]
- Göçmen, B.; Veith, M.; Iğci, N.; Akman, B.; Godmann, O.; Wagner, N. No detection of the amphibian pathogen Batrachochytrium dendrobatidis in terrestrial Turkish salamanders (Lyciasalamandra) despite its occurrence in syntopic frogs (Pelophylax bedriagae). Salamandra 2013, 49, 51–55. [Google Scholar]
- Lötters, S.; Kielgast, J.; Sztatecsny, M.; Wagner, N.; Schulte, U.; Werner, P.; Rödder, D.; Dambach, J.; Reissner, T.; Hochkirch, A. Absence of infection with the amphibian chytrid fungus in the terrestrial Alpine salamander, Salamandra atra. Salamandra 2012, 48, 58–62. [Google Scholar]
- Martel, A.; Spitzen-van der Sluijs, A.; Blooi, M.; Bert, W.; Ducatelle, R.; Fisher, M.C.; Woeltjes, A.; Bosman, W.; Chiers, K.; Bossuyt, F.; et al. Batrachochytrium salamandrivorans sp. nov. causes lethal chytridiomycosis in amphibians. Proc. Natl. Acad. Sci. USA 2013, 110, 15325–15329. [Google Scholar] [CrossRef] [PubMed]
- Gautier, P.; Olgun, K.; Uzum, N.; Miaud, C. Gregarious behaviour in a salamander: Attraction to conspecific chemical cues in burrow choice. Behav. Ecol. Sociobiol. 2006, 59, 836–841. [Google Scholar] [CrossRef]
- Kieren, S.; Sparreboom, M.; Hochkirch, A.; Veith, M. A biogeographic and ecological perspective to the evolution of reproductive behaviour in the family Salamandridae. Mol. Phylogenetics Evol. 2018, 121, 98–109. [Google Scholar] [CrossRef]
- Canessa, S.; Bozzuto, C.; Pasmans, F.; Martel, A. Quantifying the burden of managing wildlife diseases in multiple host species. Conserv. Biol. 2019, 33, 1131–1140. [Google Scholar] [CrossRef]
- Nguyen, T.T.; Van Nguyen, T.; Ziegler, T.; Pasmans, F.; Martel, A. Trade in wild anurans vectors the urodelan pathogen Batrachochytrium salamandrivorans into Europe. Amphib-Reptilia 2017, 38, 554–556. [Google Scholar] [CrossRef]
- Schulz, V.; Schulz, A.; Klamke, M.; Preissler, K.; Sabino-Pinto, J.; Müsken, M.; Schlüpmann, M.; Heldt, L.; Kamprad, F.; Enss, J.; et al. Batrachochytrium salamandrivorans in the Ruhr District, Germany: History, distribution, decline dynamics and disease symptoms of the salamander plague. Salamandra 2020, 56, 189–214. [Google Scholar]
- Briggs, C.J.; Knapp, R.A.; Vredenburg, V.T. Enzootic and epizootic dynamics of the chytrid fungal pathogen of amphibians. Proc. Natl. Acad. Sci. USA 2010, 107, 9695–9700. [Google Scholar] [CrossRef]
- McMahon, T.A.; Brannelly, L.A.; Chatfield, M.W.; Johnson, P.T.; Joseph, M.B.; McKenzie, V.J.; Richards-Zawacki, C.L.; Venesky, M.D.; Rohr, J.R. Chytrid fungus Batrachochytrium dendrobatidis has nonamphibian hosts and releases chemicals that cause pathology in the absence of infection. Proc. Natl. Acad. Sci. USA 2013, 110, 210–215. [Google Scholar] [CrossRef]
- Oficialdegui, F.J.; Sánchez, M.I.; Monsalve-Carcaño, C.; Boyero, L.; Bosch, J. The invasive red swamp crayfish (Procambarus clarkii) increases infection of the amphibian chytrid fungus (Batrachochytrium dendrobatidis). Biol. Invasions 2019, 21, 3221–3231. [Google Scholar] [CrossRef]
- Degani, G. Temperature tolerance in three populations of salamanders, Salamandra salamandra (L.). Br. J. Herpetol. 1982, 6, 186–187. [Google Scholar]
- Strickland, J.C.; Pinheiro, A.P.; Cecala, K.K.; Dorcas, M.E. Relationship between behavioral thermoregulation and physiological function in larval stream salamanders. J. Herpetol. 2016, 50, 239–244. [Google Scholar] [CrossRef]
- Lunghi, E.; Manenti, R.; Canciani, G.; Scarì, G.; Pennati, R.; Ficetola, G.F. Thermal equilibrium and temperature differences among body regions in European plethodontid salamanders. J. Therm. Biol. 2016, 60, 79–85. [Google Scholar] [CrossRef] [PubMed]
- Feder, M.E. Thermal ecology of neotropical lungless salamanders (Amphibia: Plethodontidae): Environmental temperatures and behavioral responses. Ecology 1982, 63, 1665–1674. [Google Scholar] [CrossRef]
- Homyack, J.A.; Haas, C.A.; Hopkins, W.A. Energetics of surface-active terrestrial salamanders in experimentally harvested forest. J. Wildl. Manag. 2011, 75, 1267–1278. [Google Scholar] [CrossRef]
- Degani, G. Temperature selection in Salamandra salamandra (L.) larvae and juveniles from different habitats. Behav. Biol. (Paris) 1984, 9, 175–183. [Google Scholar]
- Veith, M.; Göçmen, B.; Sotiropoulos, K.; Eleftherakos, K.; Lötters, S.; Godmann, O.; Karış, M.; Oğuz, A.; Ehl, S. Phylogeographic analyses point to long-term survival on the spot in micro-endemic Lycian salamanders. PLoS ONE 2020, 15, e0226326. [Google Scholar] [CrossRef]
- Hyde, K.D.; Al-Hatmi, A.M.; Andersen, B.; Boekhout, T.; Buzina, W.; Dawson, T.L.; Eastwood, D.C.; Jones, E.G.; de Hoog, S.; Kang, Y. The world’s ten most feared fungi. Fungal Divers. 2018, 93, 161–194. [Google Scholar] [CrossRef]
- European Food Safety Authority (EFSA); Balàž, V.; Gortázar Schmidt, C.; Murray, K.; Carnesecchi, E.; Garcia, A.; Gervelmeyer, A.; Martino, L.; Munoz Guajardo, I.; Verdonck, F. Scientific and technical assistance concerning the survival, establishment and spread of Batrachochytrium salamandrivorans (Bsal) in the EU. EFSA J. 2017, 15, e04739. [Google Scholar]
- Kraay, A.N.M.; Hayashi, M.A.L.; Hernandez-Ceron, N.; Spicknall, I.H.; Eisenberg, M.C.; Meza, R.; Eisenberg, J.N.S. Fomite-mediated transmission as a sufficient pathway: A comparative analysis across three viral pathogens. BMC Infect. Dis. 2018, 18, 540. [Google Scholar] [CrossRef] [PubMed]
- Fitzpatrick, L.D.; Pasmans, F.; Martel, A.; Cunningham, A.A. Epidemiological tracing of Batrachochytrium salamandrivorans identifies widespread infection and associated mortalities in private amphibian collections. Sci. Rep. 2018, 8, 13845. [Google Scholar] [CrossRef] [PubMed]
- Grant, E.H.C.; Muths, E.L.; Katz, R.A.; Canessa, S.; Schmidt, B. Salamander Chytrid Fungus (Batrachochytrium salamandrivorans) in the United States-Developing Research, Monitoring, and Management Strategies; USGS OFR. 2015. Available online: https://www.researchgate.net/publication/291330968_Salamander_Chytrid_Fungus_Batrachochytrium_salamandrivorans_in_the_United_States_-Developing_Research_Monitoring_and_Management_Strategies (accessed on 15 September 2020). [CrossRef]



| Species | Sample Size | B. Salamandrivorans Prevalence | (Bayesian 95% Credible Interval) |
|---|---|---|---|
| L. atifi | 30 | 0.00 | (0.00, 0.11) |
| L. antalyana | 30 | 0.00 | (0.00, 0.11) |
| L. billae | 97 | 0.00 | (0.00, 0.04) |
| L. luschani | 121 | 0.00 | (0.00, 0.03) |
| L. fazilae | 30 | 0.00 | (0.00, 0.11) |
| L. flavimembris | 30 | 0.00 | (0.00, 0.11) |
| L. helverseni | 156 | 0.00 | (0.00, 0.03) |
| total | 494 | 0.00 | (0.00, 0.01) |
© 2020 by the authors. Licensee MDPI, Basel, Switzerland. This article is an open access article distributed under the terms and conditions of the Creative Commons Attribution (CC BY) license (http://creativecommons.org/licenses/by/4.0/).
Share and Cite
Li, Z.; Martel, A.; Bogaerts, S.; Göçmen, B.; Pafilis, P.; Lymberakis, P.; Woeltjes, T.; Veith, M.; Pasmans, F. Landscape Connectivity Limits the Predicted Impact of Fungal Pathogen Invasion. J. Fungi 2020, 6, 205. https://doi.org/10.3390/jof6040205
Li Z, Martel A, Bogaerts S, Göçmen B, Pafilis P, Lymberakis P, Woeltjes T, Veith M, Pasmans F. Landscape Connectivity Limits the Predicted Impact of Fungal Pathogen Invasion. Journal of Fungi. 2020; 6(4):205. https://doi.org/10.3390/jof6040205
Chicago/Turabian StyleLi, Zhimin, An Martel, Sergé Bogaerts, Bayram Göçmen, Panayiotis Pafilis, Petros Lymberakis, Tonnie Woeltjes, Michael Veith, and Frank Pasmans. 2020. "Landscape Connectivity Limits the Predicted Impact of Fungal Pathogen Invasion" Journal of Fungi 6, no. 4: 205. https://doi.org/10.3390/jof6040205
APA StyleLi, Z., Martel, A., Bogaerts, S., Göçmen, B., Pafilis, P., Lymberakis, P., Woeltjes, T., Veith, M., & Pasmans, F. (2020). Landscape Connectivity Limits the Predicted Impact of Fungal Pathogen Invasion. Journal of Fungi, 6(4), 205. https://doi.org/10.3390/jof6040205

